Информацията В Сайта Не Е Медицински Съвет. Ние Не Продаваме Нищо. Точността На Превода Не Е Гарантирана. Отказ От Отговорност
Аналгетици, урина
Елмирон
Резюме на наркотиците
Какво е Елмирон?
Елмирон (пентозан полисулфат натрий) е слаб по -тънък в кръвта и също работи като a пикочен мехур Protectant, използван за лечение на болка в пикочния мехур и дискомфорт, причинени от цистит (възпаление на пикочния мехур или дразнене).
Какви са страничните ефекти на Елмирон?
Елмирон
- кошери
- затруднено дишане
- Подуване на лицето ви устни Език или гърло
- кръвотечение от носа
- Кръв във вашата урина или изпражнения
- ректално кървене
- кашлица на кръв
- кървящи венци и
- Лекоглавия
Получете медицинска помощ веднага, ако имате изброени по -горе симптоми.
Общите странични ефекти на Elmiron включват:
- диария
- загуба на коса
- гадене
- главоболие
- стомашно разстройство или болка
- коремна болка
- замаяност
- депресирано настроение или
- сърбеж или кожен обрив.
Кажете на Вашия лекар, ако имате малко вероятно, но сериозни странични ефекти на Elmiron, включително:
- необичайни натъртвания или кървене (например кръв в изпражненията)
- Психични/настроени промени
- киселини или
- дискомфорт при преглъщане.
Потърсете медицинска помощ или се обадете на 911 наведнъж, ако имате следните сериозни странични ефекти:
- Сериозни симптоми на очите, като например внезапна загуба на зрение, замъглено зрение Тунел Виждане болка в очите или подуване или виждане на ореоли около светлините;
- Сериозни сърдечни симптоми като бързи нередовни или ударни сърдечни удари; трептене в гърдите ви; задух; и внезапна замаяност замаяност или раздаване;
- Тежка главоболие объркване затънала речева ръка или крак слабост проблем за ходене на загуба на координация, чувствайки се нестабилни много твърди мускули висока треска обилно изпотяване или тремор.
Този документ не съдържа всички възможни странични ефекти, а други могат да възникнат. Консултирайте се с вашия лекар за допълнителна информация за страничните ефекти.
Дозировка за Елмирон
Препоръчителната доза елмирон е 300 mg/ден, приета като една капсула от 100 mg перорално три пъти дневно. Вземете с вода 1 час преди хранене или 2 часа след хранене.
Какви лекарства вещества или добавки взаимодействат с Елмирон?
Елмирон може да взаимодейства с Аспирин Alteplase aniveRplase клопидогрел дипиридамол стрептокиназа тиклопидин урокиназа или НСПВС (нестероидни противовъзпалителни лекарства). Кажете на Вашия лекар всички лекарства и добавки, които използвате.
Елмирон по време на бременност и кърмене
По време на бременността Елмирон трябва да се използва само когато е предписано. Не е известно дали това лекарство преминава в кърма. Консултирайте се с Вашия лекар преди кърмене.
Допълнителна информация
Нашият лекарствен център Elmiron (Pentosan Polysulfate Notium) предоставя цялостен поглед върху наличната информация за лекарството за потенциалните странични ефекти при приемането на това лекарство.
Информация за наркотиците на FDA
- Описание на лекарството
- Показания
- Странични ефекти
- Предупреждения
- Предпазни мерки
- Предозиране
- Клинична фармакология
- Ръководство за лекарства
Описание за Елмирон
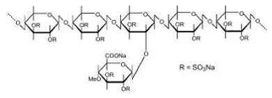
Пентозанът полисулфат натрий е полусинтетично произведен хепарин-подобен макромолекулен въглехидрат, който химически и структурно прилича на гликозаминогликани. Това е бял прах без миризма, леко хигроскопски и разтворим във вода до 50% при рН 6. Той има молекулно тегло от 4000 до 6000 Далтън със следната структурна формула:
|
Elmiron® се доставя в бели непрозрачни твърди желатинови капсули, съдържащи 100 mg пентозан полисулфат натриев микрокристална целулоза и магнезиев стеарат. Той също така съдържа фармацевтична глазура (модифицирана) в SD-45 синтетичен черен железен оксид FD
Използване за Елмирон
Elmiron® (Pentosan Polysulfate натрий) е показан за облекчаване на болката в пикочния мехур или дискомфорта, свързана с интерстициален цистит.
Дозировка за Елмирон
Препоръчителната доза Elmiron® е 300 mg/ден, приета като една 100 mg капсула перорално три пъти дневно. Капсулите трябва да се приемат с вода поне 1 час преди хранене или 2 часа след хранене.
Пациентите, получаващи Elmiron®, трябва да бъдат преоценени след 3 месеца. Ако не е имало подобрение и ако ограничаващи нежелани събития не са налице, Elmiron® може да продължи още 3 месеца.
Клиничната стойност и рисковете от продължително лечение при пациенти, чиято болка не се е подобрила с 6 месеца, не е известна.
Колко се доставя
Елмирон ® се доставя в бели непрозрачни твърди желатинови капсули, отпечатани BNP7600, съдържащи 100 mg пентозан полисулфатен натрий. Доставя се в бутилки от 100 капсули.
NDC Номер 50458-098-01
Съхранение
Съхранявайте при 20 ° C до 25 ° C (68 ° F до 77 ° F); Екскурзии, разрешени до 15 ° C до 30 ° C (59 ° F до 86 ° F).
Пазете извън обсега на децата.
Произведено за: Janssen Pharmaceuticals Inc. Titusville Ню Джърси 08560. Ревизиран: 2024 юли 2024 г.
Странични ефекти за Елмирон
Елмирон ® е оценен в клинични изпитвания при общо 2627 пациенти (2343 жени 262 мъже
Смъртта е настъпила при 6/2627 (NULL,2%) пациенти, които са получили лекарството за период от 3 до 75 месеца. Изглежда, че смъртта е свързана с други едновременни заболявания или процедури, с изключение на един пациент, за когото причината не е била известна.
оксикодон и ацетаминофен 5 325 таблет
Сериозни нежелани събития са настъпили при 33/2627 (NULL,3%) пациенти. Двама пациенти са имали силна коремна болка или диария и дехидратация, които изискват хоспитализация. Тъй като нямаше контролна група пациенти с интерстициален цистит, които са били едновременно оценени, е трудно да се определи кои събития са свързани с Elmiron® и кои събития са свързани с едновременна медицина на заболяване или други фактори.
Нежелателен опит в плацебо-контролирани клинични изпитвания на Elmiron® 100 mg три пъти на ден в продължение на 3 месеца
| Телесна система/неблагоприятен опит | Елмирон® n = 128 | Плацебо n = 130 |
| Общ брой пациенти* на ЦНС* | 3 | 5 |
| Безсъние | 1 | 0 |
| Главоболие | 1 | 3 |
| Тежка емоционална лабилност/депресия | 2 | 1 |
| Нистагъм/замаяност | 1 | 1 |
| Хиперкинезия | 1 | 1 |
| GI общ брой пациенти* | 7 | 7 |
| Гадене | 3 | 3 |
| Диария | 3 | 6 |
| Диспепсия | 1 | 0 |
| Жълтеница | 0 | 1 |
| Повръщане | 0 | 2 |
| Кожа/алергичен общ брой пациенти* | 2 | 4 |
| Обрив | 0 | 2 |
| Сърбеж | 0 | 2 |
| Лакримация | 1 | 1 |
| Ринит | 1 | 1 |
| Повишено изпотяване | 1 | 0 |
| Други общ брой пациенти* | 1 | 3 |
| Аменорея | 0 | 1 |
| Артралгия | 0 | 1 |
| Вагинит | 1 | 1 |
| Общи събития | 17 | 27 |
| Общ брой пациенти, които съобщават за нежелани събития | 13 | 19 |
| * В рамките на телесната система отделните събития не обобщават равен общ брой пациенти, тъй като пациентът може да има повече от едно събитие. |
Нежеланите събития, описани по -долу, са съобщени при нелепо клинично изпитване на 2499 пациенти с интерстициален цистит, лекувани с Elmiron®. От първоначалните 2499 пациенти 1192 (48%) са получили Elmiron® за 3 месеца; 892 (36%) са получили Elmiron® за 6 месеца; и 598 (24%) са получили Elmiron® за една година 355 (14%) са получили Elmiron® за 2 години и 145 (6%) за 4 години.
Честота (1 до 4%): Алопеция (4%) диария (4%) гадене (4%) главоболие (3%) обрив (3%) диспепсия (2%) коремна болка (2%) аномалии на чернодробната функция (1%) замаяност (1%).
Честота (≤ 1%):
Храносмилане: Повръщане mouth ulcer colitis esophagitis gastritis flatulence constipation anorexia gum hemorrhage.
Хематологичен: Анемията Ецимоза повишава времето на протромбин повишава частичното тромбопластиново време левкопения тромбоцитопения.
Свръхчувствителни реакции: Алергична реакция фоточувствителност.
Дихателна система: Фарингит ринит епистаксис диспнея.
Кожа и придатъци: Сърбеж urticaria.
Специални сетива: Конюнктивит в тинит оптитит неврит амблиопия ретинална кръвоизлив.
След маркетинг опит
Следните нежелани реакции са идентифицирани по време на след одобрение използване на пентозан полисулфатен натрий; Тъй като тези реакции са докладвани доброволно от популация с несигурен размер, не винаги е възможно надеждно да се оцени тяхната честота или да се установи причинно -следствена връзка с експозицията на лекарства:
- Пигментарни промени в ретината (виж Предупреждения ).
Ректален кръвоизлив
Елмирон® was evaluated in a rиomized double-blind parallel group Phase 4 study conducted in 380 patients with interstitial cystitis dosed for 32 weeks. At a daily dose of 300 mg (n = 128) rectal hemorrhage was reported as an adverse event in 6.3% of patients. The severity of the events was described as mild in most patients. Patients in that study who were administered Елмирон® 900 mg daily a dose higher than the approved dose experienced a higher incidence of rectal hemorrhage 15%.
Чернодробна функция аномалия
Проведено е рандомизирано двойно-сляпо паралелно проучване на фаза 2 при 100 мъже (51 Elmiron® и 49 плацебо), дозирани в продължение на 16 седмици. При дневна доза от 900 mg доза, по-висока от одобрената доза, повишена чернодробна функция, се съобщава като нежелано събитие при 11,8% (n = 6) от пациенти, лекувани с Elmiron® и 2% (n = 1) пациенти, лекувани с плацебо.
Лекарствени взаимодействия за Елмирон
Не е предоставена информация
Предупреждения for Elmiron
Пигментарни промени в ретината
Пигментарни промени в ретината, отчетени в литературата като пигментарна макулопатия, са идентифицирани с дългосрочна употреба на Elmiron® (виж Нежелани реакции ). Although most of these cases occurred after 3 years of use or longer cases have been seen with a shorter duration of use. While the etiology is unclear cumulative dose appears to be a risk factor. Visual symptoms in the reported cases included затруднено четене slow adjustment to low or reduced light environments и замъглено зрение. The visual consequences of these pigmentary changes are not fully characterized. Caution should be used in patients with retinal pigment changes from other causes in which examination findings may confound the appropriate diagnosis follow-up и treatment. Detailed ophthalmologic history should be obtained in all patients prior to starting treatment with Елмирон®. If there is a family history of hereditary pattern dystrophy genetic testing should be considered. For patients with pre-existing ophthalmologic conditions a comprehensive baseline retinal examination (including color fundoscopic photography ocular coherence tomography (OCT) и auto-fluorescence imaging) is recommended prior to starting therapy. A baseline retinal examination (including OCT и auto-fluorescence imaging) is suggested for all patients within six months of initiating treatment и periodically while continuing treatment. If pigmentary changes in the retina develop then risks и benefits of continuing treatment should be re-evaluated since these changes may be irreversible. Follow-up retinal examinations should be continued given that retinal и vision changes may progress even after cessation of treatment.
Предпазни мерки for Elmiron
Общи
Елмирон® is a weak anticoagulant (1/15 the activity of хепарин). At a daily dose of 300 mg (n = 128) rectal hemorrhage was reported as an adverse event in 6.3% of patients. Bleeding complications of ecchymosis epistaxis и gum hemorrhage have been reported (see Нежелани реакции ). Patients undergoing invasive procedures or having signs/symptoms of underlying coagulopathy or other increased risk of bleeding (due to other therapies such as coumarin anticoagulants хепарин t-PA streptokinase high dose Аспирин or nonsteroidal anti-inflammatory drugs) should be evaluated for hemorrhage. Patients with diseases such as aneurysms thrombocytopenia hemophilia gastrointestinal ulcerations polyps or diverticula should be carefully evaluated before starting Елмирон®.
Подобен продукт, който се дава подкожно сублингвално или интрамускулно (и първоначално не е метаболизиран от черния дроб), е свързан със забавена имуноалергична тромбоцитопения със симптоми на тромбоза и кръвоизлив. Трябва да се внимава при използване на Elmiron® при пациенти, които имат анамнеза за тромбоцитопения, индуцирана от хепарин.
Алопеция е свързана с пентозан полисулфат и с хепаринови продукти. В клиничните изпитвания на Elmiron® Alopecia започва в рамките на първите 4 седмици от лечението. Деветдесет и седем процента (97%) от случаите на алопеция, отчетени, са алопекия AREATA, ограничени до една област на скалпа.
Чернодробна недостатъчност
Елмирон® has not been studied in patients with hepatic insufficiency. Because there is evidence of hepatic contribution to the elimination of Елмирон® hepatic impairment may have an impact on the pharmacokinetics of Елмирон®. Caution should be exercised when using Елмирон® in this patient population.
Меко ( <2.5 x normal) elevated transaminase alkaline phosphatase γ-glutamyl transpeptidase и lactic dehydrogenase occurred in 1.2% of patients. The increases usually appeared 3 to 12 months after the start of Елмирон® therapy и were not associated with jaundice or other clinical signs or symptoms. These abnormalities are usually transient may remain essentially unchanged or may rarely progress with continued use. Increases in PTT и PT ( < 1% for both) or thrombocytopenia (0.2%) were noted.
Информация за пациенти
Посъветвайте се на пациента да прочете одобреното от FDA етикетиране на пациента ( Ръководство за лекарства ).
Пациентите трябва да приемат лекарството, както е предписано в предписаната доза и не по -често от предписаното.
доза за меклизин HCl 25 mg
Пациентите трябва да бъдат информирани, че трябва да бъдат докладвани и оценени промени в зрението. Ретиналните прегледи, включително оптична кохерентна томография (OCT) и автофлуоресценция, се предлагат за всички пациенти в рамките на шест месеца след стартирането на Elmiron® и периодично по време на дългосрочно лечение (виж Предупреждения ).
Пациентите трябва да се напомнят, че Elmiron® има слаб антикоагулант. Този ефект може да увеличи времето за кървене.
Констатации за лабораторни тестове
Пентозанът полисулфат натрий не повлиява протромбиновото време (PT) или частичното време на тромбопластин (PTT) до 1200 mg на ден при 24 здрави мъже, лекувани в продължение на 8 дни. Пентозанът полисулфат натрий също инхибира генерирането на фактор XA в плазмата и инхибира индуцираната от тромбин агрегация на тромбоцитите в плазмата, богата на тромбоцити в човека. (Вижте ПРЕДПАЗНИ МЕРКИ - Чернодробна недостатъчност )
Мутагенеза на карциногенност Нарушаване на плодовитостта
Проведени са дългосрочни канцерогенни изследвания на Elmiron® при F344/N плъхове и B6C3F1 мишки. В тези проучвания Elmiron® се администрира перорално веднъж дневно през Gavage 5 дни седмично до 2 години. Дозировките, прилагани на мишки, са 56 168 или 504 mg/kg. Дозировките, прилагани на плъхове, са 14 42 или 126 mg/kg за мъже и 28 84 или 252 mg/kg за жени. Тестваните дозировки бяха до 60 пъти повече от максималната препоръчителна доза човешка Â Â â
Бременност
Репродукционните изследвания са проведени при мишки и плъхове с интравенозни дневни дози от 15 mg/kg и при зайци със 7,5 mg/kg. Тези дози са 0,42 и 0,14 пъти повече от дневните орални човешки дози Elmiron®, когато се нормализират до повърхността на тялото. Тези проучвания не разкриват доказателства за нарушена плодовитост или вреда на плода от Elmiron®. Директното къпане на in vitro на култивирани миши ембриони с пентозан полисулфат натрий (PPS) при концентрация 1 mg/ml може да причини обратими аномалии на пъпките на крайниците. Адекватни и добре контролирани проучвания не са проведени при бременни жени. Тъй като проучванията върху животни не винаги предсказват човешки отговор, това лекарство трябва да се използва при бременност, само ако е ясно необходимо.
Кърмещи майки
Не е известно дали това лекарство се отделя в човешкото мляко. Тъй като много лекарства се отделят в човешкото мляко трябва да се упражняват, когато Elmiron® се прилага на медицинска сестра.
Педиатрична употреба
Безопасността и ефективността при педиатрични пациенти под 16 -годишна възраст не са установени.
Информация за предозиране за Елмирон
Не се съобщава за предозиране. Въз основа на фармакодинамиката на токсичността на лекарството вероятно ще бъде отразена като антикоагулационна кървене от чернодробна функция на чернодробната функция и стомашната дистрес. (Вижте Клинична фармакология и ПРЕДПАЗНИ МЕРКИ ) При дневна доза от 900 mg в продължение на 32 седмици (n = 127) в клинично изпитване ректален кръвоизлив се съобщава за нежелано събитие при 15% от пациентите. При дневна доза Elmiron® 900 mg в продължение на 16 седмици в клинично изпитване, което е регистрирало 51 пациенти в групата на Elmiron® и 49 в тестовете за повишени чернодробни функции на плацебо, са докладвани като нежелано събитие при 11,8% от пациентите в групата на Elmiron® и 2% от пациентите в групата на плацебо. В случай на остра предотвратяване на пациента трябва да се прилага стомашно промиване, ако е възможно внимателно наблюдавано и дадено симптоматично и поддържащо лечение.
Противопоказания за Елмирон
Елмирон® is contraindicated in patients with known hypersensitivity to the drug structurally related compounds or excipients.
Клинична фармакология for Elmiron
Общи
Пентозан полисулфат натрий е ниско молекулно тегло хепарин, подобно на съединение. Той има антикоагулантни и фибринолитични ефекти. Механизмът на действие на пентозан полисулфат натрий в интерстициален цистит не е известен.
Фармакокинетика
Абсорбция
В клинично фармакологично проучване, при което здрави женски доброволци получават единична перорална 300 или 450 mg доза пентозан полисулфат натрий, съдържащ радиомаркиран лекарство като разтвор при постигнати условия, максимални нива на плазмената радиоактивност се наблюдават приблизително при медиана от 2 часа (диапазон 0,6-120 часа) след дозиране. Въз основа на отделянето на урина на радиоактивността средно приблизително 6% от радиоактивно бабината с орална доза на пентозан полисулфат натрий се абсорбира и достига до системната циркулация.
Хранителни ефекти
В клинични изпитвания Elmiron® се прилага с вода 1 час преди или 2 часа след хранене; Ефектът от храната върху усвояването на пентозан долисулфат натрий не е известен.
Разпределение
Предклиничните проучвания с администраторно администриран радиомаркиран пентозан полисулфат натрий показват разпределение на уроепителия на генитопорния тракт с по -малки количества, открити в чернодробния далак, белодробен кожен периост и костен мозък. Проникването на еритроцитите е с ниско съдържание на животни.
Метаболизъм
Фракцията на натрий, който се абсорбира пентозан, който се абсорбира, се метаболизира чрез частична десулфация в черния дроб и далака и чрез частична деполимеризация в бъбрека до голям брой метаболити. Както десулфацията, така и деполимеризацията могат да бъдат наситени с непрекъснато дозиране.
Екскреция
След прилагане на орален разтвор на 300 или 450 mg доза пентозан полисулфат натрий, съдържащ радиомаркиран лекарство, към групи от здрави пациенти, плазмената радиоактивност намалява със среден полуживот съответно 27 и 20 часа. Голяма част от орално приложената доза на натрий от Пентозан полисулфат (средно 84% в групата от 300 mg и 58% в групата 450 mg) се отделя в изпражненията като непроменено лекарство. Средно от 6% от оралната доза се отделя в урината най -вече като десулфатирани и деполимеризирани метаболити. Само малка част от приложената доза (средна 0,14%) се възстановява като непокътнато лекарство в урината.
Специални популации
Фармакокинетиката на пентозанския полисулфатен натрий не е проучена при гериатрични пациенти или при пациенти с чернодробно или бъбречно увреждане. Вижте също Предварителни мерки Чопачна недостатъчност.
Взаимодействия между лекарства
В проучване, при което здрави лица получават пентозан полисулфат натриев 100 mg капсула или плацебо на всеки 8 часа в продължение на 7 дни и са титрувани с варфарин до INR от 1,4 до 1.8 фармакокинетичните параметри на R-warfarin и S-Warfarin са сходни при отсъствие и присъствие на пентосан полисулфат на содум. INR за варфарин плацебо и варфарин Пентозан Полисулфат натрий бяха сравними. Вижте също ПРЕДПАЗНИ МЕРКИ При използването на Elmiron® при пациенти, получаващи други терапии с антикоагулантни ефекти.
Фармакодинамика
Механизмът, по който пентозанът полисулфатен натрий постига неговите ефекти при пациенти, е неизвестен. При предварителни клинични модели пентозан полисулфат натрий, прилепен към лигавичната мембрана на стената на пикочния мехур. Лекарството може да действа като буфер за контрол на клетъчната пропускливост, предотвратявайки дразнещите разтворители в урината да достигне до клетките.
Клинични изпитвания
Елмирон® was evaluated in two clinical trials for the relief of pain in patients with chronic interstitial cystitis (IC). All patients met the NIH definition of IC based upon the results of cystoscopy cytology и biopsy. One blinded rиomized placebo-controlled study evaluated 151 patients (145 women 5 men 1 unknown) with a mean age of 44 years (range 18 to 81). Approximately equal numbers of patients received either placebo or Елмирон® 100 mg three times a day for 3 months. Clinical improvement in пикочен мехур pain was based upon the patient’s own assessment. In this study 28/74 (38%) of patients who received Елмирон® и 13/74 (18%) of patients who received placebo showed greater than 50% improvement in пикочен мехур pain (p = 0.005).
Второ клинично изпитване Използването на лекаря е проспективно проектиран ретроспективен анализ на 2499 пациенти, които са получавали Elmiron® 300 mg на ден, без да ослемват. От 2499 пациенти 2220 са жени 254 са мъже, а 25 са с неизвестен пол. Пациентите са имали средна възраст от 47 години, а 23% са на възраст над 60 години. До 3 месеца 1307 (52%) от пациентите са отпаднали или са били неприемливи за анализ като цяло 1192 (48%) са получили Elmiron® за 3 месеца; 892 (36%) са получили Elmiron® за 6 месеца; и 598 (24%) са получили Elmiron® за една година.
Пациентите са имали неопределени оценки на всеки 3 месеца за оценката на общата промяна в болката на пациента в сравнение с изходното ниво и за разликата, изчислена в резултатите от болката/дискомфорта. При изходните резултати за болка/дискомфорт за първоначалните 2499 пациенти са били тежки или непоносими при 60% умерени при 33% и леки или нито един при 7% от пациентите. Степента на подобряването на болката на пациентите е показана в таблица 1.
На 3 месеца 722/2499 (29%) от пациентите първоначално в проучването са имали резултати от болката, които се подобряват с една или две категории. До 6 месеца при 892 пациенти, които продължиха да приемат Elmiron®, допълнителни 116/2499 (5%) от пациентите са подобрили резултатите от болката. След 6 месеца процентът на пациентите, които съобщават, че първото начало на облекчаване на болката е по -малко от 1,5% от пациентите, които първоначално са влезли в проучването (виж таблица 2).
Таблица 1: Резултати от болката във връзка с изходното ниво в проучването за използване на лекаря с отворен етикет (n = 2499)*
| Параметър за ефикасност | 3 месеца † | 6 месеца † |
| Оценка на пациента на общата промяна в болката (спомен за разликата между текущата болка и изходното болка) ‡ | N = 1161 | N = 724 |
| Медиана = 3 | Медиана = 4 | |
| Средно = 3.44 | Средно = 3,91 | |
| CI: (3.37 3.51) | CI: (3.83 3.99) | |
| Промяна в оценката на болката/дискомфорта (изчислена разлика в оценките в момент и базовата линия) § | N = 1440 | N = 904 |
| Медиана = 1 | Медиана = 1 | |
| Средно = 0,51 | Средно = 0,66 | |
| CI: (0.45 0.57) | CI: (0.61 0.71) | |
| * Изпитване не е предназначено да открие появата на облекчаване на болката † CI = 95% доверителен интервал ‡ 6-точкова скала: 1 = по-лошо 2 = няма по-добър 3 = леко подобрен 4 = умерено подобрен 5 = значително подобрен 6 = Симптом изчезна § Скала на 3-точките: 1 = няма или леко 2 = умерена 3 = тежка или непоносима |
Таблица 2: Брой (%) от пациентите с ново облекчение на болката/дискомфорта* в проучването за използване на лекаря с отворен етикет (n = 2499)
| На 3 месеца † (n = 1192) | на 6 месеца † (n = 892) | |
| Като се има предвид само пациентите, които продължават да лекуват | 722/1192 (61%) | 116/892 (13%) |
| Като се имат предвид всички пациенти, първоначално записани в проучването | 722/2499 (29%) | 116/2499 (5%) |
| * Подобряване на първи път в резултат на болка/дискомфорт с 1 или 2 категории † Брой (%) от пациентите с подобряване на болката/резултата от дискомфорта на 3 месеца в сравнение с изходното ниво ‡ Брой (%) от пациентите без подобряване на болката/дискомфорта на 3 месеца, които са имали подобрение на 6 месеца |
Информация за пациента за Елмирон
Елмирон®
(Той Рон)
(Пентозан полисулфат натрий) Капсули за перорална употреба
Коя е най -важната информация, която трябва да знам за Елмирон?
Съобщава се за сериозни странични ефекти при използването на Elmiron, включително:
Какво е еконазол нитратна крем за
- Промени в ретината на окото (пигментарна макулопатия). Приемането на Елмирон може да бъде свързано с промени в пигмента в ретината на окото, които могат да продължат дори след спиране на лечението с Елмирон. Кажете на вашия доставчик на здравни грижи, включително вашия очен лекар веднага, ако имате някакви промени в зрението, включително някой от тези симптоми:
- затруднено четене
- Вашето зрение отнема повече време, за да се приспособите към ниска или намалена светлина
- замъглено зрение
По време на вашето лечение редовни очни прегледи, които включват прегледи на ретината, се предлагат за ранно откриване на ретинални/макулни промени. Вашият лекар ще обсъди с вас кога да получи първия си преглед на очите и проследяващи изпити и дали лечението трябва да продължи.
- Повишено кървене. Елмирон may increase bleeding. Tell your healthcare provider right away if you have any of these symptoms:
- синини лесно
- кръвотечение от носаs
- кървящи венци
- Кръв във вашата столче
Рискът ви от кървене може да се увеличи, ако приемате Елмирон заедно с други лекарства като:
-
- варфарин натрий
- високи дози аспирин
- хепарин
- противовъзпалителни лекарства като ибупрофен
Кажете на вашия доставчик на здравни грижи, ако приемате някое от тези лекарства.
Преди да започнете да приемате Elmiron, кажете на вашия доставчик на здравни грижи, ако ще направите операция. Вашият доставчик на здравни услуги може да спре Елмирон, преди да се овладее. Говорете с вашия доставчик на здравни грижи кога да спрете да приемате Елмирон и кога да започнете да го приемате отново.
Какво е Елмирон?
- Елмирон is a prescription medicine used to treat пикочен мехур pain or discomfort associated with interstitial cystitis.
- Не е известно дали Елмирон е безопасен и ефективен при деца под 16 години.
Не приемайте Елмирон, ако:
- са алергични към пентозан полисулфатен натрий или някоя от съставките в Елмирон. Вижте края на това ръководство за лекарства за пълен списък на съставките в Елмирон.
Преди да вземете Елмирон, кажете на вашия доставчик на здравни грижи за всички ваши медицински състояния, включително ако вие:
- Имайте лична или семейна история на очните проблеми на ретината.
- имат история на аневризми.
- имат проблеми с лесното кървене (тромбоцитопения).
- имат хемофилия.
- Имайте стомашно -чревни проблеми, като улцерози полипи или дивертикула.
- имат чернодробни проблеми
- са бременни или планират да забременеят. Елмирон трябва да се използва по време на бременност, само ако е ясно необходимо. Кажете на вашия доставчик на здравни грижи, ако забременеете, докато приемате Елмирон. Вие и вашият доставчик на здравни грижи трябва да решите дали трябва да продължите да приемате Елмирон.
- са кърмещи или планират да кърмят. Не е известно дали Елмирон преминава във вашата кърма. Вие и вашият доставчик на здравни грижи трябва да решите дали ще вземете Elmiron или кърмите.
Кажете на вашия доставчик на здравни грижи за всички лекарства, които приемате включително лекарства с рецепта и прекомерно текущи витамини и билкови добавки.
Познайте лекарствата, които приемате. Поддържайте списък с тях, за да покажете на вашия доставчик на здравни услуги и фармацевт, когато получите ново лекарство.
Какво е общото за виагра
Как да взема Елмирон?
- Вземете Elmiron точно както вашият доставчик на здравни грижи ви казва да го вземете.
- Вземете 1 капсула Elmiron през устата 3 пъти на ден с вода поне 1 час преди хранене или 2 часа след хранене. Всяка капсула съдържа 100 mg елмирон.
- Ако вземете твърде много Elmiron, обадете се веднага на вашия доставчик на здравни грижи или отидете в най -близкото спешно отделение.
Какви са възможните странични ефекти на Елмирон?
Съобщава се за сериозни странични ефекти при използването на Elmiron, включително:
Промени в ретината на окото
Повишено кървене
(Вижте коя е най -важната информация, която трябва да знам за Елмирон?)
Най -често срещаните странични ефекти на Елмирон са:
- загуба на коса
- Болки в стомаха
- обрив
- диария
- разстроен стомах
- Ненормални тестове за чернодробна функция
- гадене
- главоболие
- замаяност
Това не са всички възможни странични ефекти на Елмирон.
Обадете се на Вашия лекар за медицински съвети относно страничните ефекти. Можете да отчитате странични ефекти на FDA на 1-800-FDA-1088.
Как трябва да съхранявам Елмирон?
- Съхранявайте Elmiron при стайна температура между 68 ° F до 77 ° F (20 ° C до 25 ° C).
- Дръжте Елмирон и всички лекарства извън обсега на децата.
Общи information about the safe и effective use of Елмирон.
Лекарствата понякога се предписват за цели, различни от тези, изброени в ръководство за лекарства. Не използвайте Elmiron за условие, за което не е предписано. Не давайте Елмирон на други хора, дори ако имат същите симптоми, които имате. Може да им навреди. Можете да попитате вашия фармацевт или доставчик на здравни грижи за информация за Elmiron, която е написана за здравни специалисти.
Какви са съставките в Елмирон?
Активна съставка: Пентозан полисулфат натрий
Неактивни съставки: Микрокристална целулозна магнезиева стеаратна желатинова фармацевтична глазура (модифицирана) в SD-45 синтетичен черен железен оксид FD
Това ръководство за лекарства е одобрено от американската администрация по храните и лекарствата