Информацията В Сайта Не Е Медицински Съвет. Ние Не Продаваме Нищо. Точността На Превода Не Е Гарантирана. Отказ От Отговорност
Антихолинергици, генилорина
Детрол
Резюме на наркотиците
Какво е Детрол?
Detrol (толтеродин тартарат) таблетки, предписани за лечение на свръхактивен пикочен мехур със симптоми на подразделение на урина за инконтиненция на урината и честота.
Какви са страничните ефекти на Detrol?
Страничните ефекти на детрол включват:
- сухота в устата
- сухи очи
- замъглено зрение
- главоболие
- замаяност
- сънливост
- запек
- диария
- Болки в стомаха или разстройство
- Болки в ставите
Кажете на Вашия лекар, ако имате сериозни странични ефекти на Detrol, включително:
- Визията се променя
- силна болка в стомаха или корема
- Проблем с уринирането или
- Признаци на бъбречна инфекция (като парене или болезнено уриниране по -ниско Болки в гърба треска).
Дозировка за детрол
Detrol се предлага в таблетки 1 и 2 mg. Първоначалната препоръчителна доза таблетки детрол е 2 mg два пъти дневно. Детрол може да взаимодейства с арсен триоксид хлорохин халофантрин циклоспорин дропьодол наркотици Пентамидин винбластинови лекарства за лечение на психиатрични разстройства или лекарства за сърдечен ритъм. Кажете на Вашия лекар всички лекарства и добавки, които използвате.
Какви лекарства вещества или добавки взаимодействат с детрол?
Няма проучвания на детрол при бременни жени; Следователно Детрол трябва да се използва по време на бременност, само ако потенциалната полза за майката оправдае потенциалния риск за плода. Не е известно дали Детрол преминава в кърма. Жените, които мислят за кърмене или кърмене, не трябва да кърмят, докато приемат детрол или прекратяват приемането на лекарствата. Ефикасността или безопасността на детрол в педиатричната популация не е демонстрирана.
Допълнителна информация
Нашият Detrol (Tolterodine Tartrate) Странични ефекти в центъра за лекарства предоставя изчерпателен поглед върху наличната информация за лекарството върху потенциалните странични ефекти при приемането на това лекарство.
Информация за наркотиците на FDA
- Описание на лекарството
- Показания
- Странични ефекти
- Предупреждения
- Предозиране
- Клинична фармакология
- Ръководство за лекарства
Описание за детрол
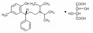
Таблетките детрол съдържат толтеродин тартрат. Активният толтеродин от част е антагонист на мускариновия рецептор. Химическото наименование на толтеродиновия тартрат е (R) -2- [3- [BIS (1-метилетил) -амино] 1-фенилпропил] -4- метилфенол [R- (R*R*)]-23dihydroxybutanedioate (1: 1) (сол). Емпиричната формула на толтеродинния тартрат е c 26 H 37 Не 7 и молекулното му тегло е 475,6. Структурната формула на толтеродинния тартрат е представена по -долу:
|
Толтеродинът татрат е бял кристален прах. Стойността на PKA е 9,87, а разтворимостта във вода е 12 mg/ml. Той е разтворим в метанол леко разтворим в етанол и практически неразтворим в толуен. Коефициентът на дял (log D) между N-октанол и вода е 1,83 при рН 7,3.
Таблетките Detrol за перорално приложение съдържат 1 или 2 mg толтеродин тартрат. Неактивните съставки са колоидни безводен силициев силициев калциев водород фосфат дихидрат целулозен микрокристален хипромелозен магнезиев стеарат натриев нишестено гликолат (рН 3,0 до 5,0) стеаринова киселина и титанов диоксид.
Използване за детрол
Таблетките Detrol са показани за лечение на свръхактивен пикочен мехур със симптоми на призив за спешна инконтиненция на урината и честота.
Дозировка за детрол
Първоначалната препоръчителна доза таблетки детрол е 2 mg два пъти дневно. Дозата може да бъде намалена до 1 mg два пъти дневно въз основа на индивидуална реакция и поносимост. За пациенти със значително намалена чернодробна или бъбречна функция или които в момента приемат лекарства, които са мощни инхибитори на CYP3A4, препоръчителната доза детрол е 1 mg два пъти дневно (виж ПРЕДПАЗНИ МЕРКИ Общи ПРЕДПАЗНИ МЕРКИ Намалена чернодробна и бъбречна функция и Лекарствени взаимодействия ).
Колко се доставя
Таблетки детрол 1 mg (Таблетки с бели кръгли биконвексни филми, гравирани с дъги над и под буквите до) и Таблетки детрол 2 mg (Бяла кръгла биконвексна филмова таблетки, гравирани с дъги над и под буквите DT) се доставят по следния начин:
Бутилки от 60
1 mg NDC 0009-4541-02
2 mg NDC 0009-4544-02
Бутилки от 500
2 mg NDC 0009-4544-03
Дозировка на кайенски пипер за кръвно налягане
Съхранявайте при 25 ° C (77 ° F); екскурзии, разрешени до 15-30 ° C (59-86 ° F) [виж USP контролирана стайна температура ] (Dtl).
Етикетът на този продукт може да е актуализиран. За текуща пълна информация за предписване, моля посетете www.pfizer.com.
Разпространено от: Фармация
Странични ефекти за детрол
Програмата за клинично изпитване на фаза 2 и 3 за таблетки детрол включва 3071 пациенти, лекувани с детрол (n = 2133) или плацебо (n = 938). Пациентите са били лекувани с 1 2 4 или 8 mg/ден до 12 месеца. Не са идентифицирани разлики в профила на безопасност на толтеродин въз основа на възрастовата раса на пола или метаболизма.
Описаните по -долу данни отразяват експозицията на Detrol 2 mg BID при 986 пациенти и на плацебо при 683 пациенти, изложени в продължение на 12 седмици в пет фаза 3 контролирани клинични проучвания. Тъй като клиничните изпитвания се провеждат при широко различни състояния, нежелани реакционни проценти, наблюдавани при клиничните изпитвания на лекарство, не могат да бъдат пряко сравнени със проценти в клиничните изпитвания на друго лекарство и може да не отразяват процентите, наблюдавани на практика. Информацията за нежеланата реакция от клинични изпитвания обаче дава основа за идентифициране на нежеланите събития, които изглежда са свързани с употребата на лекарства и приблизителните проценти.
Шестдесет и шест процента от пациентите, получаващи Detrol 2 mg BID, съобщават за нежелани събития срещу 56% от пациентите с плацебо. Най -често срещаните нежелани събития, докладвани от пациенти, получаващи детрол, са запек с главоболие от сухота в устата Втория/замаяност и болка в корема. Запек в сухота в устата Ненормално зрение (аномалии за настаняване) Задържане на урина и ксерофталмия Очаква се странични ефекти на антимускаринови средства.
Сухотата в устата е най-често съобщеното нежелано събитие за пациенти, лекувани с Detrol 2 mg BID във фаза 3 клинични проучвания, възникнали при 34,8% от пациентите, лекувани с детрол, и 9,8% от пациентите, лекувани с плацебо. Един процент от пациентите, лекувани с преустановено от детрол лечение поради сухота в устата.
Честотата на прекратяване поради нежеланите събития е най -висока през първите 4 седмици от лечението. Седем процента от пациентите, лекувани с Detrol 2 mg BID, преустановиха лечението поради нежелани събития срещу 6% от пациентите с плацебо. Най -често срещаните нежелани събития, водещи до прекратяване на детрол, са замаяност и главоболие.
Три процента от пациентите, лекувани с Detrol 2 mg BID, съобщават за сериозно нежелано събитие срещу 4% от пациентите с плацебо. Значителни промени в ЕКГ в QT и QTC не са демонстрирани при пациенти с клинично проучване, лекувани с Detrol 2 mg BID. Таблица 5 изброява нежеланите събития, отчетени при 1% или повече от пациентите, лекувани с Detrol 2 mg BID в 12-седмичните проучвания. Нежеланите събития се отчитат независимо от причинно -следствената връзка.
Таблица 5: Честота* (%) от нежеланите събития, надвишаващи плацебо и се съобщава при> 1% от пациентите, лекувани с таблетки детрол (2 mg BID) в 12-седмична фаза 3 клинични проучвания
| Телесна система | Нежелано събитие | % Детрол N = 986 | % Плацебо N = 683 |
| Автономен нервен | настаняване ненормално | 2 | 1 |
| сухота в устата | 35 | 10 | |
| Общи | Болки в гърдите | 2 | 1 |
| умора | 4 | 3 | |
| главоболие | 7 | 5 | |
| Симптоми, подобни на грип | 3 | 2 | |
| Централен/периферен нервен | световъртеж/замаяност | 5 | 3 |
| Стомашно -чревен | коремна болка | 5 | 3 |
| запек | 7 | 4 | |
| диария | 4 | 3 | |
| диспепсия | 4 | 1 | |
| Урина | Дисурия | 2 | 1 |
| Кожа/придатъци | суха кожа | 1 | 0 |
| Мускулно -скелетна | Артралгия | 2 | 1 |
| Визия | Xerophthalmia | 3 | 2 |
| Психиатрична | сънливост | 3 | 2 |
| Метаболитни/хранителни | наддаване на тегло | 1 | 0 |
| Механизъм за съпротивление | инфекция | 1 | 0 |
| * В най -близкото цяло число. |
След маркетинг наблюдение
Следните събития са съобщени във връзка с употребата на толтеродин в световния опит след маркетинг: Общи: Анафилаксия и ангиоедем; Сърдечно -съдови: Тахикардия Персии периферни оток; Централна/периферна нервна: Объркване на обезценка на дезориентацията Нарушаване на паметта.
Съобщава се за съобщения за влошаване на симптомите на деменция (напр. Объркване на дезориентацията) след иницииране на толтеродин терапия при пациенти, приемащи инхибитори на холинестераза за лечение на деменция.
Тъй като тези спонтанно докладвани събития са от световния опит след маркетинг, честотата на събитията и ролята на толтеродин в тяхната причинно-следствена връзка не могат да бъдат надеждно определени.
Лекарствени взаимодействия за детрол
CYP3A4 инхибитори
Кетоконазол Инхибитор на лекарствения метаболизиращ ензим CYP3A4 значително повишава плазмените концентрации на толтеродин, когато се съпостави на лица, които са лоши метаболизатори (виж Клинична фармакология Променливост в метаболизма и взаимодействията между лекарствата ). For patients receiving ketoconazole or other potent CYP3A4 inhibitors such as other azole antifungals (e.g. itraconazole miconazole) or macrolide antibiotics (e.g. erythromycin clarithromycin) or cyclosporine or vinblastine the recommended dose of DETROL is 1 mg twice daily (see Доза и приложение ).
Взаимодействия между лекарства-лабораторни тестове
Взаимодействията между толтеродин и лабораторни тестове не са проучени.
Предупреждения за Детрол
Анафилаксия и ангиоедем, изискващи хоспитализация и спешно медицинско лечение, са настъпили при първите или последващите дози детрол. В случай на трудност при дишането на препятствие на горните дихателни пътища или падане на детрола на кръвното налягане трябва да бъде прекратена и незабавно да се осигури терапия.
Предпазни мерки за Детрол
Общи
Риск от задържане на урина и задържане на стомаха
Таблетките на детрол трябва да се прилагат с повишено внимание при пациенти с клинично значим обструкция на изтичането на пикочния мехур поради риска от задържане на урината и при пациенти със стомашно -чревни обструктивни разстройства като пилорична стеноза поради риска от задържане на стомаха (виж Противопоказания ).
Намалена стомашно -чревна подвижност
Детрол като други антимускаринови лекарства трябва да се използва с повишено внимание при пациенти с намалена стомашно -чревна подвижност.
Контролирана тесноъгълна глаукома
Детрол трябва да се използва с повишено внимание при пациенти, които се лекуват за тесноъгълна глаукома.
Ефекти на централната нервна система (ЦНС)
Детрол е свързан с ефектите на антихолинергичната централна нервна система (ЦНС), включително замаяност и сънливост (виж Нежелани реакции ). Patients should be monitored for signs of anticholinergic CNS effects particularly after beginning treatment or increasing the dose. Advise patients not to drive or operate heavy machinery until the drug's effects have been determined. If a patient experiences anticholinergic CNS effects dose reduction or drug discontinuation should be considered.
Намалена чернодробна и бъбречна функция
За пациенти със значително намалена чернодробна или бъбречна функция препоръчителната доза детрол е 1 mg два пъти дневно (виж Клинична фармакология Фармакокинетика в специални популации ).
Myasthenia gravis
Детрол трябва да се използва с повишено внимание при пациенти с миастения гравис А заболяване, характеризиращо се с намалена холинергична активност при невромускулния възел.
Пациенти с вродена или придобито QT удължаване
В проучване на ефекта на таблетките за незабавно освобождаване на толтеродин върху QT интервала (виж Клинична фармакология Сърдечна електрофизиология ) Ефектът върху QT интервала изглежда по -голям за 8 mg/ден (два пъти по -голяма от терапевтичната доза) в сравнение с 4 mg/ден и е по -изразен в лоши метаболизатори на CYP2D6 (PM), отколкото обширни метаболизатори (EMS). Ефектът на толтеродин 8 mg/ден не е толкова голям, колкото този, наблюдаван след четири дни терапевтична доза с активния контролен моксифлоксацин. Интервалите на доверие обаче се припокриват. Тези наблюдения трябва да се вземат предвид при клиничните решения за предписване на детрол за пациенти с известна анамнеза за удължаване на QT или пациенти, които приемат IA клас (напр. Кинидин прокаинамид) или клас III (например амиодаронов соталол) антиаритмични лекарства (вж. Лекарствени взаимодействия ). There has been no association of Torsade de Pointes in the international post-marketing experience with DETROL or DETROL LA.
Информация за пациенти
Пациентите трябва да бъдат информирани, че антимускаринските агенти като детрол могат да доведат до следните ефекти: замъглено виене на визия или сънливост. Пациентите трябва да бъдат посъветвани да проявяват повишено внимание в решенията за участие в потенциално опасни дейности, докато не бъдат определени ефектите на лекарството.
Канцерогенеза мутагенеза Нарушаване на плодовитостта
Проучванията за канцерогенност с толтеродин са проведени при мишки и плъхове. При максимално поносима доза при мишки (30 mg/kg/ден) женски плъхове (20 mg/kg/ден) и мъжки плъхове (30 mg/kg/ден) AUC стойности, получени за толтеродин, са съответно 355 291 и 462 μg • h/l. За сравнение стойността на човешката AUC за доза 2 mg, прилагана два пъти дневно, се оценява на 34 µg • h/l. По този начин експозицията на толтеродин в проучванията за канцерогенност е била 9- до 14 пъти по-висока от очакваното при хората. Не е установено увеличаване на туморите нито при мишки, нито при плъхове.
Не са открити мутагенни ефекти на толтеродин в батерия от in vitro Тестове, включително бактериални мутационни анализи (AMES тест) в 4 щама на салмонела тифимуриум и в 2 щама на тест за мутация на генна мутация на Escherichia coli в L5178y миши лимфомни клетки и хромозомни аберационни тестове в човешки лимфоцити. Толтеродин също беше отрицателен напразно В теста за микронуклеус на костния мозък в мишката.
При женски мишки, лекувани в продължение на 2 седмици преди чифтосване и по време на бременност с 20 mg/kg/ден (съответстваща на стойност на AUC от около 500 μg • H/L), не се наблюдават нито един ефект върху репродуктивната ефективност или плодовитостта. Въз основа на стойностите на AUC системната експозиция е била около 15 пъти по-висока при животните, отколкото при хората. При мъжки мишки доза от 30 mg/kg/ден не предизвиква неблагоприятни ефекти върху плодовитостта.
Бременност
Толтеродин, прилаган при перорални дози от 20 mg/kg/ден (приблизително 14 пъти по -голямо от човешката експозиция), не показва аномалии или малформации при мишки. Когато се прилага при дози от 30 до 40 mg/kg/ден толтеродин е показано като ембриолетално намаляване на теглото на плода и увеличаване на честотата на аномалиите на плода (цепнатият цифрови аномалии на небцето, вътрешно-абдоминалният кръвоизлив. При тези дози стойностите на AUC бяха с около 20 до 25 пъти по-високи, отколкото при хората. Зайците, третирани подкожно в доза от 0,8 mg/kg/ден, постигат AUC от 100 μg • H/L, което е с около 3 пъти по-висока от тази, произтичаща от човешката доза. Тази доза не доведе до никаква ембриотоксичност или тератогенност. При бременните жени няма проучвания на толтеродин. Следователно Детрол трябва да се използва по време на бременност, само ако потенциалната полза за майката оправдае потенциалния риск за плода.
Кърмещи майки
Толтеродинът се отделя в млякото при мишки. Потомството на женски мишки, лекувани с толтеродин 20 mg/kg/ден през периода на лактация, има леко намалено повишаване на телесното тегло. Потомството възвърна теглото по време на фазата на съзряване. Не е известно дали толтеродинът се отделя в човешкото мляко; Следователно Детрол не трябва да се прилага по време на кърмене. Трябва да се вземе решение дали да се преустанови медицинската сестра или да се прекрати Детрол в сестринските майки.
Педиатрична употреба
Ефикасността в педиатричната популация не е демонстрирана.
Две детски фаза 3 рандомизирани плацебо-контролирани двойно-слепи 12-седмични проучвания са проведени с помощта на капсули за разширено освобождаване на толтеродин (Detrol LA). Изследвани са общо 710 педиатрични пациенти (486 на Детрол LA и 224 на плацебо) с честота на урина и подтикват уринарна инконтиненция. Процентът на пациентите с инфекции на пикочните пътища е по -висок при пациенти, лекувани с детрол LA (NULL,6%) в сравнение с пациенти, които са получили плацебо (NULL,5%). Агресивно анормално и хиперактивно поведение и нарушения на вниманието се наблюдават при 2,9% от децата, лекувани с детрол LA в сравнение с 0,9% от децата, лекувани с плацебо.
Гериатрична употреба
От 1120 пациенти, лекувани в четирите 12-седмични клинични проучвания на Детрол 474 (42%), са били на възраст от 65 до 91 години. Не са наблюдавани общи разлики в безопасността между по -възрастните и по -младите пациенти (виж Клинична фармакология Фармакокинетика в специални популации ).
Информация за предозиране за детрол
27-месечно дете, което погълна 5 до 7 таблетки детрол 2 mg, се лекува със суспензия от активен въглен и е хоспитализирано за една нощ със симптоми на сухота в устата. Детето напълно се възстанови.
Управление на предозиране
Предоставянето с детрол потенциално може да доведе до тежки централни антихолинергични ефекти и трябва да се лекува съответно.
Мониторингът на ЕКГ се препоръчва в случай на предозиране. При кучетата промените в QT интервала (леко удължаване от 10% до 20%) се наблюдават при супрафармакологична доза от 4,5 mg/kg, която е около 68 пъти по -висока от препоръчителната човешка доза. В клинични изпитвания на нормални доброволци и пациенти QT интервал удължаване се наблюдава при толтеродин незабавно освобождаване при дози до 8 mg (4 mg BID) и по -високи дози не са оценени (виж ПРЕДПАЗНИ МЕРКИ Пациенти с вродена или придобито QT удължаване ).
Противопоказания за детрол
Таблетките на Детрол са противопоказани при пациенти със задържане на стомашно задържане на урина или неконтролирана глаукома с тесноталеж. Детрол също е противопоказано при пациенти, които са демонстрирали свръхчувствителност към лекарството или неговите съставки или към таблетките с удължено освобождаване на Фесотеродин, които като детрол се метаболизират до 5-хидроксиметил толтеродин.
Клинична фармакология for Detrol
Толтеродин е конкурентен антагонист на мускариновия рецептор. Както свиването на пикочния мехур, така и слюнката се медиират чрез холинергични мускаринови рецептори.
След перорално приложение толтеродинът се метаболизира в черния дроб, което води до образуването на 5-хидроксиметил производно, основен фармакологично активен метаболит. 5-хидроксиметил метаболитът, който проявява антимускаринова активност, подобна на тази на толтеродин, допринася значително за терапевтичния ефект. Както толтеродин, така и 5-хидроксиметил метаболит проявяват висока специфичност за мускариновите рецептори, тъй като и двете показват незначителна активност или афинитет към други невротрансмитерни рецептори и други потенциални клетъчни цели като калциеви канали.
Толтеродинът има изразен ефект върху функцията на пикочния мехур. Ефектите върху уродинамичните параметри преди и 1 и 5 часа след единична 6,4 mg доза толтеродин незабавно освобождаване се определят при здрави доброволци. Основните ефекти на толтеродин при 1 и 5 часа бяха увеличаване на остатъчната урина, отразяваща непълно изпразване на пикочния мехур и намаляване на налягането на детрусор. Тези открития са в съответствие с антимускариновото действие върху долния пикочен тракт.
Фармакокинетика
Абсорбция
В проучване с 14 С-толтеродин разтвор при здрави доброволци, които са получили 5 mg перорална доза поне 77% от радиомаркираната доза, се абсорбира. Толтеродин незабавното освобождаване бързо се абсорбира и максималните серумни концентрации (CMAX) обикновено се появяват в рамките на 1 до 2 часа след прилагане на дозата. CMAX и зона под кривата на концентрация-време (AUC), определени след дозата на толтеродин незабавно освобождаване, са дозапропорционални в диапазона от 1 до 4 mg.
Ефект от храната
Приемът на храната увеличава бионаличността на толтеродин (средно увеличение 53%), но не влияе върху нивата на 5-хидроксиметил метаболита при обширни метаболизатори. Не се очаква тази промяна да бъде проблем за безопасността и не е необходима корекция на дозата.
Разпределение
Толтеродинът е силно свързан с плазмените протеини предимно α1 -аседна гликопротеин. Несвързани концентрации на толтеродин средно 3,7% ± 0,13% в диапазона на концентрация, постигнат в клиничните проучвания. 5-хидроксиметил метаболитът не е широко свързан с протеин с несвързани концентрации на фракция, средно 36% ± 4,0%. Съотношението кръв и серум на толтеродин и 5-хидроксиметил метаболит е средно 0,6 и 0,8, което показва, че тези съединения не се разпределят широко в еритроцитите. Обемът на разпределение на толтеродин след прилагане на 1,28 mg интравенозна доза е 113 ± 26,7 L.
Метаболизъм
Толтеродинът се метаболизира широко от черния дроб след перорално дозиране. Първичният метаболитен път включва окисляването на 5-метиловата група и се медиира от цитохром P450 2D6 (CYP2D6) и води до образуване на фармакологично активен 5-хидроксиметил метаболит. По-нататъшният метаболизъм води до образуване на 5-карбоксилна киселина и N-диалкилирани метаболити на 5-карбоксилна киселина, които представляват 51% ± 14% и 29% ± 6,3% от метаболитите, възстановени съответно в урината.
Променливост в метаболизма
Подмножество (около 7%) от популацията е лишено от CYP2D6 ензимът, отговорен за образуването на 5-хидроксиметил метаболит на толтеродин. Идентифицираният път на метаболизма за тези индивиди (лоши метаболизатори) е диекилиране чрез цитохром Р450 3A4 (CYP3A4) до N-дилкилиран толтеродин. Останалата част от населението се нарича обширни метаболизатори. Фармакокинетичните изследвания разкриват, че толтеродинът се метаболизира с по -бавна скорост при лоши метаболизатори, отколкото в обширни метаболизатори; Това води до значително по-високи серумни концентрации на толтеродин и в незначителни концентрации на 5-хидроксиметил метаболит.
Екскреция
След прилагане на 5 mg перорална доза С-толтеродин разтвор на здрави доброволци 77% от радиоактивността се възстановява в урина и 17% се възстановява при изпражнения за 7 дни. По -малко от 1% ( <2.5% in poor metabolizers) of the dose was recovered as intact tolterodine и 5% to 14% ( < 1% in poor metabolizers) was recovered as the active 5-hydroxymethyl metabolite.
Обобщение на средното (± стандартно отклонение) фармакокинетични параметри на толтеродин незабавно освобождаване и 5-хидроксиметил метаболит в обширни (EM) и лоши (PM) метаболизатори са предоставени в таблица 1. Тези данни са получени след единични и множество дози толтеродин 4 mg, администрирани два пъти до 16 здрави мъже и множество дози толтеродин 4 mg, администрирани два пъти до 16 здрави мъже и множество дози толтеродин 4 mg, администрирани два пъти до 16 здрави мъже и множество дози толтеродин 4 mg, администрирани два пъти до 16 до 16 доброволци от мъжки пол (8 EM 8 PM).
Таблица 1: Обобщение на средните (± SD) фармакокинетични параметри на толтеродин и неговия активен метаболит (5-хидроксиметил метаболит) при здрави доброволци
| Фенотип (CYP2D6) | Толтеродин | 5-хидроксиметил метаболит | |||||||
| Tmax (H) | Cmax* (μg/L) | Cavg* (μg/l) | t½ (h) | CL/F (L/H) | Tmax (H) | Cmax* (μg/L) | Cavg* (μg/l) | t½ (h) | |
| Една доза | |||||||||
| 1.6 ± 1.5 | 1.6 ± 1.2 | 0,50 ± 0,35 | 2.0 ± 0.7 | 534 ± 697 | 1.8 ± 1.4 | 1,8 ± 0,7 | 0,62 ± 0,26 | 3.1 ± 0.7 | |
| 1,4 ± 0,5 | 10 ± 4,9 | 8.3 ± 4.3 | 6.5 ± 1.6 | 17 ± 7.3 | † | † | † | † | |
| Многократна доза | |||||||||
| 1,2 ± 0,5 | 2.6 ± 2.8 | 0,58 ± 0,54 | 2.2 ± 0.4 | 415 ± 377 | 1,2 ± 0,5 | 2.4 ± 1.3 | 0,92 ± 0,46 | 2.9 ± 0.4 | |
| 1.9 ± 1.0 | 19 ± 7.5 | 12 ± 5.1 | 9.6 ± 1.5 | 11 ± 4.2 | † | † | † | † | |
| CMAX = максимална плазмена концентрация; tmax = време на поява на CMAX; CAVG = средна плазмена концентрация; t½ = полуживот на терминална елиминация; Cl/f = очевиден устни клирънс. EM = обширни метаболизатори; PM = Лоши метаболизатори *Параметърът се нормализира дозата от 4 mg до 2 mg. † = не е приложимо |
Фармакокинетика In Special Populations
Възраст
Във фаза 1 проучвания с множество дози, при които толтеродин незабавно освобождаване 4 mg (2 mg BID) се прилага серумни концентрации на толтеродин и на 5-хидроксиметил метаболита са сходни при здрави възрастни доброволци (на възраст от 64 до 80 години) и здрави млади доброволци (на възраст под 40 години). В друга фаза 1 проучване на възрастни доброволци (на възраст от 71 до 81 години) получи толтеродин незабавно освобождаване 2 или 4 mg (1 или 2 mg оферта). Средните серумни концентрации на толтеродин и 5-хидроксиметил метаболит при тези възрастни доброволци са приблизително 20% и 50% по-високи съответно, отколкото се съобщават при млади здрави доброволци. Въпреки това не са наблюдавани общи разлики в безопасността между по-възрастни и по-млади пациенти на толтеродин във фаза 3 12-седмични контролирани клинични проучвания; Следователно не се препоръчва корекция на дозата на толтеродин за пациенти в напреднала възраст (виж ПРЕДПАЗНИ МЕРКИ Гериатрична употреба ).
Педиатрична
Фармакокинетиката на толтеродин не е установена при педиатрични пациенти.
Пол
Фармакокинетиката на толтеродин незабавно освобождаване и 5-хидроксиметил метаболит не се влияят от пола. Средната CMAX на толтеродин (NULL,6 µg/L при мъже срещу 2,2 µg/L при жени) и активният 5-хидроксиметил метаболит (NULL,2 µg/L при мъже срещу 2,5 µg/L при жени) са сходни при мъже и жени, които са администрирани толтеродин при женските 2 mg. Средните стойности на AUC на толтеродин (NULL,7 μg • h/l при мъже срещу 7,8 µg • h/l при жени) и 5-хидроксиметил метаболит (10 μg • h/l при мъже срещу 11 µg • h/l при жени) също са сходни. Елиминационният полуживот на толтеродин както за мъже, така и за жени е 2,4 часа, а полуживотът на 5-хидроксиметил метаболита е 3,0 часа при жени и 3,3 часа при мъжете.
Състезание
Фармакокинетичните разлики поради раса не са установени.
Бъбречна недостатъчност
Бъбречното увреждане може значително да промени разположението на толтеродин незабавно освобождаване и неговите метаболити. В проучване, проведено при пациенти с креатинин клирънс между 10 и 30 ml/min толтеродин незабавно освобождаване и 5-хидроксиметил метаболит са приблизително с 2-3 пъти по-високи при пациенти с бъбречно увреждане, отколкото при здрави доброволци. Нивата на експозиция на други метаболити на толтеродин (напр. Толтеродин киселина N-дилкилирана толудинна киселина N-дилкилиран толтеродин и N-дилкилиран хидроксилиран толтеродин) са значително по-високи (10-30 пъти) при пациенти с набеди от бъбречно в сравнение със здравите доброволци. Препоръчителната доза за пациенти със значително намалена бъбречна функция е Detrol 1 mg два пъти дневно (виж ПРЕДПАЗНИ МЕРКИ Общи и Доза и приложение ).
Чернодробна недостатъчност
Нарушаването на черния дроб може значително да промени разположението на толтеродин незабавно освобождаване. В проучване, проведено при пациенти с циротични пациенти, елиминиращият полуживот на толтеродин незабавно освобождаване е по-дълъг при пациенти с цироза (средно 7,8 часа), отколкото при здрави млади и възрастни доброволци (средно 2 до 4 часа). Клирънсът на орално прилагания толтеродин е значително по -нисък при циротични пациенти (NULL,0 ± 1,7 L/h/kg), отколкото при здравите доброволци (NULL,7 ± 3,8 l/h/kg). Препоръчителната доза за пациенти със значително намалена чернодробна функция е детрол 1 mg два пъти дневно (виж ПРЕДПАЗНИ МЕРКИ Общи и Доза и приложение ).
Взаимодействия между лекарства
Флуоксетин
Флуоксетин is a selective serotonin reuptake inhibitor и a potent inhibitor of CYP2D6 activity. In a study to assess the effect of fluoxetine on the pharmacokinetics of tolterodine immediate release и its metabolites it was observed that fluoxetine significantly inhibited the metabolism of tolterodine immediate release in extensive metabolizers resulting in a 4.8-fold increase in tolterodine AUC. There was a 52% decrease in Cmax и a 20% decrease in AUC of the 5-hydroxymethyl metabolite. Флуоксетин thus alters the pharmacokinetics in patients who would otherwise be extensive metabolizers of tolterodine immediate release to resemble the pharmacokinetic profile in poor metabolizers. The sums of unbound serum concentrations of tolterodine immediate release и the 5-hydroxymethyl metabolite are only 25% higher during the interaction. No dose adjustment is required when DETROL и fluoxetine are coadministered.
Други лекарства, метаболизирани от цитохром Р450 изоензими
Толтеродин immediate release does not cause clinically significant interactions with other drugs metabolized by the major drug metabolizing CYP enzymes. Напразно Данните за взаимодействие с лекарства показват, че толтеродин незабавното освобождаване не води до клинично значимо инхибиране на CYP1A2 2D6 2C9 2C19 или 3A4, както е видно от липсата на влияние върху маркерните лекарства кофеин дебризокин S-Warfarin и омепразол. In vitro Данните показват, че толтеродин незабавното освобождаване е конкурентен инхибитор на CYP2D6 при високи концентрации (KI 1,05 µM), докато толтеродин незабавно освобождаване, както и 5-хидроксиметил метаболита са лишени от значителен инхибиторен потенциал по отношение на другите изоензими.
CYP3A4 инхибитори
Ефектът от 200 mg дневна доза кетоконазол върху фармакокинетиката на толтеродин незабавно освобождаване е проучен при 8 здрави доброволци, всички от които са лоши метаболизатори (виж Фармакокинетика Променливост в метаболизма за обсъждане на лоши метаболизатори ). In the presence of ketoconazole the mean Cmax и AUC of tolterodine increased by 2 и 2.5 fold respectively. Based on these findings other potent CYP3A inhibitors such as other azole antifungals (e.g. itraconazole miconazole) or macrolide antibiotics (e.g. erythromycin clarithromycin) or cyclosporine or vinblastine may also lead to increases of tolterodine plasma concentrations (see ПРЕДПАЗНИ МЕРКИ и Доза и приложение ).
Варфарин
При здрави доброволци съвместното привличане на толтеродин незабавно освобождаване 4 mg (2 mg BID) в продължение на 7 дни и една доза варфарин 25 mg на 4 ден не оказва влияние върху потискането на протромбиновия фактор VII или върху фармакокинетиката на варфарина.
Устни контрацептиви
Толтеродин immediate release 4 mg (2 mg bid) had no effect on the pharmacokinetics of an oral contraceptive (ethinyl estradiol 30 μg/levonorgestrel 150 μg) as evidenced by the monitoring of ethinyl estradiol и levonorgestrel over a 2-month cycle in healthy female volunteers.
Диуретици
Коадминацията на толтеродин незабавно освобождаване до 8 mg (4 mg BID) за до 12 седмици с диуретични агенти като индапамид хидрохлоротиазид триамтерен бендрофлуметиазид хлоротиазид метилхлоротиазид или фуросемид не причинява неблагоприятни електрокардиографски (ECG).
Сърдечна електрофизиология
Ефектът от 2 mg BID и 4 mg BID за толтеродин незабавно освобождаване (IR) на QT интервала се оценява в 4-посочен кръстосан двойно-сляп плацебо- и активно контролиран (моксифлоксацин 400 mg QD) изследване при здрави мъже (n = 25) и жени (n = 23) доброволци на възраст 18-55 години. Субектите на изследването [приблизително еднакво представяне на обширни метаболизатори на CYP2D6 (EMS) и лоши метаболизатори (PMS)] завършват последователни 4-дневни периоди на дозиране с моксифлоксацин 400 mg qd толтеродин 2 mg bid толтеродин 4 mg BID и плацебо. Дозата на офертата от 4 mg на толтеродин IR (два пъти най -висока препоръчителна доза) е избрана, тъй като тази доза води до експозиция на толтеродин, подобна на тази, наблюдавана при съвместно приложение на толтеродин 2 mg BID с мощни CYP3A4 инхибитори при пациенти, които са CYP2D6 лоши метаболизатори (виж инхибитори на CYP2D6 лоши метаболизатори (виж инхибитори на CYP2D6 лоши метаболизатори (вж. Лекарствени взаимодействия ). QT interval was measured over a 12-hour period following dosing including the time of peak plasma concentration (Tmax) of tolterodine и at steady state (Day 4 of dosing).
Таблица 2 обобщава средната промяна от изходното ниво към стабилно състояние в коригиран QT интервал (QTC) спрямо плацебо по време на пиковия толтеродин (1 час) и концентрации на моксифлоксацин (2 часа). И както методът на Fridericia (QTCF), така и методът на популацията (QTCP) бяха използвани за коригиране на QT интервала за сърдечна честота. Не е известно, че не единен метод за корекция на QT е по -валиден от другите. QT интервалът се измерва ръчно и чрез машина и данни от двете са представени. Средното увеличаване на сърдечната честота, свързано с 4 mg/ден доза толтеродин в това проучване, е 2,0 удара/минута и 6,3 удара/минута с 8 mg/ден толтеродин. Промяната в сърдечната честота с моксифлоксацин беше 0,5 удара/минута.
Таблица 2: Средна (CI) промяна в QTC от изходното ниво до стабилно състояние (ден 4 на дозирането) при TMAX (спрямо плацебо)
| Лекарство/доза | N | QTCF (MSEC) (Ръководство) | QTCF (MSEC) (Машина) | QTCP (MSEC) (Ръководство) | QTCP (MSEC) (машина) |
| Толтеродин 2 mg BID* | 48 | 5.01 (0.28 9.74) | 1.16 (-2.99 5.30) | 4.45 (-0.37 9.26) | 2.00 (-1.81 5.81) |
| Толтеродин 4 mg BID* | 48 | 11.84 (7.11 16.58) | 5.63 (1.48 9.77) | 10.31 (5.49 15.12) | 8.34 (4.53 12.15) |
| Moxifloxacin 400 mg QD † | 45 | 19.26 ‡ (15.49 23.03) | 8.90 (4.77 13.03) | 19.10 ‡ (15.32 22.89) | 9.29 (5.34 13.24) |
| *При t от 1 час; 95% максимален доверителен интервал † при TMAX от 2 часа; 90% доверителен интервал ‡ Ефектът върху QT интервала с 4 дни дозиране на моксифлоксацин в това изпитване на QT може да бъде по -голям, отколкото обикновено се наблюдава при QT изпитвания на други лекарства. |
Причината за разликата между машината и ръчното четене на QT интервал е неясна.
QT ефектът на таблетките за незабавно освобождаване на толтеродин изглежда по -голям за 8 mg/ден (два пъти по -голяма от терапевтичната доза) в сравнение с 4 mg/ден. Ефектът на толтеродин 8 mg/ден не е толкова голям, колкото този, наблюдаван след четири дни терапевтична доза с активния контролен моксифлоксацин. Интервалите на доверие обаче се припокриват.
Толтеродин's effect on QT interval was found to correlate with plasma concentration of tolterodine. There appeared to be a greater QTc interval increase in CYP2D6 poor metabolizers than in CYP2D6 extensive metabolizers after tolterodine treatment in this study.
Това проучване не е предназначено да прави директни статистически сравнения между лекарствата или нивата на дозата. Няма връзка на Torsade de Pointes в международния опит след маркетинг с Detrol или Detrol LA (виж ПРЕДПАЗНИ МЕРКИ Пациенти с вродена или придобито QT удължаване ).
Клинични изследвания
Таблетките на Детрол бяха оценени за лечение на свръхактивен пикочен мехур със симптоми на спешност и честота на инконтиненция на урината в четири рандомизирани двойно-сляпо плацебо-контролирани 12-седмични проучвания. Общо 853 пациенти са получавали детрол 2 mg два пъти дневно, а 685 пациенти са получавали плацебо. По -голямата част от пациентите са били кавказки (95%) и жени (78%) със средна възраст от 60 години (диапазон от 19 до 93 години). При влизането на проучването почти всички пациенти възприемат, че са имали спешност и повечето пациенти имат повишена честота на мекрудициите и настояват за инконтиненция. Тези характеристики бяха добре балансирани в групите за лечение на проучванията.
Крайните точки на ефикасността за проучване 007 (виж таблица 3) включват промяната от изходното ниво за:
- Брой епизоди на инконтиненция на седмица
- Брой мекрудиции за 24 часа (средно за 7 дни)
- Обем на урината, амортиран на мекрудиция (средно за 2 дни)
Крайните точки на ефикасността за проучвания 008 009 и 010 (виж таблица 4) са идентични на горните крайни точки, с изключение на това, че броят на епизодите на инконтиненция е бил за 24 часа (средно за 7 дни).
Таблица 3: 95% доверителни интервали (CI) за разликата между детрол (2 mg BID) и плацебо за средната промяна на 12 -та седмица от изходното ниво в проучване 007
| Детрол (SD) N = 514 | Плацебо (SD) N = 508 | Разлика (95% CI) | |
| Брой епизоди на инконтиненция на седмица | |||
| Средна базова линия | 23.2 | 23.3 | |
| Средна промяна от изходното ниво | -10.6 (17) | -6.9 (15) | -3.7 (-5.7 -1.6) |
| Брой мекрудиции на 24 часа | |||
| Средна базова линия | 11.1 | 11.3 | |
| Средна промяна от изходното ниво | -1.7 (3.3) | -1.2 (2.9) | -0.5* (-0.9 -0.1) |
| Обемът е отменен на micturition (ml) | |||
| Средна базова линия | 137 | 136 | |
| Средна промяна от изходното ниво | 29 (47) | 14 (41) | 15* (9 21) |
| SD = стандартно отклонение. * Разликата между детрол и плацебо беше статистически значима. |
Таблица 4: 95% интервали на доверие (CI) за разликата между Detrol (2 mg BID) и плацебо за средната промяна на 12 -та седмица от изходната линия в проучвания 008 009 010
| Проучване | Детрол (SD) | Плацебо (SD) | Разлика (95% CI) |
| Брой епизоди на инконтиненция на 24 часа | |||
| 008 Брой пациенти | 93 | 40 | |
| Средна базова линия | 2.9 | 3.3 | |
| Средна промяна от изходното ниво | -1.3 (3.2) | -0.9 (1.5) | 0.5 (-1.30.3) |
| 009 Брой пациенти | 116 | 55 | |
| Средна базова линия | 3.6 | 3.5 | |
| Средна промяна от изходното ниво | -1.7 (2.5) | -1.3 (2.5) | -0.4 (-1.00.2) |
| 010 Брой пациенти | 90 | 50 | |
| Средна базова линия | 3.7 | 3.5 | |
| Средна промяна от изходното ниво | -1.6 (2.4) | -1.1 (2.1) | -0.5 (-1.10.1) |
| Брой мекрудиции на 24 часа | |||
| 008 Брой пациенти | 118 | 56 | |
| Средна базова линия | 11.5 | 11.7 | |
| Средна промяна от изходното ниво | -2.7 (3.8) | -1.6 (3.6) | -1.2* (-2.0-0.4) |
| 009 Брой пациенти | 128 | 64 | |
| Средна базова линия | 11.2 | 11.3 | |
| Средна промяна от изходното ниво | -2.3 (2.1) | -1.4 (2.8) | -0.9* (-1.5-0.3) |
| 010 Брой пациенти | 108 | 56 | |
| Средна базова линия | 11.6 | 11.6 | |
| Средна промяна от изходното ниво | -1.7 (2.3) | -1.4 (2.8) | -0.38 (-1.10.3) |
| Обемът е отменен на micturition (ml) | |||
| 008 Брой пациенти | 118 | 56 | |
| Средна базова линия | 166 | 157 | |
| Средна промяна от изходното ниво | 38 (54) | 6 (42) | 32* (1846) |
| 009 Брой пациенти | 129 | 64 | |
| Средна базова линия | 155 | 158 | |
| Средна промяна от изходното ниво | 36 (50) | 10 (47) | 26* (1438) |
| 010 Брой пациенти | 108 | 56 | |
| Средна базова линия | 155 | 160 | |
| Средна промяна от изходното ниво | 31 (45) | 13 (52) | 18* (432) |
| SD = стандартно отклонение. * Разликата между детрол и плацебо беше статистически значима. |
Информация за пациента за детрол
DETROL®
(De-trol)
(толтеродин тартарат) Таблетки
Прочетете информацията за пациента, която идва с Detrol, преди да започнете да я използвате и всеки път, когато получите зареждане. Може да има нова информация. Тази листовка не заема мястото да разговаряте с Вашия лекар за вашето състояние или вашето лечение. Само вашият лекар може да определи дали лечението с детрол е подходящо за вас.
Какво е Детрол?
Детрол е лекарство с рецепта за възрастни използва се за лечение на следните симптоми поради състояние, наречено свръхактивен пикочен мехур:
- Призирайте уринарна инконтиненция: Силна нужда от уриниране с изтичане или намокряне на злополуки
- Спешност: Силна нужда от уриниране веднага
- Честота: уриниране често
Detrol LA (толтеродин таррат с удължено освобождаване капсули) не помогна на симптомите на свръхактивен пикочен мехур при изследване при деца.
Какво е свръхактивен пикочен мехур?
Обедишният пикочен мехур се случва, когато не можете да контролирате мускула на пикочния мехур. Когато мускулите се свиват твърде често или не могат да бъдат контролирани, получавате симптоми на свръхактивен пикочен мехур, които са изтичане на урина (подтик на урина на урина), които трябва да уринират веднага (спешност) и трябва да уринират често (честота).
Кой не трябва да приема Детрол?
Не приемайте Детрол, ако вие:
- Не са в състояние да изпразнят пикочния си мехур (задържане на урината)
- Забавихте или бавно изпразване на стомаха ви (задържане на стомаха)
- Имат проблем с очите, наречен неконтролирана тесноъгълна глаукома
- Са алергични към детрол или към някоя от неговите съставки. Вижте края на тази листовка за пълен списък на съставките
- Са алергични към Товиаз, който съдържа фесотеродин.
Какво трябва да кажа на моя лекар, преди да започна Детрол?
Преди да започнете Детрол, кажете на Вашия лекар за всички ваши медицински и други състояния, които могат да повлияят на използването на детрол, включително:
- Стомашни или чревни проблеми или проблеми с запека
- Проблеми с изпразването на пикочния мехур или ако имате слаб поток от урина
- Лечение на очен проблем, наречен тесноъгълна глаукома
- Проблеми с черния дроб
- Проблеми с бъбреците
- Състояние, наречено Myasthenia gravis
- Ако вие или някакви членове на семейството имате рядко сърдечно състояние, наречено QT удължаване (синдром на дълъг QT)
- Ако сте бременна или се опитвате да забременеете. Не е известно дали Детрол може да навреди на вашето неродено бебе.
- Ако кърмите. Не е известно дали Детрол преминава в кърмата ви или дали може да навреди на вашето бебе. Говорете с Вашия лекар за най -добрия начин да нахраните бебето си, ако вземете Детрол.
Кажете на Вашия лекар за всички лекарства, които приемате, включително витамини от рецепта и лекарства без рецепта и билкови добавки. Други лекарства могат да повлияят на начина, по който тялото ви се справя с детрол. Вашият лекар може да използва по -ниска доза детрол, ако приемате:
- Определени лекарства за гъбички или дрожди инфекции
- Определени лекарства за бактериални инфекции
- Sandimmune® (циклоспорин) или Velban® (винбластин)
Попитайте Вашия лекар или фармацевт за списък на тези лекарства, ако не сте сигурни.
Познайте лекарствата, които приемате. Дръжте списък с тях с вас, за да показвате на Вашия лекар или фармацевт всеки път, когато получите ново лекарство.
Как да взема Детрол?
- Вземете Детрол точно както вашият лекар ви казва да го вземете.
- Вашият лекар ще ви каже колко таблетки Detrol да вземете и кога да ги вземете.
- Не променяйте дозата си, освен ако не го направите от Вашия лекар.
- Можете да вземете детрол със или без храна.
- Вземете Детрол по едно и също време всеки ден.
- Ако пропуснете доза Detrol, просто вземете следващата си редовна доза в следващото си редовно време. Не се опитвайте да компенсирате пропуснатата си доза.
- Ако приемате твърде много Detrol, обадете се на вашия лекар или отидете веднага в болничното отделение за спешна помощ.
Какво трябва да избягвам, докато приемам Детрол?
Лекарства като детрол могат да причинят замъглена виене на визия и сънливост. Не управлявайте работещи машини или не правете други опасни дейности, докато не разберете как Детрол ви влияе.
Какви са възможните странични ефекти на Detrol?
Детрол може да причини алергични реакции, които могат да бъдат сериозни. Симптомите на сериозна алергична реакция могат да включват подуване на гърлото или езика на устните на лицето. Ако изпитате тези симптоми, трябва да спрете да приемате детрол и да получите спешна медицинска помощ веднага.
Най -често срещаните странични ефекти при детрол са:
- Сухота в устата
- Замаяност
- Главоболие
- Болки в стомаха
- Запек
Кажете на Вашия лекар, ако имате някакви странични ефекти, които ви притесняват или които не изчезват.
Това не са всички странични ефекти с детрол. За пълен списък попитайте Вашия лекар или фармацевт.
Обадете се на Вашия лекар за медицински съвети относно страничните ефекти. Можете да отчитате странични ефекти на FDA на 1-800-FDA-1088.
Как да съхраня Detrol?
- Съхранявайте детрол при стайна температура (59 до 86 ° F).
- Дръжте го на сухо място.
Дръжте Детрол и всички лекарства извън обсега на децата.
Общи Information about DETROL
Понякога се предписват лекарства за състояния, които не се споменават в информационната листовка на пациента. Използвайте само Детрол по начина, по който вашият лекар ви казва. Не давайте детрол на други хора, дори ако имат същите симптоми, които имате. Може да им навреди.
Тази листовка обобщава най -важната информация за Детрол. Ако искате повече информация, поговорете с Вашия лекар. Можете да попитате Вашия лекар или фармацевт за информация за Detrol, който е написан за здравни специалисти.
Какви са съставките в Детрол?
Активни съставки: толтеродин тартрат
Неактивни съставки: Колоиден безводен силициев силициев калциев водород фосфат дихидрат целулозен микрокристален хипромелозен магнезиев стеарат натриев нишестено гликолат (рН 3,0 до 5,0) стеаринова киселина и титанов диоксид.
Етикетът на този продукт може да е актуализиран. За текуща пълна информация за предписване, моля посетете www.pfizer.com.