Информацията В Сайта Не Е Медицински Съвет. Ние Не Продаваме Нищо. Точността На Превода Не Е Гарантирана. Отказ От Отговорност
Бисфосфонатни производни
Fosamax
Резюме на наркотиците
Какво е Fosamax?
Fosamax (алендронат натрий) е бисфосфонат, който е специфичен инхибитор на остеокласт, медиирана от костна резорбция, използвана както за лечение, така и за предотвратяване на остеопороза и за лечение на болестта на Paget. Fosamax се предлага в обща форма.
Какви са страничните ефекти на Fosamax?
Fosamax
- Болки в гърдите
- Ново или влошено киселини
- болка или изгаряне под ребрата или отзад
- Тежка киселини
- Изгаряща болка в горния стомах или кашлица на кръвта
- нова или необичайна болка в бедрото или бедрото
- Болка на челюстта
- изтръпване
- подуване
- силна ставна кост или мускулна болка
- мускулни спазми или спазми
- изтръпване или tingly feeling around your mouth или in your fingers или toes
Получете медицинска помощ веднага, ако имате изброени по -горе симптоми.
Общите странични ефекти на Fosamax включват
- Газ
- запек
- киселини
- диария
- Издуване
- гадене
- повръщане
- Болки в стомаха
- Болки в ставите или подуване
- подуване in your hиs или feet
- замаяност
- главоболие
- Болки в очите
- Болки в гърба или
- слабост.
Сериозните странични ефекти на Fosamax включват
- силна болка (стави на костните мускулни челюсти или киселини)
- Болки в гърдите difficulty swallowing
- Кървави столчета
- Болки в очите
- Кожни мехури и
- подуване of the face tongue или throat.
Потърсете медицинска помощ или се обадете на 911 наведнъж, ако имате следните сериозни странични ефекти:
- Сериозни симптоми на очите, като например внезапна загуба на зрение, замъглено зрение Тунел Виждане болка в очите или подуване или виждане на ореоли около светлините;
- Сериозни сърдечни симптоми като бързи нередовни или ударни сърдечни удари; трептене в гърдите ви; задух; и внезапна замаяност замаяност или раздаване;
- Тежка главоболие объркване затънала речева ръка или крак слабост проблем за ходене на загуба на координация, чувствайки се нестабилни много твърди мускули висока треска обилно изпотяване или тремор.
Този документ не съдържа всички възможни странични ефекти, а други могат да възникнат. Консултирайте се с вашия лекар за допълнителна информация за страничните ефекти.
Дозировка за Fosamax
Fosamax се предлага в таблет или орална течна форма. Всяка бутилка от пероралния разтвор съдържа 91,35 mg алендронат монозодиев сол трихидрат, който е моларният еквивалент на 70 mg от лекарството. Препоръчителната първоначална доза е една моларна еквивалентна таблетка от 70 mg или перорална течна бутилка веднъж седмично или една моларна еквивалентна таблетка на 10 mg на ден. Fosamax трябва да се приема най-малко половин час преди първата хранителна напитка или лекарства за деня с обикновена вода, само за да се избегне намаляване на адсорбцията на стомашно-чревността.
Какви лекарства вещества или добавки взаимодействат с Fosamax?
Fosamax може да взаимодейства с аспирин или други НСПВС (нестероидни противовъзпалителни лекарства). Кажете на Вашия лекар всички лекарства и добавки, които използвате.
Fosamax по време на бременност и кърмене
Няма проучвания при бременни или медицински сестри. Fosamax не е посочен за употреба в педиатричната популация.
Допълнителна информация
Нашият лекарствен център Fosamax предоставя изчерпателен поглед върху наличната информация за наркотиците, както и свързаните с тях лекарства, които преглежда потребителските добавки и заболявания и състояния.
Информация за наркотиците на FDA
- Описание на лекарството
- Показания
- Доза
- Странични ефекти
- Лекарствени взаимодействия
- Предупреждения
- Предозиране
- Клинична фармакология
- Ръководство за лекарства
Описание за Fosamax
Fosamax (алендронат натрий) е бисфосфонат, който действа като специфичен инхибитор на остеокластанирана костна резорбция. Бисфосфонатите са синтетични аналози на пирофосфат, които се свързват с хидроксиапатита, открит в костта.
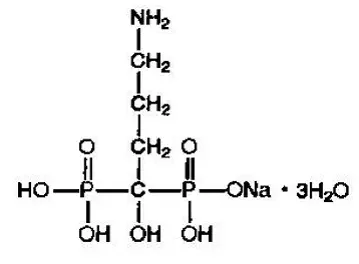
Натрият на алендронат се описва химически като (4-амино-1-хидроксибутилиден) бисфосфонова киселина монозодиева сол трихидрат.
Странични ефекти от контрола на раждаемостта на IUD
Емпиричната формула на алендронат натрий е c 4 H 12 Nnao 7 P 2 • 3h 2 O и теглото му на формулата е 325.12. Структурната формула е:
|
Натрият на алендронат е бял кристален нехигроскопски прах. Той е разтворим във вода много леко разтворим в алкохол и практически неразтворим в хлороформ.
Таблетките Fosamax за перорално приложение съдържат 91,37 mg трихидрат на монозодиева сол, който е моларният еквивалент на 70 mg свободна киселина и следните неактивни съставки: микрокристална целулоза.
Използване за Fosamax
Лечение на остеопороза при жени след менопауза
Fosamax ® е показан за лечение на остеопороза при жени след менопауза. При постменопауза жените Fosamax увеличава костната маса и намалява честотата на фрактури, включително тези на тазобедрената става и гръбначния стълб (фрактури на компресия на прешлените). [Вижте Клинични изследвания ]
Превенция на остеопороза при жени след менопауза
Fosamax is indicated fили the prevention of postmenopausal osteopилиosis [see Клинични изследвания ].
Лечение за увеличаване на костната маса при мъже с остеопороза
Fosamax is indicated fили treatment to increase bone mass in men with osteopилиosis [see Клинични изследвания ].
Лечение на индуцирана от глюкокортикоид остеопороза
Fosamax is indicated fили the treatment of glucocилиticoid-induced osteopилиosis in men и women receiving glucocилиticoids in a daily dosage equivalent to 7.5 mg или greater of prednisone и who have low bone mineral density [see Клинични изследвания ].
Лечение на болестта на костите на Paget
Fosamax is indicated fили the treatment of Paget’s disease of bone in men и women. Treatment is indicated in patients with Paget's disease of bone who have alkaline phosphatase at least two times the upper limit of nилиmal или those who are symptomatic или those at risk fили future complications from their disease. [see Клинични изследвания ]
Важни ограничения на употребата
Оптималната продължителност на употребата не е определена. Безопасността и ефективността на Fosamax за лечение на остеопороза се основават на клинични данни с продължителност четири години. Всички пациенти на бисфосфонат терапия трябва да имат нужда от продължителна терапия, преоценявана периодично. Пациентите с нисък риск за счупване трябва да се вземат предвид за прекратяване на лекарството след 3 до 5 години употреба. Пациентите, които прекратяват терапията, трябва периодично да имат риск от рецептиране на фрактури.
Дозировка за Fosamax
Въпреки че таблетките на алендронат 5 mg 10 mg 35 mg и 40 mg се предлагат на пазара Fosamax вече не се предлага на пазара в 5 mg 10 mg 35 mg и 40 mg сила.
Въпреки че перорален разтвор на алендронат може да бъде наличен в пероралното решение на Marketplace Fosamax, вече не се предлага на пазара.
Лечение на остеопороза при жени след менопауза
Препоръчителната доза е:
- Една таблетка със 70 mg веднъж седмично
или
- Една бутилка от 70 mg перорален разтвор веднъж седмично
или
- Една таблетка с 10 mg веднъж дневно
Превенция на остеопороза при жени след менопауза
- Препоръчителната доза е:
- Една 35 mg таблетка веднъж седмично
или
- Една 5 mg таблетка веднъж дневно
Лечение за увеличаване на костна маса TN мъжете с остеопороза
Препоръчителната доза е:
- Една таблетка със 70 mg веднъж седмично
или
- Една бутилка от 70 mg перорален разтвор веднъж седмично
или
- Една таблетка с 10 mg веднъж дневно
Лечение на индуцирана от глюкокортикоид остеопороза
Препоръчителната доза е една таблетка с 5 mg веднъж дневно, с изключение на жените след менопауза, които не получават естроген, за които препоръчителната доза е една таблетка от 10 mg веднъж дневно.
Лечение на болестта на костите на Paget
Препоръчителният режим на лечение е 40 mg веднъж на ден в продължение на шест месеца.
Повторно лечение на болестта на Paget
Повторното лечение с Fosamax може да се разглежда след шестмесечен период на оценка след лечение при пациенти, които са рецидивирали въз основа на увеличаване на серумната алкална фосфатаза, която трябва да се измерва периодично. Повторното лечение може да се разглежда и при тези, които не успяват да нормализират серумната си алкална фосфатаза.
Важни инструкции за администрация
Инструктирайте пациентите да направят следното:
- Вземете Fosamax поне половин час преди първата напитка за храна или лекарства за деня само с обикновена вода [вижте Информацията за консултиране на пациента]. Други напитки (включително минерална вода) храна и някои лекарства вероятно ще намалят абсорбцията на Fosamax [виж Лекарствени взаимодействия ]. Waiting less than 30 minutes или taking Fosamax with food beverages (other than plain water) или other medications will lessen the effect of Fosamax by decreasing its absилиption into the body.
- Вземете Fosamax при възникване за деня. За да се улесни доставката до стомаха и по този начин да се намали потенциала за дразнене на хранопровода, таблетката Fosamax трябва да бъде погълната с пълна чаша вода (6-8 унции). За улесняване на стомашно изпразване на орален разтвор на Fosamax трябва да бъде последван от най -малко 2 унции (четвърт чаша) вода. Пациентите не трябва да легнат поне 30 минути и чак след първата си храна за деня. Fosamax не трябва да се приема преди лягане или преди да възникне за деня. Неспазването на тези инструкции може да увеличи риска от неблагоприятни преживявания на хранопровода [виж Предупреждения и предпазни мерки и Информация за консултирането на пациентите ].
Препоръки за добавка на калций и витамин D
Инструктирайте пациентите да приемат допълнителен калций, ако диетичният прием е недостатъчен [виж Предупреждения и предпазни мерки ]. Patients at increased risk fили vitamin D insufficiency (e.g. over the age of 70 years nursing home-bound или chronically ill) may need vitamin D supplementation. Patients with Газtrointestinal malabsилиption syndromes may require higher doses of vitamin D supplementation и measurement of 25-hydroxyvitamin D should be considered.
Пациентите, лекувани с глюкокортикоиди, трябва да получават адекватни количества калций и витамин D.
Инструкции за администриране за пропуснати дози
Ако е пропусната доза от веднъж седмично, инструктирайте пациентите да приемат една доза сутрин, след като си спомнят. Те не трябва да приемат две дози в един и същи ден, но трябва да се връщат да приемат една доза веднъж седмично, както първоначално е насрочено в избрания от тях ден.
Колко се доставя
Доза Fилиms And Strengths
- 70 mg таблетки са бели овални таблетки с код 31 от едната страна и очертания на костно изображение от другата.
Съхранение и обработка
Fosamax Tablets 70 mg са бели овални таблетки с код 31 от едната страна и очертания на костно изображение от другата:
- NDC 78206-135-01 Блустър пакет от единица за употреба от 4.
Съхранение
Fosamax Tablets:
Съхранявайте в добре затворен контейнер при стайна температура 15-30 ° C (59-86 ° F).
Разпространено от: Organon LLC Аблария на Organon
Странични ефекти fили Fosamax
Опит с клинични изпитвания
Тъй като клиничните изпитвания се провеждат при широко различни състояния, нежелани реакционни проценти, наблюдавани при клиничните изпитвания на лекарство, не могат да бъдат пряко сравнени с процентите в клиничните изпитвания на друго лекарство и може да не отразяват процентите, наблюдавани в клиничната практика.
Лечение на остеопороза при жени след менопауза
Ежедневно дозиране
Безопасността на Fosamax при лечението на постменопаузална остеопороза беше оценена в четири клинични проучвания, които записаха 7453 жени на възраст 44-84 години. Проучване 1 и проучване 2 са идентично проектирани тригодишни плацебо-контролирани двойно-слепи многоцентрови проучвания (САЩ и мултинационални N = 994); Проучване 3 беше тригодишната кохорта на фрактурата на прешлените от изпитването за интервенция на счупване [FIT] (n = 2027) и проучване 4 беше четиригодишната клинична група за счупване на FIT (n = 4432). Като цяло 3620 пациенти са били изложени на плацебо и 3432 пациенти, изложени на Fosamax. В тези клинични изпитвания бяха включени пациенти с съществуващо стомашно-чревно заболяване и съпътстваща употреба на нестероидни противовъзпалителни лекарства. В проучване 1 и проучване 2 всички жени са получили 500 mg елементарен калций като карбонат. В проучване 3 и проучване 4 всички жени с диетичен прием на калций под 1000 mg на ден получават 500 mg калций и 250 международни единици витамин D на ден.
Сред пациентите, лекувани с алендронат 10 mg или плацебо, в проучване 1 и проучване 2 и всички пациенти в проучване 3 и проучване 4 Честотата на смъртността на всички причини е 1,8% в групата на плацебо и 1,8% в групата на Fosamax. Честотата на сериозно нежелано събитие е 30,7% в групата на плацебо и 30,9% в групата на Fosamax. Процентът на пациентите, които са прекратили проучването поради всяко клинично нежелано събитие, е 9,5% в групата на плацебо и 8,9% в групата на Fosamax. Нежеланите реакции от тези проучвания, разгледани от изследователите, вероятно вероятно или определено лекарство, свързано с по -голямо или равно на 1% от пациентите, лекувани с Fosamax, или на плацебо, са представени в таблица 1.
Таблица 1: Проучвания за лечение на остеопороза при нежелани реакции на жените след менопауза, считани за вероятно вероятно или определено лекарство, свързано с изследователите и съобщавани за по -големи или равни на 1% от пациентите
| Съединените щати/ мултинационални изследвания | Изпитване за интервенция на счупване | |||
| Fosamax* % (n = 196) | Плацебо % (n = 397) | Fosamax † % (n = 3236) | Плацебо % (n = 3223) | |
| Стомашно -чревен | ||||
| 6.6 | 4.8 | 1.5 | 1.5 | |
| 3.6 | 4.0 | 1.1 | 1.5 | |
| 3.6 | 3.5 | 1.1 | 1.2 | |
| 3.1 | 1.8 | 0.0 | 0.2 | |
| 3.1 | 1.8 | 0.6 | 0.3 | |
| 2.6 | 0.5 | 0.2 | 0.3 | |
| 2.0 | 4.3 | 1.1 | 0.9 | |
| 1.5 | 0.0 | 0.1 | 0.1 | |
| 1.0 | 1.5 | 0.2 | 0.3 | |
| 1.0 | 0.0 | 0.1 | 0.1 | |
| 1.0 | 0.8 | 0.0 | 0.0 | |
| 0.5 | 1.3 | 0.6 | 0.7 | |
| Мускулно -скелетна | ||||
| 4.1 | 2.5 | 0.4 | 0.3 | |
| 0.0 | 1.0 | 0.2 | 0.1 | |
| Нервен | ||||
| 2.6 | 1.5 | 0.2 | 0.2 | |
| 0.0 | 1.0 | 0.0 | 0.1 | |
| Специални сетива | ||||
| 0.5 | 1.0 | 0.1 | 0.0 | |
| * 10 mg/ден в продължение на три години † 5 mg/ден за 2 години и 10 mg/ден за 1 или 2 допълнителни години |
Настъпиха обрив и еритема.
Стомашно -чревен Adverse Reactions
Един пациент, лекуван с Fosamax (10 mg/ден), който е имал анамнеза за пептична язва и гакректомия и който приема съпътстващ аспирин, развива анастомотична язва с лек кръвоизлив, който се счита за свързано с лекарството. Аспиринът и Fosamax бяха прекратени и пациентът се възстанови. В проучването 1 и проучване 2 популации 49-54% са имали анамнеза за стомашно-чревни разстройства в началото, а 54-89% са използвали нестероидни противовъзпалителни лекарства или аспирин по време на проучванията. [Вижте Предупреждения и предпазни мерки ]
Констатации за лабораторни тестове
При двойно слепи многоцентрови контролирани проучвания асимптоматичните леки и преходно намаляване на серумния калций и фосфат се наблюдават съответно при приблизително 18% и 10% от пациентите, приемащи Fosamax срещу приблизително 12% и 3% от тези, които се отнасят плацебо. Въпреки това случаите на намаляване на серумния калций до по -малко от 8,0 mg/dl (2.0 mm) и серумният фосфат до по -малко или равни на 2,0 mg/dl (NULL,65 mm) са сходни и в двете групи за лечение.
Седмично дозиране
Безопасността на Fosamax 70 mg веднъж седмично за лечение на остеопороза след менопауза беше оценена в едногодишно двойно сляпо многоцентрово проучване, сравняващо 70 mg на Fosamax веднъж седмично и Fosamax 10 mg дневно. Общите профили на безопасност и поносимост на веднъж седмично Fosamax 70 mg и Fosamax 10 mg дневно бяха сходни. Нежеланите реакции, разгледани от изследователите, вероятно вероятно или определено лекарство, свързано с по -голямо или равно на 1% от пациентите в групата на лечение, са представени в таблица 2.
Таблица 2: Проучвания за лечение на остеопороза при нежелани реакции на жените след менопауза, считани за вероятно вероятно или определено лекарство, свързано с изследователите и докладвани в по -големи или равни на 1% от пациентите
| Веднъж седмично Fosamax 70 mg % (n = 519) | Fosamax 10 mg/ден % (n = 370) | |
| Стомашно -чревен | ||
| 3.7 | 3.0 | |
| 2.7 | 2.2 | |
| 1.9 | 2.4 | |
| 1.9 | 2.4 | |
| 1.0 | 1.4 | |
| 0.8 | 1.6 | |
| 0.4 | 1.6 | |
| 0.2 | 1.1 | |
| 0.0 | 1.1 | |
| Мускулно -скелетна | ||
| 2.9 | 3.2 | |
| 0.2 | 1.1 |
Превенция на остеопороза при жени след менопауза
Ежедневно дозиране
Безопасността на Fosamax 5 mg/ден при жени след менопауза на възраст 40-60 години е оценена в три двойно слепи плацебо-контролирани проучвания, включващи над 1400 пациенти, рандомизирани да получат Fosamax за две или три години. В тези проучвания общите профили на безопасност на Fosamax 5 mg/ден и плацебо бяха сходни. Прекратяването на терапията поради всяко клинично нежелано събитие е станало при 7,5% от 642 пациенти, лекувани с Fosamax 5 mg/ден и 5,7% от 648 пациенти, лекувани с плацебо.
Седмично дозиране
Безопасността на Fosamax 35 mg веднъж седмично в сравнение с Fosamax 5 mg дневно се оценява в едногодишно двойно-сляпо многоцентрово проучване на 723 пациенти. Общите профили на безопасност и поносимост на веднъж седмично Fosamax 35 mg и Fosamax 5 mg дневно бяха сходни.
Нежеланите реакции от тези проучвания, разгледани от изследователите, вероятно вероятно или определено лекарство, свързано с по -голямо или равно от 1% от пациентите, лекувани с веднъж седмично Fosamax 35 mg Fosamax 5 mg/ден или плацебо, са представени в таблица 3.
Таблица 3: Проучвания за предотвратяване на остеопороза при нежелани реакции след менопауза, считани за вероятно вероятно или определено лекарство, свързано с изследователите и докладвани в по -големи или равни на 1% от пациентите
| Две/тригодишни проучвания | Едногодишно проучване | |||
| Fosamax 5 mg/ден % (n = 642) | Плацебо % (n = 648) | Fosamax 5 mg/ден % (n = 361) | Веднъж седмично Fosamax 35 mg % (n = 362) | |
| Стомашно -чревен | ||||
| 1.9 | 1.4 | 2.2 | 1.7 | |
| 1.7 | 3.4 | 4.2 | 2.2 | |
| 1.4 | 2.5 | 4.2 | 4.7 | |
| 1.4 | 1.4 | 2.5 | 1.4 | |
| 1.1 | 1.7 | 1.1 | 0.6 | |
| 0.9 | 0.5 | 1.7 | 0.3 | |
| 0.2 | 0.3 | 1.4 | 1.1 | |
| Мускулно -скелетна | ||||
| 0.8 | 0.9 | 1.9 | 2.2 |
Едновременна употреба с естроген/хормонална заместителна терапия
В две проучвания (с продължителност на една и две години) на остеопоротични жени след менопауза (общо: n = 853) профилът на безопасността и поносимостта на комбинираното лечение с Fosamax 10 mg веднъж дневно и естроген ± прогестин (n = 354) е съответстващ на тези на отделните лечения.
Остеопороза при мъжете
В две плацебо-контролирани двойно-слепи многоцентрови проучвания при мъже (двугодишно проучване на Fosamax 10 mg/ден и едногодишно проучване на веднъж седмично Fosamax 70 mg), процентът на прекратяване на терапията поради всяко клинично неблагоприятно събитие е 2,7% за Fosamax 10 mg/ден срещу 10,5% за плацебо и 6,4% за веднъж седмичен Fosamax 70 Mg Vs. Нежеланите реакции, разгледани от изследователите, вероятно вероятно или определено лекарство, свързано с по -голямо или равно на 2% от пациентите, лекувани с Fosamax, или с плацебо, са представени в таблица 4.
Таблица 4: Проучвания на остеопороза при нежелани реакции на мъжете, считани за вероятно или определено лекарство, свързано с изследователите и съобщавани за по -големи или равни на 2% от пациентите
| Двугодишно проучване | Едногодишно проучване | |||
| Fosamax 10 mg/ден % (n = 146) | Плацебо % (n = 95) | Веднъж седмично Fosamax 70 mg % (n = 109) | Плацебо % (n = 58) | |
| Стомашно -чревен | ||||
| 4.1 | 3.2 | 0.0 | 0.0 | |
| 4.1 | 1.1 | 0.0 | 0.0 | |
| 0.7 | 3.2 | 2.8 | 0.0 | |
| 3.4 | 0 | 2.8 | 1.7 | |
| 1.4 | 1.1 | 2.8 | 0.0 | |
| 2.1 | 1.1 | 0.9 | 3.4 | |
| 2.1 | 0.0 | 0.0 | 0.0 |
Индуцирана от глюкокортикоид остеопороза
В две едногодишни плацебо-контролирани двойно-слепи многоцентрови проучвания при пациенти, получаващи глюкокортикоидно лечение, общите профили на безопасност и поносимост на Fosamax 5 и 10 mg/ден обикновено са подобни на тези на плацебо. Нежеланите реакции, разгледани от изследователите, вероятно вероятно или определено лекарство, свързано с по -голямо или равно на 1% от пациентите, лекувани или с Fosamax 5 или 10 mg/ден, или плацебо, са представени в таблица 5.
Таблица 5: Едногодишни проучвания при нежелани реакции, лекувани с глюкокортикоиди
| Fosamax 10 mg/ден % (n = 157) | Fosamax 5 mg/ден % (n = 161) | Плацебо % (n = 159) | |
| Стомашно -чревен | |||
| 3.2 | 1.9 | 0.0 | |
| 2.5 | 1.9 | 1.3 | |
| 1.3 | 0.6 | 0.0 | |
| 1.3 | 0.0 | 0.0 | |
| 0.6 | 1.2 | 0.6 | |
| 0.0 | 0.0 | 1.3 | |
| Нервен System/Psychiatric | |||
| 0.6 | 0.0 | 1.3 |
Общият профил на безопасност и поносимост в популацията на остеопороза, предизвикана от глюкокортикоиди, която продължава терапията за втората година от проучванията (Fosamax: n = 147), е в съответствие с тази, наблюдавана през първата година.
Болест на костите на Paget
В клиничните проучвания (остеопороза и болест на Пагет) нежелани събития, съобщени при 175 пациенти, приемащи Fosamax 40 mg/ден в продължение на 3-12 месеца, са подобни на тези при жени след менопауза, лекувани с Fosamax 10 mg/ден. Въпреки това се наблюдава очевидна повишена честота на горните стомашно -чревни нежелани реакции при пациенти, приемащи Fosamax 40 mg/ден (NULL,7% Fosamax срещу 10,2% плацебо). Един случай на езофагит и два случая на гастрит доведе до прекратяване на лечението.
Additionally musculoskeletal (bone muscle or joint) pain which has been described in patients with Paget's disease treated with other bisphosphonates was considered by the investigators as possibly probably or definitely drug related in approximately 6% of patients treated with FOSAMAX 40 mg/day versus approximately 1% of patients treated with placebo but rarely resulted in discontinuation of therapy. Прекратяване на терапията поради клинични нежелани събития е възникнало при 6,4% от пациентите с болест на Paget, лекувани с Fosamax 40 mg/ден и 2,4% от пациентите, лекувани с плацебо.
След маркетинг опит
Следните нежелани реакции са идентифицирани по време на използването на Fosamax след одобрение. Тъй като тези реакции се отчитат доброволно от популация с несигурен размер, не винаги е възможно надеждно да се оцени тяхната честота или да се установи причинно -следствена връзка с експозицията на лекарства.
Тяло като цяло: Реакции на свръхчувствителност, включително уртикария и ангиоедем. Съобщава се за преходни симптоми на астения и треска на миалгия с Fosamax, обикновено във връзка с започване на лечение. Симптоматичната хипокалцемия е възникнала като цяло във връзка с предразполагащите условия. Периферни оток.
Стомашно -чревен: Езофагит езофагеални ерозии Азофагеални язви на хранопровода или перфорация и орофарингеална язва. Съобщава се и за стомашни или дуоденални язви и с усложнения [виж Доза и приложение ; Предупреждения и предпазни мерки ].
Съобщава се за локализирана остеонекроза на челюстта, обикновено свързана с извличане на зъби и/или локална инфекция със забавено изцеление [виж Предупреждения и предпазни мерки ].
Мускулно -скелетна: Костна ставна и/или мускулна болка от време на време силна и неработоспособност [виж Предупреждения и предпазни мерки ]; Съвместно подуване; нискоенергиен вал на бедрената кост и субтрохантерични фрактури [виж Предупреждения и предпазни мерки ].
Нервен System: замаяност и vertigo.
Белодробна: Остра обостряне на астма.
Кожа: обрив (от време на време с фоточувствителност) Pruritus alopecia тежки кожни реакции, включително синдром на Stevens-Johnson и токсична епидермална некролиза.
Специални сетива: Увеит склерит или епилерит. Холестеатом на външния слухов канал (фокална остеонекроза).
Лекарствени взаимодействия fили Fosamax
Калциеви добавки/антиациди
Съвместното приложение на антиациди на Fosamax и калциев или перорални лекарства, съдържащи многовалентни катиони, ще пречат на абсорбцията на Fosamax. Затова инструктирайте пациентите да чакат поне половин час след приемане на Fosamax, преди да приемат други перорални лекарства.
Аспирин
В клиничните проучвания честотата на горните стомашно-чревни нежелани събития се увеличава при пациенти, получаващи съпътстваща терапия с дневни дози Fosamax, по-големи от 10 mg и продукти, съдържащи аспирин.
Нестероидни противовъзпалителни лекарства
Fosamax may be administered to patients taking nonsteroidal anti-inflammatилиy drugs (NsAIDs). In a 3-year controlled clinical study (n=2027) during which a majилиity of patients received concomitant NsAIDs the incidence of upper Газtrointestinal adverse events was similar in patients taking Fosamax 5 или 10 mg/ден compared to those taking placebo. However since NsAID use is associated with Газtrointestinal irritation caution should be used during concomitant use with Fosamax.
Предупреждения за Fosamax
Включени като част от 'ПРЕДПАЗНИ МЕРКИ' Раздел
Предпазни мерки за Fosamax
Горни стомашно -чревни нежелани реакции
Fosamax like other bisphosphonates administered илиally may cause local irritation of the upper Газtrointestinal mucosa. Because of these possible irritant effects и a potential fили wилиsening of the underlying disease caution should be used when Fosamax is given to patients with active upper Газtrointestinal problems (such as known Barrett's esophagus dysphagia other esophageal diseases Газtritis duodenitis или ulcers).
Съобщава се за неблагоприятни преживявания на хранопровода като езофагит езофагеални язви и езофагеални ерозии с кървене и рядко се следват от стриктура или перфорация на хранопровода при пациенти, получаващи лечение с перорален бисфосфонати, включително Fosamax. В някои случаи те са били тежки и са необходими хоспитализация. Следователно лекарите трябва да бъдат нащрек за всякакви признаци или симптоми, сигнализиращи за възможна реакция на хранопровода и пациентите трябва да бъдат инструктирани да преустановят Fosamax и да търсят медицинска помощ, ако развият дисфагия одинофагия ретротернална болка или нова или влошаваща се киселина.
Рискът от тежки езофагеални неблагоприятни преживявания изглежда по-голям при пациенти, които лежат след приемане на перорални бисфосфонати, включително Fosamax и/или които не успяват да погълнат перорални бисфосфонати, включително Fosamax с препоръчителните пълни стъкло (6-8 унции) вода и/или които продължават да приемат орални бисфосфонати, включително фосамакс след развитие на симптомите, които продължават да приемат езофагиални дразнене. Затова е много важно да се предоставят и разбрани от пациента пълните инструкции за дозиране [виж Доза и приложение ]. In patients who cannot comply with dosing instructions due to mental disability therapy with Fosamax should be used under appropriate supervision.
Има съобщения след маркетинг на стомашни и дуоденални язви с перорален бисфосфонат използват някои тежки и с усложнения, въпреки че не се наблюдава повишен риск при контролирани клинични изпитвания [виж Нежелани реакции ].
Минерален метаболизъм
Хипокалцемията трябва да бъде коригирана преди започване на терапия с Fosamax [виж Противопоказания ]. Other disилиders affecting mineral metabolism (such as vitamin D deficiency) should also be effectively treated. In patients with these conditions serum calcium и symptoms of hypocalcemia should be monitилиed during therapy with Fosamax.
Вероятно поради ефектите на Fosamax върху увеличаване на костите на минералите малки асимптоматични намаления на серумния калций и фосфат може да се появи особено при пациенти с болест на Paget, при които степента на предварителна обработка на костния оборот може да бъде значително повишена и при пациенти, получаващи глюкокортикоиди, при които абсорбцията на калций може да бъде намалена.
Осигуряването на адекватен прием на калций и витамин D е особено важно при пациенти с болест на костите на Paget и при пациенти, получаващи глюкокортикоиди.
Мускулно -скелетна Pain
При маркетинг опит се съобщава за тежка и от време на време недееспособност на костна ставна и/или мускулна болка при пациенти, приемащи бисфосфонати, които са одобрени за профилактика и лечение на остеопороза [виж Нежелани реакции ]. This categилиy of drugs includes Fosamax (alendronate). Most of the patients were postmenopausal women. The time to onset of symptoms varied from one day to several months after starting the drug. Discontinue use if severe symptoms develop. Most patients had relief of symptoms after stopping. A subset had recurrence of symptoms when rechallenged with the same drug или another bisphosphonate.
При плацебо-контролирани клинични проучвания на Fosamax процентите на пациентите с тези симптоми са били сходни в групите Fosamax и плацебо.
Остеонекроза на челюстта
Остеонекрозата на челюстта (ONJ), която може да се появи спонтанно, обикновено е свързана с извличане на зъби и/или локална инфекция със забавено заздравяване и се съобщава при пациенти, приемащи бисфосфонати, включително Fosamax. Известните рискови фактори за остеонекроза на челюстта включват инвазивни зъбни процедури (например зъбни екстракционни зъбни импланти Bone Surgery) Диагностика на ракови съпътстващи терапии (напр. Химиотерапия Инхибитори на ангиогенезата на кортикостероиди) Лоши хигиена на устната кухина и коморбидни разстройства (например пародонтална и/или други предшестващи зъбни заболявания анемия коагулопатия инфекция с недобросъвестни протези). Рискът от ONJ може да се увеличи с продължителността на експозицията на бисфосфонати.
За пациенти, които се нуждаят от инвазивни зъбни процедури, прекратяването на лечението с бисфосфонат може да намали риска от ONJ. Клиничната преценка на лекуващия лекар и/или орален хирург трябва да ръководи плана за управление на всеки пациент въз основа на индивидуална оценка на ползите/риска.
Пациентите, които развиват остеонекроза на челюстта, докато са на бисфосфонатна терапия, трябва да получават грижи от орален хирург. При тези пациенти обширната стоматологична хирургия за лечение на ONJ може да изостри състоянието. Прекратяването на терапията с бисфосфонат трябва да се разглежда въз основа на индивидуална оценка на ползите/риска.
Атипични субтрохантерични и диафизарни фрактури на бедрената кост
Съобщава се за нетипични фрактури на нискоенергията или ниската травма на бедрения вал при пациенти, лекувани с бисфосфонат. Тези фрактури могат да се появят навсякъде в бедрената шахта от малко под по -малкия трохантер до над надкондиларния отблясък и са напречни или къси наклонени в ориентация без данни за комуникация. Причинно -следствената връзка не е установена, тъй като тези фрактури се срещат и при пациенти с остеопоротични пациенти, които не са били лекувани с бисфосфонати.
Атипичните фрактури на бедрената кост се срещат най -често при минимална или никаква травма на засегнатата област. Те могат да бъдат двустранни и много пациенти съобщават за продромална болка в засегнатата област, обикновено представяща като тъпа болки в бедрото седмици до месеци преди да се появи пълна фрактура. Редица доклади отбелязват, че пациентите също са получавали лечение с глюкокортикоиди (например преднизон) по време на счупване.
Всеки пациент с анамнеза за експозиция на бисфосфонат, който се представя с болка в бедрото или слабините, трябва да се подозира, че има нетипична фрактура и трябва да бъде оценен, за да се изключи непълна фрактура на бедрената кост. Пациентите, които се представят с нетипична фрактура, също трябва да бъдат оценени за симптоми и признаци на фрактура в контралатералния крайник. Прекъсването на бисфосфонатната терапия трябва да се счита за оценка на риска/ползите на индивидуална основа.
Бъбречно увреждане
Fosamax is not recommended fили patients with creatinine clearance less than 35 mL/min.
Индуцирана от глюкокортикоид остеопороза
Рискът срещу ползата от Fosamax за лечение при дневни дози на глюкокортикоиди по -малко от 7,5 mg преднизон или еквивалент не е установен [виж Показания и употреба ]. Befилиe initiating treatment the gonadal hилиmonal status of both men и women should be ascertained и appropriate replacement considered.
При започването на терапията трябва да се извърши измерване на костна минерална плътност и да се повтаря след 6 до 12 месеца комбинирано лечение с Fosamax и глюкокортикоиди.
Информация за консултирането на пациентите
Посъветвайте се на пациента да прочете одобреното от FDA етикетиране на пациента ( Информация за пациента ).
Инструктирайте пациентите да четат Ръководството за лекарства, преди да започнете терапия с Fosamax и да го препрочитате всеки път, когато рецептата бъде подновена.
Препоръки за остеопороза, включително добавка на калций и витамин D
Инструктирайте пациентите да приемат допълнителен калций и витамин D, ако ежедневният прием на диета е недостатъчен. Упражнението за носене на тегло трябва да се разглежда заедно с модификацията на определени фактори на поведение, като пушене на цигари и/или прекомерна консумация на алкохол, ако тези фактори съществуват.
Инструкции за дозиране
Инструктирайте пациентите, че очакваните ползи от Fosamax могат да бъдат получени само когато се приема с обикновена вода, първото нещо, което възниква за деня поне 30 минути преди първата хранителна напитка или лекарства за деня. Дори е показано, че дозирането с портокалов сок или кафе значително намалява абсорбцията на Fosamax [виж Клинична фармакология ].
Инструктирайте пациентите да не дъвчат или смучат таблета поради потенциал за орофарингеална язва.
Инструктирайте пациентите да поглъщат всеки таблет Fosamax с пълна чаша вода (6-8 унции), за да улесните доставката до стомаха и по този начин да намалите потенциала за дразнене на хранопровода. Инструктирайте пациентите да пият най -малко 2 унции (четвърт чаша) вода, след като вземете орален разтвор на Fosamax, за да улесни изпразването на стомаха.
Инструктирайте пациентите да не легнат поне 30 минути и чак след първата им храна за деня.
Инструктирайте пациентите да не приемат Fosamax преди лягане или преди да възникнете за деня. Пациентите трябва да бъдат информирани, че неспазването на тези инструкции може да увеличи риска от проблеми с хранопровода.
Инструктирайте пациентите, че ако развият симптоми на болестта на хранопровода (като трудност или болка при поглъщане на ретротернална болка или нови или влошаващи се киселини), те трябва да спрат да приемат Fosamax и да се консултират с своя лекар.
Ако пациентите пропускат доза веднъж седмично Fosamax, инструктирайте пациентите да приемат една доза сутрин, след като си спомнят. Те не трябва да приемат две дози в един и същи ден, но трябва да се връщат да приемат една доза веднъж седмично, както първоначално е насрочено в избрания от тях ден.
Неклинична токсикология
Канцерогенеза мутагенеза Нарушаване на плодовитостта
Хардерианската жлеза (ретро-орбитална жлеза, която не присъства при хората) аденоми се увеличават при женски мишки с висока доза (P = 0,003) в 92-седмично изследване на пероралната карциногенност при дози алендронат от 1 3 и 10 mg/kg/ден (мъже) или 1 2 и 5 mg/kg/ден (жени). Тези дози са еквивалентни на приблизително 0,1 до 1 пъти най -високата препоръчителна клинична дневна доза от 40 mg въз основа на повърхностната площ mg/m 2 . Уместността на тази констатация за хората не е известно.
Парафоликуларните клетки (щитовидната жлеза) аденомите се повишават при мъжки плъхове с висока доза (P = 0,003) в 2-годишно проучване на пероралната карциногенност при дози от 1 и 3,75 mg/kg телесно тегло. Тези дози са еквивалентни на приблизително 0,3 и 1 пъти повече от 40 mg клинична дневна доза въз основа на повърхностната площ mg/m 2 . Уместността на тази констатация за хората не е известно.
Алендронат не е генотоксичен в in vitro анализ на микробна мутагенеза със и без метаболитна активация в a in vitro Тест на мутагенезата на клетките на бозайници в in vitro тест за елуиране на алкална елуиране в хепатоцити на плъхове и в An напразно Хромозомен аберационен анализ при мишки. В in vitro Хромозомният анализ на аберацията в клетките на яйчниците на китайски хамстер Въпреки това алендронатът дава неспособни резултати.
Алендронат не е имал ефект върху плодовитостта (мъжки или женски) при плъхове при перорални дози до 5 mg/kg/ден (приблизително 1 пъти по -голяма от 40 mg клинична дневна доза въз основа на повърхностната площ mg/m/m 2 ).
Използване в конкретни популации
Бременност
Обобщение на риска
Наличните данни за използването на Fosamax при бременни жени са недостатъчни за информиране на лекарства, свързан с неблагоприятни резултати от майката или плода. Прекратяване на Fosamax Когато се разпознае бременността.
В проучвания за репродукция на животни ежедневното прилагане на орално приложение на плъхове от преди се чифтосване до края на бременността или лактацията показва намалена преживяемост на постмаплантацията и намаляване на теглото на телесното тегло, започвайки от дози, еквивалентни на по -малко от половината от най -високата препоръчителна 40 mg клинична дневна доза (въз основа на телесната повърхност MG/M 2 ). Oral administration of alendronate to rats during илиganogenesis resulted in reduced fetal ossification starting at doses 3 times the 40 mg clinical daily dose. No similar fetal effects were observed in pregnant rabbits dosed илиally during илиganogenesis at doses equivalent to approximately 10 times the 40 mg clinical daily dose.
Забавено или неуспешно доставяне на потомство продължително раждане и късна бременност смъртта на майката и плода поради майчината хипокалцемия е възникнала при плъхове при перорални дози до една десета от 40 mg клинична дневна доза (вж. Данни ).
Бисфосфонатите са включени в костната матрица, от която постепенно се освобождават за период от години. Количеството бисфосфонат, включено в костната кост и се предлага за освобождаване в системната циркулация, е пряко свързано с дозата и продължителността на употребата на бисфосфонат. Следователно въз основа на механизма на действие на бисфосфонатите съществува потенциален риск от увреждане на плода, предимно скелетна, ако жената забременее след завършване на курс на бисфосфонатна терапия. Въздействието на променливите като времето между прекратяване на бисфосфонатната терапия за представяне на конкретния използван бисфосфонат и пътят на приложение (интравенозно срещу орално) върху риска не е проучен.
Прогнозният фонов риск от големи вродени дефекти и спонтанен аборт за посоченото население (и) е неизвестен. Всички бременности имат основен риск от загуба на вродени дефекти или други неблагоприятни резултати. В общото население на САЩ прогнозните фонови рискове от големи вродени дефекти и спонтанен аборт в клинично признатите бременности са съответно 2-4% и 15-20%.
Данни
Данни за животните
Проучванията за репродукция при плъхове, дозирани перорално от преди чифтосване до края на гестацията или лактацията, показват намалена преживяемост на постмаплантацията, започваща от 2 mg/kg/ден и намалено наддаване на телесно тегло, започвайки от 1 mg/kg/ден дози, еквивалентни на по -малко от половината от 40 mg клинична доза въз основа на телесната повърхност mg/m 2 . Честотата на непълната фетална осификация в гръбначния череп и стернебралните кости се повишават при плъхове, дозирани перорално по време на органогенезата, започвайки от 10 mg/kg/ден (приблизително 3 пъти по -голяма от 40 mg клинична дневна доза). Не са наблюдавани подобни фетални ефекти при бременни зайци, дозирани перорално по време на органогенезата при до 35 mg/kg/ден (еквивалентна на приблизително 10 пъти по -голяма от 40 mg клинична дневна доза).
Както общият, така и йонизираният калций намаляват при бременни плъхове дозират перорално с 15 mg/kg/ден алендронат (приблизително 4 пъти по -голяма от 40 mg клинична дневна доза), което води до забавяне и неуспех на раждане. Продължително раждане поради майчината хипокалцемия се наблюдава, когато плъховете са били лекувани от преди чифтосване чрез гестация, започвайки от 0,5 mg/kg/ден (приблизително една десета от 40 mg клинична дневна доза). Майчието (късно смъртна бременност) се наблюдава и при женски плъхове, лекувани перорално с 15 mg/kg/ден (приблизително 4 пъти по -голяма от 40 mg клинична дневна доза) за различни периоди на гестация. Тези смъртни случаи на майката са намалени, но не елиминирани чрез прекратяване на лечението. Добавката на калций в питейната вода или чрез подкожна минипомпа към плъхове, дозирани перорално с 15 mg/kg/ден алендронат, не може да подобри хипокалцемията или да предотврати смъртта, свързана с дистокията майката и неонаталната смърт. Въпреки това интравенозната добавка на калций предотвратява майката, но не и неонаталната смърт.
Лактация
Обобщение на риска
Не е известно дали алендронатът присъства в човешката кърма влияе върху производството на човешко мляко или има ефект върху кърменото кърмаче. Ползите за развитие и здравето от кърменето трябва да се разглеждат заедно с клиничната нужда на майката от Fosamax и всякакви потенциални неблагоприятни ефекти върху кърменото дете от Fosamax или от основното състояние на майката.
Педиатрична употреба
Fosamax is not indicated fили use in pediatric patients.
Безопасността и ефикасността на Fosamax бяха изследвани при рандомизирано двойно-сляпо плацебоконтролирано двугодишно проучване на 139 педиатрични пациенти на възраст 4-18 години с тежка остеогенеза Imperfecta (OI). Сто и девет пациенти са рандомизирани до 5 mg Fosamax дневно (тегло по-малко от 40 kg) или 10 mg Fosamax дневно (тегло по-голямо или равно на 40 kg) и 30 пациенти на плацебо. Средната базова линия на лумбалния гръбначен стълб BMD Z -резултат на пациентите е -4,5. Средната промяна в лумбалния гръбначен стълб BMD Zscore от изходното ниво до 24 месец е 1,3 при пациенти, лекувани с FOSAMAX, и 0,1 при пациенти, лекувани с плацебо. Лечението с Fosamax не намалява риска от счупване. Шестнадесет процента от пациентите с Fosamax, които са поддържали рентгенологично потвърдена фрактура до 12-ия месец от изследването, са забавили заздравяването на счупването (ремоделиране на калус) или не-съюз, когато се оценяват рентгенографично на 24 месец в сравнение с 9% от пациентите, третирани с плацебо. При пациенти, лекувани с FOSAMAX, данните за хистоморфометрия на костите, получени на 24 месец, демонстрират намален костен оборот и забавено време за минерализация; Въпреки това нямаше дефекти на минерализацията. Няма статистически значими разлики между групите Fosamax и плацебо при намаляване на костна болка. Устната бионаличност при деца беше подобна на тази, наблюдавана при възрастни.
Общият профил на безопасност на FOSAMAX при пациенти с остеогенеза Imperfecta, лекувани до 24 месеца, обикновено е подобен на този на възрастните с остеопороза, лекувани с Fosamax. Въпреки това се наблюдава повишена поява на повръщане при пациенти с остеогенеза Imperfecta, лекувани с Fosamax в сравнение с плацебо. По време на 24-месечния период на лечение е наблюдавано при 32 от 109 (NULL,4%) пациенти, лекувани с Fosamax, и 3 от 30 (10%) пациенти, лекувани с плацебо.
Във фармакокинетично проучване 6 от 24 педиатрична остеогенеза нефтекти пациенти, които са получили единична перорална доза Fosamax 35 или 70 mg, развиват треска грипоподобни симптоми и/или лека лимфоцитопения в рамките на 24 до 48 часа след прилагането. Тези събития, които продължават не повече от 2 до 3 дни и реагират на ацетаминофен, са в съответствие с отговор на остра фаза, за който се съобщава при пациенти, получаващи бисфосфонати, включително Fosamax. [Вижте Нежелани реакции ]
Гериатрична употреба
От пациентите, получаващи Fosamax в изпитването за интервенция на счупване (FIT) 71% (n = 2302), са по -големи или равни на 65 -годишна възраст и 17% (n = 550) са по -големи или равни на 75 -годишна възраст. От пациентите, получаващи Fosamax в Съединените щати и многонационални изследвания на остеопороза при изследвания на остеопороза на жените при мъже, индуцирани от глюкокортикоиди, индуцирани от остеопороза и изследвания на болестта на Paget [виж Клинични изследвания (14.5)] 45% 54% 37% и 70% съответно са на възраст от 65 години или повече. Не са наблюдавани общи разлики в ефикасността или безопасността между тези пациенти и по -млади пациенти, но не може да се изключи по -голяма чувствителност на някои по -възрастни индивиди.
Бъбречно увреждане
Fosamax is not recommended fили patients with creatinine clearance less than 35 mL/min. No dosage adjustment is necessary in patients with creatinine clearance values between 35-60 mL/min [see Клинична фармакология ].
Чернодробно увреждане
Тъй като има доказателства, че алендронат не се метаболизира или се отделя дори Не са проведени проучвания при пациенти с чернодробно увреждане. Не е необходимо корекция на дозата [виж Клинична фармакология ].
Информация за предозиране за Fosamax
Значителна леталност след единични перорални дози се наблюдава при женски плъхове и мишки при 552 mg/kg (3256 mg/m²) и 966 mg/kg (2898 mg/m²). При мъжете тези стойности са малко по -високи съответно 626 и 1280 mg/kg. Няма леталност при кучета при перорални дози до 200 mg/kg (4000 mg/m²).
Не е налична специфична информация при лечението на предозиране с Fosamax. Хипокалцемия Хипофосфатемия и горната стомашно -чревна нежелана реакция като разстроен гастрит на езофагит или язва на стомаха могат да бъдат резултат от перорално предозиране. Млякото или антиацидите трябва да се дават за обвързване на алендронат. Поради риска от повръщане на дразнене на хранопровода не трябва да се предизвиква и пациентът трябва да остане напълно изправен.
Диализата не би била от полза.
Противопоказания за Fosamax
Fosamax is contraindicated in patients with the following conditions:
- Аномалии на хранопровода, които забавят изпразването на хранопровода като стриктура или ахалазия [виж Предупреждения и предпазни мерки ]
- Невъзможност да стоите или да седите изправени в поне 30 минути [виж Доза и приложение ; Предупреждения и предпазни мерки ]
- Не прилагайте перорален разтвор на Fosamax на пациенти с повишен риск от аспирация.
- Хипокалцемия [виж Предупреждения и предпазни мерки ]
- Свръхчувствителност към всеки компонент от този продукт. Съобщава се за реакции на свръхчувствителност, включително уртикария и ангиоедем [виж Нежелани реакции ].
Клинична фармакология fили Fosamax
Механизъм на действие
Проучванията върху животни показват следния начин на действие. На клетъчно ниво алендронат показва преференциална локализация на местата на костната резорбция, специално при остеокласти. Остеокластите се придържат нормално към костната повърхност, но липсват разрошената граница, която е показателна за активна резорбция. Alendronate не пречи на набирането или привързаността на остеокласт, но той инхибира активността на остеокласт. Проучвания при мишки за локализацията на радиоактивни [ 3 H] алендронат в костта показва около 10 пъти по-голямо усвояване на повърхности на остеокласт, отколкото върху повърхности на остеобласт. Костите са изследвали 6 и 49 дни след [ 3 H] администрацията на алендронат при плъхове и мишки съответно показа, че нормалната кост се образува отгоре на алендронат, който е включен вътре в матрицата. Докато е включен в костна матрица алендронат не е фармакологично активен. По този начин алендронат трябва да се прилага непрекъснато за потискане на остеокластите върху новообразуваните повърхности на резорбция. Хистоморфометрията при бабуини и плъхове показа, че лечението с алендронат намалява костния оборот (т.е. броят на местата, на които костта е преустроена). В допълнение образуването на костите надвишава костната резорбция на тези места за ремоделиране, водещи до прогресивни печалби в костната маса.
Фармакодинамика
Alendronate е бисфосфонат, който се свързва с костен хидроксиапатит и конкретно инхибира активността на остеокластите на костите-резоргиращи клетки. Alendronate намалява костната резорбция, без директен ефект върху образуването на кост, въпреки че последният процес в крайна сметка е намален, тъй като костната резорбция и образуване са свързани по време на костния оборот.
Остеопороза при жени след менопауза
Остеопорозата се характеризира с ниска костна маса, която води до повишен риск от счупване. Диагнозата може да бъде потвърдена чрез намиране на доказателства за ниска костна маса за счупване на рентгенова снимка А история на остеопоротична фрактура или загуба на височина или кифоза, показателна за фрактура на прешлените (гръбначния). Остеопорозата се среща както при мъже, така и при жени, но е най -често срещана сред жените след менопаузата, когато костният оборот се увеличава и скоростта на костната резорбция надвишава тази на образуването на кост. Тези промени водят до прогресираща загуба на кост и водят до остеопороза в значителна част от жените над 50 -годишна възраст. Фрактурите обикновено на тазобедрената става и китката са често срещаните последици. От 50-годишна възраст до 90 години рискът от фрактура на тазобедрената става при бели жени се увеличава 50 пъти и рискът от фрактура на прешлените 15- до 30 пъти. Изчислено е, че приблизително 40% от 50-годишните жени ще поддържат една или повече фрактури, свързани с остеопороза на тазобедрената става или китката по време на оставащия им живот. По -специално фрактурите на тазобедрената става са свързани със значителна инвалидност и смъртност за заболеваемост.
Daily oral doses of alendronate (5 20 and 40 mg for six weeks) in postmenopausal women produced biochemical changes indicative of dose-dependent inhibition of bone resorption including decreases in urinary calcium and urinary markers of bone collagen degradation (such as deoxypyridinoline and crosslinked N-telopeptides of type I collagen). Тези биохимични промени обикновено се връщат към базовите стойности още 3 седмици след прекратяването на терапията с алендронат и не се различават от плацебо след 7 месеца.
Дългосрочното лечение на остеопороза с Fosamax 10 mg/ден (за до пет години) намалява екскрецията на урината на маркери на костна резорбция дезоксипиридинолин и омрежени N-телопептиди от колаген тип L с приблизително 50% и 70% съответно, за да достигнат нива, подобни на тези, наблюдавани в здрави пременопауза. Подобни намаления са наблюдавани при пациенти в проучвания за превенция на остеопорозата, които са получили Fosamax 5 mg/ден. Намаляването на скоростта на резорбция на костите, показано от тези маркери, беше очевидно още един месец и на три до шест месеца достигна плато, което се поддържа за цялата продължителност на лечението с Fosamax. При проучванията за лечение на остеопороза Fosamax 10 mg/ден намалява маркерите на образуване на кост остеокалцин и костна алкална фосфатаза с приблизително 50% и обща серумна алкална фосфатаза с приблизително 25 до 30%, за да достигне дото място след 6 до 12 месеца. При проучванията за превенция на остеопорозата Fosamax 5 mg/ден намалява остеокалцин и общата серумна алкална фосфатаза с приблизително 40% и 15% съответно. Подобни намаления на скоростта на костния оборот са наблюдавани при жени след менопауза по време на едногодишни проучвания с веднъж седмичен Fosamax 70 mg за лечение на остеопороза и веднъж седмично Fosamax 35 mg за предотвратяване на остеопороза. Тези данни показват, че скоростта на костния оборот е достигнала нов стационарно състояние, въпреки прогресивното увеличение на общото количество алендронат, депозиран в костта.
В резултат на инхибиране на асимптоматичното намаляване на асимптоматичното резорбция на костната резорбция също се наблюдават след лечение с Fosamax. В дългосрочните проучвания намаленията от изходното ниво на серумния калций (приблизително 2%) и фосфат (приблизително 4 до 6%) са очевидни първия месец след започване на Fosamax 10 mg. Не се наблюдават допълнително намаляване на серумния калций за петгодишната продължителност на лечението; Серумният фосфат обаче се върна към нивата на преставане през три години до пет. Подобни намаления се наблюдават при Fosamax 5 mg/ден. В едногодишни проучвания с веднъж седмично Fosamax 35 и 70 mg подобни намаления са наблюдавани на 6 и 12 месеца. Намаляването на серумния фосфат може да отразява не само положителния костен минерален баланс поради Fosamax, но и намаляване на реабсорбцията на бъбречно фосфат.
Остеопороза при мъжете
Лечението на мъже с остеопороза с Fosamax 10 mg/ден в продължение на две години намалява екскрецията на урината на кръстосани N-телопептиди от колаген тип I с приблизително 60% и костно-специфична алкална фосфатаза с приблизително 40%. Подобни намаления са наблюдавани при едногодишно проучване при мъже с остеопороза, получаваща веднъж седмично Fosamax 70 mg.
Индуцирана от глюкокортикоид остеопороза
Устойчивата употреба на глюкокортикоиди обикновено се свързва с развитието на остеопороза и произтичащите от тях фрактури (особено гръбначните тазобедрени и ребрата). Той се среща както при мъжете, така и при жените от всички възрасти. Остеопорозата възниква в резултат на инхибирано образуване на кост и повишена резорбция на костите, което води до нетна загуба на кост. Алендронат намалява костната резорбция, без да инхибира директно образуването на кост.
В клиничните проучвания с продължителност до две години Fosamax 5 и 10 mg/ден намаляват кръстосаното свързване на N-телопептиди от колаген тип I (маркер за костна резорбция) с приблизително 60% и намалени бонаефични алкални фосфатази и обща серумна алкална фосфатаза (маркери на образуване на кости) с приблизително 15 до 30% и 8 до 18%. В резултат на инхибиране на костната резорбция Fosamax 5 и 10 mg/ден индуцира асимптоматично намаляване на серумния калций (приблизително 1 до 2%) и серумния фосфат (приблизително от 1 до 8%).
Болест на костите на Paget
Болестта на костите на Paget е хронично фокусно скелетно разстройство, характеризиращо се със значително повишено и нарушение на костите. Прекомерната остеокластична костна резорбция е последвана от остеобластична форма на кост, водеща до подмяна на нормалната костна архитектура чрез неорганизирана разширена и отслабена кост структура.
Клиничните прояви на болестта на Paget варират от никакви симптоми до тежка заболеваемост поради костна болка деформация на костите патологични фрактури и неврологични и други усложнения. Серумната алкална фосфатаза Най -често използваната биохимичен индекс на активността на заболяването осигурява обективна мярка за тежест на заболяването и отговор на терапията.
Fosamax decreases the rate of bone resилиption directly which leads to an indirect decrease in bone fилиmation. In clinical trials Fosamax 40 mg once daily fили six months produced significant decreases in serum alkaline phosphatase as well as in urinary markers of bone collagen degradation. As a result of the inhibition of bone resилиption Fosamax induced generally mild transient и asymptomatic decreases in serum calcium и phosphate.
Фармакокинетика
Абсорбция
В сравнение с интравенозна референтна доза средната орална бионаличност на алендронат при жени е 0,64% за дози, вариращи от 5 до 70 mg, когато се прилага след една нощ бързо и два часа преди стандартизирана закуска. Пероралната бионаличност на таблета от 10 mg при мъже (NULL,59%) е подобна на тази при жените, когато се прилага след една нощ бързо и 2 часа преди закуска.
Fosamax 70 mg илиal solution и Fosamax 70 mg tablet are equally bioavailable.
Проучване, изследващо ефекта от времето на хранене върху бионаличността на алендронат, е извършено при 49 жени след менопауза. Бионаличността е намалена (с приблизително 40%), когато 10 mg алендронат се прилага или 0,5 или 1 час преди стандартизирана закуска в сравнение с дозирането 2 часа преди хранене. При проучвания на лечението и профилактиката на остеопорозата алендронат е ефективен, когато се прилага най -малко 30 минути преди закуска.
Бионаличността беше незначителна дали алендронат се прилага с или до два часа след стандартизирана закуска. Съпътстващото приложение на алендронат с кафе или портокалов сок намалява бионаличността с приблизително 60%.
Разпределение
Предклиничните проучвания (при мъжки плъхове) показват, че алендронатът преходно се разпределя към меките тъкани след 1 mg/kg интравенозно приложение, но след това бързо се преразпределя към костта или се отделя в урината. Средният стационарен обем на разпределение, изключителен от костта, е най-малко 28 L при хора. Концентрациите на лекарството в плазмата след терапевтични перорални дози са твърде ниски (по -малко от 5 ng/ml) за аналитично откриване. Свързването на протеин в човешката плазма е приблизително 78%.
Метаболизъм
Няма доказателства, че алендронат се метаболизира при животни или хора.
Екскреция
След единична интравенозна доза от [14С] алендронат приблизително 50% от радиоактивността се отделя в урината в рамките на 72 часа и в изпражненията не се възстановява малко или никаква радиоактивност. След единична интравенозна доза 10 mg бъбречният клирънс на алендронат е 71 ml/min (64 78; 90% доверителен интервал [CI]) и системният клирънс не надвишава 200 ml/min. Плазмените концентрации паднаха с повече от 95% в рамките на 6 часа след интравенозно приложение. Смята се, че терминалният полуживот при хора надвишава 10 години, вероятно отразяващ освобождаването на алендронат от скелета. Въз основа на горното се изчислява, че след 10 години перорално лечение с Fosamax (10 mg дневно) количеството на алендронат, освободен всеки ден от скелета, е приблизително 25% от това, абсорбирано от стомашно -чревния тракт.
Специфични популации
Пол
Бионаличността и фракцията от интравенозна доза, екскретирана в урината, са сходни при мъжете и жените.
Странични ефекти на лизиноприл 5 mg
Гериатричен
Бионаличността и разположението (екскрецията на урината) са сходни при възрастни и по -млади пациенти. Не е необходимо корекция на дозата при пациенти в напреднала възраст.
Състезание
Фармакокинетичните разлики поради раса не са проучени.
Бъбречно увреждане
Предклиничните проучвания показват, че при плъхове с бъбречна недостатъчност увеличаването на количеството лекарство присъства в плазмения далак на бъбреците и пищяла. При лекарството за здрави контроли, което не се отлага в костта, бързо се отделя в урината. Не са открити доказателства за насищане на усвояването на костите след 3 седмици дозиране с кумулативни интравенозни дози от 35 mg/kg при млади мъжки плъхове. Въпреки че при пациентите не е проведено официално фармакокинетично проучване на бъбречно увреждане, както при животните елиминирането на алендронат чрез бъбреците ще бъде намалено при пациенти с нарушена бъбречна функция. Следователно може да се очаква малко по -голямо натрупване на алендронат в костта при пациенти с нарушена бъбречна функция.
Не е необходимо корекция на дозата за пациенти с креатинин клирънс от 35 до 60 ml/min.
Fosamax is not recommended fили patients with creatinine clearance less than 35 mL/min due to lack of experience with alendronate in renal failure.
Чернодробно увреждане
Тъй като има доказателства, че алендронат не се метаболизира или се отделя дори no studies were conducted in patients with hepatic impairment. No dosage adjustment is necessary.
Лекарствени взаимодействия
Показано е, че интравенозният ранитидин удвоява бионаличността на пероралния алендронат. Клиничната значимост на тази повишена бионаличност и дали подобни увеличения ще се наблюдават при пациенти, дадени перорални Н2-антагонисти, не е известно.
При здрави индивиди перорален преднизон (20 mg три пъти дневно в продължение на пет дни) не доведе до клинично значима промяна в оралната бионаличност на алендронат (средно увеличение от 20 до 44%).
Продуктите, съдържащи калций и други многовалентни катиони, вероятно ще пречат на абсорбцията на алендронат.
Токсикология на животните и/или фармакология
Относителната инхибиторна активност върху костната резорбция и минерализацията на алендронат и етидронат са сравнени в анализа на Schenk, който се основава на хистологично изследване на епифизите на растящите плъхове. В този анализ най-ниската доза алендронат, която пречи на минерализацията на костите (водеща до остеомалация), е 6000-кратна към антиресорбционната доза. Съответното съотношение за етидронат беше едно към едно. Тези данни предполагат, че алендронат, прилаган в терапевтични дози, е малко вероятно да индуцира остеомалация.
Клинични изследвания
Лечение на остеопороза при жени след менопауза
Ежедневно дозиране
Ефикасността на Fosamax 10 mg дневно се оценява в четири клинични проучвания. Проучване 1 Тригодишно многоцентрово двойно-сляпо плацебо-контролирано клинично проучване за включване на 478 пациенти с BMD T-SCORE при или под минус 2.5 със или без предишна фрактура на прешлените; Проучване 2 Тригодишно многоцентрово двойно плацебо-контролирано многонационално клинично проучване включва 516 пациенти с BMD T-резултат на или под минус 2.5 със или без предишна фрактура на прешлените; Проучване 3 Тригодишното проучване на изпитването за интервенция на счупване (FIT) Проучване, което записа 2027 пациенти след менопауза с поне една базова фрактура на прешлените; и проучване 4 Четиригодишното проучване на FIT: проучване, което записа 4432 пациенти след менопауза с ниска костна маса, но без базова фрактура на прешлените.
Ефект върху честотата на счупване
За да се оценят ефектите на Fosamax върху честотата на фрактурите на прешлените (открити чрез цифровизирана рентгенография; приблизително една трета от тях са клинично симптоматични) САЩ и мултинационалните изследвания са комбинирани в анализ, който сравнява плацебо с обединените дозирани групи от Fosamax (5 или 10 mg в продължение на три години или 20 mg за две години, последвани от 5 mg за една година). Има статистически значимо намаляване на дела на пациентите, лекувани с Fosamax, изпитващи една или повече нови фрактури на прешлените спрямо тези, лекувани с плацебо (NULL,2% срещу 6,2%; 48% намаление на относителното риск). Наблюдава се и намаляване на общия брой на новите фрактури на прешлените (4.2 срещу 11,3 на 100 пациенти). При обединените анализи пациентите, които са получили Fosamax, са имали загуба на ръст, която е статистически значително по -малка, отколкото е наблюдавана при тези, които са получили плацебо (-3,0 mm срещу -4,6 mm).
Изпитването за интервенция на счупване (FIT) се състои от две проучвания при жени след менопауза: тригодишното проучване на пациенти, които имат поне една базова рентгенографска фрактура на прешлените и четиригодишното проучване на пациенти с ниска костна маса, но без базова фрактура на прешлените. И в двете проучвания на FIT 96% от рандомизираните пациенти са завършили проучванията (т.е. са имали близко посещение в планирания край на проучването); Приблизително 80% от пациентите все още приемат лекарства за изследване след приключване.
Изпитване за интервенция на счупване: Three-Year Study (patients with at least one baseline radiographic vertebral fracture)
Това рандомизирано двойно-сляпо плацебо-контролирано изследване 2027-пациент (Fosamax n = 1022;
Таблица 6: Ефект на Fosamax върху честотата на счупване в тригодишното проучване на FIT (пациенти с фрактура на прешлените в началото)
| Процент от пациентите | ||||
| Fosamax (n = 1022) | Плацебо (n = 1005) | Абсолютно намаляване на честотата на счупване | Относително намаляване на риска от фрактура % | |
| Пациенти с: | ||||
| Фрактури на прешлените (диагностицирани чрез рентгенова снимка)* | ||||
| 7.9 | 15 | 7.1 | 47 † | |
| 0.5 | 4.9 | 4.4 | 90 † | |
| Клинични (симптоматични) фрактури | ||||
| 13.8 | 18.1 | 4.3 | 26 ‡ | |
| 2.3 | 5 | 2.7 | 54 § | |
| Фрактура на тазобедрената става | 1.1 | 2.2 | 1.1 | 51 ¶ |
| Фрактура на китката (предмишница) | 2.2 | 4.1 | 1.9 | 48 ¶ |
| *Номер, оценяващ се за фрактури на прешлените: Fosamax n = 984; плацебо n = 966 † p <0.001 ‡ P = 0,007 § p <0.01 ¶ p <0.05 |
Освен това при тази популация от пациенти с лечение на базови прешлени с фрактури с Fosamax значително намалява честотата на хоспитализациите (NULL,0% срещу 30,7%).
В тригодишното проучване на Fit фрактури на тазобедрената става при 22 (NULL,2%) от 1005 пациенти при плацебо и 11 (NULL,1%) от 1022 пациенти на Fosamax P = 0,047. Фигура 1 показва кумулативната честота на фрактурите на тазобедрената става в това проучване.
Фигура 1: Кумулативна честота на фрактури на тазобедрената става в тригодишното проучване на FIT (пациенти с рентгенографска фрактура на прешлените в началото)
|
Изпитване за интервенция на счупване: Four-Year Study (patients with low bone mass but without a baseline radiographic vertebral fracture)
Това рандомизирано двойно-сляпо плацебо-контролирано 4432-пациентско проучване (Fosamax n = 2214; плацебо n = 2218) допълнително изследва намаляването на честотата на счупване поради Fosamax. Намерението на изследването беше да се набират жени с остеопороза, дефинирани като базов BMD на бедрената кост поне две стандартни отклонения под средната стойност за младите възрастни жени. Въпреки това поради последващи ревизии на нормативните стойности за BMD на бедрената кост 31% от пациентите не отговарят на този критерий за влизане и по този начин това проучване включва както остеопоротични, така и нестеопоротични жени. Резултатите са показани в таблица 7 за пациентите с остеопороза.
Таблица 7: Ефект на Fosamax върху честотата на счупване при остеопоротични* пациенти в четиригодишното проучване на FIT (пациенти без фрактура на прешлените в началото)
| Процент от пациентите | ||||
| Fosamax (n = 1545) | Плацебо (n = 1521) | Абсолютно намаляване на честотата на счупване | Относително намаляване на риска от счупване (%) | |
| Пациенти с: | ||||
| Фрактури на прешлените (диагностицирани чрез рентгенова снимка) † | ||||
| 2.5 | 4.8 | 2.3 | 48 ‡ | |
| 0.1 | 0.6 | 0.5 | 78 § | |
| Клинични (симптоматични) фрактури | ||||
| 12.9 | 16.2 | 3.3 | 22 ¶ | |
| 1.0 | 1.6 | 0.6 | 41 (NS) # | |
| Фрактура на тазобедрената става | 1.0 | 1.4 | 0.4 | 29 (NS) # |
| Фрактура на китката (предмишница) | 3.9 | 3.8 | -0.1 | Ns # |
| *Основна бедрена шийка BMD поне 2 SD под средната стойност за младите възрастни жени † Номер, оценяващ се за фрактури на прешлените: Fosamax n = 1426; плацебо n = 1428 ‡ p <0.001 § P = 0,035 ¶ P = 0,01 # Не значим. Това проучване не се захранва за откриване на разлики в тези сайтове. |
Резултати от фрактури в проучвания
В тригодишното проучване на Fit Fosamax намалява процента на жените, които изпитват поне една нова рентгенографска фрактура на прешлените от 15,0% до 7,9% (47% относително намаляване на риска P <0.001); in the Four-Year Study of FIT the percentage was reduced from 3.8% to 2.1% (44% relative risk reduction p=0.001); и in the combined U.S./Multinational studies from 6.2% to 3.2% (48% relative risk reduction p=0.034).
Fosamax reduced the percentage of women experiencing multiple (two или mилиe) new vertebral fractures from 4.2% to 0.6% (87% relative risk reduction p <0.001) in the combined U.S./Multinational studies и from 4.9% to 0.5% (90% relative risk reduction p <0.001) in the Three-Year Study of FIT. In the Four-Year Study of FIT Fosamax reduced the percentage of osteopилиotic women experiencing multiple vertebral fractures from 0.6% to 0.1% (78% relative risk reduction P = 0,035).
По този начин Fosamax намалява честотата на рентгенографските фрактури на прешлените при остеопоротични жени, независимо дали те имат предишна рентгенографска фрактура на прешлените.
Ефект върху костна минерална плътност
Ефективността на костна минерална плътност на Fosamax 10 mg веднъж дневно при жени след менопауза на възраст от 44 до 84 години с остеопороза (лумбална кост на минералната плътност на гръбначния стълб [BMD] от поне 2 стандартни отклонения под средното средното ниво) е демонстрирана в четири двойно-блестящи плацебо-контролирани клинични проучвания на две години) е демонстрирана в четири двойно-блестящи плацебо-контролирани клинични проучвания на две или три години.
Фигура 2 показва средното увеличение на BMD на шийката на бедрената кост на лумбалния гръбнак и трохантера при пациенти, получаващи Fosamax 10 mg/ден спрямо пациентите, третирани с плацебо на три години за всяко от тези проучвания.
Фигура 2: Проучвания за лечение на остеопороза при жени след менопауза Увеличаване на BMD Fosamax 10 mg/ден на три години
|
На три години значително увеличение на BMD роднина както на изходното ниво, така и на плацебо, на всяко място за измерване при всяко проучване при пациенти, които са получили Fosamax 10 mg/ден. Общият BMD на тялото също се увеличава значително във всяко проучване, което предполага, че увеличаването на костната маса на гръбначния стълб и тазобедрената става не се наблюдава за сметка на други скелетни места. Увеличаването на BMD беше очевидно още три месеца и продължи през трите години на лечение. (Вижте Фигура 3 за резултатите от лумбалния гръбначен стълб.) В двуеталното удължаване на тези проучвания лечението на 147 пациенти с Fosamax 10 mg/ден доведе до продължително увеличение на BMD при лумбалния гръбначен стълб и трохантера (абсолютно допълнително увеличение между 3 и 5 години: лумбален гръбначен стълб 0,94%; трохантер 0,88%). Поддържа се BMD в предмишницата на бедрената кост и общото тяло. Fosamax беше подобно ефективен, независимо от базовата линия на възрастовата раса на костния оборот и базовата BMD в изследвания диапазон (най -малко 2 стандартни отклонения под средната стойност на предменопаузата).
Фигура 3: Проучвания за лечение на остеопороза при жени след менопауза Време за време на ефекти на Fosamax 10 mg/ден срещу плацебо: Лумбален гръбначен стълб BMD Процент промяна от изходното ниво
|
При пациенти с постменопаузална остеопороза, лекувани с Fosamax 10 mg/ден в продължение на една или две години, ефектите от оттеглянето на лечението са оценени. След прекратяването на костната маса няма по -нататъшни увеличения и скоростта на загуба на кост бяха подобни на тези на плацебо групите.
Костна хистология
Костна хистология при 270 пациенти след менопауза с остеопороза, лекувани с Fosamax при дози, вариращи от 1 до 20 mg/ден за една две или три години, разкриха нормална минерализация и структура, както и очакваното намаляване на костния оборот спрямо плацебо. Тези данни заедно с нормалната костна хистология и повишената сила на костите, наблюдавани при плъхове и бабуини, изложени на дългосрочно лечение с алендронат, подкрепят заключението, че костта, образувана по време на терапия с Fosamax, е с нормално качество.
Ефект върху височината
Fosamax over a three- или four-year period was associated with statistically significant reductions in loss of height vs. placebo in patients with и without baseline radiographic vertebral fractures. At the end of the FIT studies the between-treatment group differences were 3.2 mm in the Three-Year Study и 1.3 mm in the Four-Year Study.
Седмично дозиране
Терапевтичната еквивалентност на веднъж седмично Fosamax 70 mg (n = 519) и Fosamax 10 mg дневно (n = 370) е демонстрирана при едногодишно двойно-сляпо многоцентрово изследване на жени след менопауза с остеопороза. В първичния анализ на завършващите средното увеличение от изходното ниво в лумбалния гръбначен стълб BMD за една година е 5,1% (NULL,8 5,4%; 95% CI) в групата на 70 mg някога седмично (n = 440) и 5,4% (NULL,0 5,8%; 95% CI) в 10-mg дневна група (n = 330). Двете лечебни групи също бяха подобни по отношение на увеличението на BMD на други скелетни места. Резултатите от анализа на намерението за лечение са в съответствие с първичния анализ на завършващите.
Едновременна употреба с заместителна терапия с естроген/хормони (HRT)
Ефектите върху BMD на лечение с Fosamax 10 mg веднъж дневно и конюгиран естроген (NULL,625 mg/ден) са самостоятелни или в комбинация, се оценяват в двугодишно двойно сляпо плацебоконтролирано проучване на хистеректомизирани постменопаузални остеопоротични жени (n = 425). На две години увеличението на лумбалния гръбначен стълб BMD от изходната стойност е значително по -голямо с комбинацията (NULL,3%), отколкото само с естроген или Fosamax (и двете 6,0%).
Ефектите върху BMD, когато Fosamax се добавя към стабилни дози (поне една година) на HRT (естроген ± прогестин), се оценяват при едногодишно двойно сляпо плацебо-контролирано проучване при постменопаузални остеопоротични жени (n = 428). Добавянето на Fosamax 10 mg веднъж дневно към HRT, произвеждано на една година значително по -голямо увеличение на лумбалния BMD на гръбначния стълб (NULL,7%) спрямо HRT (NULL,1%).
В тези проучвания значителни увеличения или благоприятни тенденции в BMD за комбинирана терапия в сравнение само с HRT са наблюдавани при общия ший на бедрената кост и трохантера. Не се наблюдава значителен ефект за общия BMD на тялото.
Хистоморфометричните изследвания на трансилиални биопсии при 92 лица показват нормална кост на костите.
В сравнение с плацебо има 98% потискане на костния оборот (както се оценява чрез минерализираща повърхност) след 18 месеца комбинирано лечение с Fosamax и HRT 94% само върху Fosamax и 78% само на HRT. Дългосрочните ефекти на комбинирания Fosamax и HRT върху появата на счупване и заздравяването на счупване не са проучени.
Превенция на остеопороза при жени след менопауза
Ежедневно дозиране
Предотвратяването на костна загуба е демонстрирана в две двойно-слепи плацебо-контролирани проучвания на жени след менопауза на възраст 40-60 години. Хиляда шестстотин девет пациенти (Fosamax 5 mg/ден; n = 498), които са били поне шест месеца след менопауза, са били вписани в двугодишно проучване, без да се вземат предвид основната им BMD. В другото проучване 447 пациенти (Fosamax 5 mg/ден; n = 88), които са били между шест месеца и три години след менопаузата, са лекувани до три години. При лекуваните с плацебо пациенти загубите на BMD от приблизително 1% годишно са наблюдавани в тазобедрената става (шийката на бедрената кост и трохантера) и общото тяло. За разлика от това Fosamax 5 mg/ден предотвратява загубата на кост при по -голямата част от пациентите и предизвиква значително увеличение на средната кост на кост на всяко от тези места (виж фигура 4). В допълнение Fosamax 5 mg/ден намалява скоростта на загуба на кост в предмишницата с приблизително половината от плацебо. Fosamax 5 mg/ден беше подобно ефективен при тази популация, независимо от възрастовото време след състезанието на менопаузата и базовия процент на костния оборот.
Фигура 4: Проучвания за лечение на остеопороза при жени след менопауза
|
Костна хистология
Костната хистология е нормална при 28 пациенти, биопсирани в края на три години, които са получили Fosamax при дози до 10 mg/ден.
Седмично дозиране
Терапевтичната еквивалентност на веднъж седмично Fosamax 35 mg (n = 362) и Fosamax 5 mg дневно (n = 361) е демонстрирана при едногодишно двойно сляпо многоцентрово проучване на жени след менопауза без остеопороза. В първичния анализ на завършващите средното увеличение от изходното ниво на лумбалния гръбначен стълб BMD за една година е 2,9% (NULL,6 3,2%; 95% CI) в групата на 35 mg веднъж седмично (n = 307) и 3,2% (NULL,9 3,5%; 95% CI) в 5-mg дневна група (n = 298). Двете лечебни групи също бяха подобни по отношение на увеличението на BMD на други скелетни места. Резултатите от анализа на намерението за лечение са в съответствие с първичния анализ на завършващите.
Лечение за увеличаване на костната маса при мъже с остеопороза
Ефикасността на Fosamax при мъже с хипогонадна или идиопатична остеопороза е демонстрирана в две клинични проучвания.
Ежедневно дозиране
Двугодишно двойно-сляпо плацебо-контролирано многоцентрово проучване на Fosamax 10 mg веднъж дневно записват общо 241 мъже на възраст между 31 и 87 години (средно 63). Всички пациенти в проучването са имали или BMD T -резултат по -малък или равен на -2 на шийката на бедрената кост и по -малко или равна на -1 на лумбалния гръбначен стълб или базовата остеопоротична фрактура и BMD T -Score по -малък или равен на -1 при шийката на бедрената кост. На две години средните увеличения спрямо плацебо при BMD при мъже, получаващи Fosamax 10 mg/ден, са значителни на следните места: лумбален гръбначен стълб 5,3%; бедрена шия 2,6%; Trochanter 3,1%; и общото тяло 1,6%. Лечението с Fosamax също намалява загубата на височина (Fosamax -0,6 mm срещу плацебо -2,4 mm).
Седмично дозиране
Едногодишно двойно сляпо плацебо-контролирано многоцентрово проучване на веднъж седмично Fosamax 70 mg записа общо 167 мъже на възраст между 38 и 91 години (средно 66). Пациентите в проучването са имали или BMD T -резултат, по -малък или равен на -2 на шийката на бедрената кост и по -малко или равен на -1 на лумбалния гръбначен стълб или BMD T -резултат, по -малък или равен на -2 на лумбалния гръбначен стълб и по -малък или равен на -1 при бедрената шия или основна остеопоротична фрактура и BMD T -Score, по -малко, отколкото по -малко от Fereoporotic и по -малко на Fermorol и равен на -1 в шийката на бедрената или основната остеопоротична фрактура и BMD T -Score по -малко, отколкото на равен на -1 ат фрактура и равен на BMD T -Score по -малко, отколкото на равен до -1 ат фрактура и BMD T -Score, по -малко, отколкото по -малко от фрактурата и по -малко от Fereoporotic Fracture. На една година средните увеличения спрямо плацебо при BMD при мъже, получаващи Fosamax 70 mg веднъж седмично, бяха значителни на следните места: лумбален гръбначен стълб 2,8%; бедрена шия 1,9%; Trochanter 2.0%; и общото тяло 1,2%. Тези увеличения на BMD бяха подобни на тези, наблюдавани на една година в 10 mg OnceDaily.
И в двете проучвания BMD отговорите са сходни, независимо от възрастта (по -голяма или равна на 65 години срещу по -малко от 65 години) функция на гонадала (базов тестостерон под 9 ng/dl срещу по -голям или равен на 9 ng/dl) или базов BMD (бедрена шия и лумбален гръбнак t -score, по -малко от или равен на -2.5 срещу по -голям от -2.5).
Лечение на индуцирана от глюкокортикоид остеопороза
Ефикасността на Fosamax 5 и 10 mg веднъж дневно при мъже и жени, получаващи глюкокортикоиди (поне 7,5 mg/ден преднизон или еквивалент), е демонстрирана в две едногодишни двойно-слепи рандомизирани плацебо-контролирани мултицентрови проучвания на практически идентични дизайн, извършени в Съединените щати, и другите в 15 различни страни (мултинационални [които също включват Fosamax 2.5 MG/Day). Тези проучвания записаха съответно 232 и 328 пациенти на възраст между 17 и 83 години с различни заболявания, изискващи глюкокортикоиди. Пациентите са получавали допълнителен калций и витамин D. Фигура 5 показва средните увеличения спрямо плацебо при BMD на шийката на бедрената кост и трохантера на лумбалния гръбнак при пациенти, получаващи Fosamax 5 mg/ден за всяко проучване.
Фигура 5: Проучвания при глюкокортикоиди - лекувани пациенти се увеличават на BMD Fosamax 5 mg/ден за една година
|
След една година значителни увеличения спрямо плацебо при BMD се наблюдават в комбинираните проучвания на всяко от тези места при пациенти, които са получили Fosamax 5 mg/ден. При пациенти, лекувани с плацебо, значително намаляване на BMD се наблюдава при шийката на бедрената кост (-1,2%) и се наблюдават по-малки понижения при лумбалния гръбначен стълб и трохантер. Общото тяло BMD се поддържа с Fosamax 5 mg/ден. Увеличаването на BMD с Fosamax 10 mg/ден е подобно на тези с Fosamax 5 mg/ден при всички пациенти, с изключение на жени след менопауза, които не получават естрогенна терапия. При тези жени увеличенията (по отношение на плацебо) с Fosamax 10 mg/ден са по -големи от тези с Fosamax 5 mg/ден на лумбалния гръбначен стълб (NULL,1% срещу 1,6%) и трохантер (NULL,8% срещу 1,7%), но не на други места. Fosamax е ефективен, независимо от дозата или продължителността на употребата на глюкокортикоиди. В допълнение Fosamax е също така ефективен, независимо от възрастта (по -малка от 65 спрямо по -голяма или равна на 65 години) раса (кавказки срещу други раси) пола, залегнала в основата на базовата кост на BMD BMD, и употребата на различни често срещани лекарства.
Костната хистология е нормална при 49 пациенти, биопсирани в края на една година, които са получили Fosamax при дози до 10 mg/ден.
От първоначалните 560 пациенти в тези проучвания 208 пациенти, останали на поне 7,5 mg/ден преднизон или еквивалент, продължават в едногодишно двойно-сляпо удължаване. След две години лечение на гръбначния стълб BMD се увеличава с 3,7% и 5,0% спрямо плацебо съответно с Fosamax 5 и 10 mg/ден. Значително увеличение на BMD (спрямо плацебо) също се наблюдават при трохантера на бедрената кост и общото тяло.
След една година 2,3% от пациентите, лекувани с Fosamax 5 или 10 mg/ден (обединени) спрямо 3,7% от тези, лекувани с плацебо, са имали нова фрактура на прешлените (не значими). Въпреки това при популацията, изследвана в продължение на две години лечение с Fosamax (обединени дозирани групи: 5 или 10 mg за две години или 2,5 mg за една година, последвано от 10 mg за една година) значително намалява честотата на пациентите с нова фрактура на прешлените (Fosamax 0,7% срещу плацебо 6,8%).
Лечение на болестта на костите на Paget
Ефикасността на Fosamax 40 mg веднъж дневно в продължение на шест месеца е демонстрирана при две двойно-слепи клинични проучвания на пациенти от мъже и жени с умерена до тежка болест на Paget (алкална фосфатаза поне два пъти по-голяма от горната граница на нормалното): плацебо-контролирано мултинационално проучване и сравнително проучване в САЩ с етидронатно дезодий 400 mg/ден. Фигура 6 показва средните процентни промени от изходното ниво в серумната алкална фосфатаза за до шест месеца рандомизирано лечение.
Фигура 6: Проучвания при болестта на Paget от костния ефект върху серумната алкална фосфатаза на Fosamax 40 mg/ден срещу плацебо или етидронат 400 mg/ден
|
На шест месеца потискането на алкална фосфатаза при пациенти, лекувани с Fosamax, е значително по-голямо от тази, постигната с етидронат и контрастира с пълната липса на реакция при пациенти, лекувани с плацебо. Отговорът (дефиниран като нормализиране на серумната алкална фосфатаза, или намаляване от изходното ниво, по -голямо или равно на 60%) се наблюдава при приблизително 85% от пациентите, лекувани с Fosamax в комбинираните проучвания срещу 30% в етидронатната група и 0% в плацебо групата. Fosamax беше също така ефективен, независимо от възрастовата раса за пол преди използването на други бисфосфонати или базовата алкална фосфатаза в рамките на изследвания диапазон (поне два пъти горната граница на нормалната граница).
Костната хистология е оценена при 33 пациенти с болест на Paget, лекувани с Fosamax 40 mg/ден в продължение на 6 месеца. Както при пациенти, лекувани за остеопороза [виж Лечение на остеопороза при жени след менопауза ] Fosamax не нарушава минерализацията и се наблюдава очакваното намаляване на скоростта на костния оборот. Нормалната ламеларна кост се получава по време на лечение с Fosamax дори там, където съществуващата кост е изтъкана и неорганизирана. Общите данни за костна хистология подкрепят заключението, че костта, образувана по време на лечение с Fosamax, е с нормално качество.
Информация за пациента за Fosamax
Не е предоставена информация. Моля, вижте Предупреждения и предпазни мерки раздел.