Информацията В Сайта Не Е Медицински Съвет. Ние Не Продаваме Нищо. Точността На Превода Не Е Гарантирана. Отказ От Отговорност
Цефалоспорини, 3 -то поколениеAvycaz
Резюме на наркотиците
Какво е Avycaz?
Avycaz (ceftazidime-avibactam) е антибактериални Комбинирано лекарство, използвано за лечение на сложни вътреабдоминални инфекции (CIAI), използвано в комбинация с метронидазол; и сложни инфекции на пикочните пътища (CUTI), включително пиелонефрит.
Какви са страничните ефекти на Avycaz?
Avycaz
- кошери
- затруднено дишане
- Подуване на лицето ви устни Език или гърло
- силна стомашна болка
- диария, която е водниста или кървава
- Припадък
- твърд мускул
- свръхактивни рефлекси
- объркване
- халюцинации и
- Промени във вашето психическо състояние
Получете медицинска помощ веднага, ако имате изброени по -горе симптоми.
Общите странични ефекти включват:
- главоболие
- замаяност
- повръщане
- гадене
- коремна болка
- диария
- запек и
- безпокойство.
Потърсете медицинска помощ или се обадете на 911 наведнъж, ако имате следните сериозни странични ефекти:
- Сериозни симптоми на очите, като например внезапна загуба на зрение, замъглено зрение Тунел Виждане болка в очите или подуване или виждане на ореоли около светлините;
- Сериозни сърдечни симптоми като бързи нередовни или ударни сърдечни удари; трептене в гърдите ви; задух; и внезапно замаяност Лекоглавия или раздаване;
- Тежка главоболие объркване затънала речева ръка или крак слабост проблем за ходене на загуба на координация, чувствайки се нестабилни много твърди мускули висока треска обилно изпотяване или тремор.
Този документ не съдържа всички възможни странични ефекти, а други могат да възникнат. Консултирайте се с вашия лекар за допълнителна информация за страничните ефекти.
Дозировка за Avycaz
Препоръчителната доза на Avycaz е 2,5 грама (2 грама цефтазидим и 0,5 грама Avibactam), прилагани на всеки 8 часа чрез интравенозна (IV) инфузия за 2 часа при пациенти на възраст 18 и повече години. За лечение на CIAI метронидазол трябва да се прилага едновременно.
Какви лекарства вещества или добавки взаимодействат с Avycaz?
Avycaz може да взаимодейства с probenecid. Кажете на Вашия лекар всички лекарства и добавки, които използвате.
Avycaz по време на бременност и кърмене
Кажете на Вашия лекар, ако сте бременна или планирате да забременеете, преди да получите Avycaz. Ceftazidime преминава в кърма. Не е известно дали Avibactam преминава в кърма. Консултирайте се с Вашия лекар преди кърмене.
Допълнителна информация
Нашият лекарствен център Avycaz (Ceftazidime-Avibactam) предоставя цялостен поглед върху наличната информация за лекарството за потенциалните странични ефекти при приемането на това лекарство.
Информация за наркотиците на FDA
- Описание на лекарството
- Показания
- Доза
- Странични ефекти
- Лекарствени взаимодействия
- Предупреждения
- Предозиране
- Клинична фармакология
- Ръководство за лекарства
Описание за Avycaz
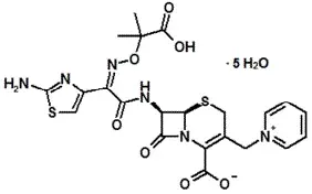
AvyCaz е антибактериален комбиниран продукт, състоящ се от полусинтетичния цефалоспорин цефтазидим пентахидрат и бета-лактамазния инхибитор Авибактам натрий за интравенозно приложение.
Ceftazidime
Ceftazidime is a semisynthetic beta-lactam антибактериални drug. It is the pentahydrate of (6 R 7 R Z ) -7- (2- (2 аминотиазол-4-ил) -2- (2-карбоксипропан-2-yloxyimino) ацетамидо) -8-оксо-3- (пиридиний-1-илметил) -5-тиа-1aza-бицикло [4.2.0] OCT-2-ен-2-Carboxylate. Молекулното му тегло е 636.6. Емпиричната формула е c 22 H 32 N 6 O 12 S 2 .
Фигура 1. Химическа структура на цефтазидим Пентахидрат
|
Авибакта
Авибакта sodium chemical name is sodium [(2S5R)-2-carbamoyl-7-oxo-16-diazabicyclo[3.2.1]octan-6-yl] sulfate. Its molecular weight is 287.23. The empirical formula is C 7 H 10 N 3 O 6 В тях.
Фигура 2. Химическа структура на натрий на авибактам
|
AvyCaz 2,5 грама (Ceftazidime и Avibactam) за инжектиране е бял до жълт стерилен прах за конституция, състоящ се от цефтазидим пентахидрат и натриев авибатам, опакован в стъклени флакони. Формулирането съдържа също натриев карбонат.
Всеки флакон с една доза AvyCaz 2,5 грама съдържа Ceftazidime 2 грама (еквивалентен на 2.635 грама стерилен цефтазидим пентахидрат/натриев карбонат) и Avibactam 0,5 грама (еквивалент на 0,551 грама стерилен авибактам натрий). Съдържанието на натриев карбонат в сместа е 239,6 mg/флакон. Общото съдържание на натрий в сместа е приблизително 146 mg (NULL,4 meq)/флакон.
Използване за Avycaz
Сложни вътреабдоминални инфекции (CIAI)
Avycaz (Ceftazidime и Avibactam) в комбинация с метронидазол е показано за лечение на сложни интраабдоминални инфекции (CIAI) при възрастни и педиатрични пациенти (поне 31 седмици гестационна възраст), причинени от следните чувствителни грам-отрицателни микроорганизми: Escherichia coli klebsiella pneumoniae proteus mirabilis enterobacter cloacae klebsiella oxytoca citrobacter freundii сложен и Pseudomonas aeruginosa.
Сложни инфекции на пикочните пътища (CUTI), включително пиелонефрит
Avycaz (Ceftazidime и Avibactam) е показан за лечение на сложни инфекции на пикочните пътища (CUTI), включително пиелонефрит при пациенти при възрастни и педиатрични пациенти (поне 31 седмици гестационна възраст), причинени от следните податливи грам-отрицателни микроорганизми: Escherichia coli klebsiella pneumoniae enterobacter cloacae citrobacter freundii комплекс Proteus mirabilis и Pseudomonas aeruginosa .
Бактериална пневмония, придобита от болница и вентилатор, свързана с вентилатор
AVYCAZ (ceftazidime and avibactam) is indicated for the treatment of hospital-acquired bacterial pneumonia and ventilator-associated bacterial pneumonia (HABP/VABP) in adult and pediatric patients (at least 31 weeks gestational age) caused by the following susceptible gram-negative microorganisms: Klebsiella pneumoniae enterobacter канализация Escherichia coli serratia marcescens proteus mirabilis pseudomonas aeruginosa и Haemophilus influenzae.
Употреба
За да се намали развитието на устойчиви на лекарства бактерии и да се поддържа ефективността на Avycaz и други антибактериални лекарства, трябва да се използва само за лечение или предотвратяване на инфекции, които се доказват или силно се подозират, че са причинени от чувствителни бактерии. Когато е налична култура и чувствителност, те трябва да се вземат предвид при избора или промяна на антибактериалната терапия. При липса на такива данни локалните епидемиология и модели на чувствителност могат да допринесат за емпиричния селекция на терапията.
Дозировка за Avycaz
Препоръчителна доза при възрастни пациенти
Препоръчителната доза на Avycaz е 2,5 грама (Ceftazidime 2 грама и Avibactam 0,5 грама), прилагана на всеки 8 часа чрез интравенозна (IV) инфузия за 2 часа при пациенти на възраст 18 години и по -възрастна с CRCL, по -голяма от 50 ml/min. За лечение на CIAI метронидазол трябва да се прилага едновременно. Насоките за дозировка на avycaz при пациенти с креатинин клирънс (CRCL) по -голям от 50 ml/min са изброени в таблица 1.
Таблица 1. Дозировка на Avycaz 2,5 грама (Ceftazidime 2 грама и Avibactam 0,5 грама) чрез индикация при възрастни пациенти (на 18 и повече години)
| Инфекция | Доза | Честота | Време за инфузия (часове) | Продължителност на лечението |
| Сложни вътреабдоминални инфекции (CIAI)* | 2.5 грама | На всеки 8 часа | 2 | CIAI: 5 до 14 дни cuti: 7 до 14 дни HABP/VABP: 7 до 14 дни |
| Сложни инфекции на пикочните пътища, включително пиелонефрит (CUTI) | ||||
| Бактериална пневмония, придобита от болница и вентилатор, свързана с вентилатор | ||||
| * Използва се заедно с метронидазол 0,5 g интравенозно на всеки 8 часа при пациенти с възрастни CIAI [виж Клинични изследвания ]. |
Препоръчителна доза при педиатрични пациенти
Препоръчителната доза на Avycaz при педиатрични пациенти на възраст от 2 години до по -малко от 18 години и прогнозна скорост на гломерулна филтрация (EGFR) по -голяма от 50 ml/min/1,73 m 2 и in pediatric patients less than 2 years of age without renal impairment is described in Table 2. Avycaz is administereD every 8 hours by intravenous infusion over 2 hours. For treatment of cIAI metronidazole should be given concurrently.
Таблица 2. Дозировка на Avycaz (Ceftazidime и Avibactam) при педиатрични пациенти
| Инфекция | Възрастов диапазон | Доза | Честота | Време за инфузия (часове) | Продължителност на лечението |
| Ciai* cuti включва пейлонефрит и haBp/vABP | 2 години до по -малко от 18 години a | AvyCaz 62,5 mg/kg до максимум 2,5 грама (Ceftazidime 50 mg/kg и Avibactam 12,5 mg/kg до максимална доза цефтазидим 2 грама и Avibactam 0,5 грама) | На всеки 8 часа | 2 | CIAI: 5 до 14 дни cuti: 7 до 14 дни HABP/VABP: 7 до 14 дни |
| 6 месеца до по -малко от 2 години | AvyCaz 62,5 mg/kg (ceftazidime 50 mg/kg и avibactam 12,5 mg/kg) | ||||
| 3 месеца до по -малко 6 месеца | Avycaz 50 mg/kg (ceftazidime 40 mg/kg и avibactam 10 mg/kg) | ||||
| По -големи от 28 дни b до по -малко от 3 месеца | AvyCaz 37,5 mg/kg (ceftazidime 30 mg/kgand avibactam 7,5 mg/kg) | ||||
| По -малко или равни на 28 дни c С GA 31 седмици и по -възрастни | Avycaz 25 mg/kg (ceftazidime 20 mg/kgand avibactam 5 mg/kg) | ||||
| *AvyCaz се използва заедно с метронидазол 10 mg/kg интравенозно на всеки 8 часа при педиатрични пациенти с CIAI [виж Клинични изследвания ] a За педиатрични пациенти (на възраст 2 години и повече) с EGFR по -малко или равен на 50 ml/min/1,73m 2 Препоръчват се корекции на дозата [виж Доза Adjustments In Adult And Педиатрични пациенти (Aged 2 Years And Older) With Бъбречно увреждане ]. b Включва пълносрочни бебета с PNA> 28 дни и предсрочни бебета с коригирана възраст> 28 дни. Коригираната възраст се изчислява чрез изваждане на броя на седмиците, родени преди 40 седмици гестация от следродилната възраст. c Включва новородени PNA ≤ 28 дни и предсрочни бебета с коригирана възраст ≤ 28 дни. GA = гестационна възраст и PNA = следродилна възраст. |
Доза Adjustments In Adult And Педиатрични пациенти (Aged 2 Years And Older) With Бъбречно увреждане
Препоръчителната доза AvyCaz при пациенти с възрастни и педиатрични на възраст 2 години и повече с различна степен на бъбречна функция е представена съответно в таблица 3 и таблица 4. За пациенти с променящ се монитор на бъбречната функция CRCL при възрастни или EGFR при педиатрични пациенти поне всеки ден и съответно коригирайте дозата на avycaz [виж Предупреждения и предпазни мерки Използване в конкретни популации и Клинична фармакология ]. There is insufficient information to recommend a dosing regimen for pediatric patients less than 2 years of age with renal impairment.
Възрастни пациенти
Таблица 3. Доза на Avycaz при възрастни пациенти с бъбречно увреждане
| Прогнозен клирънс на креатинин (ml/минута) a | Доза for Avycaz (ceftazidime и avibactam) b | Честота |
| 31 до 50 | AvyCaz 1,25 грама (Ceftazidime 1 грам и Avibactam 0,25 грама) Интравенозно | На всеки 8 часа |
| 16 до 30 | Avycaz 0,94 грама (ceftazidime 0,75 грама и авибатам 0,19 грама) интравенозно | На всеки 12 часа |
| 6 до 15 c | Avycaz 0,94 грама (ceftazidime 0,75 грама и авибатам 0,19 грама) интравенозно | На всеки 24 часа |
| По -малко или равни на 5 c | Avycaz 0,94 грама (ceftazidime 0,75 грама и авибатам 0,19 грама) интравенозно | На всеки 48 часа |
| a Изчислено с помощта на формулата на Cockcroft-Gault b Всички дози avycaz се прилагат за 2 часа c Както цефтазидим, така и авибатам са хемодиализируеми; По този начин прилагайте Avycaz след хемодиализа в дните на хемодиализа |
Педиатрични пациенти
Таблица 4. Дозировка на Avycaz при педиатрични пациенти на възраст 2 години и повече с бъбречно увреждане a
| Прогнозен EGFR b (ml/min/1.73m 2 ) | Доза for Avycaz (ceftazidime и avibactam) c | Честота |
| 31 до 50 | AvyCaz 31,25 mg/kg до максимум 1,25 грама (ceftazidime 25 mg/kg и avibactam 6,25 mg/kg до максимална доза цефтазидим 1 грам и avibactam 0,25 грама) | На всеки 8 часа |
| 16 до 30 | Avycaz 23,75 mg/kg до максимум 0,94 грама (ceftazidime 19 mg/kg и avibactam 4,75 mg/kg до максимална доза цефтазидим 0,75 грама и avibactam 0,19 грама) | На всеки 12 часа |
| 6 до 15 | Avycaz 23,75 mg/kg до максимум 0,94 грама (ceftazidime 19 mg/kg и avibactam 4,75 mg/kg до максимална доза цефтазидим 0,75 грама и avibactam 0,19 грама) | На всеки 24 часа |
| По -малко или равни на 5 d | Avycaz 23,75 mg/kg до максимум 0,94 грама (ceftazidime 19 mg/kg и avibactam 4,75 mg/kg до максимална доза цефтазидим 0,75 грама и avibactam 0,19 грама) | На всеки 48 часа |
| a Дозирането е получено въз основа на популационното моделиране на PK, което предполага сходни пропорционални ефекти на бъбречното увреждане при възрастни и педиатрични пациенти на възраст 2 години и повече [виж [виж Клинична фармакология ] b Изчислено с помощта на формулата за нощно шкафче Schwartz c Всички дози avycaz се прилагат за 2 часа d Както цефтазидим, така и авибатам са хемодиализируеми; По този начин прилагайте Avycaz след хемодиализа в дните на хемодиализа |
Подготовка на разтвора на AvyCaz за администриране
AvyCaz се доставя като сух прах, който трябва да бъде съставен и впоследствие да се разрежда с помощта на асептична техника преди интравенозна инфузия.
Таблица 5. Подготовка на дози AvyCaz за пациенти при възрастни и педиатрични (тежи 40 kg или повече)
| Доза Avycaz (Ceftazidime и Avibactam) | Обем за оттегляне от съставен флакон за по -нататъшно разреждане до 50 до 250 a ml |
| 2.5 грама (2 grams и 0.5 grams) | 12 ml (цялото съдържание) |
| 1,25 грама (1 грам и 0,25 грама) | 6 ml |
| 0,94 грама (NULL,75 грама и 0,19 грама) | 4.5 ml |
| a. Разреждането до 250 ml трябва да се използва само за дозата 2,5 грама |
- Съставляваха праха във флакона AvyCaz с 10 ml от един от следните разтвори:
- стерилна вода за инжектиране USP
- 0,9% от инжектирането на натриев хлорид USP (нормален физиологичен разтвор)
- 5% от инжектирането на декстроза USP
- Всички комбинации от инжектиране на декстроза и инжектиране на натриев хлорид USP, съдържащи до 2,5% декстроза USP и 0,45% натриев хлорид USP или
- Лактираният инжекционен usp на Ringer
- Смесете внимателно и се уверете, че съдържанието се разтваря напълно. Съставеният разтвор на AvyCaz ще има приблизителна концентрация на цефтазидим от 167 mg/ml и приблизителна концентрация на авибактам от 42 mg/ml. Крайният обем е приблизително 12 ml. Съставеният разтвор не е за директно инжектиране. Съставеният разтвор трябва да се разрежда преди интравенозна инфузия.
- Пригответе необходимата доза за интравенозна инфузия чрез изтегляне на подходящия обем, определен от таблица 5 от съставения флакон. За да приготвите дози за педиатрични пациенти с тегло по -малко от 40 kg, следвайте инструкцията за конституция по -горе, за да се получи разтвор с окончателна концентрация на AvyCaz от приблизително 209 mg/ml (концентрация на цефтазидим от 167 mg/mL и концентрация на авибактам от 42 mg/mL). Използвайте тези концентрации, за да изчислите обема на AvyCaz, необходим за приготвяне на предписаната доза.
- Преди инфузия разредете изтегления обем на съставения разтвор на Avycaz допълнително със същия разредител, използван за конституция на праха (с изключение на стерилна вода за инжектиране) за постигане на концентрация на цефтазидим от 8 до 40 mg/ml и концентрация на авибактам от 2 до 10 mg/ml в инфузионна торбичка. Ако е използвана стерилна вода за инжектиране за конституция, използвайте някоя от другите подходящи конституционни разредители за разреждане.
- Смесете внимателно и се уверете, че съдържанието се разтваря напълно. Визуално проверете разредения разтвор на AvyCaz (за прилагане) за прахови частици и обезцветяване преди прилагането (цветът на инфузионния разтвор Avycaz за прилагане варира от прозрачно до светло жълт).
- Използвайте разредения разтвор на AvyCaz в инфузионните торбички в рамките на 12 часа, когато се съхранява при стайна температура.
- Разреденият разтвор на AvyCaz в инфузионните торбички може да се съхранява под хладилник при 2 до 8 ° C (36 до 46 ° F) до 24 часа след разреждане и използван в рамките на 12 часа след последващо съхранение при стайна температура.
Съвместимост с лекарството
The AVYCAZ solution for administration at the range of diluted concentrations of ceftazidime 8 mg/mL and avibactam 2 mg/mL to ceftazidime 40 mg/mL and avibactam 10 mg/mL is compatible with the more commonly used intravenous infusion fluids in infusion bags (including Baxter® Mini-Bag Plus™) such as:
- 0,9% инжекция на натриев хлорид USP
- 5% декстроза инжекция USP
- Всички комбинации от инжектиране на декстроза и инжектиране на натриев хлорид USP, съдържащи до 2,5% декстроза USP и 0,45% натриев хлорид USP
- лактира инжекционния usp на Ringer и
- Baxter® Mini-Bag Plus ™, съдържащ 0,9% инжекция на натриев хлорид или 5% инжекция с декстроза
Интравенозна съвместимост на линията
Симулираната съвместимост на Y-сайт на AvyCaz, примесена с други лекарствени продукти в съотношение на обем 1: 1 при стайна температура, се оценява чрез визуална проверка и измерване на мътността и праховите частици при 0 1 и 4 часа след смесване. Ceftazidime и Avibactam се тестват при концентрации съответно 20 mg/ml и 5 mg/ml, което може да бъде получено чрез разреждане на съставен разтвор на AvyCaz в интравенозна инфузионна торбичка от 100 ml. Най-високата препоръчителна концентрация (40 mg/ml цефтазидим и 10 mg/ml авибатам) не е тествана в това проучване и не трябва да се използва по време на съвместно приложение на Avycaz с други лекарства през същата интравенозна линия. Съвместими лекарства със съответния съвместим разредител (т.е. 0,9 % инжектиране на натриев хлорид 5 % декстроза инжекция или инжектиране на лактирана звънеца) са изброени в таблици 6 7 8 и 9 по -долу. Всички лекарствени продукти, които не са изброени в таблиците по-долу, не трябва да се прилагат съвместно с Avycaz през същата интравенозна линия (или канюла).
Таблица 6. Съвместими лекарства за употреба с 0,9% натриев хлорид 5% декстроза или лактирана инжекция на рингера като разредители
| Даптомицин |
| Дексмеметомидин инжекция |
| Инжектиране на допамин хидрохлорид |
| Фуросемид инжекция |
| Инжектиране на гентамицин |
| Имипенем и циластатин за инжектиране |
| Инжектиране на магнезиев сулфат |
| Норепинефрин битаррат инжекция |
| Фенилефрин хидрохлорид инжекция |
| Инжектиране на вазопресин |
| Vecuronium bromide |
| Инжекция на метронидазол |
| Инжектиране на Aztreonam или Aztreonam за инжектиране |
| Колистиметат за инжектиране |
| Инжектиране на амикацин сулфат |
| Азитромицин за инжектиране |
| Ceftaroline fosamil за инжектиране |
| Левофлоксацин |
Таблица 7. Съвместими лекарства за употреба с 0,9% натриев хлорид или 5% инжекция с декстроза като разредители
| Ertapenem Натрий |
| Инжектиране на калиеви фосфати |
Таблица 8. Съвместими лекарства за употреба с 5% декстроза или лактирана инжекция на звънеца като разредители
| Хепарин инжекция на натрий |
| Линезолидна инжекция |
| Инжектиране на тобрамицин или тобрамицин за инжектиране |
Таблица 9. Съвместими лекарства за употреба само с един съвместим разредител
| Меропенем за инжектиране (само 0,9% натриев хлорид инжектиране) само) |
| Натриев бикарбонат инжекция (само 5% разредител за инжектиране на декстроза) |
| Тедизолиден фосфат за инжектиране (само 5% разредител за инжектиране на декстроза) |
| Калиев хлорид във вода за инжектиране (40 MEQ/100 ml) (само лактиран разредител за инжектиране на рингера) |
Съхранение на съставени решения
При конституция с подходящ разредител съставният разтвор на AvyCaz може да се държи не повече от 30 минути преди прехвърляне и разреждане в подходяща инфузионна торбичка.
След разреждане на съставените разтвори със съответните разредители AvyCaz разтвори в инфузионните торбички са стабилни в продължение на 12 часа, когато се съхраняват при стайна температура.
След разреждане на съставените разтвори със съответните разредители AvyCaz разтвори в инфузионните торбички също могат да бъдат охладени при 2 до 8 ° C (36 до 46 ° F) за до 24 часа; и след това трябва да се използва в рамките на 12 часа след последващото съхранение при стайна температура.
Колко се доставя
Доза Forms And Strengths
AvyCaz 2,5 грама (Ceftazidime и Avibactam) За инжектиране се доставя като бял до жълт стерилен прах за конституция в еднократна стерилна прозрачна стъклена флакон, съдържащ цефтазидим 2 грама (еквивалент на 2,635 грама цефтазидим пентахидрат/натриев карбонат) и авибакт 0,5 грама (еквивалент на прах от 0,551 грам (еквивалент (еквивалент на прах от авибакт).
Съхранение и обработка
AvyCaz 2,5 грама (Ceftazidime и Avibactam) За инжектиране се доставя в прозрачен стъклен флакон с една доза, съдържащ: Ceftazidime 2 грама (еквивалент на 2,635 грама цефтазидим Пентахидрат/натриев карбонат) и Avibactam 0,5 грама (еквивалент на 0,551 грама от Avibactam Sodium). Флаконите се доставят като отделен флакон ( NDC NDC
Avycaz Флаконите трябва да се съхраняват при 25 ° C (77 ° F); Екскурзии, разрешени между 15 ° C и 30 ° C (59 ° F и 86 ° F) [виж стайна температура, контролирана от USP]. Предпазва от светлина. Съхранявайте в картонена опаковка до време на употреба.
Условията за съхранение на съставени и разредени разтвори на Avycaz за инжектиране са описани в друг раздел на етикетиране [виж Доза и приложение ].
Произведено от: ACS Dobfar Spa чрез Alessandro Fleming 2 Verona 37135 Италия. Февруари 2025 г.
Странични ефекти for Avycaz
Следните нежелани реакции са разгледани по -подробно в раздела „Предупреждения и предпазни мерки:
- Реакции на свръхчувствителност [виж Предупреждения и предпазни мерки ]
- Clostridioides difficile -Сасоцирана диария [виж Предупреждения и предпазни мерки ]
- Реакции на централната нервна система [виж Предупреждения и предпазни мерки ]
Опит с клинични изпитвания
Тъй като клиничните изпитвания се провеждат при широко различни състояния, нежелани реакционни проценти, наблюдавани при клиничните изпитвания на лекарство, не могат да бъдат пряко сравнени със проценти в клиничните изпитвания на друго лекарство и може да не отразяват процентите, наблюдавани на практика.
Опит с клинични изпитвания In Възрастни пациенти
Avycaz was evaluated in six active-controlled clinical trials in patients with cIAI cUTI including pyelonephritis or HABP/VABP. These trials included two Phase 2 trials one in cIAI и one in cUTI as well as four Phase 3 trials one in cIAI one in cUTI (Trial 1) one in cIAI or cUTI due to ceftazidime non-susceptible pathogens (Trial 2) и one in HABP/VABP. Данни from Пробен отпуск 1 served as the primary dataset for Avycaz safety findings in cUTI as there was a single comparator. Пробен отпуск 2 had an open-label design as well as multiple comparator regimens which prevented pooling but provided supportive information. The six clinical trials included a total of 1809 adult patients treated with Avycaz и 1809 patients treated with comparators.
Сложни интраабдоминални инфекции
Изпитването на Фаза 3 CIAI включва 529 възрастни пациенти, лекувани с AvyCaz 2,5 грама (Ceftazidime 2 грама и Avibactam 0,5 грама), прилагани интравенозно над 120 минути на всеки 8 часа плюс 0,5 грама метронидазол, прилагани интравенозно. Средната възраст на пациентите, лекувани с avycaz, е била 50 години (диапазон от 18 до 90 години), а 22,5% от пациентите са на 65 или повече години. Пациентите са били предимно мъже (62%) и кавказки (NULL,6%).
Прекратяване на лечението поради нежелана реакция се наблюдава при 2,6% (14/529) от пациенти, получаващи Avycaz плюс метронидазол и 1,3% (7/529) от пациентите, получаващи меропенем.
Нежеланите реакции, възникващи при 5% или по -големи при пациенти, получаващи Avycaz плюс метронидазол, са диария гадене и повръщане.
Таблица 11 изброява нежеланите реакции, възникващи при 1% или повече от пациентите, получаващи AvyCaz плюс метронидазол и с случаи, по -големи от сравнителния във фаза 3 CIAI клинично изпитване.
Таблица 11. Честота на избрани нежелани реакции, възникващи при 1% или повече от възрастни пациенти (на възраст 18 и повече години), получаващи AvyCaz във фаза 3 CIAI изпитване
| Нежелани реакции | Avycaz plus metronidazole a (N = 529) | Меропенем b (N = 529) |
| Нарушения на нервната система | ||
| Headache | 3% | 2% |
| Dizziness | 2% | 1% |
| Стомашно -чревни разстройства | ||
| Diarrhea | 8% | 3% |
| Nausea | 7% | 5% |
| Vomiting | 5% | 2% |
| Abdominal Pain | 1% | 1% |
| a 2.5 грама (Ceftazidime 2 грама и Avibactam 0,5 грама) IV over 120 minutes every 8 hours (with metronidazole 0,5 грама IV на всеки 8 часа) b 1 грам IV за 30 минути на всеки 8 часа |
Повишена смъртност
Във фазата 3 изпитването на CIAI е настъпила при 2,5% (13/529) от пациенти, които са получили Avycaz плюс метронидазол и при 1,5% (8/529) от пациенти, които са получили меропенем. Сред подгрупа пациенти с изходно ниво на CRCL 30 до по -малко или равна на 50 ml/min смърт се наблюдава при 19,5% (8/41) от пациенти, които са получили Avycaz плюс метронидазол и в 7,0% (3/43) от пациенти, които са получили меропенем. В рамките на тази подгрупа пациенти, лекувани с avycaz, са получили 33% по -ниска дневна доза, отколкото в момента се препоръчва за пациенти с CRCL 30 до по -малко или равни на 50 ml/min [виж Доза и приложение и Предупреждения и предпазни мерки ]. In patients with normal renal function or mild renal impairment (baseline CrCl greater than 50 ml/min) death occurred in 1.0% (5/485) of patients who received Avycaz plus metronidazole и in 1.0% (5/484) of patients who received meropenem. The causes of death varied и contributing factors included progression of underlying infection baseline pathogens isolated that were unlikely to respond to the study drug и delayed surgical intervention.
Сложни инфекции на пикочните пътища, включително пиелонефрит
Изпитването на фаза 3 CUTI 1 включва 511 възрастни пациенти, лекувани с AvyCaz 2,5 грама (Ceftazidime 2 грама и Avibactam 0,5 грама), прилагани интравенозно над 120 минути на всеки 8 часа и 509 пациенти, лекувани с Doripenem; При някои пациенти парентералната терапия е последвана от преминаване към орално антимикробно средство [виж Клинични изследвания ]. Median age of patients treated with Avycaz was 54 years (range 18 to 89 years) и 30.7% of patients were 65 years of age or older. Patients were predominantly female (68.3%) и Caucasian (82.4%). Patients with CrCl less than 30 ml/min were excluded.
Няма смърт в изпитване 1. Прекратяване на лечението поради нежелани реакции, възникнали при 1,4% (7/511) от пациентите, получаващи AvyCaz, и 1,2% (6/509) от пациентите, получаващи Дорипенем.
Най -често срещаните нежелани реакции, проявяващи се при 3% от пациентите с CUTI, лекувани с Avycaz, са гадене и диария.
Таблица 12 изброява нежеланите реакции, възникващи при 1% или повече от пациентите, получаващи AvyCaz, и с случаи, по -големи от сравнителя в изпитване 1.
Таблица 12. Честота на избрани нежелани лекарствени реакции, възникващи при 1% или повече от възрастни пациенти (на 18 и повече години), получаващи AvyCaz във фаза 3 CUTI изпитване 1
| Нежелани реакции | Avycaz a (N = 511) | Пренаписвам b (N = 509) |
| Стомашно -чревни разстройства | ||
| Nausea | 3% | 2% |
| Diarrhea | 3% | 1% |
| Constipation | 2% | 1% |
| Upper коремна болка | 1% | <1% |
| a 2.5 грама (Ceftazidime 2 грама и Avibactam 0,5 грама) IV over 120 minutes every 8 hours b 0,5 грама IV за 60 минути на всеки 8 часа |
Бактериална пневмония/вентилатор, придобита със болница, бактериална пневмония, свързана с вентилатор
Изпитването с HABP/VABP на фаза 3 включва 436 възрастни пациенти, лекувани с AvyCaz 2,5 грама (Ceftazidime 2 грама и Avibactam 0,5 грама), прилагани интравенозно над 120 минути и 434 пациенти, лекувани с меропенем. Средната възраст на пациентите, лекувани с avycaz, е 66 години (диапазон от 18 до 89 години), а 54,1% от пациентите са на 65 или повече години. Пациентите са били предимно мъже (NULL,5%) и азиатски (NULL,2%).
Смъртта е настъпила при 9,6% (42/436) от пациенти, които са получили AvyCaz, и при 8,3% (36/434) от пациенти, които са получили меропенем. Прекратяване на лечението поради нежелана реакция се наблюдава при 3,7% (16/436) от пациентите, получаващи AvyCaz, и 3% (13/434) от пациентите, получаващи меропенем.
Нежеланите реакции, възникващи при 5% или по -големи при пациенти, получаващи avycaz, са диария и повръщане.
Таблица 13 изброява избрани нежелани реакции, възникващи при 1% или повече от пациентите, получаващи AvyCaz, и с случаи, по -големи от сравнителя във фаза 3 HABP/VABP клинично изпитване.
Таблица 13. Честота на избрани нежелани лекарствени реакции, възникващи при 1% или повече от възрастни пациенти (на възраст 18 и повече години), получаващи AvyCaz във фаза 3 HABP/VABP изпитване
| Нежелани реакции | Avycaz a (N = 436) | Меропенем b (N = 434) |
| Стомашно -чревни разстройства | ||
| Nausea | 3% | 2% |
| Кожни и подкожни тъканни нарушения | ||
| Pruritus | 2% | 1% |
| a 2.5 грама (Ceftazidime 2 грама и Avibactam 0,5 грама) IV over 120 minutes every 8 hours b 1 грам IV за 30 минути на всеки 8 часа |
Други нежелани реакции на Avycaz и Ceftazidime при възрастни
Тестовата сероконверсия на директния Coombs с Avycaz
In the Phase 3 trials seroconversion from a negative to a positive direct Coombs’ test result among patients with an initial negative Coombs’ test and at least one follow up test occurred in 3% (cUTI) 12.9% (cIAI) and 21.4% (HABP/VABP) of patients receiving AVYCAZ and 0.9% (cUTI) 3% (cIAI) and 7% (HABP/VABP) of patients receiving a сравнител на карбапенем.
По -рядко срещани нежелани реакции с avycaz
Следните избрани нежелани реакции са съобщени при пациенти, лекувани с AVYCAZ със скорост по-малка от 1% във фаза 3 изпитвания и не са описани другаде в етикетирането.
Кръвни и лимфни разстройства - Тромбоцитопения тромбоцитоза левкопения
Общи разстройства и условия на администрация - Инжекционно място Phlebitis
Инфекцияs и infestations - Кандидоза
Разследвания -Повишена аспартат аминотрансфераза повишена аланин аминотрансфераза повишена гама-глутамил трансферазаза
Метаболизъм и разстройства на храненето - Хипокалиемия
Нарушения на нервната система - Дисгесия
Бъбречни и уринарни разстройства - Остра вреда на бъбреците бъбречно увреждане Нефролитиаза
Кожни и подкожни тъканни нарушения - обрив обрив петна-папулар уртикария
Психиатрични разстройства - Тревожност
Нежелани реакции with Ceftazidime
Освен това нежелани реакции, отчетени само с цефтазидим, които не са докладвани при пациенти, лекувани с AvyCaz, в изпитванията на фаза 3 са изброени по-долу:
Кръвни и лимфни разстройства – Агранулокоцитис Хемолитична анемия лимфоцитоза Неутропения Еозинофилия
Общи разстройства и условия на администрация - Инфузионно място за инжектиране на инфузия хематом Тромбоза на инжекционното място
Хепатобилиарни разстройства – Жълтеница
Разследвания - Повишена кръвна лактатна дехидрогеназа продължително протромбинова време
Нарушения на нервната система - Парестезия Пристъпи енцефалопатия Кома Астериксис Невромускулна възбудимост Миклония
Бъбречни и уринарни разстройства - Тубулоинтерстициален нефрит
Репродуктивни и гръдни нарушения - Вагинално възпаление
Свръхчувствителност - Реакции Анафилаксия ангиоедем еритема мултиформен синдролиза на Стивънс-Джонсън Токсична епидермална некролиза
Опит с клинични изпитвания In Педиатрични пациенти
Педиатрични пациенти Aged 3 months to less than 18 years
Avycaz was evaluated in 128 pediatric patients aged 3 months to <18 years in two single-blind rиomized active-controlled clinical trials one in patients with cUTI и the other in patients with cIAI. Safety data from the two studies were pooled. The Avycaz dosing regimen was the same in both of these trials [see Доза и приложение ] със средна продължителност на лечението 6 дни и максимум 14 дни. Режимът е избран, за да доведе до експозиция на педиатрични лекарства, сравнимо с това на възрастните и в изпитването на CIAI метронидазол се прилага едновременно с Avycaz. Пациентите бяха рандомизирани 3: 1, за да получат Avycaz или сравнител, който беше съответно меропенем или цефепим в изпитванията CIAI и CUTI. Средната възраст на пациентите, лекувани с avycaz, е била 8,6 години, а в групата на сравнител 7,4 години. По -голямата част от пациентите, лекувани с avycaz, са жени (57%) и кавказки (80%). Проведено е еднократно фармакокинетично (ПК) и изпитване за безопасност на отворен етикет и изпитване за безопасност при педиатрични пациенти с HABP/VABP и записа четирима пациенти на възраст от 11,6 месеца до 9,4 години [виж Клинична фармакология ].
В изпитванията на Cuti CIAI и HABP/VABP не са били съобщени смъртни случаи при педиатрични пациенти на възраст 3 месеца и повече. Прекратяване на лечението поради нежелани реакции в педиатричните COTI и CIAI изпитванията се наблюдават при 2,3% (3/128) от пациенти, получаващи AvyCaz, и 0/50 от пациентите, получаващи лекарства за сравнение. Най -често срещаните нежелани реакции, възникващи при по -големи от 3% от педиатричните пациенти на възраст от 3 месеца до <18 years treated with Avycaz were повръщане диария rash и infusion site phlebitis.
Педиатрични пациенти less than 3 months of Age
Avycaz също е оценен в изпитване, за което се записва 46 педиатрични пациенти на възраст под три месеца, както следва: бебета> 28 дни до <3 months (N=17) term neonates from birth to 28 days (N=13) pre-term neonates from birth (gestational age ≥ 31 weeks) to 28 days (N=16). The median age of patients treated with Avycaz was 24 days. In this single-arm trial 25 patients with a suspected or confirmed bacterial infection received a single-dose of Avycaz и 21 patients with suspected or confirmed serious gram-negative infections received multiple doses of Avycaz [see Доза и приложение ]. The demographics of patients treated with Avycaz were female (54%) male (46%); racial groups of White (78%) Asian (11%) Black or African American (9%); ethnicities of Not Hispanic or Latino (91.3%); Hispanic or Latino (4.3%). In patients treated with multiple doses of Avycaz [see Доза и приложение ] Средната продължителност на лечението е 6 дни, а максималната продължителност на лечението е 12 дни.
Има една смърт, съобщавана в изпитването за педиатрични пациенти на възраст под 3 месеца. Няма прекратяване на лечението поради нежелани реакции. Най -често срещаните нежелани реакции, възникващи при над 3% от педиатричните пациенти на възраст под 3 месеца, са повръщащи се и повишават трансаминазите.
Профилът на безопасността на Avycaz при педиатрични пациенти е подобен на възрастни с CIAI CUTI и HABP/VABP, лекувани с AvyCaz.
Опит за постмаркетиране
The following adverse reactions and altered laboratory tests have been identified during post approval use of ceftazidime (a component of AVYCAZ) or other cephalosporin-class antibacterial drugs. Because these reactions are reported voluntarily from a population of uncertain size it is not always possible to reliably estimate their frequency or establish a causal relationship to drug exposure.
Колит токсична нефропатия Чернодробна дисфункция, включително холестаза на кръвоизлив пансипения апластична анемия, продължително протромбиново време Фалшиво-положителен тест за уринарна глюкоза. Острата миокардна исхемия със или без миокарден инфаркт може да възникне като част от алергична реакция.
Лекарствени взаимодействия
Probenecid
In vitro Avibactam е субстрат на OAT1 и OAT3 преносители, които могат да допринесат за активното поглъщане от кръвното отделение и по този начин неговата екскреция. Като мощен овесен инхибитор пробенецидът инхибира усвояването на овес на авибактам с 56% до 70% in vitro и therefore has the potential to decrease the elimination of avibactam when co-administered. Because a clinical interaction study of Avycaz or avibactam alone with probenecid has not been conducted co-administration of Avycaz with probenecid is not recommended [see Клинична фармакология ].
Взаимодействия между лекарства/лабораторни тестове
Прилагането на цефтазидим може да доведе до фалшиво-положителна реакция за глюкоза в урината с определени методи. Препоръчва се да се използват тестове за глюкоза на базата на ензимни реакции на глюкоза оксидаза.
Предупреждения за Avycaz
Включени като част от 'ПРЕДПАЗНИ МЕРКИ' Раздел
Предпазни мерки за Avycaz
Намален клиничен отговор при пациенти с CIAI при възрастни с изходния креатинин клирънс от 30 до по -малко или равен на 50 ml/min
Във фаза 3 CIAI изпитване при възрастни пациенти клиничните проценти на излекуване са по -ниски при подгрупа пациенти с изходно ниво на CRCL от 30 до по -малко или равни на 50 ml/min в сравнение с тези с CRCL по -голям от 50 ml/min (Таблица 10). Намаляването на процента на клинично излекуване е по-белязано при пациенти, лекувани с Avycaz плюс метронидазол в сравнение с пациенти, лекувани с меропенем. В рамките на тази подгрупа пациенти, лекувани с AvyCaz, са получили 33% по -ниска дневна доза, отколкото в момента се препоръчва за пациенти с CRCL 30 до по -малко или равни на 50 ml/min.
Намаленият клиничен отговор не се наблюдава при пациенти с умерено бъбречно увреждане в изходното ниво (CRCL от 30 до по -малко или равни на 50 ml/min) във фаза 3 CUTI изпитвания или фаза 3 HABP/VABP изпитване.
Наблюдавайте CRCL поне всеки ден при пациенти с възрастни и педиатрии с променяща се бъбречна функция и съответно коригирайте дозата на avycaz [виж Доза и приложение и Нежелани реакции ].
Таблица 10. Клинично излекуване при тест на лечението във фаза 3 CIAI изпитване чрез изходна бъбречна функция - популация на MMITT a
| Avycaz + Metronidazole % (n/n) | Меропенем % (n/n) | |
| Нормална функция / леко увреждане (CRCL по -голям от 50 ml/min) | 85% (322/379) | 86% (321/373) |
| Умерено увреждане (CRCL 30 до по -малко или равно на 50 ml/min) | 45% (14/31) | 74% (26/35) |
| a Микробиологично модифицирано популация за лечение (MMITT) включва пациенти, които са имали поне един бактериален патоген в началото и са получили поне една доза изследвано лекарство |
Свръхчувствителност Reactions
Съобщава се за сериозни и от време на време фатална свръхчувствителност (анафилактични) реакции и сериозни кожни реакции при пациенти, получаващи бета-лактамни антибактериални лекарства. Преди терапията с AvyCaz да бъде информирана внимателно проучване за предишни реакции на свръхчувствителност към други цефалоспорини пеницилини или карбапенеми. Установена е предпазливост, ако този продукт трябва да се даде на пеницилин или друг бета-лактам-алергичен пациент, тъй като е установена кръстосана чувствителност сред бета-лактамните антибактериални лекарства. Прекратяване на лекарството, ако възникне алергична реакция към avycaz.
Clostridioides difficile-асоциирана диария
Clostridioides difficile -асоциирана диария (CDAD) е съобщена за почти всички системни антибактериални лекарства, включително AvyCaz, и може да варира по тежест от лека диария до фатален колит. Лечението с антибактериални лекарства променя нормалната флора на дебелото черво и може да позволи свръхрастеж на В. трудно.
В. трудно произвежда токсини А и В, които допринасят за развитието на CDAD. Хипертоксин, произвеждащ щамове на В. трудно Причина за повишена заболеваемост и смъртност, тъй като тези инфекции могат да бъдат рефрактерни на антимикробната терапия и могат да изискват колектомия. CDAD трябва да се разглежда при всички пациенти, които се представят с диария след антибактериална употреба. Необходима е внимателна медицинска история, тъй като се съобщава, че CDAD се среща повече от 2 месеца след прилагането на антибактериални лекарства.
Ако CDAD е заподозрян или потвърден антибактериални лекарства, които не са насочени срещу В. трудно може да се наложи да бъде прекратен. Управление на нивата на течности и електролити, както е подходящо добавяне на всмукване на протеини Антибактериално лечение на В. трудно и institute surgical evaluation as clinically indicated.
Реакции на централната нервна система
Припадъци неконвулсивен статус Епилептик (NCSE) Енцефалопатия Кома Астериксис нервно -мускулна възбудимост и миоклония са съобщени при пациенти, лекувани с цефтазидим, особено при установяване на бъбречно увреждане. Регулирайте дозирането въз основа на клирънс на креатинин [виж Доза и приложение ].
Развитие на устойчиви на лекарства бактерии
Предписването на Avycaz при липса на доказана или силно подозирана бактериална инфекция или профилактична индикация е малко вероятно да осигури полза на пациента и увеличава риска от развитието на лекарствени устойчиви бактерии [виж Показания ].
Неклинична токсикология
Канцерогенеза мутагенеза Нарушаване на плодовитостта
Ceftazidime и avibactam were each evaluated for mutagenic potential in several in vitro и напразно Анализи. Ceftazidime е отрицателен за мутагенност при миши микронуклеус и тест на AMES. Авибактам е отрицателен за генотоксичност в анализа на AMES непланиран ДНК синтез хромозомна аберация и изследване на микронуклеуса на плъхове.
Авибакта had no adverse effects on fertility of male и female rats given up to 1 g/kg/day (approximately 20-fold higher than the recommended clinical dose on a body surface area basis). There was a dose-related increase in the percentage of pre- и post-implantation loss relative to controls resulting in a lower mean litter size at doses 0.5 g/kg и greater with intravenous administration to female rats beginning 2 weeks prior to mating.
Използване в конкретни популации
Бременност
Обобщение на риска
Няма адекватни и добре контролирани проучвания на Avycaz Ceftazidime или Avibactam при бременни жени. Нито цефтазидим, нито авибактам са тератогенни при плъхове при дози 40 и 9 пъти по -голяма от препоръчителната клинична доза при хора. В заека при два пъти експозицията, както се вижда в клиничната доза при хора, няма ефекти върху развитието на ембриофетал с авибатам.
Основният риск от големи вродени дефекти и спонтанен аборт за посоченото население е неизвестен. Основният риск от големи вродени дефекти е 2-4%, а на спонтанен аборт е 15-20% от клинично признатите бременности в общата популация. Тъй като проучванията за възпроизвеждане на животни не винаги предсказват човешки отговор, това лекарство трябва да се използва при бременност само ако е ясно необходимо.
Данни
Данни за животните
Ceftazidime
Репродукционните изследвания са проведени при мишки и плъхове при дози до 40 пъти повече от човешката доза и не показват доказателства за вреда на плода поради цефтазидим.
Авибакта
Авибакта was not teratogenic in rats or rabbits. In the rat intravenous studies with 0 250 500 и 1000 mg/kg/day avibactam during gestation days 6-17 showed no embryofetal toxicity at doses up to 1000 mg/kg/day approximately 9 times the human dose based on exposure (AUC). In a rat pre-и post-natal study at up to 825 mg/kg/day intravenously (11 times the human exposure based on AUC) there were no effects on pup growth и viability. A dose-related increase in the incidence of renal pelvic и ureter dilatation was observed in female weaning pups that was not associated with pathological changes to renal parenchyma or renal function with renal pelvic dilatation persisting after female weaning pups became adults.
Зайци, прилагани интравенозен авибатам в дни на бременност 6-19 при 0 100 300 и 1000 mg/kg/ден, не показват ефекти върху развитието на ембриофетал в доза от 100 mg/kg два пъти повече от човешката експозиция (AUC). При по-високи дози се наблюдава повишена загуба след имплантация по-ниско средно тегло на плода, забавена е осификация на няколко кости и други аномалии.
Лактация
Обобщение на риска
Ceftazidime is excreted in human milk in low concentrations. It is not known whether avibactam is excreted into human milk although avibactam was shown to be excreted in the milk of rats. No information is available on the effects of ceftazidime и avibactam on the breast-fed child or on milk production.
Ползите за развитие и здравето от кърменето трябва да се разглеждат заедно с клиничната нужда на майката от Avycaz и всякакви потенциални неблагоприятни ефекти върху детето на кърмената от Avycaz или от основните майчински състояния.
Данни
При плъхове преди и следродилно проучване при дози до 825 mg/kg/ден интравенозно (11 пъти по-голяма от експозицията на човека на базата на AUC) излагането на авибатам е минимално при малките в сравнение с язовирите. Излагането на авибатам се наблюдава както в малките, така и в мляко на PND 7.
Педиатрична употреба
Безопасността и ефективността на Avycaz при лечението на Cuti CIAI и HABP/VABP са установени при педиатрични пациенти най -малко 31 седмици гестационна възраст и по -възрастна. Използването на AvyCaz се подкрепя от доказателства от адекватни и добре контролирани проучвания на Avycaz при възрастни с Cuti CIAI и HABP/VABP и допълнителни данни за фармакокинетични и безопасност от педиатрични изпитвания [виж Клинична фармакология Клинични изследвания и].
Профилът на безопасност на Avycaz при педиатрични пациенти е подобен на възрастни с CIAI cuti и HABP/VABP, лекуван с AvyCaz [виж Нежелани реакции ].
Безопасността и ефективността на Avycaz при лечението на Cuti CIAI и HABP/VABP не са установени при педиатрични пациенти на по -малко от 31 седмици гестационна възраст.
Гериатрична употреба
От 1809 пациенти, лекувани с Avycaz във фаза 2 и фаза 3 клинични изпитвания 621 (NULL,5 %) са на възраст 65 години и по -възрастни, включително 302 (NULL,7 %) пациенти на възраст 75 години и повече.
В обединените фаза 2 и фаза 3 CIAI Avycaz клинични изпитвания 20% (126/630) от пациенти, лекувани с AvyCaz, са на 65 години и по -възрастни, включително 49 (NULL,8%) пациенти на възраст 75 години и повече. Честотата на нежеланите реакции и в двете лечебни групи е била по -висока при по -възрастни пациенти (≥ 65 -годишна възраст) и подобна и в двете групи за лечение; Степента на клинично излекуване за пациенти на 65 години или повече години е била 73,0% (73/100) в Avycaz плюс метронидазол и 78,6% (77/98) в рамото на Меропенем.
Във фазата 3 COTI изпитване 30,7% (157/511) от пациенти, лекувани с AvyCaz, са на възраст 65 или повече години, включително 78 (NULL,3%) пациенти на възраст 75 или повече години. Честотата на нежеланите реакции и в двете лечебни групи е по -ниска при по -възрастни пациенти (≥ 65 -годишна възраст) и подобна между лечебните групи. Сред пациентите на 65 години или повече във фаза 3 CUTI изпитване 66,1% (82/124) от пациентите, лекувани с AvyCaz, са имали симптоматична резолюция на 5 -ия ден в сравнение с 56,6% (77/136) пациенти, лекувани с дорипенем. Комбинираният отговор (микробиологично лечение и симптоматичен отговор), наблюдаван при посещението на теста за излекуване (TOC) за пациенти на 65 или повече години, са 58,1% (72/124) в рамото на Avycaz и 58,8% (80/136) в рамото на Дорипенем.
Във фаза 3 HABP/VABP изпитване 54,1% (236/436) от пациенти, лекувани с AvyCaz, са на 65 години или по -възрастни, включително 129 (NULL,6%) пациенти на възраст 75 или повече години. Честотата на нежеланите реакции при пациенти на възраст ≥ 65 години е подобна на пациентите <65 years of age. The 28-day all-cause mortality was similar between treatment groups for patients 65 years of age or older (12.7% [29/229] for patients in the Avycaz arm и 11.3% [26/230] for patients in the meropenem arm).
Ceftazidime и avibactam are known to be substantially excreted by the kidney; therefore the risk of adverse reactions to ceftazidime и avibactam may be greater in patients with decreased renal function. Because elderly patients are more likely to have decreased renal function care should be taken in dose selection и it may be useful to monitor renal function. Healthy elderly subjects had 17% greater exposure relative to healthy young subjects when administered the same single dose of avibactam which may have been related to decreased renal function in the elderly subjects. Доза adjustment for elderly patients should be based on renal function [see Доза и приложение и Клинична фармакология ].
Бъбречно увреждане
Доза adjustment is required in adult patients with moderately or severely impaired renal function (CrCl 50 ml/min or less). For patients with changing renal function CrCl should be monitored at least daily particularly early in treatment и dosage of Avycaz adjusted accordingly. Both ceftazidime и avibactam are hemodialyzable; thus Avycaz should be administered after hemodialysis on hemodialysis days [see Доза и приложение и Клинична фармакология ].
Доза adjustment is also required in pediatric patients with renal impairment from 2 years to less than 18 years of age with eGFR 50 ml/min/1.73 m 2 или по -малко. Няма достатъчно информация, която да препоръча режим на дозиране на педиатрични пациенти, на възраст под 2 години с бъбречно увреждане [виж Доза и приложение и Клинична фармакология ].
Информация за предозиране за avycaz
В случай на предозиране Преустановяване на Avycaz и институт общо поддържащо лечение.
Ceftazidime и avibactam can be removed by hemodialysis. In subjects with end-stage renal disease (ESRD) administered 1 gram ceftazidime the mean total recovery in dialysate following a 4-hour hemodialysis session was 55% of the administered dose. In subjects with ESRD administered 100 mg avibactam the mean total recovery in dialysate following a 4-hour hemodialysis session started 1 hour after dosing was approximately 55% of the dose.
Не е налична клинична информация за използването на хемодиализа за лечение на предозиране на avycaz [виж Клинична фармакология ].
Противопоказания за Avycaz
Avycaz is contraindicated in patients with known serious hypersensitivity to the components of Avycaz (ceftazidime и avibactam) avibactam containing products or other members of the cephalosporin class [see Предупреждения и предпазни мерки ].
Клинична фармакология for Avycaz
Механизъм на действие
Avycaz is an антибактериални drug [see Микробиология ].
Фармакодинамика
As with other beta-lactam antimicrobial drugs the time that unbound plasma concentrations of ceftazidime exceed the AVYCAZ minimum inhibitory concentration (MIC) against the infecting organism has been shown to best correlate with efficacy in a neutropenic murine thigh infection model with Enterobacteriaceae and Pseudomonas aeruginosa . Времето над праговата концентрация е определено като параметър, който най -добре прогнозира ефикасността на Avibactam в in vitro и напразно Неклинични модели.
Сърдечна електрофизиология
В задълбочено QT изследване е изследвана супрарапевтична доза цефтазидим (3 грама) за QT ефекти в комбинация с супрарапевтична доза авибатам (2 грама), дадена като 30-минутна единична инфузия. Няма значителен ефект върху QT c F интервал е открит при пикова плазмена концентрация или по всяко друго време. Най -голямата 90% горна граница за плацебо коригираната средна промяна от изходното ниво е 5,9 ms. Нямаше QT c F интервали, по -големи от 450 ms, нито е имало QT c F Промени в интервала от изходното ниво над 30 ms.
Фармакокинетика
Средните фармакокинетични параметри за цефтазидим и авибатам при здрави възрастни мъже с нормална бъбречна функция след единични и множество 2-часови интравенозни инфузии на AvyCaz 2,5 грама (Ceftazidime 2 грама и Avibactam 0,5 грама), прилагани на всеки 8 часа, се обобщават в таблица 14.
Фармакокинетичните параметри на цефтазидим и авибактам са сходни за единична и множествена доза прилагане на avycaz и са подобни на тези, определени, когато цефтазидим или авибактам са били приложени самостоятелно.
Таблица 14. Фармакокинетични параметри (геометрична средна стойност [%CV]) на Ceftazidime и Avibactam след прилагане на Avycaz 2,5 грама (Ceftazidime 2 грама и Avibactam 0,5 грама) при здрави възрастни субекти от мъжки полза
| Ceftazidime | Авибакта | |||
| Параметър | Единична AvyCaz 2,5 грама a Доза Administered as a 2-hour Infusion (n = 16) | Множество AvyCaz 2,5 грама a Дозаs AdministereD every 8 hours as 2-hour Infusions for 11 Days (n = 16) | Единична AvyCaz 2,5 грама a Доза Administered as a 2-hour Infusion (n = 16) | Множество AvyCaz 2,5 грама a Дозаs AdministereD every 8 hours as 2-hour Infusions for 11 Days (n = 16) |
| CMAX (mg/L) | 88.1 (14) | 90.4 (16) | 15.2 (14) | 14.6 (17) |
| AUC (MG-H/L) b | 289 (15) c | 291 (15) | 42.1 (16) d | 38.2 (19) |
| T 1/2 (з) | 3.27 (33) c | 2.76 (7) | 2.22 (31) d | 2.71 (25) |
| CL (L/H) | 6.93 (15) c | 6.86 (15) | 11.9 (16) d | 13.1 (19) |
| VSS (L) | 18.1 (20) c | 17 (16) | 23.2 (23) d | 22.2 (18) |
| CL = плазмен клирънс; CMAX = максимална наблюдавана концентрация; T 1/2 = терминална елиминация полуживот; Vss (l) = обем на разпределение в стабилно състояние a Ceftazidime 2 грама и Avibactam 0,5 грама b AUC0-INF (зона под крива на концентрация време от време 0 до безкрайност), отчетена за прилагане на еднократна доза; AUC0-тау (зона под крива на концентрация през интервал на дозиране), отчетена за приложение с множество дози c n = 15 d n = 13 |
CMAX и AUC на цефтазидим се увеличават пропорционално на дозата. Avibactam демонстрира приблизително линейна фармакокинетика в изследвания диапазон на дозата (50 mg до 2000 mg) за единично интравенозно приложение. Не се наблюдава значително натрупване на цефтазидим или авибатам след множество интравенозни инфузии на Avycaz 2,5 грама (Ceftazidime 2 грама и Avibactam 0,5 грама), прилагани на всеки 8 часа в продължение на до 11 дни при здрави възрастни с нормална бъбречна функция.
Разпределение
По -малко от 10% от цефтазидим е обвързан с протеини. Степента на свързване на протеини не зависи от концентрацията. Свързването на авибатам с човешки плазмени протеини е ниско (NULL,7% до 8,2%) и е сходно в обхвата на тестваните концентрации in vitro (NULL,5 до 50 mg/l).
Обемът на стационарно състояние на разпределение на цефтазидим и авибактам е съответно 17 L и 22,2 L при здрави възрастни след множество дози Avycaz 2,5 грама (Ceftazidime 2 грама и Avibactam 0,5 грама), вливат се на всеки 8 часа за 2 часа в продължение на 11 дни.
След прилагане на AvyCaz 2,5 g (Ceftazidime 2 грама и Avibactam 0,5 грама) на здрави мъже на всеки 8 часа като 2-часова инфузия в продължение на 3 дни средните коефициенти на бронхиална епителна лигавична лигавична лигавична лигавична лигавична лигавична лигавична лигавична лигавична лигавична лигавична лигавична лигавична лигавична лигавична лигавична лигавична лигавична лигавична лигавична лигавичка на Avibactam и AUC0-TAU. Средните коефициенти на бронхиална епителна лигавична лигавична течност към плазмена на CMAX и AUC0-TAU съответно са съответно 26% и 31%.
Метаболизъм
Ceftazidime is mostly (80% to 90% of the dose) eliminated as unchanged drug. No metabolism of avibactam was observed in human liver preparations (microsomes и hepatocytes). Unchanged avibactam was the major drug-related component in human plasma и urine after a single intravenous dose of 0.5 grams 14 C-маркиран Avibactam.
Екскреция
И Ceftazidime, и Avibactam се отделят главно от бъбреците.
Приблизително 80% до 90% от интравенозната доза цефтазидим се отделя непроменена от бъбреците за 24-часов период. След интравенозното приложение на единични 0,5 грама или 1-грамови дози приблизително 50% от дозата се появява в урината през първите 2 часа. Допълнителни 20% бяха екскретирани между 2 и 4 часа след дозиране и приблизително още 12% от дозата се появиха в урината между 4 и 8 часа по -късно. Елиминирането на цефтазидим от бъбреците доведе до високи терапевтични концентрации в урината. Средният бъбречен клирънс на цефтазидим е приблизително 100 ml/min. Изчисленият плазмен клирънс от приблизително 115 ml/min показва почти пълно елиминиране на цефтазидим по бъбречния път.
След прилагане на единична интравенозна доза от 0,5 грама на радиомаркиран авибактам средно 97% от прилаганата радиоактивност се възстановява от урината с над 95%, възстановена в рамките на 12 часа след дозирането. Средно 0,20% от прилаганата обща радиоактивност се възстановява при изпражнения в рамките на 96 часа след дозирането. Средно 85% от администрирания авибатам се възстановява от урината като непроменено лекарство в рамките на 96 часа, като над 50% се възстанови в рамките на 2 часа след началото на инфузията. Бъбречният клирънс е 158 ml/min, което е по -голямо от гломерулната филтрация, което предполага, че активната тръбна секреция допринася за отделянето на авибатам в допълнение към гломерулната филтрация.
Специфични популации
Пациенти с бъбречно увреждане
Ceftazidime is eliminated almost solely by the kidneys; its serum half-life is significantly prolonged in patients with impaired renal function.
The clearance of avibactam was significantly decreased in subjects with mild (CrCl greater than 50 to 80 mL/min n = 6) moderate (CrCl 30 to less than or equal to 50 mL/min n = 6) and severe (CrCl 30 mL/min or less not requiring hemodialysis; n = 6) renal impairment compared to healthy subjects with normal renal function (CrCl greater than 80 mL/min n = 6) following administration of a single 100-mg интравенозна доза авибатам. По-бавният клирънс доведе до увеличаване на системната експозиция (AUC) на Avibactam от 2,6-кратно 3,8 пъти и 7-кратно при лица с леко умерено и тежко бъбречно увреждане съответно в сравнение с субекти с нормална бъбречна функция.
Единична доза от 100 mg авибактам се прилага на лица с ESRD (n = 6) или 1 час преди или след хемодиализа. Avibactam AUC след инфузията след хемодиализата беше 19,5 пъти AUC на здрави индивиди с нормална бъбречна функция. Авибактам се отстранява широко чрез хемодиализа с коефициент на екстракция 0,77 и среден клирънс на хемодиализа от 9,0 L/h. Приблизително 55% от дозата на Avibactam се отстранява по време на 4-часова сесия на хемодиализа.
Доза adjustment of Avycaz is recommended in adult и pediatric patients 2 years и older with moderate и severe renal impairment и end-stage renal disease. Population PK models for ceftazidime и avibactam were used to conduct simulations for patients with impaired renal function. Simulations demonstrated that the recommended dose adjustments [see Доза и приложение ] осигуряват сравними експозиции на цефтазидим и авибатам както при възрастни, така и при педиатрични пациенти с умерено и тежко бъбречно увреждане и бъбречно заболяване в краен стадий на тези при пациенти с нормална бъбречна функция или леко бъбречно увреждане. Тъй като експозицията както на цефтазидим, така и на авибатам е силно зависима от бъбречната функция на бъбречната функция (т.е. CRCL при възрастни пациенти и EGFR при педиатрични пациенти) поне всеки ден и съответно коригирайте дозата на Avycaz [виж [виж Доза и приложение ]. There is insufficient information to recommend a dosage regimen for pediatric patients less than 2 years of age with renal impairment.
Пациенти с чернодробно увреждане
Наличието на чернодробна дисфункция не оказва влияние върху фармакокинетиката на цефтазидим при индивиди, прилагани 2 грама интравенозно на всеки 8 часа в продължение на 5 дни.
Фармакокинетиката на Авибактам при пациенти с чернодробно увреждане не е установена. Изглежда, че Avibactam не претърпява значителен чернодробен метаболизъм; Следователно не се очаква системният клирънс на Avibactam да бъде повлиян значително от чернодробното увреждане.
Доза adjustments are not currently considered necessary for Avycaz in patients with impaired hepatic function.
Педиатрични пациенти
Проведени са фармакокинетични анализи и симулации на целеви постижения, за да се препоръча дозиране на AvyCaz при педиатрични пациенти с CIAI CUTI и HABP/VABP. Препоръчителните педиатрични дозиращи режими за пациенти от 2 до по -малко от 18 години с EGFR по -голям от 50 ml/min/1,73 m 2 и for patients from birth (with gestational age 31 weeks и older) to less than 2 years without renal impairment are predicted to result in systemic exposures similar to that in adult patients given AvyCaz 2,5 грама.
PK моделиране на PK, включително предположението за пропорционални ефекти от бъбречно увреждане при възрастни и педиатрични пациенти, също прогнозира, че препоръчителните корекции на дозата за пациенти на възраст 2 години и повече с EGFR по -малко или равни на 50 ml/min/1,73 m 2 водят до системна експозиция, подобна на тази при възрастни пациенти. Няма достатъчно информация, която да препоръча корекция на дозата при педиатрични пациенти на възраст под 2 години с бъбречно увреждане.
Гериатрични пациенти
След еднократна прилагане от 0,5 грама Avibactam като 30-минутна инфузия, средната AUC за Avibactam е 17% по-висока при здрави възрастни субекти (65-годишна и по-възрастна N = 16), отколкото при здрави млади възрастни субекти (18 до 45 години на възраст n = 17). Няма статистически значим възрастов ефект за Avibactam CMAX.
Не се препоръчва корекция на дозата въз основа на възрастта. Регулиране на дозата за avycaz при възрастни пациенти трябва да се основава на бъбречната функция [виж Доза и приложение ].
Пол
След прилагане на еднократна доза от 0,5 грама Avibactam като 30-минутна инфузия здрави мъже (n = 17) имат 18% по-ниски стойности на Avibactam CMAX, отколкото здрави жени (n = 16). Няма ефект на пол за параметрите на Avibactam AUC.
Не се препоръчва корекция на дозата въз основа на пола.
Лекарствени взаимодействия
Авибакта at clinically relevant concentrations does not inhibit the cytochrome P450 isoforms CYP1A2 CYP2A6 CYP2B6 CYP2C8 CYP2C9 CYP2C19 CYP2D6 CYP2E1 и CYP3A4/5 in vitro В човешки чернодробни микрозоми. Авибактам не показа потенциал за in vitro Индукция на CYP1A2 2B6 2C9 и 3A4 изоензими в човешки хепатоцити. Срещу CYP2E1 Avibactam показа лек индукционен потенциал при много високи концентрации, които надвишават всяка клинично значима експозиция. Ceftazidime се оценява независимо в човешки хепатоцити и не показва индукционен потенциал за активността или мРНК експресията на CYP1A1/2 CYP2B6 и CYP3A4/5.
Нито цефтазидим, нито авибатам не са инхибитор на следните чернодробни и бъбречни транспортиращи in vitro При клинично значими концентрации: MDR1 BCRP OAT1 OAT3 OATP1B1 OATP1B3 BSEP MRP4 OCT1 и OCT2. Avibactam не е субстрат на MDR1 BCRP MRP4 или OCT2, но е субстрат на човешки OAT1 и OAT3 бъбречни преносители въз основа на резултати, генерирани в човешки ембрионални бъбречни клетки, експресиращи тези транспортиращи. Probenecid инхибира 56% до 70% от усвояването на авибактам от OAT1 и OAT3 in vitro . Ceftazidime не инхибира транспорта на авибактам, медииран от OAT1 и OAT3. Клиничното въздействие на мощните овесени инхибитори върху фармакокинетиката на Авибатам не е известно. Не се препоръчва съвместно приложение на Avycaz с probenecid [виж Лекарствени взаимодействия ].
Administration of AVYCAZ 2.5 grams (ceftazidime 2 grams and avibactam 0.5 grams) to healthy male subjects (n = 28) as a 2-hour infusion following a 1-hour infusion of metronidazole every 8 hours for 3 days did not affect the Cmax and AUC values for avibactam or ceftazidime compared to administration of AVYCAZ 2.5 grams (ceftazidime 2 grams and Avibactam 0,5 грама) самостоятелно. Прилагането на 0,5 грама метронидазол на здрави мъже като 1-часова инфузия преди 2-часова инфузия на AvyCaz 2,5 грама (Ceftazidime 2 грама и Avibactam 0,5 грама) на всеки 8 часа в продължение на 3 дни не засяга Cmax и AUC на Metronidazole в сравнение с администрацията на 0,5 грама меторонидазол самостоятелно.
Микробиология
Механизъм на действие
Компонентът ceftazidime на avycaz е антибактериално лекарство с цефалоспорин с in vitro активност срещу определени грам-отрицателни и грам-положителни бактерии. Бактерицидното действие на цефтазидим се медиира чрез свързване към основни пеницилин-свързващи протеини (PBP). Компонентът на Avibactam на Avycaz е не-беталатам бета-лактамазна инхибитор, който инактивира определени бета-лактамази, които разграждат цефтазидим. Авибактам не намалява активността на цефтазидим срещу чувствителни към цефтазидим организми.
Avycaz demonstrated in vitro Активност срещу Enterobacteriaceae в присъствието на някои бета-лактамази и бета-лактамази с удължен спектър (ESBL) на следните групи: TEM SHV CTX-M Klebsiella pneumoniae Карбапенемаза (KPCS) AMPC и някои оксацилинази (OXA). Авиказ също демонстрира in vitro дейност срещу P. aeruginosa В присъствието на някои AMPC бета-лактамази и определени щамове, лишени от външна мембрана Porin (OPRD). Avycaz не е активен срещу бактерии, които произвеждат метало-бета лактамази и може да имат активност срещу грам-отрицателни бактерии, които свръхекспресират изтичащите помпи или имат пристинови мутации.
Съпротива
Не е идентифицирана кръстосана устойчивост с други класове антимикробни средства. Някои изолати, резистентни към други цефалоспорини (включително цефтазидим) и на карбапенемите, могат да бъдат податливи на Avycaz.
хидрокодонов битартрат и ацетаминофен перорален разтвор
Взаимодействие с други антимикробни средства
In vitro Проучванията не са демонстрирали антагонизъм между авиказ и колистин левофлоксацин линезолид метронидазол тигециклин тобрамицин или ванкомицин.
Активност срещу цефтазидим-нечувствителни бактерии в моделите на заразяване с животни
Авибакта restored activity of ceftazidime in animal models of infection (e.g. thigh infection pyelonephritis systemic infection induced by intraperitoneal injection) caused by ceftazidime non-susceptible beta-lactamaseproducing (e.g. ESBL KPC и AmpC) gram-negative bacteria.
Антимикробна активност
Avycaz has been shown to be active against most isolates of the following bacteria both in vitro и in clinical infections [see Показания ].
Сложни вътреабдоминални инфекции (CIAI)
Аеробни бактерии
Грам-отрицателни бактерии
- Citrobacter freundii комплекс
- Enterobacter cloacae
- Те изложиха студ
- Klebsiella oxytoca
- Klebsiella pneumoniae
- Протей прекрасно
- Pseudomonas aeruginosa
Сложни инфекции на пикочните пътища (CUTI), включително пиелонефрит
Аеробни бактерии
Грам-отрицателни бактерии
- Citrobacter freundii комплекс
- Enterobacter cloacae
- Те изложиха студ
- Klebsiella pneumoniae
- Протей прекрасно
- Pseudomonas aeruginosa
Бактериална пневмония, придобита от болница и вентилатор, свързана с вентилатор
Аеробни бактерии
Грам-отрицателни бактерии
- Enterobacter cloacae
- Те изложиха студ
- Haemophilus influenzae
- Klebsiella pneumoniae
- Протей прекрасно
- Pseudomonas aeruginosa
- Serratia Marcescens
Следното in vitro Данните са налични, но тяхното клинично значение е неизвестно. Поне 90 процента от следните бактерии проявяват in vitro Минимална инхибиторна концентрация (MIC), по -малка или равна на чувствителната точка на прекъсване на Avycaz срещу изолати от подобен род или организъм. Въпреки това ефикасността на AvyCaz при лечение на клинични инфекции, причинени от тези бактерии, не е установена в адекватни и добре контролирани клинични изпитвания.
Грам-отрицателни бактерии
- Citrobacter Koseri
- Enterobacter Aerogenes
- Morganella morganies
- Rettgeri Providence
- Providencia Stuartii
Методи за изпитване на чувствителност
За специфична информация относно методите за тестване на чувствителност Критерии за интерпретация и свързаните с тях методи за изпитване и стандарти за контрол на качеството, признати от FDA за avycaz, моля вижте: https://www.fda.gov/stic.
Клинични изследвания
Сложни интраабдоминални инфекции
Възрастни пациенти
A total of 1058 adults hospitalized with cIAI were randomized and received trial medications in a multinational multi-center double-blind trial comparing AVYCAZ 2.5 grams (ceftazidime 2 grams and avibactam 0.5 grams) intravenously every 8 hours plus metronidazole (0.5 grams intravenously every 8 hours) to meropenem (1 gram intravenously every 8 hours) for 5 to 14 дни терапия. Сложните вътреабдоминални инфекции включват апендицит холецистит дивертикулит стомашна/дуоденална перфорация на перфорацията на червата и други причини за интра-абдоминални абсцеси и перитонит.
Микробиологично модифицираната популация за лечение (MMITT), която включва всички пациенти, които имат поне един базов вътреа-абдоминален патоген, се състои от 823 пациенти; Средната възраст е 51 години, а 62,8% са мъже. По -голямата част от пациентите (NULL,9%) са били от Източна Европа; 7,5% са от САЩ. По -малко от 1,0% от пациентите са били от Тихоокеанския или африкански произход. Най-често срещаната първична диагноза на CIAI е перфорация Applediceal или пери-приложение абсцес, възникващ при 44,7% от пациентите. Бактериемията в началото е налице при 4,3% от пациентите.
Клиничното лечение се определя като цялостно разрешаване или значително подобрение на признаците и симптомите на индексната инфекция при посещението на теста на излекуване (TOC), което се е случило от 28 до 35 дни след рандомизацията. Таблица 15 представя клиничното лечение в популацията на MMITT и в микробиологично оценяваната (ME) популация, която включва всички пациенти с MMITT, адуширани от протокол. Avycaz Plus метронидазол не е бил невишен към Meropenem по отношение на основната крайна точка (клинично излекуване при посещението на TOC в популацията на MMITT). Степента на клинично лечение при посещението на TOC от патоген в популацията на MMITT е представена в таблица 16.
Таблица 15. Степента на клинично излекуване при TOC от изпитването на фаза 3 CIAI
| Анализ на популацията | Avycaz plus metronidazole a n/n (%) | Меропенем b n/n (%) | Разлика в лечението (95% CI) c |
| mmite | 337/413 (81.6) | 349/410 (85.1) | -3.5 (-8.6 1.6) |
| Аз | 244/265 (92.1) | 272/287 (94.8) | -2.7 (-7.1 1.5) |
| a AvyCaz 2,5 грама (Ceftazidime 2 грама и Avibactam 0,5 грама) IV every 8 hours + metronidazole 0,5 грама IV на всеки 8 часа b 1 грам IV на всеки 8 часа c 95% доверителен интервал (CI) се изчислява като нестратифициран метод Miettinen и Nurminen |
От 823 пациенти в популацията на MMITT 14 (NULL,7%) са имали базова линия Е. Коли бактериемия; 7/10 (NULL,0%) от пациентите в рамото на Avycaz и 3/4 (NULL,0%) от пациентите в рамото на Меропенем са имали клинично лечение.
Таблица 16. Степента на клинично лечение в TOC по базовия патоген от фаза 3 CIAI изпитване MMITT популация
| Аеробно грам-отрицателна група или патоген | Avycaz plus metronidazole a n/n (%) | Меропенем b n/n (%) |
| Enterobacteriaceae | 272/334 (81.4) | 305/353 (86.4) |
| Те изложиха студ | 218/271 (80.4) | 248/285 (87.0) |
| Klebsiella pneumoniae | 40/51 (78.4) | 37/49 (75.5) |
| Klebsiella oxytoca | 14/18 (77.8) | 12/15 (80.0) |
| Enterobacter cloacae | 11/13 (84.6) | 16/19 (84.2) |
| Citrobacter freundii комплекс | 14/18 (77.8) | 9/12 (75.0) |
| Протей прекрасно | 5/8 (62.5) | 7/9 (77.8) |
| Pseudomonas aeruginosa | 30/35 (85.7) | 34/36 (94.4) |
| a AvyCaz 2,5 грама (Ceftazidime 2 грама и Avibactam 0,5 грама) IV every 8 hours + metronidazole 0,5 грама IV на всеки 8 часа b 1 грам IV на всеки 8 часа |
При изходни 111 пациенти в популацията на MMITT са имали грам-отрицателни изолати, които не са податливи на цефтазидим, включително 61 пациенти с E. coli и 26 пациенти с K. Pneumoniae изолати. Степента на лечение е била 39/47 (NULL,0%) при пациенти, които са получили AvyCaz и 55/64 (NULL,9%) от пациентите, които са получили меропенем.
In a subset of Gram-negative pathogens from both arms of the Phase 3 cIAI trial that met phenotypic screening criteria for the presence of a beta-lactamase genotypic testing identified certain ESBL groups (e.g. TEM-1 SHV-12 CTX-M-15 OXA-48) and AmpC that were expected to be inhibited by avibactam in isolates from 105 (12.8%) of the 823 patients in the Население на MMITT. Степента на клинично излекуване в това подмножество е подобна на общите резултати.
Педиатрични пациенти
Педиатричното изпитване на CIAI е рандомизирано едно-слепи многоцентрово активно контролирано проучване, проведено при хоспитализирани пациенти на възраст 3 месеца до по-малко от 18 години. Пациентите са рандомизирани в съотношение 3: 1, за да получат или avycaz [виж Доза и приложение ] плюс метронидазол (10 mg/kg IV над 20 до 30 минути на всеки 8 часа) или меропенем (20 mg/kg IV на всеки 8 часа). Пациентите са получили IV лечение за минимум 72 часа преди незадължително преминаване към орална терапия по преценка на изследователя да завърши общо 7 до 15 дни антибактериална терапия.
Популацията на намерението за лечение (ITT) се състои от 83 пациенти (Avycaz плюс метронидазол n = 61 меропенем n = 22), които са рандомизирани да получат лечение; 64% са мъже, а средната възраст е 11,0 години в групата на метронидазол Avycaz (диапазон 3 до 17 години). Педиатричните възрастови групи, които получиха Avycaz плюс метронидазол, бяха както следва: 12 до <18 years (n=22) 6 to < 12 years (n=33) 3 to < 6 years (n=6). No patients less than 2 years of age received Avycaz plus metronidazole. Most patients (87%) had a diagnosis of appendiceal perforation or peri-appendiceal abscess. The microbiological intent-to treat (micro-Тук) population which included all patients who had at least one baseline intra-abdominal pathogen consisted of 69 patients (Avycaz plus metronidazole n=50; meropenem n=19). The predominant baseline pathogens were Е. Коли (79.7%) и P. aeruginosa (33.3%).
Основната цел на изследването беше да се оцени безопасността и поносимостта на Avycaz и не се захранва за статистически анализ на ефикасността. При посещението на TOC, което се е случило от 8 до 15 дни след последната доза изследвано лекарство, благоприятен клиничен отговор е дефиниран като разрешаване на всички остри признаци и симптоми на CIAI или подобрение до такава степен, че не е необходима допълнителна антимикробна терапия. Степента на клинично излекуване на изпитването при TOC е описана в таблица 17.
Таблица 17. Клинични проценти на лечение в TOC от педиатричното изпитване на CIAI
| Анализ на популацията | Avycaz plus metronidazole a n/n (%) | Меропенем b n/n (%) |
| Тук | 56/61 (91.8) | 21/22 (95.5) |
| Micro-it | 45/50 (90.0) | 18/19 (94.7) |
| a Avycaz doses as per Table 2 Доза и Administration + metronidazole 10 mg/kg IV every 8 hours b 20 mg/kg iv на всеки 8 часа |
Клинични проценти на втвърдяване за преобладаващите патогени E.Coli и P.aeruginosa са били съответно 90,5% и 85,7% за пациенти, лекувани с Avycaz плюс метронидазол и 92,3% и 88,9% съответно за пациенти, лекувани с меропенем.
Сложни инфекции на пикочните пътища, включително пиелонефрит
Възрастни пациенти
Ефикасността на Avycaz при пациенти с CUTI е оценена в две рандомизирани активно контролирани клинични изпитвания (изпитване 1 и изпитване 2), както е описано по -долу.
Пробен отпуск 1
A total of 1020 adults hospitalized with cUTI were randomized and received trial medications in a multinational multi-center double-blind trial comparing AVYCAZ 2.5 grams (ceftazidime 2 grams and avibactam 0.5 grams) intravenously every 8 hours to doripenem 0.5 grams intravenously every 8 hours for 10 to 14 days of total therapy. Преминаване към орално антимикробно средство беше разрешено след 5 дни интравенозно дозиране. Сложните инфекции на пикочните пътища включват остър пиелонефрит и сложни инфекции на долните пикочни пътища.
Популацията на MMITT, която включва всички пациенти, които са имали поне един уропатоген, изолиран в началото (по -голям или равен на 10 5 CFU/ml) се състои от 810 пациенти; Средната възраст е 55 години, а 69,8% са жени. По -голямата част от пациентите (NULL,4%) са били от Източна Европа; По -малко от 1% от пациентите са били от Съединените щати. По -голямата част от пациентите са били бели (83%) или азиатски (NULL,8%); Други расови подгрупи бяха представени при по -малко от 1%. Най -честата диагноза е остър пиелонефрит, възникнал при 72% от пациентите. Бактериемията присъства в началото при 8,8% от пациентите.
Клиничната ефикасност се определя чрез сравняване на степента на отговор на Avycaz с Doripenem и в двете първични крайни точки; Степен на отговор на симптомите на 5 -ия ден и комбиниран микробиологичен лек и степента на отговор на симптомите при посещението на TOC (21 до 25 дни след рандомизацията). Реакцията на симптомите се основава на разрешаването на симптомите на CUTI, докладвани от пациента, дефинирани като честота/спешност/дисурия/супрапубична болка, както и подобрение на фланговата болка за индивиди с остър пиелонефрит. Микробиологичното излекуване се определя като намаляване на всички изходни уропатогени до по -малко от 104 cfu/ml в урината.
Avycaz was non-inferior to doripenem with regard to both primary endpoints as presented in Table 18.
Таблица 18. Клинични и микробиологични проценти на излекуване от изпитване на CUTI 1 MMITT популация
| Крайна точка на изследване | Avycaz a n/n (%) | Пренаписвам b n/n (%) | Разлика в лечението (95% CI) c |
| Симптоматичен отговор на 5 ден | 276/393 (70.2) | 276/417 (66.2) | 4.0 (-2.4 10.4) |
| Комбиниран симптоматичен и микробиологичен отговор при TOC | 280/393 (71.2) | 269/417 (64.5) | 6.7 (0.3 13.1) |
| Microbiological cure at TOC | 304/393 (77.4) | 296/417 (71.0) | 6.4 (0.3 12.4) |
| Symptomatic response at TOC | 332/393 (84.5) | 360/417 (86.3) | -1.9 (-6.8 3.0) |
| a AvyCaz 2,5 грама (Ceftazidime 2 грама и Avibactam 0,5 грама) IV every 8 hours b 0,5 грама IV на всеки 8 часа c 95% доверителен интервал (CI) се изчислява по метода на нестратифицирания Miettinen и Nurminen |
Степента на микробиологично излекуване от патоген е представена в таблица 19. Микробиологичното лечение при индивиди с бактериемия в началото е постигнато при 31/38 (NULL,6%) пациенти в рамото на Avycaz и 24/33 (NULL,7%) пациенти в рамото на Дорипенем при посещението на TOC в популацията на MMITT. Най -често срещаният патоген, изолиран от кръвта, е бил Те изложиха студ за които 31/32 (NULL,9%) пациенти в рамото на Avycaz са били микробиологични лечения в сравнение с 28/28 (100%) пациенти в рамото на Дорипенем.
Таблица 19. Степента на микробиологично излекуване в TOC чрез изходния патоген от Cuti Trial 1 MMITT популация
| Аеробно грам-отрицателна група или патоген | Avycaz a n/n (%) | Пренаписвам b n/n (%) |
| Enterobacteriaceae | 299/382 (78.3) | 281/398 (70.6) |
| Те изложиха студ | 229/292 (78.4) | 220/306 (71.9) |
| Klebsiella pneumoniae | 33/44 (75.0) | 35/56 (62.5) |
| Протей прекрасно | 16/17 (94.1) | 9/13 (69.2) |
| Enterobacter cloacae | 6/11 (54.5) | 9/13 (69.2) |
| Pseudomonas aeruginosa | 12/18 (66.7) | 15/20 (75.0) |
| a AvyCaz 2,5 грама (Ceftazidime 2 грама и Avibactam 0,5 грама) IV every 8 hours b 0,5 грама IV на всеки 8 часа |
При изходните 159 пациенти в популацията на MMITT са имали грам-отрицателни изолати, които не са податливи на цефтазидим, включително 75 пациенти в рамото на Avycaz и 84 в рамото на Дорипенем. Микробиологичните и клиничните проценти на втвърдяване при TOC са 47/75 (NULL,7%) и 67/75 (NULL,3%) съответно при пациенти, които са получили AvyCaz в сравнение с 51/84 (NULL,7%) и 75/84 (NULL,3%) при пациенти, които са получили дорипенем.
В подмножество от грам-отрицателни патогени от двете рамена на фаза 3 CUTI изпитване, които отговарят на фенотипните критерии за скрининг за наличие на бета-лактамазна генотипично тестване, идентифицират някои ESBL групи (например TEM-1 SHV-12 CTX-M-15 CTX-M-27 Oxa-48) и AMPC пациенти в популацията на MMITT. Микробиологичните и клиничните проценти на втвърдяване в този подмножество бяха подобни на общите резултати от изпитванията.
Пробен отпуск 2
В многонационално многоцентрово проучване на открито-етикет на възрастни, хоспитализирани с не-чувствителни (CAZNS) инфекции (CAZNS), 305 пациенти с CUTI са рандомизирани и са получавали Avycaz 2,5 грама (Ceftazidime 2 грама и Avibactam 0,5 грамове) Интравенозно на всеки 8 часа. Нямаше незадължително преминаване към перорална терапия. По -голямата част (NULL,1%) от пациентите в ръката на прилепа са получили монотерапия с антибактериално лекарство с карбапенем. Сложните инфекции на пикочните пътища включват остър пиелонефрит и сложни инфекции на долните пикочни пътища.
Популацията на MMITT се състои от 281 пациенти с CUTI с най-малко една базова линия CAZ-NS Uropathogen (дефинирана като MIC по-голям или равен на 8 mg/L за Enterobacteriaceae и по-голям или равен на 16 mg/L за P. aeruginosa ). Средната възраст е 65 години, а 54,8% са мъже. По -голямата част от пациентите с CUTI (NULL,2%) са били от Източна Европа; 2,8% са от САЩ. По -голямата част от пациентите (95%) са били бели. Най -честата диагноза е CUTI без пиелонефрит, възникнал при 54,8% от пациентите. Бактериемията в началото е налице при 3,6% от пациентите.
Клиничната ефикасност се основава на оценка както на клиничния лек (дефиниран като резолюция или значително подобрение на базовите признаци на CUTI и симптомите), така и на микробиологично лечение (всички изходни уропатогени бяха намалени до по -малко от 10 4 CFU/mL) проценти при последващо посещение (21 до 25 календарни дни от рандомизация) в популацията на MMITT.
Клиничните и микробиологични проценти на отговор при последващо посещение в популацията на MMITT са представени в таблица 20. Степента на микробиологичен отговор при последващо посещение от базовия CAZ-NS Uropathogen в популацията на MMITT са представени в таблица 21.
Таблица 20. Клинични и микробиологични проценти на отговор на 21 до 25 посещения от изпитване 2 (пациенти с CUTI) MMITT популация
| Крайна точка на изследване | Avycaz a n/n (%) | Един b n/n (%) | Разлика в лечението (95% CI) c |
| Комбинирано клинично и микробиологично лечение | 101/144 (70.1) | 74/137 (54.0) | 16.1 (4.8 27.1) |
| Clinical cure | 127/144 (88.2) | 121/137 (88.3) | -0.1 (-7.9 7.7) |
| Microbiological cure | 103/144 (71.5) | 78/137 (56.9) | 14.6 (3.4 25.5) |
| a AvyCaz 2,5 грама (Ceftazidime 2 грама и Avibactam 0,5 грама) IV every 8 hours b Най -добрите налични опции за терапия (BAT) бяха Meropenem Imipenem Doripenem и Colistin; По -голямата част от пациентите са получили карбапенем монотерапия c 95% доверителен интервал (CI) се изчислява по метода на нестратифицирания Miettinen и Nurminen |
Таблица 21. Степен на микробиологичен отговор от базовия патоген CAZ-NS на 21 до 25 посещение от изпитване 2 (пациенти с CUTI) MMITT популация
| Аеробно грам-отрицателен патоген | Avycaz a n/n (%) | Един b n/n (%) |
| Enterobacteriaceae | ||
| Те изложиха студ | 45/59 (76.3) | 33/57 (57.9) |
| Klebsiella pneumoniae | 42/55 (76.4) | 39/65 (60.0) |
| Pseudomonas aeruginosa | 8/14 (57.1) | 3/5 (60.0) |
| a AvyCaz 2,5 грама (Ceftazidime 2 грама и Avibactam 0,5 грама) IV every 8 hours b Най -добрите налични опции за терапия (BAT) бяха Meropenem Imipenem Doripenem и Colistin; По -голямата част от пациентите са получили карбапенем монотерапия |
Among Gram-negative uropathogens from both arms of Trial 2 genotypic testing identified certain ESBL groups (e.g. TEM-1 SHV-12 CTX-M-15 CTX-M-27 KPC-2 KPC-3 OXA-48) and AmpC beta-lactamases expected to be inhibited by avibactam in isolates from 273/281 (97.2%) patients in the mMITT population. Клиничните и микробиологични проценти на втвърдяване в този подмножество бяха подобни на общите резултати.
Педиатрични пациенти
Педиатричното изпитване на CUTI е рандомизирано едно-слепи многоцентрово активно контролирано проучване, проведено при хоспитализирани пациенти на възраст 3 месеца до по-малко от 18 години. Пациентите са рандомизирани в съотношение 3: 1, за да получат или avycaz [виж Доза и приложение ] или цефепим (дозиран на местен стандарт на грижа и не надвишава 2000 mg на инфузия). Пациентите са получили IV лечение за минимум 72 часа преди незадължително преминаване към орална терапия по преценка на изследователя да завърши общо 7 до 14 дни антибактериална терапия.
Изследваща популация от 95 пациенти с CUTI е получила изследване лекарства (avycaz n = 67 цефепим n = 28); 81% са жени, а средната възраст е 4,2 години в групата на Avycaz (диапазон от 3,5 месеца до 18 години). Педиатричните възрастови групи, които са получили avycaz, са следните: 12 до <18 years (n=13) 6 to < 12 years (n=17) 2 to < 6 years (n=11) 1 to < 2 years (n=12) и 3 months to < 1 year of age (n=14). Most patients had a diagnosis of acute pyelonephritis (83%). The micro-Тук population consisted of 77 patients with at least one Gram-negative uropathogen at baseline (greater or equal to 10 5 CFU/ml). Преобладаващият базов патоген е Е. coli (NULL,2%).
Основната цел на изследването беше да се оцени безопасността и поносимостта на Avycaz и не се захранва за статистически анализ на ефикасността. При посещението на TOC, което се е случило от 8 до 15 дни след последната доза изследвано лекарство, благоприятен клиничен отговор е дефиниран като резолюция на всички остри признаци и симптоми на CUTI или подобрение до такава степен, че не е необходима допълнителна антимикробна терапия. Благоприятен микробиологичен отговор при TOC беше определен като ликвидиране на изходния уропатоген (и) от културата на урината.
Обобщение на клиничния микробиологичен и комбиниран отговор в TOC чрез група за лечение на популацията на микро-ITS е дадено в таблица 22.
Таблица 22. Клинични и микробиологични проценти на отговор от популацията на микро-IT на педиатричните CUTI CUTI
| Крайна точка на изследване | Avycaz a n/n (%) | Cefepime b n/n (%) |
| Комбинирано клинично и микробиологично лечение | 39/54 (72.2) | 14/23 (60.9) |
| Clinical cure | 48/54 (88.9) | 19/23 (82.6) |
| Microbiological cure | 43/54 (79.6) | 14/23 (60.9) |
| a Avycaz doses as per Table 2 [see Доза и приложение ] b Дозаd per local stиard of care и did not exceed 2000 mg |
Степента на микробиологичен отговор за E.coli Най -често срещаният уропатоген, идентифициран в проучването, е 79,6% за пациенти, лекувани с AvyCaz, и 59,1% за пациенти, лекувани с цефепим.
Бактериална пневмония, придобита в болница и бактериална пневмония, свързана с вентилатор
Общо 870 хоспитализирани възрастни с HABP/VABP бяха рандомизирани и получиха пробни лекарства в многонационално многоцентрово двойно-сляпо проучване, сравнявайки 2,5 грама Avycaz (Ceftazidime 2 и Avibactam 0,5 грама) вътрешно на всеки 8 часа до Меропенем 1 грам интравеново всеки 8 часа в продължение на 7 до 14 дни терапия. Дозировките на лекарствата за изследване се регулират на бъбречна функция. Протоколът позволява прилагане на предишна и съпътстваща системна антибактериална терапия.
Клиничната ефикасност е оценена в популацията на намерението за лечение (ITT), която включва всички рандомизирани пациенти, които са получили лекарство за изследване. Средната възраст е 66 години, а 74,1% са мъже. Средният резултат на Apache II е 14. По -голямата част от пациентите са от Китай (NULL,1%) и Източна Европа (NULL,5%). В Съединените щати нямаше пациенти, записани. По -малко от 1,0% от пациентите са били от Тихоокеанския или африкански произход. Общо 379 (NULL,6%) пациенти са вентилирани при записване, включително 290 (NULL,3%) пациенти с VABP и 89 (NULL,2%) с вентилиран HABP. Бактериемията в началото е налице при 4,8% от пациентите.
В групите за лечение на Avycaz и Meropenem до 26% от пациентите са получили повече от 24 часа потенциално ефективна системно грам-отрицателна антибактериална терапия през 3 дни преди рандомизацията. Пациентите с инфекции само поради грам-положителни организми са били изключени от изпитването, когато това може да бъде определено преди записване. След рандомизация пациентите и в двете групи за лечение могат да получат емпирична линия с отворен етикет или ванкомицин, за да покрият грам-положителни патогени, докато очакват резултатите от културата. Лечението с грам-положително покритие продължава при пациенти с грам-положителни патогени.
Адюнктивна грам-отрицателна антибактериална терапия с амикацин или друг аминогликозид е разрешена, ако се подозира устойчивост на меропенем. Системната грам-отрицателна антибактериална терапия се прилага на 87% и 86% от пациентите в групите за лечение на Avycaz и Meropenem във всяка точка до края на терапията. В двете лечебни групи до 36% от пациентите са получили повече от 72 часа потенциално ефективна съпътстваща терапия.
Таблица 23 представя 28-дневната смъртност за всички причини (28 до 32 дни след рандомизацията). Резултатите са представени за популацията на ITT и за популацията на микробиологичното намерение за лечение (Micro-ITT), която включва всички пациенти с положителни резултати от културата, показващи наличието на поне един грам-отрицателен патоген. Представено е и клинично лечение при посещението на TOC (21-25 дни от рандомизация). Клиничното лечение се определя като резолюция или значително подобрение на признаците и симптомите, свързани с пневмония и прекратяване на антибактериалното лечение на HABP/VABP. Avycaz не е бил инфроен с Meropenem по отношение на основната крайна точка (28-дневна смъртност от всички причини в популацията на ITT). Степента на смъртност от контролната група е по -ниска от тази, наблюдавана при други HABP/VABP изпитвания, които могат да повлияят на обобщаемостта на резултатите. Въпреки това прегледът на характеристиките на пациента, отразяващ тежестта на заболяването, показва, че проучването е записало представителна популация на HABP/VABP.
Таблица 23. 28-дневна смъртност за всички причини и клинични проценти на лечение от фаза 3 HABP/VABP изпитване ITT и Microitt популации
| Крайна точка на изследване (Population) | Avycaz a n/n (%) | Меропенем b n/n (%) | Разлика в лечението (95% там) c |
| 28-дневна смъртност за всички причини (ITT) | 42/436 (9.6) | 36/434 (8.3) | 1.5 (- 2.4 5.3) c |
| micro-Тук | 22/187 (11.8) | 19/195 (9.7) | 2.1 (- 4.1 8.4) c |
| Клинично лечение (ITT) | 293/436 (67.2) | 300/434 (69.1) | - 1.9 (- 8.1 4.3) D e |
| a AvyCaz 2,5 грама (Ceftazidime 2 грама и Avibactam 0,5 грама) IV every 8 hours b 1 грам IV на всеки 8 часа c 95% доверителен интервал (CI) се изчислява въз основа на оценките на дисперсията на Greenwood. d Не е установена количествена оценка на лечебния ефект за крайната точка на клиничния лек. e 95% доверителен интервал (CI) се изчислява с помощта на нестратифициран метод Miettinen и Nurminen |
Прилагането на предишна или съпътстваща грам-отрицателна антибактериална терапия може да обърка оценката на резултатите от изпитването. Въпреки това анализ на подгрупата на 28-дневната смъртност на всички причини при лица, които са получили 24 часа или по-малко потенциално ефективна антибактериална терапия преди рандомизацията и 72 часа или по-малко съпътстваща потенциално ефективна антибактериална терапия след рандомизация, довела до резултати, подобни на общата ITT популация Avycaz смъртност 10,0% (20/200) Meropenem 6,2% (12/195) [разлика 3,8%; 95% CI: -1,6% до 9,5%]). В подмножеството от пациенти, които са получили повече от 24 часа потенциално ефективна антибактериална терапия преди рандомизация или повече от 72 часа съпътстваща потенциално ефективна антибактериална терапия след резултатите от рандомизацията са подобни на общата популация на ITT (Avycaz 9,7% (25/258) Меропенем 10,5% (28/266) [разлика -0,08%; 4.4%)]).
Степента на смъртност от всички причини от патоген е представена в таблица 24. От 382 пациенти в популацията на микро-ITT 36 пациенти са били бактеримични в началото; 20/21 (NULL,2%) в рамото на Avycaz и 13/15 (NULL,7%) в ръката на Меропенем оцеляха чрез последващото посещение в деня-28; 13/21 (NULL,9%) пациенти в рамото на Avycaz и 9/15 (60%) от пациентите в рамото на Меропенем са имали клинично лечение при посещението на TOC.
28-дневната смъртност на всички причини от патоген в популацията на микро-ITT са представени в таблица 24. Честотата на клиничните лечения при TOC от патоген в популацията на микро-ITS е представена в таблица 25.
Таблица 24. 28-дневна смъртност от всички причини по базов патоген от фаза 3 HABP/VABP изпитване на микро-ITT популация
| Аеробно грам-отрицателна група или патоген | Avycaz a n/n (%) | Меропенем b n/n (%) |
| Enterobacteriaceae | ||
| Klebsiella pneumoniae | 11/65 (16.9) | 9/75 (12.0) |
| Enterobacter cloacae | 0/29 (0) | 4/23 (17.4) |
| Те изложиха студ | 4/22 (18.2) | 3/23 (13.0) |
| Serratia Marcescens | 0/15 (0) | 0/13 (0) |
| Протей прекрасно | 1/14 (7.1) | 1/12 (8.3) |
| Haemophilus influenzae | 1/16 (6.3) | 2/25 (8.0) |
| Pseudomonas aeruginosa | 9/64 (14.1) | 4/51 (7.8) |
| a AvyCaz 2,5 грама (Ceftazidime 2 грама и Avibactam 0,5 грама) IV every 8 hours b 1 грам IV на всеки 8 часа |
Таблица 25. Степента на клинично излекуване в TOC по базовия патоген от фаза 3 HABP/VABP изпитване на микро-ITT популация
| Аеробно грам-отрицателна група или патоген | Avycaz a n/n (%) | Меропенем b n/n (%) |
| Enterobacteriaceae | 92/133 (69.2) | 108/147 (73.5) |
| Klebsiella pneumoniae | 44/65 (67.7) | 56/75 (74.7) |
| Enterobacter cloacae | 25/29 (86.2) | 13/23 (56.5) |
| Те изложиха студ | 12/22 (54.5) | 17/23 (73.9) |
| Serratia Marcescens | 11/15 (73.3) | 12/13 (92.3) |
| Протей прекрасно | 12/14 (85.7) | 9/12 (75.0) |
| Haemophilus influenzae | 13/16 (81.3) | 20/25 (80.0) |
| Pseudomonas aeruginosa | 38/64 (59.4) | 37/51 (72.5) |
| a AvyCaz 2,5 грама (Ceftazidime 2 грама и Avibactam 0,5 грама) IV every 8 hours b 1 грам IV на всеки 8 часа |
В началото 108/382 (NULL,3%) от пациентите в микро-ITT популацията са имали грам-отрицателни изолати, които не са податливи на цефтазидим, включително 53 пациенти с K. Pneumoniae и 28 patients with P. aeruginosa изолати. 28-дневната смъртност за всички причини при пациенти с нечувствителни грам-отрицателни изолати на цефтазидим е била 8,2% (4/49) в рамото на Avycaz и 8,5% (5/59) в рамото на Меропенем. Степента на клинично лечение при TOC е 37/49 (NULL,5%) при пациенти, които са получили AvyCaz и 42/59 (NULL,2%) при пациенти, които са получили меропенем.
Информация за пациента за avycaz
Сериозни алергични реакции
Посъветвайте пациентите на техните семейства или полагащи грижи, че могат да се появят алергични реакции, включително сериозни алергични реакции, които изискват незабавно лечение. Попитайте ги за всички предишни реакции на свръхчувствителност към Avycaz други бета-лактами (включително цефалоспорини) или други алергени [виж Предупреждения и предпазни мерки ].
Потенциално сериозна диария
Посъветвайте пациентите на техните семейства или полагащи грижи, че диарията е често срещан проблем, причинен от антибактериални лекарства. Понякога може да се появи честа водниста или кървава диария и може да е знак за по -сериозна чревна инфекция. Ако се развие тежка водниста или кървава диария, кажете им да се свържат с неговия доставчик на здравни грижи [виж Предупреждения и предпазни мерки ].
Реакции на нервна система
Посъветвайте пациентите на техните семейства или полагащи грижи, че неврологичните нежелани реакции могат да възникнат при употребата на AvyCaz. Инструктирайте пациентите на техните семейства или полагащи грижи да информират доставчик на здравни грижи едновременно от някакви неврологични признаци и симптоми, включително енцефалопатия (нарушаване на съзнанието, включително объркване халюцинации ступор и кома) Myoclonus и припадъци за незабавно лечение на дозировка или директирация на Avycaz [виж приспособяване Предупреждения и предпазни мерки ].
Антибактериална резистентност
Пациентите трябва да бъдат консултирани, че антибактериалните лекарства, включително AvyCaz, трябва да се използват само за лечение на бактериални инфекции. Те не лекуват вирусни инфекции (например обикновената настинка). Когато е предписан AvyCaz за лечение на пациенти с бактериална инфекция, трябва да се каже, че въпреки че е обичайно да се чувствате по -добре в началото на терапията, лекарствата трябва да се приемат точно както е указано. Пропускането на дози или не завършването на пълния курс на терапия може (1) да намали ефективността на незабавното лечение и (2) да увеличи вероятността бактериите да развият резистентност и да не се лекуват от Avycaz или други антибактериални лекарства в бъдеще [виж Предупреждения и предпазни мерки ].