Информацията В Сайта Не Е Медицински Съвет. Ние Не Продаваме Нищо. Точността На Превода Не Е Гарантирана. Отказ От Отговорност
Лекарства
Lortab Elixir
Резюме на наркотиците
Какво е Lortab Elixir?
Lortab Elixir (хидрокодон и ацетаминофен) е комбинация от опиоиден аналгетик и редовен аналгетик и антипиретично (редуктор на треска), използван за лечение на умерена до силна болка.
Какви са страничните ефекти на Lortab Elixir?
Страничните ефекти на Lortab Elixir включват:
- замаяност
- безпокойство
- сънливост
- запек
- гадене
- повръщане
- разстроен стомах
- главоболие
- промени в настроението
- замъглено зрение
- звънене в ушите ви
- сухота в устата и
- дихателна депресия
Дозировка за Lortab Elixir
Обичайната доза за възрастни от Lortab Elixir е една супена лъжица на всеки 4 до 6 часа, ако е необходимо за болка. Общата дневна доза за възрастни не трябва да надвишава 6 супени лъжици.
Лортаб еликсир по време на бременност или кърмене
Няма добре контролирани проучвания за употребата на това лекарство при бременни жени. Lortab Elixir трябва да се използва по време на бременност, само ако потенциалната полза оправдае потенциалния риск за плода. Бебетата, родени от майки, които редовно приемат опиоиди преди раждането, ще бъдат физически зависими. Ацетаминофенът се отделя в човешко мляко в малки количества. Не е известно дали хидрокодонът е екскретен в човешкото мляко. Трябва да се вземе решение дали да се прекрати медицинската сестра или да се прекрати лекарството при кърмещи жени. Както всички наркотични обезболяващи Lortab Elixir може да причини реакции на зависимост и оттегляне, особено ако се използва редовно за дълго време или във високи дози.
Допълнителна информация
Нашият лекарствен център Lortab Elixir предоставя цялостен поглед върху наличната информация за лекарството за потенциалните странични ефекти при приемането на това лекарство.
Информация за наркотиците на FDA
- Описание на лекарството
- Показания
- Странични ефекти
- Предупреждения
- Предпазни мерки
- Предозиране
- Клинична фармакология
- Ръководство за лекарства
Описание за Lortab Elixir
Хидрокодонът битартрат и ацетаминофен се доставят в течна форма за перорално приложение.
Предупреждение: Може да е формиране на навик (Вижте ПРЕДПАЗНИ МЕРКИ Информация за пациенти и Злоупотреба с наркотици и зависимост ).
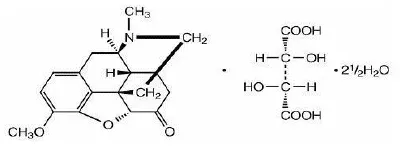
Хидрокодонът битартрат е опиоиден аналгетик и антитусивен и се среща като фини бели кристали или като кристален прах. Той е засегнат от светлина. Химическото наименование е 45α-епокси-3-метокси-17-метилморфинан-6-о-един тартрат (1: 1) хидрат (2: 5). Той има следната структурна формула:
|
C 18 H 21 Не 3 • c 4 H 6 0 6 • 2 ½ h 2 0
Ацетаминофен 4'-хидроксиацетанилид Леко горчивият бял кристален прах без миризма е не-опиален не-салицилатен аналгетик и антипиретик. Той има следната структурна формула:
|
C 8 H 9 Не 2
Lortab Elixir (хидрокодон битартрат и ацетаминофен перорален разтвор) съдържа:
Хидрокодон битартрат ........................ 2,5 mg
Ацетаминофен ................................. 167 mg
Алкохол ............................................... 7%
In addition the liquid contains the following inactive ingredients: citric acid anhydrous ethyl maltol glycerin methylparaben propylene glycol propylparaben purified water saccharin sodium sorbitol solution sucrose with D
Използване за Lortab Elixir
Lortab Elixir (хидрокодон битарат и ацетаминофен перорален разтвор) (хидрокодон битартрат и ацетаминофен перорален разтвор) е посочен за облекчаване на умерена до умерено силна болка.
Дозировка за Lortab Elixir
Дозировката трябва да се коригира според тежестта на болката и реакцията на пациента. Въпреки това трябва да се има предвид, че толерантността към хидрокодона може да се развие с продължителна употреба и че честотата на неблагоприятните ефекти е свързана с дозата.
Обичайната доза за възрастни е една супена лъжица на всеки 4 до 6 часа, ако е необходимо за болка. Общата дневна доза за възрастни не трябва да надвишава 6 супени лъжици. Обичайните дози за деца се дават от таблицата по -долу и трябва да се дават на всеки 4 до 6 часа, ако е необходимо за болка. Тези дози съответстват на средна индивидуална доза от 0,27 ml/kg лортаб еликсир (хидрокодон битаррат и ацетаминофен перорален разтвор) (осигуряващ 0,135 mg/kg хидрокодон битаррат и 9 mg/kg ацетаминофен). Дозирането трябва да се основава на теглото, когато е възможно.
| Телесно тегло | Приблизителна възраст | Доза На всеки 4 до 6 часа | Максимална обща дневна доза (6 дози на ден) |
| 12 до 15 кг 27 до 34 фунта. | 2 до 3 години | ¾ чаена лъжичка = 3,75 ml | 4 ½ чаени лъжички = 22,5 ml |
| 16 до 22 кг 35 до 50 фунта. | 4 до 6 години | 1 чаена лъжичка = 5 ml | 6 чаени лъжички = 30 ml |
| 23 до 31 кг 51 до 69 паунда. | 7 до 9 години | 1 ½ чаени лъжички = 7,5 ml | 9 чаени лъжички = 45 ml |
| 32 до 45 кг 70 до 100 фунта. | 10 до 13 години | 2 чаени лъжички = 10 ml | 12 чаени лъжички = 60ml |
| 46 кг и нагоре 101 фунта. и нагоре | 14 години за възрастни | 1 супена лъжица = 15 ml | 6 супени лъжици = 90 ml |
Общата дневна доза за деца не трябва да надвишава 6 дози на ден. От изключително значение е дозата на лортаб еликсир (хидрокодон битаррат и ацетаминофен перорален разтвор) да се прилага точно. Домакински чаена лъжичка или супена лъжица не е адекватно измервателно устройство, особено когато трябва да се измерва половината или три четвърти от чаена лъжичка. Като се има предвид неточността на мярката на домакинската лъжица и възможността за използване на супена лъжица вместо чаена лъжичка, която може да доведе до предозиране, силно се препоръчва да се грижат да получат и да използват калибрирано измервателно устройство. Доставчиците на здравни грижи трябва да препоръчат капкомер, който може да измерва и достави предписаната доза точно и да инструктира дарите на грижи да използват изключително внимание при измерването на дозата.
Колко се доставя
Lortab® Elixir (хидрокодон битартрат и ацетаминофен перорален разтвор) е оцветена в жълто оцветена течност с тропически плодов удар, съдържаща хидрокодон битаррат 7,5 mg и ацетаминофен 500 mg на 15 ml със 7% алкохол. Доставя се в контейнери от 1 пинта (473 ml) NDC 50474-909-16
Съхранение
Съхранявайте на 20 до 25 ° C (68 до 77 ° F). [Вижте USP контролирана стайна температура] Разпределете се в плътно устойчив на светло контейнер с устойчиво на деца затваряне. График CIII наркотик
Произведено за: UCB Pharma Inc. Smyrna GA 30080. Произведено от: Mikart Inc. Atlanta GA 30318. FDA Rev Дата: 8/3/2000
Странични ефекти за Lortab Elixir
Потенциалните ефекти на високата доза също са изброени в Предоставяне раздел.
Кардио-тренировъчен : Bradycardia сърдечен арест кръвоносно срив на бъбречната токсичност Хипотония на бъбречната тръбна некроза.
Централна нервна система/психиатрична : Безпокойство замаяност сънливост dysphoria euphoria страх от общо неразположение увреждане на умственото и физическото изпълнение летаргия светлоглава психично замъглено настроение променя психологическата зависимост се успокояване на сънливостта, прогресираща до ступор или кома.
Ендокрин : Хипогликемична кома.
Стомашно -чревна система : Коремна болка запек стомашен дистрес Верниночни кисели чернодробни некроза Хепатит окултна кръв за загуба на кръв гадене пептична язва и повръщане.
Genitourinary System : Спазъм на везикални сфинктери уретерален спазъм и задържане на урина.
Хематологичен : Агранулоцитоза Хемолитична анемия Дефицит на желязо Анемия Продължително време за кървене Тромбоцитопения.
Свръхчувствителност : Алергични реакции.
Мускулно -скелетна : Различия на скелетните мускули.
Дихателна депресия : Остра запушване на дихателните пътища Апнея, свързана с дозата респираторна депресия (виж Предоставяне ) задух.
Специални сетива : Съобщава се за случаи на увреждане на слуха или постоянна загуба предимно при пациенти с хронично предозиране.
Кожа : Студена и лепкава диафореза на кожата Pruritus обрив.
Злоупотреба с наркотици и зависимост
Контролирано вещество
Lortab Elixir (хидрокодон битаррат и ацетаминофен перорален разтвор) (хидрокодонов битартрат и ацетаминофен перорален разтвор) се класифицира като контролирано от график III вещество.
Злоупотреба и зависимост
Хидрокодонът може да доведе до зависимост от лекарството от типа морфин и следователно има потенциал да бъде злоупотребяван. Психологическата зависимост Физическата зависимост и толерантността могат да се развият при многократно прилагане на наркотици; Следователно този продукт трябва да бъде предписан и администриран с повишено внимание, подходящо за използването на други орални наркотични лекарства. Въпреки това е малко вероятно психологическата зависимост да се развие, когато хидрокодонът битартрат и ацетаминофен перорален разтвор се използват за кратко време за лечение на болка.
Физическа зависимост Състоянието, при което е необходимо продължаване на прилагането на лекарството, за да се предотврати появата на синдром на изтегляне, приема клинично значими пропорции само след няколко седмици продължителна употреба на наркотици, въпреки че може да се развие някаква лека степен на физическа зависимост след няколко дни наркотична терапия. Толерантността, при която се изискват все по -големи дози, за да се постигне същата степен на аналгезия, се проявява първоначално чрез съкратена продължителност на аналгетичен ефект и впоследствие чрез намаляване на интензивността на аналгезия. Скоростта на развитие на толерантността варира сред пациентите.
Лекарствени взаимодействия за лортаб еликсир
Пациентите, получаващи наркотици Антихистамини Антипсихотични средства за антианксичност или други депресанти на ЦНС (включително алкохол), едновременно с хидрокодон битаррат и ацетаминофен перорален разтвор могат да проявят адитивна депресия на CNS. Когато се обмисля комбинирана терапия, дозата на един или и двамата агенти трябва да бъде намалена.
Използването на MAO инхибитори или трициклични антидепресанти с хидрокодонови препарати може да увеличи ефекта или на антидепресанта, или на хидрокодона.
Взаимодействия между лекарства/лабораторни тестове
Ацетаминофенът може да доведе до фалшиво-положителни резултати от тестовете за уринарна 5-хидроксииндолеацетна киселина.
Предупреждения for Lortab Elixir
Дихателна депресия
При високи дози или при чувствителни пациенти хидрокодонът може да доведе до респираторна депресия, свързана с дозата, като действа директно върху респираторния център на мозъка. Хидрокодонът също засяга центъра, който контролира дихателния ритъм и може да доведе до неправилно и периодично дишане.
Бебетата може да имат повишена чувствителност към респираторните депресантни ефекти на опиоидите (виж ПРЕДПАЗНИ МЕРКИ Педиатрична употреба). Ако се обмисля използването на лортаб еликсир (хидрокодон битартрат и ацетаминофен перорален разтвор) при такива пациенти, той трябва да се прилага предпазливо при значително намалени първоначални дози от персонала, опитващ се при прилагане на опиоиди на бебета и с интензивно наблюдение.
Нараняване на главата и повишено вътречерепно налягане
Респираторните депресантни ефекти на наркотиците и способността им да повишат налягането на цереброспиналната течност могат да бъдат значително преувеличени в присъствието на нараняване на главата Други вътречерепни лезии или съществуващо увеличаване на вътречерепното налягане. Освен това наркотиците предизвикват нежелани реакции, които могат да затъмнят клиничния ход на пациентите с наранявания на главата.
Остри коремни състояния
Прилагането на наркотици може да затъмни диагнозата или клиничния ход на пациенти с остри коремни състояния.
Предпазни мерки for Lortab Elixir
Общи
Пациенти със специален риск
Както при всеки наркотичен аналгетичен агент Lortab Elixir (хидрокодон битаррат и ацетаминофен орален разтвор) трябва да се използва с повишено внимание при възрастни или инвалитирани пациенти и тези с тежко увреждане на чернодробната или бъбречната функция хипотиреоидизъм на болестта на Адисън Простатична хипертрофия или уретрална стрикт. Трябва да се наблюдават обичайните предпазни мерки и трябва да се има предвид възможността за респираторна депресия.
Рефлекс на кашлица
Хидрокодонът потиска рефлекса на кашлицата; Както при всички наркотици, трябва да се упражнява предпазливост, когато Lortab Elixir (хидрокодон битартрат и ацетаминофен перорален разтвор) се използват следоперативно и при пациенти с белодробна болест.
Информация за пациенти
Хидрокодон като всички наркотици може да наруши умствените и/или физическите способности, необходими за изпълнение на потенциално опасни задачи, като шофиране на автомобил или работещи машини. Такива задачи трябва да се избягват, докато приемате този продукт. Алкохолът и други депресанти на ЦНС могат да произвеждат адитивна депресия на ЦНС, когато се приемат с този комбиниран продукт и трябва да се избягват.
Хидрокодонът може да се образува навик. Пациентите трябва да приемат лекарството само толкова дълго, колкото е предписано в предписаните количества и не по -често от предписаното.
Лекарите трябва да инструктират пациентите и полагащите грижи да четат Информационна листовка на пациента който се появява като последния раздел на етикетирането.
Лабораторни тестове
При пациенти с тежки чернодробни или бъбречни заболявания на терапията трябва да се наблюдават със серийни тестове за черен дроб и/или бъбречна функция.
Канцерогенеза мутагенеза Нарушаване на плодовитостта
Не са проведени адекватни проучвания при животни, за да се определи дали хидрокодонът има потенциал за мутагенеза на карциногенезата или увреждане на плодовитостта.
Хидрокодонът не е демонстрирал мутагенна потенциал, използвайки теста на Ames Salmonella-Microsomal Activation Тестът BASC на зародишни клетки на Drosophila и теста на микронуклеуса върху костния мозък на мишката.
Не са проведени адекватни проучвания при животни, за да се определи дали ацетаминофенът има потенциал за мутагенеза на карциногенезата или увреждане на плодовитостта.
Ацетаминофенът не е демонстрирал мутагенен потенциал, използвайки теста за активиране на AMES Salmonella-Microsomal, тестът за BASC на зародишни клетки на Drosophila и теста на микронуклеуса върху костен мозък на мишката.
Бременност
Тератогенни ефекти
Бременност Category C
Няма адекватни и добре контролирани проучвания при бременни жени. Lortab Elixir трябва да се използва по време на бременност, само ако потенциалната полза оправдае потенциалния риск за плода.
Нетератогенни ефекти
Бебетата, родени от майки, които редовно приемат опиоиди преди раждането, ще бъдат физически зависими. Признаците за изтегляне включват раздразнителност и прекомерни плачещи тремори Хиперактивни рефлекси Повишени дихателни скорости Повишени изпражнения с кихане на прозяване на прозяване и треска. Тези знаци обикновено се появяват през първите няколко дни от живота. Интензивността на синдрома не винаги корелира с продължителността на употребата или дозата на опиоидите на майката. Няма консенсус относно най -добрия метод за управление на оттеглянето.
Труд и доставка
Наркотичните аналгетици пресичат плацентарната бариера. Колкото по -близо до доставката и по -голямата дозата използва, толкова по -голяма е възможността за респираторна депресия при новороденото. По време на раждането трябва да се избягват наркотични аналгетици, ако се очаква доставяне на недоносено бебе. Ако майката е получила наркотични аналгетици по време на лейбърите за новородени, трябва да се наблюдават внимателно признаци на респираторна депресия. Може да се изисква реанимация (виж Предоставяне ). The effect of hydrocodone if any on the later growth development и functional maturation of the child is unknown.
Кърмещи майки
Ацетаминофенът се отделя в кърмата в малки количества, но значението на ефектите му върху кърмачетата за кърмене не е известно. Не е известно дали хидрокодонът е екскретен в човешкото мляко. Тъй като много лекарства се отделят в човешкото мляко и поради потенциала за сериозни нежелани реакции при кърмачета от хидрокодон и ацетаминофен, трябва да се вземе решение дали да се прекрати кърменето или да се преустанови лекарството, като се вземе предвид значението на лекарството за майката.
Педиатрична употреба
Безопасността и ефективността в педиатричната популация под две години не са установени. Използването на лортаб еликсир (хидрокодон битартрат и ацетаминофен перорален разтвор) в педиатричната популация се подкрепя от доказателствата от адекватни и добре контролирани проучвания на комбинационни продукти на хидрокодон и ацетаминофен при възрастни с допълнителни данни, които подкрепят развитието на метаболичните пътища при деца на две години и над (виж (вж. Доза и приложение за информация за педиатрична доза)
Гериатрична употреба
Клиничните проучвания на хидрокодонов битартрат и ацетаминофен перорален разтвор не включват достатъчен брой лица на възраст над 65 години, за да се определи дали реагират различно от по -младите лица. Други отчетени клиничен опит не са установили разлики в отговорите между възрастни и по -млади пациенти. Като цяло изборът на доза за възрастен пациент трябва да бъде предпазлив обикновено, като се започне от ниския край на обхвата на дозиране, отразяващ по -голямата честота на намалена чернодробна бъбречна или сърдечна функция и на съпътстваща болест или друга лекарствена терапия.
Известно е, че хидрокодонът и основните метаболити на ацетаминофен са значително екскретирани от бъбрека. По този начин рискът от токсични реакции може да бъде по -голям при пациенти с нарушена бъбречна функция поради натрупването на родителското съединение и/или метаболитите в плазмата. Тъй като възрастните пациенти са по -склонни да имат намалена грижа за бъбречната функция, трябва да се поемат при подбор на дозата и може да е полезно да се следи бъбречната функция.
Хидрокодонът може да причини объркване и свръх седация при възрастни хора; По принцип пациентите в напреднала възраст трябва да се стартират при ниски дози хидрокодон битартрат и ацетаминофен перорален разтвор и се наблюдават отблизо.
Информация за предозиране за Lortab Elixir
След остра токсичност за предозиране може да бъде резултат от хидрокодон или ацетаминофен.
Признаци и симптоми
Токсичността от отравяне с хидрокодон включва опиоидната триада за загуба на съзнание, определени ученици и респираторна депресия (Cheyne-Stokes дихателна цианоза намаляване на дихателната честота и/или обема на приливите). Може да се появят конвулсии.
Токсичната доза ацетаминофен за възрастни е 10 грама. При възрастни чернодробната токсичност рядко се съобщава с остри предозиви под 10 грама или жертви с по -малко от 15 грама.
Ранните симптоми след потенциално хепатотоксично предозиране на ацетаминофен могат да включват диафореза общо неразположение и повръщане. Клиничните и лабораторни доказателства за чернодробната токсичност може да не са очевидни до 48 до 72 часа след похода.
Други признаци и симптоми на предозиране на този продукт включват бридакардия студена и лепкава кожа Екстремна сънливост, прогресираща до ступор или кома Хипогликемична кома Хипотония бъбречна тръбна некроза скелетна мускулна мускулатната тромбоцитопения.
При тежка апнея на предозиране; кръвоносен срив; сърдечен арест; дозозависима потенциално фатална чернодробна некроза; и може да настъпи смърт.
Лечение
Препоръчва се единично или множествено предозиране с хидрокодон и ацетаминофен и консултация с регионален център за контрол на отровите.
Незабавното лечение включва подкрепата на кардиореспираторната функция и мерките за намаляване на повръщането на абсорбция на лекарства трябва да се индуцира със сироп на ипекак, ако пациентът е нащрек (адекватни фарингеални и ларингеални рефлекси). Орално активиран въглен (1 g/kg) трябва да следва изпразване на стомаха. Първата доза трябва да бъде придружена от подходящ катартик. Ако се използват многократни дози, катартикът може да бъде включен с алтернативни дози според изискванията. Хипотонията обикновено е хиповолемична и трябва да реагира на течности. Вазопресорите и други поддържащи мерки трябва да бъдат използвани, както е посочено. Трябва да се постави маншетна ендо-трахеална тръба преди стомашно промиване на безсъзнателния пациент и когато е необходимо, за да се осигури асистирано дишане.
Трябва да се обърне внимателно внимание на поддържането на адекватна белодробна вентилация. При тежки случаи на интоксикация перитонеална диализа или за предпочитане може да се разглеждат хемодиализа. Ако се появи хипопротромбинемия поради ацетаминофен предозиране Витамин К трябва да се прилага интравенозно.
Какъв вид лекарство е Aleve
Налоксон Наркотичен антагонист може да обърне респираторната депресия и кома, свързана с предозиране с опиоиди. Налоксон хидрохлорид от 0,4 mg до 2 mg се дава парентерално. Тъй като продължителността на действието на хидрокодон може да надвиши тази на налоксона, пациентът трябва да се държи при непрекъснато наблюдение и да се прилагат многократни дози от антагониста, ако е необходимо, за да се поддържа адекватно дишане. Наркотичен антагонист не трябва да се прилага при липса на клинично значима респираторна или сърдечно -съдова депресия.
Ако дозата на ацетаминофен може да е надвишила 140 mg/kg ацетилцистеин, трябва да се прилага възможно най -рано. Серумните нива на ацетаминофен трябва да се получат, тъй като нива четири или повече часа след поглъщане помагат да се предвиди токсичност на ацетаминофен. Не очаквайте резултатите от анализа на ацетаминофен преди започване на лечение. Чернодробните ензими трябва да се получават първоначално и да се повтарят на интервали от 24 часа.
Метемоглобинемия над 30% трябва да се лекува с метиленово синьо чрез бавно интравенозно приложение.
Противопоказания за Lortab Elixir
Този продукт не трябва да се прилага на пациенти, които преди това са проявявали свръхчувствителност към хидрокодон ацетаминофен или друг компонент на този продукт.
Пациентите, за които се знае, че са свръхчувствителни към други опиоиди, могат да проявяват кръстосана чувствителност към хидрокодон.
Клинична фармакология for Lortab Elixir
Хидрокодонът е полусинтетичен наркотичен аналгетик и антитусивен с множество действия, качествено подобни на тези на кодеина. Повечето от тях включват централната нервна система и гладката мускулатура. Точният механизъм на действие на хидрокодон и други опиати не е известен, въпреки че се смята, че се отнася до съществуването на опиатни рецептори в централната нервна система. В допълнение към аналгенията, наркотиците могат да доведат до промени в сънливостта в настроението и психическото замъгляване.
Аналгетичното действие на ацетаминофен включва периферни влияния, но специфичният механизъм е все още неопределен. Антипиретичната активност се медиира чрез хипоталамични центрове за регулиране на топлината. Ацетаминофен инхибира простагландин синтетазата. Терапевтичните дози ацетаминофен имат незначителни ефекти върху сърдечно -съдовите или дихателните системи; Въпреки това токсичните дози могат да причинят недостатъчност на кръвообращението и бързото плитко дишане.
Фармакокинетика
Поведението на отделните компоненти е описано по -долу.
Хидрокодон
След 10 mg перорална доза хидрокодон, прилаган на пет възрастни мъже, средната концентрация на пика е 23,6 ± 5,2 ng/ml. Максималните серумни нива бяха постигнати при 1,3 ± 0,3 часа, а полуживотът се определя на 3,8 ± 0,3 часа. Хидрокодонът показва сложен модел на метаболизъм, включително N-деметилиране N-деметилиране и 6-кето редукция до съответните 6-α- и 6-β-хидроксиметаболити.
Виж Предоставяне за информация за токсичност.
Ацетаминофен
Ацетаминофен is rapidly absorbed from the gastrointestinal tract и is distributed throughout most body tissues. The plasma half-life is 1.25 to 3 hours but may be increased by liver damage и following overdosage. Elimination of acetaminophen is principally by liver metabolism (conjugation) и subsequent renal excretion of metabolites. Approximately 85% of an oral dose appears in the urine within 24 hours of administration most as the glucuronide conjugate with small amounts of other conjugates и unchanged drug.
Виж Предоставяне за информация за токсичност.
Информация за пациента за Lortab Elixir
Lortab® Elixir (хидрокодон битартрат и ацетаминофен перорален разтвор)
(Хидрокодонов битартрат и ацетаминофен перорален разтвор) 7,5 mg/500 mg на 15 ml
Резюме
Lortab (произнася се lor-tab) се използва за облекчаване на умерена до умерено силна болка. Не трябва да приемате Lortab Elixir (хидрокодон битартрат и ацетаминофен перорален разтвор), ако сте алергични към хидрокодон или ацетаминофен. Най-често срещаните странични ефекти на Lortab Elixir (хидрокодон битартрат и ацетаминофен орален разтвор) са коремната болка замаяност сънливостта светлоглава гадене на гадене за дишане необичайна умора и повръщане. Вземете това лекарство според указанията на Вашия лекар. Не приемайте повече от него, не го приемайте по -често и не го приемайте за по -дълго време, отколкото е поръчал Вашият лекар.
Употреби
Lortab Elixir (хидрокодон битаррат и ацетаминофен перорален разтвор) е аналгетик, използван за облекчаване на умерена до умерено силна болка. Lortab Elixir (хидрокодон битаррат и ацетаминофен перорален разтвор) е комбиниран продукт, съдържащ хидрокодон (Hye-droe-KO-Done) битартрат и ацетаминофен (A-SEAT-A-MIN-OH-FEN). Хидрокодонът е наркотичен облекчение и потискане на кашлицата. Ацетаминофенът е ненаркотично облекчаване на болката и редуктор на треска. Наркотичният аналгетик и ацетаминофен, използвани заедно, могат да осигурят по -добро облекчаване на болката, отколкото всеки продукт, използван сам. Ако имате въпроси, моля, обадете се на Вашия лекар или фармацевт.
Общи Cautions
_ Не приемайте това лекарство, ако имате алергии или необичайни реакции на наркотични облекчения на болката или ацетаминофен, тъй като е вероятно да сте алергични към лортаб еликсир (хидрокодон битаррат и ацетаминофен перорален разтвор).
_ Този продукт може да попречи на вашите умствени и физически способности, необходими за изпълнение на потенциално опасни задачи, като шофиране на автомобил или операционна машина. Такива задачи трябва да се избягват, докато приемате този продукт.
_ Това лекарство може да не е подходящо за вас. Консултирайте се с Вашия лекар или фармацевт, ако:
_ са бременни.
_ се кърмят.
_ приемат други лекарства; наркотични облекчения за болка; лекарства за алергия; антидепресанти; Ацетаминофен-съдържащи лекарства или други лекарства, които причиняват депресия на централната нервна система, включително алкохол.
_ имат други медицински проблеми: история на злоупотреба с наркотици или алкохол; Скорошна контузия на главата; емфизема астма или друга хронична белодробна болест; чернодробно заболяване бъбречно заболяване; Неубективната болест на щитовидната жлеза Аддисон Увеличена простата или затруднено уриниране.
Правилна употреба
Вземете това лекарство според указанията на Вашия лекар. Не го споделяйте с никой друг. Това лекарство може да причини зависимост от наркотици и има потенциал за злоупотреба. Не приемайте повече от него, не го приемайте по -често и не го приемайте за по -дълго време, отколкото е поръчал Вашият лекар. Ако смятате, че това лекарство не работи правилно, след като го приемате за известно време, не увеличавайте дозата. Консултирайте се с Вашия лекар или фармацевт.
Дозиране
Дозата на това лекарство ще бъде различна за различните пациенти. Следвайте указанията, предоставени от Вашия лекар. Следната информация включва само средните дози от това лекарство. Ако вашата доза е различна, не променяйте дозите, освен ако вашият лекар не ви каже да го направите.
| Телесно тегло | Приблизителна възраст | Доза На всеки 4 до 6 часа | Максимална обща дневна доза (6 дози на ден) |
| 12 до 15 кг 27 до 34 фунта. | 2 до 3 години | ¾ чаена лъжичка = 3,75 ml | 4 ½ чаени лъжички = 22,5 ml |
| 16 до 22 кг 35 до 50 фунта. | 4 до 6 години | 1 чаена лъжичка = 5 ml | 6 чаени лъжички = 30 ml |
| 23 до 31 кг 51 до 69 паунда. | 7 до 9 години | 1 ½ чаени лъжички = 7,5 ml | 9 чаени лъжички = 45 ml |
| 32 до 45 кг 70 до 100 фунта. | 10 до 13 години | 2 чаени лъжички = 10 ml | 12 чаени лъжички = 60ml |
| 46 кг и нагоре 101 фунта. и нагоре | 14 години за възрастни | 1 супена лъжица = 15 ml | 6 супени лъжици = 90 ml |
Много е важно Lortab Elixir (хидрокодон битартрат и ацетаминофен перорален разтвор) да се дозира точно. Домакински чаена лъжичка или супена лъжица не е точно измервателно устройство, особено когато трябва да се измерва половината или три четвърти от чаена лъжичка.
Тъй като битовата чаена лъжичка не е точна и може да се смеси със супена лъжица (което може да причини додоза), силно се препоръчва да получите и използвате правилно измервателно устройство. Попитайте Вашия лекар или фармацевт за помощ, за да намерите капкомер, който може да измери правилно дозата, и да поиска помощ, ако не разбирате как да използвате капкомера.
Пропуснато доза
_ За да се избегне евентуално предозиране е важно да не приемате повече от една доза наведнъж или че не приемате дози на интервали по -малко от 4 часа един от друг.
_ Ако пропуснете да приемате доза Lortab Elixir (хидрокодон битаррат и ацетаминофен орален разтвор), вземете го веднага щом си спомните. Въпреки това не забравяйте да изчакате поне 4 часа, преди да вземете следващата си доза.
_ Ако сте пропуснали да вземете доза и е почти време за следващата ви доза пропуснете пропуснатата доза и вземете лекарството си по план.
_ Не удвоявайте предписаната доза.
Възможни странични ефекти
Страничните ефекти, които може да изпитате, включват коремна болка запек затруднено уриниране на замаяност сънливост Страх размито мислене общо чувство на дискомфорт или болест светлоглава настроение променя гаденето нервност обрив за намаляване на дишането по-бавни реакции Необичайна умора и повръщане.
Обадете се на Вашия лекар, ако тези ефекти продължават или се притесняват.
Понякога могат да се появят странични ефекти, които не са изброени по -горе. Ако забележите някакви други ефекти, проверете с Вашия лекар.
Съхранение
_ Пазете извън обсега на децата.
_ Съхранявайте при стайна температура (предпазвайте от топлина, не се охлаждат).
_ Дръжте в оригинална етикетирана бутилка.
_ Изхвърлете лекарствата, които са стари или вече не са необходими.
_ Дори едно предозиране на това лекарство може да бъде животозастрашаваща ситуация. Ако подозирате, че вие или някой друг може да сте приели повече от предписаната доза от това лекарство, свържете се с местния център за контрол на отровата или спешното отделение. Това лекарство е предписано за вашето конкретно състояние. Не използвайте, ако за друго състояние или дайте лекарството на други.
_ Тази листовка предоставя обобщение на информацията за Lortab Elixir (хидрокодон битартрат и ацетаминофен перорален разтвор). Ако имате някакви въпроси или притеснения или искате повече информация за Lortab Elixir (хидрокодон битаррат и ацетаминофен орален разтвор), свържете се с Вашия лекар или фармацевт. Вашият фармацевт също има по -дълга листовка за Lortab Elixir (хидрокодон битартрат и ацетаминофен орален разтвор), който е написан за здравни специалисти, които можете да поискате да прочетете.