Информацията В Сайта Не Е Медицински Съвет. Ние Не Продаваме Нищо. Точността На Превода Не Е Гарантирана. Отказ От Отговорност
Нетарсил офталмологичен
Rhopressa
Резюме на наркотиците
Какво е Rhopressa?
Rhopressa (Ophthalmic разтвор на Netarsudil) е инхибитор на Rho киназа, показан за намаляване на повишеното вътреочно налягане При пациенти с Отворен глаукома или очен хипертония .
Какви са страничните ефекти на Rhopressa?
aRhopressa
- кошери
- затруднено дишане
- Подуване на лицето ви устни Език или гърло
- Визията се променя
- болка в очите и
- Тежка замаяност
Получете медицинска помощ веднага, ако имате изброени по -горе симптоми.
Общите странични ефекти на Rhopressa включват:
- зачервяване на очите
- Аномалии на роговицата
- Болка на мястото на инстилация
- и спукани кръвоносни съдове в окото.
Потърсете медицинска помощ или се обадете на 911 наведнъж, ако имате следните сериозни странични ефекти:
- Сериозни симптоми на очите, като например внезапна загуба на зрение, замъглено зрение Тунел Виждане болка в очите или подуване или виждане на ореоли около светлините;
- Сериозни сърдечни симптоми като бързи нередовни или ударни сърдечни удари; трептене в гърдите ви; задух; и внезапна замаяност замаяност или раздаване;
- Тежка главоболие объркване затънала речева ръка или крак слабост проблем за ходене на загуба на координация, чувствайки се нестабилни много твърди мускули висока треска обилно изпотяване или тремор.
Този документ не съдържа всички възможни странични ефекти, а други могат да възникнат. Консултирайте се с вашия лекар за допълнителна информация за страничните ефекти.
Дозировка за Rhopressa
Дозата на Rhopressa е една капка в засегнатото око (и) веднъж дневно вечерта.
Какви лекарства вещества или добавки взаимодействат с Rhopressa?
Rhopressa може да взаимодейства с други лекарства. Кажете на Вашия лекар всички лекарства и добавки, които използвате.
Rhopressa по време на бременност или кърмене
Кажете на Вашия лекар, ако сте бременна или планирате да забременеете, преди да използвате Rhopressa; Не е известно дали би повлиял на плода. Не е известно дали Rhopressa преминава в кърма. Консултирайте се с Вашия лекар преди кърмене.
възникване на имун плюс странични ефекти
Допълнителна информация
Нашата Rhopressa (Ophthalmic разтвор на Netarsudil) 0,02% за локални офталмологични странични ефекти в нежеланите реакции предоставя цялостен поглед върху наличната информация за лекарството върху потенциалните странични ефекти при приемането на това лекарство.
Информация за наркотиците на FDA
- Описание на лекарството
- Показания
- Странични ефекти
- Предупреждения
- Предозиране
- Клинична фармакология
- Ръководство за лекарства
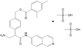
Описание за Rhopressa
Netarsudil е Rho киназа инхибитор. Химическото му наименование е (S) -4- (3-амино-1- (изохинолин-6-ил-амино) -1оксопропан-2-ил) бензил 24-диметилбензоатен димезилат. Молекулната формула на свободната основа е c 28 H 27 N 3 O 3 и молекулярната формула на димемилата е c 30 H 35 N 3 O 9 S 2 . Молекулното тегло на свободната основа е 453,54, а молекулното тегло на димелата е 645,74. Химическата структура е:
|
Netarsudil Dimesylate е светло жълто-бял прах, който е свободно разтворим във вода, разтворим във вода при метанол, пестеливо разтворим в диметил формамид и практически неразтворим в дихлорометан и хептан.
Rhopressa (Ophthalmic разтвор на Netarsudil) 0,02% се доставя като стерилен изотонен буфериран воден разтвор на нетарсил димелилат с рН от приблизително 5 и осмолалност приблизително 295 mosmol/kg. Той е предназначен за локално приложение в окото. Всеки ml Rhopressa съдържа 0,2 mg нетарсудил (еквивалентен на 0,28 mg нетарсил димелилат). Benzalkonium хлорид 0,015% се добавя като консервант. Неактивните съставки са: Манитол натриев хидроксид с борава киселина за регулиране на рН и вода за инжектиране.
Използване за Rhopressa
Rhopressa е показан за намаляване на повишеното вътреочно налягане (IOP) при пациенти с отворен ъглов глаукома или очна хипертония.
Дозировка за Rhopressa
Препоръчителната доза е един спад в засегнатото око (и) веднъж дневно вечерта.
Ако една доза е пропуснато, лечението трябва да продължи със следващата доза вечер. Два пъти на ден дозирането не се понася добре и не се препоръчва. Ако Rhopressa трябва да се използва едновременно с други локални офталмологични лекарствени продукти, за да се понижи IOP, администрира всеки лекарствен продукт поне 5 минути един от друг Информация за пациента ].
Колко се доставя
Дозирани форми и силни страни
Офталмологичен разтвор, съдържащ Netarsudil 0,02% (NULL,2 mg/ml).
Съхранение и обработка
Rhopressa ® (Офталмологичен разтвор на Netarsudil) 0,02% се доставя стерилен в непрозрачни бели бутилки с ниска плътност и върхове с бели полипропиленови капачки.
2,5 ml попълнете контейнер с 4 ml NDC
Съхранение
Съхранявайте при 2 ° C до 8 ° C (36 ° F до 46 ° F), докато се отвори. След отваряне продуктът може да се държи при 2 ° C до 25 ° C (36 ° F до 77 ° F) за до 6 седмици. Ако след отваряне продуктът се държи в хладилник при 2 ° C до 8 ° C (36 ° F до 46 ° F), тогава продуктът може да се използва, докато датата на изтичане на изтичане се подпечата върху бутилката. По време на пратката бутилката може да се поддържа при температури до 40 ° C (104 ° F) за период, който не надвишава 14 дни.
Произведено за: Alcon Laboratoriesinc 6201 South Freeway Fort Worth Texas 76134 USA. Ревизиран: септември 2024 г.
Странични ефекти за Rhopressa
Опит с клинични изпитвания
Тъй като клиничните проучвания се провеждат при широко различни състояния, нежеланите реакции, наблюдавани в клиничните проучвания на лекарство, не могат да бъдат пряко сравнени със скоростта в клиничните проучвания на друго лекарство и може да не отразяват процентите, наблюдавани на практика.
Най -честата очна нежелана реакция, наблюдавана при контролирани клинични проучвания с Rhopressa, дозирана веднъж дневно, е конюнктивална хиперемия, която е съобщена при 53% от пациентите. Шест процента от пациентите преустановиха терапията поради конюнктивална хиперемия. Други общи (приблизително 20%) очни нежелани реакции са отчетени: Болка на мястото на инстилация на verticillata verticillata и кръвоизлив в конюнктива. Място на инстилация Еритема за оцветяване на роговицата замъглено замъглено зрение Засилено лакримация еритема на клепачите и намалена зрителна острота са съобщени при 5-10% от пациентите.
Корнешка verticillata
Вертититилата на роговицата се наблюдава при приблизително 20% от пациентите в контролирани клинични проучвания. Вертитилилата на роговицата, наблюдавана при пациенти, лекувани с Rhopressa, за първи път се отбелязва при 4 седмици дневно дозиране. Тази реакция не доведе до очевидни визуални функционални промени при пациентите. Повечето роговични вертицили са разрешени при прекратяване на лечението.
Опит за постмаркетиране
Следните нежелани реакции са идентифицирани по време на постмаркетинговата употреба на Rhopressa. Тъй като тези реакции се отчитат доброволно от популация с несигурен размер, не винаги е възможно надеждно да се оцени тяхната честота или да се установи причинно -следствена връзка с експозицията на лекарства.
Очни нарушения
Съобщава се за епителен роговичен оток при някои пациенти с съществуващ стромален оток на роговицата или след очни процедури, които могат да повлияят на ендотелната функция на роговицата [виж Предупреждения и предпазни мерки ].
Лекарствени взаимодействия за Rhopressa
Не е предоставена информация
Предупреждения за Rhopressa
Включени като част от 'ПРЕДПАЗНИ МЕРКИ' Раздел
Предпазни мерки за Rhopressa
Бактериален кератит
Има съобщения за бактериален кератит, свързан с използването на множество дози контейнери с локални офталмологични продукти. Тези контейнери са били по невнимание замърсени от пациенти, които в повечето случаи са имали едновременна роговична болест или прекъсване на очната епителна повърхност [виж Информация за пациента ].
Използвайте с контактни лещи
Контактните лещи трябва да бъдат отстранени преди интелилация на Rhopressa и могат да бъдат преназначени 15 минути след администрацията му.
Неклинична токсикология
Канцерогенеза мутагенеза Нарушаване на плодовитостта
Дългосрочните проучвания при животни не са проведени за оценка на канцерогенния потенциал на Нетарсудил. Нетарсудил не е мутагенна в теста на AMES в теста за мишка лимфома или в напразно Тест за микронуклеус на плъхове. Не са извършени проучвания за оценка на ефектите на Нетарсудил върху мъжката или женската плодовитост при животни.
Използване в конкретни популации
Бременност
Обобщение на риска
Няма налични данни за употребата на Rhopressa при бременни жени, които да информират всеки риск, свързан с лекарството; Въпреки това системното излагане на Нетарсудил от очно приложение е ниско [виж Клинична фармакология ]. Intravenous administration of netarsudil to pregnant rats and rabbits during organogenesis did not produce adverse embryofetal effects at clinically relevant systemic exposures [see Данни ].
Данни
Данни за животните
Netarsudil, прилаган ежедневно чрез интравенозна инжекция при плъхове по време на органогенеза, причинява аборти и ембриофетална леталност при дози ≥0,3 mg/kg/ден (126 пъти по-голяма експозиция на плазмата при препоръчителната човешка офталмична доза [Rhod] въз основа на CMAX). Не-наблюдаваното-асверно-ефект на ниво (NOAEL) за токсичност за развитие на ембриофетал е 0,1 mg/kg/ден (40 пъти плазмената експозиция в RHOD на базата на CMAX).
Нетарсудил, прилаган ежедневно чрез интравенозна инжекция при зайци по време на органогенеза, причинява ембриофетална леталност и намалява теглото на плода при 5 mg/kg/ден (1480 пъти плазмената експозиция в RHOD въз основа на CMAX). Малформациите се наблюдават при ≥3 mg/kg/ден (1330 пъти плазмената експозиция при RHOD на базата на CMAX), включително пъпна херния на торакогастрошис и отсъстваща междинен белодробен лоб. NOAEL за токсичност за развитие на ембриофетал е 0,5 mg/kg/ден (214 пъти плазмената експозиция при RHOD на базата на CMAX).
Лактация
Обобщение на риска
Няма данни за наличието на Rhopressa в човешкото мляко ефектите върху кърменото бебе или ефектите върху производството на мляко. Въпреки това системното излагане на Нетарсудил след локално очно приложение е ниско [виж Клинична фармакология ] и не е известно дали измеримите нива на нетарсил ще присъстват в майчиното мляко след локално очно приложение.
Ползите за развитие и здравето от кърменето трябва да се разглеждат заедно с клиничната нужда на майката от Rhopressa и всякакви потенциални неблагоприятни ефекти върху кърменото дете от Rhopressa.
Педиатрична употреба
Безопасността и ефективността при педиатрични пациенти под 18 -годишна възраст не са установени.
Гериатрична употреба
Не са наблюдавани общи разлики в безопасността или ефективността между възрастни и други възрастни пациенти.
Информация за предозиране за Rhopressa
Не съобщава за преобладаващо
Противопоказания за Rhopressa
Няма.
Клинична фармакология for Rhopressa
Механизъм на действие
Netarsudil е инхибитор на Rho киназа, за който се смята, че намалява ВОН чрез увеличаване на изтичането на воден хумор чрез трабекуларната мрежа. Точният механизъм е неизвестен.
Фармакокинетика
Абсорбция
Системните експозиции на Netarsudil и неговия активен метаболит AR-13503 се оценяват при 18 здрави лица след локално очно приложение на Rhopressa 0,02% веднъж дневно (една капка двустранно сутрин) в продължение на 8 дни. Няма количествено измерими плазмени концентрации на нетарсудил (по-ниска граница на количествено определяне (LLOQ) 0,100 ng/mL) след доза на 1 ден и 8-и ден. Само една плазмена концентрация при 0,11 ng/ml за активния метаболит се наблюдава само една субект на 8-ия ден след 8 часа след дозата.
Метаболизъм
След локално очно дозиране нетарсил се метаболизира от естерази в окото.
Клинични изследвания
Rhopressa 0.02% was evaluated in three randomized and controlled clinical trials namely AR-13324ÂCS301 (NCT 02207491 referred to as Study 301) AR-13324-CS302 (NCT 02207621 referred to as Study 302) and AR-13324-CS304 (NCT 02558374 referred to as Study 304) При пациенти с Отворен глаукома or ocular хипертония. Studies 301 and 302 enrolled subjects with baseline IOP lower than 27 mmHg and Study 304 enrolled subjects with baseline IOP lower than 30 mmHg. The treatment duration was 3 months in Study 301 12 months in Study 302 and 6 months in Study 304.
Трите проучвания демонстрират до 5 mmHg намаления на IOP за лица, лекувани с Rhopressa 0,02% веднъж дневно вечерта. За пациенти с изходен IOP <25 mmHg the IOP reductions with Rhopressa 0.02% dosed once daily were similar to those with timolol 0.5% dosed twice daily (see Table 1). For patients with baseline IOP equal to or above 25 mmHg however Rhopressa 0.02% resulted in smaller mean IOP reductions at the morning time points than timolol 0.5% for study visits on Days 43 and 90; the difference in mean IOP reduction between the two treatment groups was as high as 3 mmHg favoring timolol.
Таблица 1: Средна промяна на IOP от изходното ниво на изследването (MMHG) чрез посещение и време
l Тирозин странични ефекти от загуба на тегло
Тази таблица е произведена въз основа на наблюдаваните данни от всички рандомизирани лица, които не са имали големи нарушения на протокола. Разликите в лечението и двустранните CI за сравняване на офертата на Rhopressa QD срещу Timolol 0,5% се основават на анализ на ковариация (ANCOVA), коригиран за изходния IOP.
Информация за пациента за Rhopressa
Работа с контейнера
Инструктирайте пациентите да избягват да разрешавате върха на контейнера за разпределяне да контактуват с околните структури пръсти или друга повърхност, за да се сведе до минимум замърсяването на разтвора. Сериозни увреждания на окото и последваща загуба на зрение може да бъде резултат от използване на замърсени решения [виж Предупреждения и предпазни мерки ].
Кога да потърсите съвет на лекар
Посъветвайте се с пациентите, че ако развият междукуларно състояние (напр. Травма инфекция или намалено зрение със или без болка в очите), имат очна хирургия или развиват някакви очни реакции, особено конюнктивит и реакции на клепачите, те трябва незабавно да потърсят съветите на своя лекар по отношение на продължителната употреба на Rhopressa.
Използвайте с контактни лещи
Посъветвайте се пациентите, че Rhopressa съдържа бензалкониев хлорид, който може да бъде абсорбиран от меки контактни лещи. Контактните лещи трябва да бъдат отстранени преди интелилация на Rhopressa и могат да бъдат преназначени 15 минути след администрацията му.
Използвайте с други офталмологични лекарства
Посъветвайте пациентите, че ако се използва повече от едно локално офталмологично лекарство, лекарствата трябва да се прилагат поне 5 минути между приложенията.
Пропуснато доза
Посъветвайте пациентите, че ако една доза е пропуснато лечение, трябва да продължи със следващата доза вечер.