Информацията В Сайта Не Е Медицински Съвет. Ние Не Продаваме Нищо. Точността На Превода Не Е Гарантирана. Отказ От Отговорност
Противогъбични, актуални
Nystop
Резюме на наркотиците
Какво е NYSTOP?
Нийстоп (нистатин) локален прах е противогъбичен антибиотик, използван за лечение на кожни инфекции, причинени от дрожди. Nystop локален прах се предлага в генеричен форма.
Какви са страничните ефекти на NYSTOP?
Nystop
- кошери
- затруднено дишане
- Подуване на лицето ви устни Език или гърло
- тежко изгаряне
- сърбеж на необмислена болка или дразнене, когато се прилага лекарството
Получете медицинска помощ веднага, ако имате изброени по -горе симптоми.
Общите странични ефекти на локалния прах на NYSTOP включват:
оферти за хотели с най-ниска цена
- дразнене на кожата
- сърбеж
- обрив
- изгаряне
- Екзема или
- зачервяване.
Много сериозна алергична реакция на локалния прах на NYSTOP е малко вероятно, но потърсете незабавна медицинска помощ, ако имате симптоми, включително:
- обрив
- сърбеж или swelling (especially of the face/tongue/throat)
- тежко замаяност или
- Проблем с дишането.
Потърсете медицинска помощ или се обадете на 911 наведнъж, ако имате следните сериозни странични ефекти:
- Сериозни симптоми на очите, като например внезапна загуба на зрение, замъглено зрение Тунел Виждане болка в очите или подуване или виждане на ореоли около светлините;
- Сериозни сърдечни симптоми като бързи нередовни или ударни сърдечни удари; трептене в гърдите ви; задух; и внезапно замаяност Лекоглавия или passing out;
- Тежка главоболие объркване затънала речева ръка или крак слабост проблем за ходене на загуба на координация, чувствайки се нестабилни много твърди мускули висока треска обилно изпотяване или тремор.
Този документ не съдържа всички възможни странични ефекти, а други могат да възникнат. Консултирайте се с вашия лекар за допълнителна информация за страничните ефекти.
Дозировка за NYSTOP
Дозата на NYSTOP за пациенти с възрастни и педиатрични е да прилага NYSTOP към кандидални лезии два или три пъти дневно, докато изцелението приключи. За гъбична инфекция на стъпалата, причинена от видовете кандида, прахът трябва да бъде прашен върху краката и при цялото износване на краката.
Какви лекарства вещества или добавки взаимодействат с NYSTOP?
Не е вероятно и други лекарства, които приемате перорално или инжектирането, ще окажат влияние върху локализирания NYSTOP. Много лекарства могат да си взаимодействат помежду си. Кажете на Вашия лекар всички лекарства и добавки без рецепта, които използвате.
Nystop по време на бременност или кърмене
NYSTOP трябва да се използва само ако е предписано по време на бременност. Не е известно дали това лекарство преминава в кърма. Консултирайте се с Вашия лекар преди кърмене.
Допълнителна информация
Нашият NYSTOP (NYSTATIN) ЛОДИЧНИ ПРАХОДНИ СТРАНСКИ ЕФЕНТИ Център за лекарства предоставя изчерпателен поглед върху наличната информация за лекарството върху потенциалните странични ефекти при приемането на това лекарство.
Информация за наркотиците на FDA
- Описание на лекарството
- Показания
- Странични ефекти
- Предупреждения
- Предозиране
- Клинична фармакология
- Ръководство за лекарства
Описание за NYSTOP
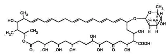
Нистатинът е полиен противогъбичен антибиотик, получен от Streptomyces nursi. Молекулярната формула за нистатин е c 47 H 75 Не 17 . Молекулното тегло на нистатин е 926.1.
Структурна формула:
|
Nystatin локален прах USP е за дерматологична употреба.
Nystatin локален прах USP съдържа 100000 USP Nystatin единици на грам, разпръснат в Talc.
опаковане за списък за пътуване
Използва за NYSTOP
Нистатиновият локален прах е показан при лечението на кожни или лигавични микотични инфекции, причинени от Candida albicans и други податливи Кандида видове .
Този препарат не е посочен за S YS Temic Oral Intravaginal или Ophthalmic US e.
Дозировка за NYSTOP
Много влажни лезии се обработват най -добре с локалния прах за прах.
Възрастни и педиатрични пациенти (новородени и по -възрастни)
Кандидатствайте за кандидатурни лезии два или три пъти дневно, докато изцелението приключи. За гъбична инфекция на краката, причинена от Кандида видове Прахът трябва да се праши върху краката, както и при цялото износване на краката.
Колко се доставя
Nystop® Nystatin локален прах USP се доставя като 100000 единици нистатин на грам за 15 g 30 g и 60 g пластмасови бутилки за изцеждане.
( NDC 0574-2008-15)
( NDC 0574-2008-30)
( NDC 0574-2008-02)
Съхранение
Съхранявайте при контролирана стайна температура 15 ° -30 ° C (59 ° -86 ° F); Избягвайте прекомерната топлина (40 ° C; 104 ° F).
Произведено от Perrigo Minneapolis MN 55427. Ревизиран: септември 2014 г.
Странични ефекти за NYSTOP
Честотата на нежеланите събития, отчетени при пациенти, използващи локални препарати на нистатин, е по -малка от 0,1%. По -често срещаните събития, които бяха докладвани, включват алергични реакции, изгарящи сърбеж на обрив Екзема и pain on application. (See ПРЕДПАЗНИ МЕРКИ : Общи .)
Лекарствени взаимодействия за NYSTOP
Не е предоставена информация.
Предупреждения за NYSTOP
Не е предоставена информация.
Предпазни мерки за NYSTOP
Общи
Нистатинът, локалният прах не трябва да се използва за лечение на системни орални интравагинални или офталмологични инфекции.
Ако дразненето или сенсибилизацията се развият лечението трябва да бъде прекратено и подходящи мерки, предприети според посоченото. Препоръчва се KOH да намазва културите или други диагностични методи за потвърждаване на диагностицирането на кожна или мукокутанна кандидоза и за изключване на инфекция, причинена от други патогени.
Лабораторни тестове
Ако липсва терапевтичен отговор, KOH намазва културите или други диагностични методи трябва да се повтаря.
Канцерогенеза мутагенеза Нарушаване на плодовитостта
Не са проведени дългосрочни проучвания за животни за оценка на канцерогенния потенциал на нистатин. Не са проведени проучвания за определяне на мутагенността на нистатин или неговите ефекти върху плодовитостта на мъжете или жените.
Бременност
Тератогенни ефекти
Категория В. Проучвания за възпроизвеждане на животни не са проведени с никоя локална подготовка на Nystatin. Също така не е известно дали тези препарати могат да причинят вреда на плода, когато се използват от бременна жена или могат да повлияят на репродуктивния капацитет. Нистатиновите локални препарати трябва да бъдат предписани за бременна жена само ако потенциалната полза за майката надвишава потенциалния риск за плода.
Кърмещи майки
Не е известно дали нистатинът е екскретен в човешкото мляко. Трябва да се внимава, когато нистатинът е предписан за медицинска сестра.
Педиатрична употреба
Безопасността и ефективността са установени в педиатричното население от раждането до 16 години. (Вижте Доза и приложение ).
Информация за предозиране за NYSTOP
Не е предоставена информация.
Противопоказания за NYSTOP
Локалният прах Nystatin е противопоказан при пациенти с анамнеза за свръхчувствителност към някой от неговите компоненти.
Клинична фармакология fили Nystop
Фармакокинетика
Нистатинът не се абсорбира от непокътната кожа или лигавицата.
100 mg бенадрил за алергична реакция
Микробиология
Нистатинът е антибиотик, който е както фунгистатичен, така и фунгициден in vitro срещу голямо разнообразие от дрожди и гъбички, подобни на дрожди Candida albicans C. parapsilosis C. tropicalis C. guilliermondi C. pseudotropicalis C. krusei Tилиulopsisglabrata Tricophytonrubrum T. mentagrophytes.
Нистатинът действа чрез свързване със стероли в клетъчната мембрана на чувствителните видове, което води до промяна в мембранната пропускливост и последващото изтичане на вътреклетъчните компоненти. При многократно субкултуриране с увеличаване на нивата на нистатин Candida albicans прави не развива резистентност към нистатин. Като цяло устойчивостта на нистатин не се развива по време на терапията. Въпреки това други видове кандида ( C Tropicalis C. Guilliermondi C. Krusei и В. Stellatoides ) стават доста устойчиви при лечение с нистатин и едновременно стават кръстосани резистентни към амфотерицин. Тази резистентност се губи, когато антибиотикът се отстрани. Нистатинът не проявява значителна активност срещу бактерии протозои или вируси.
Информация за пациента за NYSTOP
Пациентите, използващи това лекарство, трябва да получават следната информация и инструкции:
- Пациентът трябва да бъде инструктиран да използва това лекарство според указанията (включително замяната на пропуснатите дози). Това лекарство не е за разстройство, различно от това, за което е предписано.
- Дори ако симптоматичното облекчение се случи в рамките на първите няколко дни от лечението, пациентът трябва да бъде посъветван да не прекъсва или да прекрати терапията, докато предписаният курс на лечение не бъде завършен.
- Ако симптомите на дразнене се развиват, пациентът трябва да бъде посъветван да уведомява лекаря незабавно.