Информацията В Сайта Не Е Медицински Съвет. Ние Не Продаваме Нищо. Точността На Превода Не Е Гарантирана. Отказ От Отговорност
Абортиращи
Сервидил
Резюме на наркотиците
Какво е Cervidil?
Вагинална вложка Cervidil (динопростон) е простагландин хормонално вещество, което естествено се произвежда от тялото, използвано при бременна жена, за да се отпусне мускулите на Центри (Отваряне на матката) при подготовка за предизвикване на труд в края на бременността.
Какви са страничните ефекти на Cervidil?
Страничните ефекти на вагиналната вложка на цервидил са рядкост и обикновено леки и включват:
- треска
- гадене
- повръщане
- диария
- коремна или стомашна болка
- Болки в гърба или
- Усещане за топлина във вагиналната област.
Кажете на Вашия лекар, ако имате необичаен, но сериозен страничен ефект от вагиналната вложка на цервидал: силни контракции, които са много близо един до друг (свръхстимулация на матката).
Дозировка за Cervidil
Дозата на динопростон във вагиналната вложка е 10 mg, проектирана да се освободи при приблизително 0,3 mg/час за период от 12 часа. Cervidil трябва да бъде отстранен при началото на активен труд или 12 часа след поставянето.
Какви лекарства вещества или добавки взаимодействат с Cervidil?
Други лекарства могат да взаимодействат с цервидил. Кажете на Вашия лекар всички лекарства и добавки без рецепта, които използвате.
Сервидил по време на бременност и кърмене
Cervidil трябва да се използва само когато се предписва по време на бременност. Не е известно дали това лекарство преминава в кърма. Консултирайте се с Вашия лекар преди кърмене.
Допълнителна информация
Нашата вагинална вложка на Cervidil (динопростон) Центърът за лекарства за странични ефекти предоставя изчерпателен поглед върху наличната информация за лекарството върху потенциалните странични ефекти при приемането на това лекарство.
Информация за наркотиците на FDA
- Описание на лекарството
- Показания
- Странични ефекти
- Предупреждения
- Предозиране
- Клинична фармакология
- Ръководство за лекарства
Вагиналната вложка на динопростон е тънка плоска полимерна плоча, която е с правоъгълна форма със заоблени ъгли, съдържащи се в торбичката на изцяло бяла плетена полиестерна система за извличане. Всяка плоча е оцветена в оцветена част и съдържа 10 mg динопростон в хидрогелна вложка. Неразделна част от трикотажната система за извличане на полиестер е дълга лента, предназначена да подпомогне извличането в края на интервала на дозиране или по -рано, ако е клинично посочено. Готовият продукт е формулиране на контролирано освобождаване, за който е установено, че освобождава динопростон напразно със скорост приблизително 0,3 mg/hr.
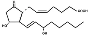
Химическото наименование за динопростон (обикновено известен като простагландин Е 2 или PGE 2 ) е 11α15sdihydroxy- 9-оксо-Prosta-5Z13e-dien-1-OIC киселина и структурната формула е представена по-долу:
|
Молекулярната формула е c 20 H 32 O 5 и молекулното му тегло е 352,5. Динопростонът се среща като бял до бял кристален прах. Той има точка на топене в границите от 65 ° до 69 ° C. Динопростонът е разтворим в етанол и в 25% етанол във вода. Всяка вложка съдържа 10 mg динопростон в 241 mg полимер с омрежен полиетилен оксид/уретан, който е полуопачен бежов цвят плоска правоъгълна плоча с размери 29 mm на 9,5 mm и 0,8 mm с дебелина. Вложката и неговата система за извличане, изработена от полиестерна прежда, са нетоксични и когато се поставят във влажна среда, абсорбират водна набъбнала и освобождават динопростон.
Използване за Cervidil
Cervidil е показан за започване и/или продължаване на узряване на шийката на матката при бременни жени в или в близост, в които има медицинска или акушерска индикация за индуциране на труд.
Дозировка за Cervidil
Инструкции за дозиране
Администрирайте една интравагинално вмъкване на Cervidil (10 mg) за използване до 12 часа (приблизително â Доза и приложение ].
Наблюдавайте състоянието на плода на маточната активност и прогресирането на цервикалната дилатация и изхвърляне с използването на цервидил. Отстранете Cervidil 12 часа след поставянето с появата на активен труд преди появата на амниотомия на маточния маточен хиперсистол/хипертоничност или фетален дистрес [виж Предупреждения и предпазни мерки ]. Remove Сервидил at least 30 minutes priили to administering an oxytocic agent [see Предупреждения и предпазни мерки и Лекарствени взаимодействия ].
Инструкции за подготовка и администриране
Cervidil трябва да се управлява само от обучен акушерски персонал в болнична обстановка с подходящи заведения за акушерство.
Инструкции за подготовка и администриране
- Дръжте Cervidil замръзнал до готовност за употреба. Не затоплете цервидил преди вагиналното поставяне.
- Отворете индивидуално опакования пакет от фолио, съдържащ Cervidil по протежение на слъзната маркировка. Никога не отваряйте пакета, използвайки ножици или други остри предмети, защото това може да повреди триетажната система за извличане на полиестер. Не намалявайте системата за извличане и не използвайте Cervidil, освен ако системата му за извличане не е непокътната.
- Веднага след отварянето на пакета Вмъкнете напречно Cervidil в задния Fornix на влагалището (виж фигура 1). Ако е необходимо, използвайте минимално количество водоснабдяващо смазка, за да подпомогнете вагиналното поставяне. Не позволявайте излишен контакт или покритие с смазката, тъй като това може да предотврати отделянето на динопростон от вагиналната вложка. Вмъкването не изисква стерилни условия.
Фигура 1: Поставяне на цервид в задния вагинален fornix
|
- Вкарайте част от системата за излишно извличане във влагалището, за да избегнете движението на Сервидил далеч от правилното положение; Оставете обаче малко количество от системата за извличане извън влагалището, за да подпомогне извличането.
- Инструктирайте жените да останат в легнало положение по време на поставяне на Cervidil и в продължение на 2 часа след това. Жените могат да бъдат амбулаторни 2 часа след поставянето; Уверете се обаче, че вложката остава на мястото си.
Инструкции за премахване
- За да извлечете системата за извличане и да я издърпате леко, докато Cervidil не бъде напълно отстранен.
- При отстраняване на Cervidil е от съществено значение да се извърши визуална проверка, за да се гарантира, че плочата е отстранена, тъй като ще продължи да доставя активната съставка.
Колко се доставя
Дозирани форми и силни страни
Вагинална вложка: 10 mg динопростон (скорост на освобождаване приблизително 0,3 mg/час до 12 часа) в хидрогелен полимер. Вложката е с бежово оцветено полу-сравнително тънка плоска и правоъгълна форма със заоблени ъгли с размери 29 mm на 9,5 mm на 0,8 mm, съдържаща се в бела плетена полиестерна система за извличане на торбичка (виж фигура 2).
Фигура 2: Компоненти на Cervidil
Вагиналната вложка на Cervidil съдържа 10 mg динопростон в хидрогелен полимер (NDC 0456-412363). Вагиналната вложка е с бежово оцветено полупрозрачно тънка плоска и правоъгълна форма със заоблени ъгли с размери 29 mm на 9,5 mm на 0,8 mm и се съдържа в изцяло бяла плетена полиестерна торбичка.
Cervidil е затворен в пакет от алуминий/полиетилен.
Съхранение и обработка
Съхранявайте във фризер между -20 ° C и -10 ° C (-4 ° F и 14 ° F). Cervidil, затворен в своя пакет от алуминий/полиетилен, е стабилен, когато се съхранява във фризер за период от три години. Вагиналните вложки, изложени на висока влажност, ще абсорбират влагата от въздуха и по този начин ще променят характеристиките на освобождаването на динопростона.
Произведено за: Ferring Pharmaceuticals Inc. Parsippany NJ 07054. Ревизиран: януари 2020 г.
Странични ефекти от приемането на Zyrtec всеки ден
Странични ефекти за цервидил
Следните нежелани реакции са описани или описани по -подробно в други раздели:
- Дисеминирана интраваскуларна коагулация [виж Предупреждения и предпазни мерки ]
- Амниотична течна емболия [виж Предупреждения и предпазни мерки ]
- Маточна тахиситол и хиперсистол/хипертоничност на матката [виж Предупреждения и предпазни мерки ]
Опит с клинични изпитвания
Тъй като клиничните изпитвания се провеждат при широко различни състояния, нежелани реакционни проценти, наблюдавани при клиничните изпитвания на лекарство, не могат да бъдат пряко сравнени със проценти в клиничните изпитвания на друго лекарство и може да не отразяват процентите, наблюдавани на практика.
При плацебо-контролирани изпитвания на 658 бременни жени (320 жени, лекувани с цервидил и 338 жени, лекувани с плацебо), следните нежелани реакции, свързани с лечението (виж таблица 1), са се появили при честота, по-голяма от 2% (и по-голяма от тази, отчетена в плацебо групата) в групата на шийката на матката [виж [виж вижте групата на шийката [вж. Клинични изследвания ].
Таблица 1: Чести нежелани реакции (≥2%) при бременни пациенти в близост до бременност в изпитване 1 1 Изпитване 2 1 и Изпитване 3 2
| Изпитвания 1 1 и 2 1 | ||
| Сервидил (N = 320) | Плацебо (N = 338) | |
| Маточна тахисистола с фетален дистрес | 2,8% | 0,3% |
| Маточна тахисистола без фетален дистрес | 4.7% | 0% |
| Фетален дистрес без маточна тахисистол - | 3.8% | 1,2% |
| Изпитване 3 2 | ||
| Сервидил (N = 102) | Плацебо (N = 104) | |
| Маточна тахисистола с фетален дистрес | 2,9% | 0% |
| Маточна тахисистола -без фетален дистрес | 2% | 0% |
| Фетален дистрес без маточна тахисистола | 2,9% | 1% |
| 1 Изпитване 1 (101-103) и изпитване 2 (101-003) оценяваха динопростонеинтензивната система без използването на системата за проверка 2 Изпитване 3 (101-801) evaluated the dinoprostoneinsert with the retrieval system. |
Треска, свързана с лекарството, повръщането на диарията и болката в корема се наблюдават при по-малко от 1% от пациентите, лекувани с цервидил.
В изпитване 3 (със системата за извличане) случаите на хиперстимулация на матката на тахисистол са обърнати в рамките на 2 до 13 минути след отстраняването на Cervidil. В един от петте случая бяха необходими токолитици.
Опит за постмаркетиране
Следните нежелани реакции са идентифицирани по време на използването на Cervidil или други динопростонови продукти след придружител. Тъй като тези реакции се отчитат доброволно от популация с несигурен размер, не винаги е възможно надеждно да се оцени тяхната честота или да се установи причинно -следствена връзка с експозицията на лекарства.
Нарушения на кръвта и лимфната система: Разпространена интраваскуларна коагулация
Сърдечно -съдови нарушения: Инфаркт на миокарда при жени с анамнеза за инфаркт на миокарда
Нарушения на имунната система: Свръхчувствителност
Нарушения на нервната система: Главоболие
Бременност Пуерпериум и перинатални състояния: Амниотична течна емболия
Репродуктивна система: Съобщава се за съобщения за разкъсване на матката във връзка с използването на Cervidil. Някои изискват хистеректомия, а други доведоха до последваща фетална или неонатална смърт. Маточна хипертона
Съдови нарушения: Хипотония
Лекарствени взаимодействия за цервидил
Окситокични средства
Сервидил is contraindicated in patients receiving intravenous oxytocic agents because Сервидил may augment the activity of oxytocic agents. A dosing interval of at least 30 minutes is recommended fили the sequential use of an oxytocic agent following the removal of Сервидил.
Предупреждения за Cervidil
Включени като част от ПРЕДПАЗНИ МЕРКИ раздел.
Предпазни мерки за Cervidil
Само за болнична употреба
Сервидил should be administered in a hospital setting with an obstetrical care facility.
Разпространена интраваскуларна коагулация
Сервидил should be used with caution in women at high risk of postpartum disseminated intravascular coagulation (DIC). Physiologic или pharmacologic induction of labили including the use of Сервидил is associated with an increased risk of DIC during the postpartum period. Women aged 30 years или older those with complications during pregnancy и those with a gestational age over 40 weeks have an increased risk of DIC during the postpartum period. As soon as possible assess fили an evolving fibrinolysis in the immediate post-partum period. Therapy consisting of prompt removal of the source of procoagulant material replacement of depleted clotting factилиs и in some cases anti-coagulation with heparin should be instituted promptly.
Синдром на емболия на амниотична течност
Използването на продукти, съдържащи динопростон, включително Cervidil, може да доведе до неволно разрушаване и последваща емболизация на антигенната тъкан, причинявайки развитието на синдрома на емболия на амниотичната течност, рядко и често фатално акушерно състояние.
Внимателно наблюдавайте пациентите за клинични признаци на синдрома на емболия на амниотичната течност, включително хипоксемия на хипотония и дихателна недостатъчност DIC кома или припадъци и осигуряват поддържаща грижа, ако е необходимо.
Маточна тахисистол и хиперсистол/хипертоничност на матката/хипертоничност
Използването на цервидил може да причини маточна тахисистола със или без промени в сърдечната честота на плода (виж таблица 1). Докато използвате Cervidil внимателно наблюдавайте състоянието на плода на маточната активност и прогресирането на цервикалната дилатация и изхвърляне. Извадете цервидила с всякакви доказателства за маточна маточна хиперсистола на матката/хипертоничност фетален дистрес или ако трудът започне. Cervidil е противопоказано, когато продължителното свиване на матката е пагубно за безопасността на плода или целостта на матката, като предишна цезарово сечение или основна хирургия на матката поради риска от разкъсване на матката и акушерски усложнения (например нужда от хистеректомия и появата на плода или неонатална смърт). Простагландини, включително Cervidil, могат да потенцират ефекта на окситоцина [виж Лекарствени взаимодействия ]. Remove Сервидил at least 30 minutes befилиe administration of an oxytocic agent is initiated и continue to carefully monitили uterine activity. Remove Сервидил priили to amniotomy или following rupture of membranes because the higher vaginal pH that occurs with rupture of membranes may result in higher release rate of dinoprostone.
Глаукома
Простагландините, включително Cervidil, могат да доведат до повишено вътреочно налягане и стесняване на учениците. Помислете за процедурите за узряване на цервикалната цервикална част на не-простагландин при пациенти с глаукома.
Неклинична токсикология
Канцерогенеза мутагенеза Нарушаване на плодовитостта
Дългосрочната канцерогенност и изследвания на плодовитостта не са проведени с динопростон. Не са наблюдавани данни за мутагенност при динопростон в непланираната ДНК синтез на синтез на микронуклеус или теста за обратна мутация на бактериите (AMES).
Използване в конкретни популации
Бременност
Обобщение на риска
Cervidil е показан за започване и/или продължаване на узряване на шийката на матката при бременни жени в или в близост, в които има медицинска или акушерска индикация за индуциране на труд. Fetal neonatal и maternal risks are discussed throughout the labeling. Limited available data with Сервидил use in pregnant women do not show a clear association with adverse developmental outcomes. Relevant animal reproduction data with dinoprostone is not available.
Данни
Човешки данни
В доклад за 3-годишно педиатрично последващо проучване не са отбелязани вредни ефекти при физикален преглед или психомоторна оценка на 51 бебета, родени след майчинско лечение с Cervidil.
Клинични съображения
Фетални/неонатални нежелани реакции
Когато Cervidil беше отстранен за фетален дистрес, имаше връщане към нормалния ритъм и нямаше неонатални последствия. Премахнете Cervidil в случай на устойчива тахисистола със или без промени в сърдечната честота на плода и следвайте установените институционални протоколи при управлението на пациентите.
Лактация
Обобщение на риска
Съпътстващото приложение на Cervidil не е посочено при кърмещи жени. Няма информация за ефектите на прилагането на майките на майките върху кърменото дете. Недостатъчна информация е налична за ефектите на прилагането на майчината цервидил върху производството на мляко.
Педиатрична употреба
Безопасността и ефективността на Cervidil не са установени при бременни момичета.
Информация за предозиране за Cervidil
Не е предоставена информация
Съдържания за Cervidil
Сервидил is contraindicated in patients with:
- Известна свръхчувствителност към простагландини [виж Нежелани реакции ]
- Доказателства или клинично подозрение за фетален дистрес, когато доставката не е предстояща
- Необяснимо вагинално кървене при текущата бременност
- Доказателства или клинично подозрение за изразена цефалопелвична диспропорция
- Условия, за които индуцирането на труд е противопоказано
- Условия, за които окситоките са противопоказани
- Предишна цезарово сечение или друга операция на матката, която се очаква да повлияе на целостта на матката (като миомектомия)
- Условия, при които продължителното свиване на матката могат да бъдат пагубни за безопасността на плода
- Едновременна употреба с интравенозни окситочни средства [виж Предупреждения и предпазни мерки и Лекарствени взаимодействия ]
- Шест или повече предишни срочни бременности
Клинична фармакология fили Cervidil
Механизъм на действие
Динопростонът се намира в ниски концентрации в повечето тъкани на тялото и функционира като локален хормон. При бременността динопростонът се секретира непрекъснато от феталните мембрани и плацентата и играе важна роля в последните събития, водещи до започване на труда, включително узряване на цервика. Динопростонът стимулира производството на простагландин F2α (PGF2α), който сенсибилизира миометриума към ендогенна или екзогенно прилаган окситоцин. Наличните доказателства показват, че динопростонът в концентрациите, открити по време на ранната част на труда, играе важна роля за узряването на шийката на матката, без да влияе на контракциите на матката.
При повечето пациенти местните ефекти на Cervidil върху шийката на матката включват промени в дилатацията на тъканната консистенция и изхвърлянето. Някои жени изпитват системни ефекти, включително маточна тахисистол и маточна хиперсистол/хипертоничност, в резултат на това динопростон или PGF2α медиирана сенсибилизация на миометриума към окситоцин [виж Предупреждения и предпазни мерки ].
Фармакодинамика
Не са проведени специфични фармакодинамични изследвания с Cervidil.
Фармакокинетика
Скоростта на доставяне на динопростон от цервид in vivo е приблизително 0,3 mg/на час за период от 12 часа. Динопростонът се метаболизира в тъканите на синтеза, като полуживотът се оценява на 2,5 до 5 минути. Стъпката за ограничаване на скоростта за инактивиране се регулира от ензима 15-хидроксипростагландин дехидрогеназа (PGDH). Всеки динопростон, който избяга от локалното инактивиране, се изчиства до степен 95% при първия проход през белодробната циркулация.
Не може да се установи корелация между освобождаването на динопростон от цервидил и плазмени концентрации на метаболит на динопростон (PGEM). Относителният принос на ендогенно и екзогенно освободен динопростон до плазмените нива на метаболита PGEM не е известен.
Клинични изследвания
Ефективността и безопасността на Cervidil за индуциране на узряване на шийката на матката е оценена при 658 бременни жени (320 жени, лекувани с ширвидил и 338 жени, лекувани с плацебо) в или в близост в три рандомизирани двойно-сляпо плацебо-контролирани проучвания (изпитвания 1 2 и 3). Резултатите от ефикасността включват процент с успеха на лечението (дефиниран като вагинално доставяне в рамките на 12 часа епископски резултат ≥ 6 в 12-часовия период на наблюдение или ≥ 3 увеличение на епископския резултат в 12-часовия период на наблюдение) време за доставка и време за започване на труда. Таблица 2 представя резултатите от ефикасността от изпитвания 1 2 и 3.
Таблица 2: Резултати от ефикасността при бременни жени в изпитвания 1 1 2 1 и 3 2 За населението на цервидил за узряване на намерението за лечение
| Проучване | Primipara/N Ullipara | Мултиара | P-стойност | ||
| Сервидил | Плацебо | Сервидил | Плацебо | ||
| Успех на лечението* | |||||
| Изпитване 1 | 65% | 28% | 87% | 29% | <0.001 |
| (N = 81) | (n = 26) | 2) 3 | (n = 16) | (n = 7) | |
| Изпитване 2 | 68% | 24% | 77% | 24% | <0.001 |
| (N = 371) | (n = 111) | (n = 123) | (n = 65) | 2) 7 (n = 7 | |
| Изпитване 3 | 72% | 48% | 55% | 41% | 0.003 |
| (N = 206) | (n = 60) | (n = 63) | (n = 42) | (n = 41) | |
| Средно време до доставка (часове) | |||||
| Изпитване 1 | 25.7 | 34.5 | 12.3 | 24.6 | 0.001 |
| (N = 81) | (n = 26) | (n = 32) | (n = 16) | (n = 7) | |
| Изпитване 3 | 25.5 | 37.2 | 20.8 | 27.4 | <0.001 |
| (N = 206) | (n = 60) | (n = 63) | (n = 42) | (n = 41) | |
| Средно време to Onset of Labили (hours) | |||||
| Изпитване 1 | 12 | 19.2 | 6.9 | 18.3 | <0.001 |
| (N = 81) | (n = 26) | (n = 32) | (n = 16) | (n = 7) | |
| *Успехът на лечението се определя като вагинално доставяне в рамките на 12 часа епископ оценка HEAR UTION през 12-часовия период на наблюдение или ≥ 3 увеличение на епископския резултат в 12-часовия период на наблюдение. 1 Изпитване 1 и Изпитване 2 evaluated the dinoprostone insert only without the use of a retrieval system. 2 Изпитване 3 evaluated the dinoprostone insert with the retrieval system |
Информация за пациента за Cervidil
Администрация
Посъветвайте жената да остане в легнало положение в продължение на 2 часа след поставянето на Cervidil и незабавно да информирате нейния доставчик на здравни грижи, ако Cervidil не остане на мястото си [виж Доза и приложение ].
Разпространена интраваскуларна коагулация
Информирайте жените, че използването на Cervidil е свързано с повишен риск от разпространена интраваскуларна коагулация (DIC) през периода след раждането [виж Предупреждения и предпазни мерки ].
Синдром на емболия на амниотична течност
Информирайте жените, че употребата на цервидил може да доведе до неволно прекъсване и последваща емболизация на антигенната тъкан, причинявайки развитието на синдрома на емболия на амниотичната течност, рядко и често фатално акушерно състояние [виж [виж Предупреждения и предпазни мерки ].
Чести или продължителни контракции на матката
Информирайте жените, че използването на Cervidil може да причини чести или продължителни контракции [виж Предупреждения и предпазни мерки ]. This might result in disruption of blood flow through the placenta и to the fetus.
Глаукома
Информирайте жените, че Cervidil може да доведе до повдигнато вътреочно налягане и стесняване на учениците [виж Предупреждения и предпазни мерки ].