Информацията В Сайта Не Е Медицински Съвет. Ние Не Продаваме Нищо. Точността На Превода Не Е Гарантирана. Отказ От Отговорност



Хепарин

Резюме на наркотиците

Какво е хепарин?

Хепаринът (инжекционен натриев хепарин) е хетерогенна група от анионни мукополизахариди с права верига, наречена гликозаминогликани, които имат антикоагулантни свойства, използвани за подпомагане на образуването на съсиреци (например сътрудници на белодробните емпелизми на тромбозата). Хепаринът е достъпен като генеричен Хепарин и под други родови имена на марката.

Какви са страничните ефекти на хепарина?

Общите странични ефекти на хепарин са:



  • Лесно кървене и синини;
  • Зачервяване на болката Топлища дразнене или промени в кожата, когато лекарството е било инжектирано;
  • сърбеж на краката ви; или
  • Синкаво цвят кожа.

Хепарин



  • топлота на кожата или обезцветяване
  • Болки в гърдите
  • нередовни сърдечни удари
  • задух
  • замаяност
  • безпокойство
  • изпотяване
  • необичайно кървене или синини
  • силна болка или подуване в стомаха в долната част на гърба или отглеждането
  • Тъмна или синя цветна кожа на ръцете или краката ви
  • гадене
  • повръщане
  • загуба на апетит
  • необичайна умора
  • кървене, което няма да спре
  • кръвотечение от носа
  • кръв в урината или изпражнения
  • Черни или тари столове
  • Кашлица на кръв или повръщане, което прилича на кафе
  • Промените на кожата, където са инжектирани лекарствата
  • треска
  • втрисане
  • течен нос
  • воднисти очи
  • Лесно синини
  • лилави или червени петна под кожата ви
  • Внезапна изтръпване или слабост
  • Проблеми с зрението или речта
  • подуване или зачервяване в ръка или крак
  • Тромбоцитопения
  • индуцирана от хепарин тромбоцитопения (хит)
  • индуцирана от хепарин тромбоцитопения и тромбоза (HITT)

Получете медицинска помощ веднага, ако имате изброени по -горе симптоми.

Потърсете медицинска помощ или се обадете на 911 наведнъж, ако имате следните сериозни странични ефекти:



  • Сериозни симптоми на очите, като например внезапна загуба на зрение, замъглено зрение Тунел Виждане болка в очите или подуване или виждане на ореоли около светлините;
  • Сериозни сърдечни симптоми като бързи нередовни или ударни сърдечни удари; трептене в гърдите ви; задух; и внезапна замаяност лекомисленост или раздаване;
  • Тежка главоболие объркване затънала речева ръка или крак слабост проблем за ходене на загуба на координация, чувствайки се нестабилни много твърди мускули висока треска обилно изпотяване или тремор.

Този документ не съдържа всички възможни странични ефекти, а други могат да възникнат. Консултирайте се с вашия лекар за допълнителна информация за страничните ефекти.

Дозировка за хепарин

  • Хепаринът се предлага във флакони със силни страни от 1000 5000 10000 и 20000 единици на ml.
  • Дозата зависи от коагулация проблем; Много първоначални дози започват с 5000 единици IV, но това може да се промени в зависимост от проблема; Налични са насоки за дозировки.
  • Ако бензиловият алкохол е посочен като консервант за подготовката на хепарин, не се използва при новородени и бебета или кърмещи майки.
  • Ако при педиатрични пациенти се използват препарати без бензилов алкохол, първоначалната доза обикновено е 50 единици на kg, но трябва да се консултира педиатричен специалист.

Какви лекарства вещества или добавки взаимодействат с хепарин?

Хепаринът може да взаимодейства с Аспирин или други НСПВС (нестероидни противовъзпалителни лекарства) други разредители на кръвта Дигоксин дипиридамол хидроксихлорохин индометацин никотин (цигари дъвка таблетка или кожни петна) нитроглицеринови антибиотици и студени алергии или лекарства за сън. Кажете на Вашия лекар всички лекарства и добавки, които използвате.

Хепарин по време на бременност и кърмене

Кажете на Вашия лекар, ако сте бременна или планирате да забременеете, докато използвате хепарин. Не е известно дали хепаринът ще навреди на плода. Консултирайте се с Вашия лекар преди кърмене.

Допълнителна информация

Нашият център за лекарства за странични ефекти на хепарин предоставя изчерпателен поглед върху наличната информация за лекарството върху потенциалните странични ефекти при приемането на това лекарство.

Информация за наркотиците на FDA

Описание за хепарин

Инжектирането на натриев хепарин USP е стерилен непирогенен разтвор на хепарин натрий (получен от свински чревна лигавица) във вода за инжектиране. Всеки контейнер съдържа 10000 12500 20000 или 25000 USP хепаринови единици; 40 или 80 mg натриев хлорид, добавен за рендер изотоничен (виж Колко се доставя раздел за различни размери и сила). Може да съдържа натриев хидроксид и/или солна киселина за регулиране на рН. pH 6.0 (5.0 до 7.5).

Разтворът не съдържа бактериостат антимикробен агент или добавен буфер и е предназначен за използване само като инжекция с една доза. Когато са необходими по -малки дози, неизползваната част трябва да бъде изхвърлена.

Хепарин натрий в системата Add -Vantage ™ е предназначен за интравенозно приложение само след разреждане.

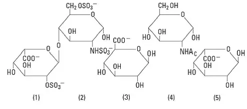
Хепаринът натриев USP е хетерогенна група от анионни мукополизахариди с права верига, наречена гликозамино-гликани, които имат антикоагулантни свойства. Although others may be present the main sugars occurring in heparin are: (1) α- L-iduronic acid 2-sulfate (2) 2-deoxy-2-sulfamino-α-D-glucose-6-sulfate (3) β-D-glucuronic acid (4) 2-acetamido-2-deoxy-α-D-glucose and (5) α-L-iduronic acid. Тези захари присъстват в намаляващи количества обикновено в реда (2)> (1)> (4)> (3)> (5) и се съединяват с гликозидни връзки, образуващи полимери с различни размери. Хепаринът е силно кисел поради съдържанието си от ковалентно свързани групи сулфат и карбоксилна киселина. При хепарин натрий киселите протони на сулфатните единици частично се заменят с натриеви йони. Потенциалността се определя чрез биологичен анализ, използвайки USP референтен стандарт, базиран на единици от хепаринова активност на милиграм.

Структура на хепарин натрий (представителни субединици):

Използване за хепарин

Хепарин натрий е показан за:

  • Профилактика и лечение на венозна тромбоемболия и белодробна емболия;
  • Предсърдно мъждене с емболизация;
  • Лечение на остри и хронични консумативни коагулопатии (дисеминирана интраваскуларна коагулация);
  • Предотвратяване на съсирване в артериална и сърдечна хирургия;
  • Профилактика и лечение на периферна артериална емболия;
  • Употреба на антикоагуланти при кръвопреливане екстракорпорална циркулация и диализни процедури.

Дозировка за хепарин

Подготовка за администрация

Потвърдете избора на правилната формулировка и сила преди прилагането на лекарството.

Инструкции за използване за чантата FreeFlex®

Оставете чантата в преуморяването до времето на употреба.

Intact port cap предоставя доказателства за визуални подправяне. Не използвайте, ако капачката на порта е преждевременно отстранена.

Поддържайте строга асептична техника по време на работа.

Да се ​​отвори
  1. Винаги проверявайте торбата преди и след отстраняването от преуморяването.
  2. Поставете торбата върху чиста плоска повърхност. Започвайки в долния ъгъл, обелете надвишаването отворено и извадете чантата.
  3. Проверете чантата за течове, като се притиснете здраво. Ако се намерят течове, изхвърлете чантата.
  4. Не използвайте, ако разтворът е облачен или присъства утайка.
За да се подготви за администрация
  1. Непосредствено преди свързването на инфузията набор здраво схванете капачката на Blue Infusion Port със стрелката, насочена далеч от торбата между показалеца и палеца. Нежно откъснете капачката на порта. Мембраната на инфузионния отвор е стерилна и дезинфекция преди първоначалната употреба не е необходима, ако се следва правилната техника на асептична обработка.
  2. Използвайте без предвестен инфузион или затворете входа на въздуха върху вентилиран комплект. Синият инфузионен порт е съвместим с Spike Systems, произведени съгласно ISO 8536-4 с външен диаметър на шипа от 5,5 до 5,7 mm.
  3. Затворете ролковата скоба на инфузионния комплект.
  4. Задръжте основата на синия инфузионен порт и поставете шипа, като завъртите леко китката си, докато шипът не бъде напълно поставен.
  5. Портната мембрана съдържа самонасилна септума, която помага да се предотврати изтичането след отстраняване на шипа. Инфузионният порт не е предназначен да бъде напръскан повече от веднъж.
  6. Закачете от дупката в горната част на чантата.
  7. Само за единична употреба. Изхвърлете неизползваната част.

Не примесвайте с други лекарства.

Не използвайте гъвкав контейнер в серийни връзки.

Парентералните лекарствени продукти трябва да се проверяват визуално за прахови частици и обезцветяване преди прилагането, когато разтворът и контейнерът разреши.

Лабораторен мониторинг за ефикасност и безопасност

Регулирайте дозата на натрий на хепарин според резултатите от теста за коагулация на пациента. Когато хепаринът се дава чрез непрекъсната интравенозна инфузия, определете времето за коагулация приблизително на всеки 4 часа в ранните етапи на лечението. Когато лекарството се прилага периодично чрез интравенозна инжекция, извършват тестове за коагулация преди всяка инжекция по време на ранните етапи на лечението и на подходящи интервали след това. Дозировката се счита за адекватна, когато активираното частично време на тромбопластин (APTT) е 1,5 до 2 пъти по -голямо от нормалното или когато времето за съсирване на цялата кръв е повишено приблизително 2,5 до 3 пъти по -голяма от контролната стойност.

По време на целия курс на хепариновата терапия се препоръчват периодични броя на тромбоцитите хематокрити и тестове за окултна кръв в изпражненията.

Терапевтичен антикоагулантният ефект с хепарин с пълна доза

Препоръките за дозиране в таблица 1 се основават на клиничен опит. Въпреки че дозировката трябва да се коригира за отделния пациент според резултатите от подходящи лабораторни тестове, следните схеми на дозата могат да бъдат използвани като насоки:

Таблица 1: Препоръчани режими на хепарин за възрастни за терапевтичен антикоагулант

Метод на администриране Честота Препоръчителна доза*
Периодично Първоначална доза 10000 единици
Интравенозна инжекция
На всеки 4 до 6 часа 5000 до 10000 единици
Непрекъсната интравенозна инфузия Първоначална доза 5000 единици чрез интравенозна инжекция
Непрекъснато 20000 до 40000 единици за 24 часа
* Въз основа на 150 фунта (68 кг) пациент.

Педиатрична употреба

Няма адекватни и добре контролирани проучвания за употребата на хепарин при педиатрични пациенти. Препоръките за педиатрична доза се основават на клиничен опит.

Като цяло следният график на дозата може да се използва като насока при педиатрични пациенти:

Първоначална доза: 75 до 100 единици/kg (интравенозен болус за 10 минути)

Кърмачета за поддържане: 25 до 30 единици/кг/час; Бебета <2 months have the highest requirements (average 28 units/kg/hour) Children> 1 година на възраст: 18 до 20 единици/кг/час; По-големите деца може да изискват по-малко хепарин, подобен на дозата за възрастни, коригирани с тегло

Мониторинг: Регулирайте хепарин, за да поддържате APTT от 60 до 85 секунди, като се приеме, че това отразява антифакторна XA ниво от 0,35 до 0,70.

Сърдечно -съдова хирургия

Пациентите, подложени на обща перфузия на тялото за операция на открито сърце, трябва да получат първоначална доза не по-малко от 150 единици хепарин натрий на килограм телесно тегло. Често се използва доза от 300 единици на килограм за процедури, изчислени на по -малко от 60 минути или 400 единици на килограм, за тези, които се изчисляват, че продължават повече от 60 минути.

Преобразуване във варфарин

За да се осигури непрекъсната антикоагулация при конвертиране от хепарин натрий в варфарин, продължете пълната терапия с хепарин в продължение на няколко дни, докато INR (протромбиновото време) достигне стабилен терапевтичен диапазон. След това терапията с хепарин може да бъде прекратена без намаляване [виж Лекарствени взаимодействия ].

Преобразуване в орални антикоагуланти, различни от варфарин

За пациенти, които понастоящем получават интравенозно хепарин спира интравенозна инфузия на хепарин натрий веднага след прилагане на първата доза перорален антикоагулант; или за периодично интравенозно приложение на хепарин натриев старт перорален антикоагулант от 0 до 2 часа преди времето, когато е била приложена следващата доза хепарин.

Екстракорпорална диализа

Следвайте внимателно работата на производителя на оборудването. Предлага се доза от 25 до 30 единици/kg, последвана от скорост на инфузия от 1500 до 2000 единици/час въз основа на фармакодинамични данни, ако не са налични конкретни препоръки на производителите.

Колко се доставя

Дозирани форми и силни страни

Наличен е натрий на хепарин в 0,45% инжектиране на натриев хлорид като
  • Инжектиране: 50 USP единици на ml в 0,45% разтвор на натриев хлорид (25000 USP единици на 500 ml) в еднодоза FreeFlex® торбичка
  • Инжектиране: 100 USP единици на ml в 0,45% разтвор на натриев хлорид (25000 USP единици на 250 ml) в торбичка с една доза FreeFlex®
Натрий на натрий с хепарин в 5% декстроза инжектиране е достъпно като
  • Инжектиране: 50 USP единици на ml в 5% декстроза прозрачен разтвор (25000 USP единици на 500 ml) в еднодочна FreeFlex® торбичка
  • Инжектиране: 100 USP единици на ml в 5% декстроза прозрачен разтвор (25000 USP единици на 250 ml) в еднодоза FreeFlex® торбичка

Съхранение и обработка

Хепарин натрий в инжектиране на натриев хлорид 0,45% се доставя по следния начин:

Код на продукта Единица за продажба Сила Всеки
518077 NDC 63323-518-77 Единица от 24 25000 USP единици на 500 ml (50 USP единици на ml) NDC 63323-518-01 500 мл чанта с единична доза Freeflex®
517074 NDC 63323-517-74 Единица от 24 25000 USP единици на 250 ml (100 USP единици на ml) NDC 63323-517-01 250 мл чанта с единична доза Freeflex®

Хепарин натрий в 5% декстроза инжекция се доставя по следния начин:

Код на продукта Единица за продажба Сила Всеки
507277 NDC 63323-522-77 Единица от 24 25000 USP единици на 500 ml (50 USP единици на ml) NDC 63323-522-01 500 мл чанта с една доза FreeFlex®
507374 NDC 63323-523-74 Единица от 24 25000 USP единици на 250 ml (100 USP единици на ml) NDC 63323-523-01 250 мл чанта с единична доза Freeflex®

Съхранявайте при 20 ° до 25 ° C (68 ° до 77 ° F) [виж USP контролирана стайна температура ]. Avoid excessive heat.

Не замръзвайте.

Затварянето на контейнера не е направено с естествен каучуков латекс.

Не-PVC не-дехп стерилен.

За какво е l-lysine за

Произведено за: Произведено в Норвегия www.fresenius-kabi.com/us 451475c. Ревизиран: Дек 2019

Странични ефекти for Heparin

Следните сериозни нежелани реакции са описани другаде в етикетирането:

  • Кръвоизлив [виж Предупреждения и предпазни мерки ]
  • Индуцирана от хепарин тромбоцитопения (HIT) и индуцирана от хепарин тромбоцитопения и тромбоза (HITT) [виж Предупреждения и предпазни мерки ]
  • Тромбоцитопения [see Предупреждения и предпазни мерки ]
  • Хепаринова резистентност [виж Предупреждения и предпазни мерки ]
  • Свръхчувствителност [виж Предупреждения и предпазни мерки ]

Опит за постмаркетиране

Следните нежелани реакции са идентифицирани по време на употребата на хепарин натрий след одобрение. Тъй като тези реакции се отчитат доброволно от популация с несигурен размер, не винаги е възможно надеждно да се оцени тяхната честота.

  • Кръвоизлив - Кръвоизливът е основното усложнение, което може да бъде резултат от хепаринова терапия [виж Предупреждения и предпазни мерки ]. Gastrointestinal or urinary tract bleeding during anticoagulant therapy may indicate the presence of an underlying occult lesion. Bleeding can occur at any site but certain specific hemorrhagic complications may be difficult to detect:
    • Възраждания кръвоизлив с резултат на остра надбъбречна недостатъчност е възникнала при терапия с хепарин, включително фатални случаи.
    • Овариални (корпус лутей) кръвоизлив, разработен при редица жени в репродуктивна възраст, получаващи краткосрочна или дългосрочна антикоагулантна терапия.
    • Ретроперитонеален кръвоизлив.
  • Hit and Hitt, включително случаи на забавено начало [виж Предупреждения и предпазни мерки ].
  • Свръхчувствителност - Съобщава се за генерализирани реакции на свръхчувствителност при втрисане на треска и уртикария като най -обичайните прояви и астма ринит лакримационно гадене и повръщане и анафилактоидни реакции, включително шок, възникващ по -рядко. Може да се случи сърбеж и изгаряне, особено от плантарната страна на краката [виж Предупреждения и предпазни мерки ].
  • Възвишения на серумните аминотрансферази - Нивата на значителни повишения на нивата на аспартат аминотрансфераза (AST) и аланин аминотрансфераза (ALT) са настъпили при пациенти, които са получили хепарин.
  • Други - Остеопороза след дългосрочно приложение на високи дози на кожна некроза на хепарин след системно приложение потискане на синтеза на алдостерон забави преходна алопеция приапизъм и отскок хиперлипемия при прекратяване на хепарин натрий.

Лекарствени взаимодействия for Heparin

Орални антикоагуланти

Хепаринът натрий може да удължи едноетапното протромбиново време. Следователно, когато се дава натрий с хепарин с дикумарол или варфарин натрий, период от най -малко 5 часа след последната интравенозна доза или 24 часа след последната подкожна доза трябва да изтече, преди да се изтече кръв, ако се получи валидно време на протромбин.

Тромбоцитни инхибитори

Лекарства като НСПВС (включително салицилова киселина ибупрофен индометацин и целекоксиб) декстран фенилбутазон тиенопиридини дипиридамол хидроксихлорохин гликопротеин IIB/IIIa антагонисти (включително абагонисти на абиксимаб eptifibatide iib/iiia (включително abciximab eptififibatide iib/iiia antagonists (включително abciximab eptifibatide и tirofiban) от защитата на тирофибан) (включително антагонисти на абиксимаб eptifibatad на хепаринизирани пациенти) могат да предизвикат кървене и трябва да се използват с повишено внимание при пациенти, получаващи хепарин натрий. За да се намали рискът от кървене, се препоръчва намаляване на дозата на антитромболиковия агент или хепарин.

Други взаимодействия

Дигиталис тетрациклините никотинните антихистамини или интравенозните нитроглицерин могат частично да противодействат на антикоагулантното действие на хепарин натрий.

Хепарин натрий в 5% декстроза инжекция

Интравенозният нитроглицерин, прилаган на хепаринизирани пациенти, може да доведе до намаляване на частичното време на тромбопластин с последващ ефект на отскок при прекратяване на нитроглицерина. По време на съвместното приложение на хепарин и интравенозен нитроглицерин се препоръчва внимателно наблюдение на частичното време на тромбопластин и регулиране на дозата на хепарин и интравенозно нитроглицерин.

Антитромбин III (човек) - Антикоагулантният ефект на хепарин се засилва чрез едновременно лечение с антитромбин III (човек) при пациенти с наследствен антитромбин III дефицит. За да се намали рискът от кървене, се препоръчва намалена доза на хепарин по време на лечение с антитромбин III (човек).

Предупреждения за хепарин

Включени като част от ПРЕДПАЗНИ МЕРКИ раздел.

Предпазни мерки за хепарин

Фатални лекарствени грешки

Не използвайте този продукт като „продукт за заключване на катетъра“. Хепаринът се доставя в различни силни страни. Фаталните кръвоизливи са възникнали поради грешки в лекарствата. Внимателно проучете всички продукти на хепарин, за да потвърдите правилния избор на контейнери преди прилагането на лекарството.

Кръвоизлив

Избягвайте да използвате хепарин в присъствието на основно кървене, освен когато ползите от терапията с хепарин надвишават потенциалните рискове.

Кръвоизлив including fatal events has occurred in patients receiving Heparin Sodium. Кръвоизлив can occur at virtually any site in patients receiving heparin. Adrenal hemorrhage (with resultant acute adrenal insufficiency) ovarian hemorrhage and retroperitoneal hemorrhage have occurred during anticoagulant therapy with heparin [see Нежелани реакции ]. A higher incidence of bleeding has been reported in patients particularly women over 60 years of age [see Клинична фармакология ]. An unexplained fall in hematocrit or fall in blood pressure should lead to serious consideration of a hemorrhagic event.

Използвайте хепарин натрий с повишено внимание при болестни състояния, при които има повишен риск от кръвоизлив, включително:

  • Сърдечно -съдов â € Субакутен бактериален ендокардит тежка хипертония.
  • Хирургично - € По време и непосредствено след (а) гръбначен кран или гръбначен анестезия или (б) основна операция, особено включваща мозъчния гръбначен мозък или око.
  • Хематологичен - € Условия, свързани с повишени тенденции за кървене като хемофилия тромбоцитопения и някои съдови пурпури.
  • Пациенти с наследствен антитромбин III дефицит, получаващи едновременна терапия с антитромбин III Â € Антикоагулантният ефект на хепарин се засилва чрез едновременно лечение с антитромбин III (човешки) при пациенти с наследствен антитромбин III дефицит. За да се намали рискът от кървене, намалете дозата на хепарина по време на съпътстващото лечение с антитромбин III (човек).
  • Стомашно -чревен â € Язвени лезии и непрекъснат дренаж на тръбата на стомаха или тънките черва.
  • Други - € Менструационно чернодробно заболяване с нарушена хемостаза.

Индуцирана от хепарин тромбоцитопения (HIT) и индуцирана от хепарин тромбоцитопения и тромбоза (HITT)

HIT е сериозна реакция, медиирана от антитела, произтичаща от необратима агрегация на тромбоцитите. HIT възниква при пациенти, лекувани с хепарин и се дължи на развитието на антитела към тромбоцитен фактор 4-хепаринов комплекс, който индуцира in vivo агрегация на тромбоцитите. Хитът може да прогресира към развитието на венозни и артериални тромбози състояние, известно като индуцирана от хепарин тромбоцитопения и тромбоза (HITT). Тромботичните събития могат да бъдат и първоначалната презентация за Hitt. Тези сериозни тромбоемболични събития включват дълбока венозна тромбоза белодробна емболия церебрална вена тромбоза на крайника исхемия инсулт миокарден инфаркт образуване на тромб върху протезна сърдечна клапа мезентериална тромбоза Бъбречна артериална тромбоза Некроза Ганнгрен на крайниците, която може да доведе до ампутация и вероятно смърт. Наблюдавайте внимателно тромбоцитопенията от каквато и да е степен. Ако броят на тромбоцитите падне под 100000/mm3 или ако повтарящата се тромбоза се развие незабавно преустановете оценката на хепарин за HIT и HITT и ако е необходимо, прилагайте алтернативен антикоагулант.

HIT или HITT могат да се появят до няколко седмици след прекратяването на хепариновата терапия. Пациентите, представящи с тромбоцитопения или тромбоза след прекратяване на хепарин, трябва да бъдат оценени за HIT или HITT.

Тромбоцитопения

Тромбоцитопения has been reported to occur in patients receiving heparin with a reported incidence of up to 30%. It can occur 2 to 20 days (average 5 to 9) following the onset of heparin therapy. Obtain platelet counts before and periodically during heparin therapy. Monitor thrombocytopenia of any degree closely. If the count falls below 100000/mm3 or if recurrent thrombosis develops promptly discontinue heparin evaluate for HIT and if necessary administer an alternative anticoagulant [see Предупреждения и предпазни мерки ].

Тестване и мониторинг на коагулацията

Когато използвате режим на пълна доза хепарин регулирайте дозата на хепарина въз основа на чести тестове за коагулация на кръвта. Ако тестът за коагулация е неоправдано удължен или ако се появи кръвоизлив, хепарин натрий трябва да бъде прекратен незабавно [виж Предоставяне ]. Periodic platelet counts hematocrits are recommended during the entire course of heparin therapy [see Доза и приложение ].

Хепаринова резистентност

Повишената резистентност към хепарин често се среща при треска тромбоза Тромбофлебит инфекции с тромбозиращи тенденции миокарден рак на инфаркт при постхирургични пациенти и пациенти с дефицит на антитромбин III. В тези случаи се препоръчва внимателно наблюдение на тестовете за коагулация. Регулирането на дозите на хепарин въз основа на антифакторните нива на XA може да бъде оправдано.

Свръхчувствителност

Пациентите с документирана свръхчувствителност към хепарин трябва да се прилагат лекарството само при ясно животозастрашаващи ситуации [виж Нежелани реакции ]. Because heparin sodium is derived from animal tissue monitor for signs and symptoms of hypersensitivity when it is used in patients with a history of allergy.

Хепарин натрий в 5% декстроза инжекция

Този продукт съдържа натриев метабисулфит А сулфит, който може да причини реакции на алергичен тип, включително анафилактични симптоми и животозастрашаващи или по-малко тежки астматични епизоди при определени чувствителни хора. Общото разпространение на чувствителността към сулфит в общата популация е неизвестно и вероятно ниско. Чувствителността към сулфит се наблюдава по -често при астматични, отколкото при нестастрични хора.

Неклинична токсикология

Канцерогенеза мутагенеза Нарушаване на плодовитостта

Не са проведени дългосрочни проучвания при животни за оценка на канцерогенния потенциал на хепарин. Също така не са проведени проучвания при животни относно мутагенезата или нарушаването на плодовитостта.

Използване в конкретни популации

Бременност

Обобщение на риска

Няма налични данни за употребата на натрий на хепарин при бременни жени, за да се информира рискът от наркотици от основни вродени дефекти и спонтанен аборт. В публикувани доклади експозицията на хепарин по време на бременност не показва доказателства за повишен риск от неблагоприятни резултати от майката или плода при хората. Не се наблюдава тератогенност, но ранна ембрио-фетална смърт при изследвания на репродукция на животни с прилагане на хепарин натрий на бременни плъхове и зайци по време на органогенеза при дози приблизително 10 пъти по-голяма от максималната препоръчителна доза човешка (MRHD) от 40000 единици/24 часа инфузия (виж (виж инфузия (виж инфузия (виж инфузия (виж инфузия (вж. Данни ). Помислете за ползите и рисковете от натрий на хепарин при инжектиране на натриев хлорид от 0,45% или натрий на хепарин при 5% инжекция с декстроза при бременна жена и възможни рискове за плода, когато предписва натрий на хепарин при 0,45% инжектиране на натриев хлорид или инжекция на натрий на 5% декстроза при бременна жена.

Прогнозният фонов риск от големи вродени дефекти и спонтанен аборт за посоченото население е неизвестен. Всички бременности имат основен риск от загуба на вроден дефект или други неблагоприятни резултати. В общата популация на САЩ прогнозният фонов риск от големи вродени дефекти и спонтанен аборт в клинично признатите бременности е съответно от 2 до 4% и 15 до 20%.

Данни

Човешки данни

Резултатите от майката и плода, свързани с използването на хепарин чрез различни методи на дозиране и маршрути на приложение по време на бременност, са изследвани в многобройни проучвания. Тези проучвания обикновено съобщават за нормални доставки без кървене от майката или плода и никакви други усложнения.

Данни за животните

В публикувано проучване, проведено при плъхове и зайци, бременни животни, получават хепарин интравенозно по време на органогенеза при доза от 10000 USP единици/kg/ден приблизително 10 пъти повече от максималната човешка дневна доза въз основа на телесното тегло. Броят на ранните резорби се увеличава и при двата вида.

Няма данни за тератогенни ефекти.

Лактация

Обобщение на риска

Няма информация относно наличието на хепарин натрий при 0,45% инжекция на натриев хлорид или натрий на хепарин при 5% инжекция с декстроза в човешкото мляко ефектите върху кърмалото кърма или ефектите върху производството на мляко. Поради голямото си молекулно тегло хепаринът вероятно няма да бъде екскретен в човешкото мляко и всеки хепарин в млякото не би се абсорбира перорално от кърмаче за кърмене. The developmental and health benefits of breastfeeding should be considered along with the mother’s clinical need for Heparin Sodium in 0.45% Sodium Chloride Injection or Heparin Sodium in 5% Dextrose Injection and any potential adverse effects on the breastfed infant from Heparin Sodium in 0.45% Sodium Chloride Injection or Heparin Sodium in 5% Dextrose Injection or from the underlying maternal Условие [виж Използване в конкретни популации ].

Педиатрична употреба

Няма адекватни и добре контролирани проучвания за употребата на хепарин при педиатрични пациенти. Препоръките за педиатрична доза се основават на клиничен опит [виж Доза и приложение ].

Гериатрична употреба

Има ограничени адекватни и добре контролирани проучвания при пациенти на 65 и повече години. Въпреки това се съобщава по -голяма честота на кървене при пациенти на възраст над 60 години, особено жени [виж Предупреждения и предпазни мерки ]. Lower doses of heparin may be indicated in these patients [see Клинична фармакология ].

Предозиране Information for Heparin

Кървенето може да бъде резултат от предозиране на хепарин.

Неутрализиране на ефекта на хепарин

Когато обстоятелствата (например кървене) изискват обръщане на хепаринизационния протамин сулфат (1% разтвор) чрез бавна инфузия, ще неутрализират натрий на хепарин.

Не повече от 50 mg трябва да се прилага много бавно за всеки 10 -минутен период. Всеки mg протаминов сулфат неутрализира приблизително 100 USP единици. Количеството на необходимия протамин намалява с течение на времето, когато хепаринът се метаболизира. Въпреки че метаболизмът на хепарин е сложен, той може с цел да се избере доза протамин, да се приеме, че има полуживот около 1/2 час след интравенозна инжекция.

Тъй като се съобщават, че фаталните реакции, наподобяващи анафилаксия, трябва да се прилагат само когато са лесно достъпни техники за реанимация и лечение на анафилактоиден шок.

За допълнителна информация се консултирайте с информацията за предписване на инжектиране на протамин сулфат USP.

Противопоказания for Heparin

Използването на хепарин натрий при 0,45% инжектиране на натриев хлорид или натрий на хепарин при 5% декстроза инжекция е противопоказано при пациенти със следните състояния:

  • История на индуцирана от хепарин тромбоцитопения (HIT) и индуцирана от хепарин тромбоцитопения и тромбоза (HITT) [виж Предупреждения и предпазни мерки ]
  • Известна свръхчувствителност към хепарин или свинско продукти (например анафилактоидни реакции) [виж Нежелани реакции ]
  • В когото тестовете за подходяща кръвна коагулация - напр. Цялото време за съсирване на кръвта Частично време на тромбопластин и т.н.-не може да се извърши на подходящи интервали (това противопоказание се отнася до хепарин с пълна доза; обикновено няма нужда да се наблюдават параметрите на коагулация при пациенти, получаващи нискодозови хепарин) [виж Предупреждения и предпазни мерки ]
  • Неконтролирано състояние на кървене [виж Предупреждения и предпазни мерки ] С изключение на това, когато това се дължи на разпространена интраваскуларна коагулация.

Клинична фармакология for Heparin

Механизъм на действие

Хепаринът взаимодейства с естествено срещащия се плазмен протеин антитромбин III, за да предизвика конформационна промяна, която значително засилва сериновата протеазна активност на антитромбин III, като по този начин инхибира активираните коагулационни фактори, участващи в последователността на съсирението, особено XA и IIA. Малки количества хепарин инхибират фактор XA и по -големите количества инхибират тромбина (фактор IIA). Хепаринът също така предотвратява образуването на стабилен фибринов съсирек чрез инхибиране на активирането на фактора на стабилизиране на фибрина. Хепаринът няма фибринолитична активност; Следователно това няма да лизира съществуващи съсиреци.

Фармакодинамика

Времето за кървене обикновено не се влияе от хепарин. Различни времена (активирано време за съсирване, активирано частично време на тромбопластин протромбин Време за пълно кръв) се удължават от пълни терапевтични дози хепарин; В повечето случаи той не се повлиява измервано от ниски дози хепарин.

Фармакокинетика

Абсорбция

Хепаринът не се абсорбира през стомашно -чревния тракт и следователно се прилага по парентерален път. Пиковата плазмена концентрация и появата на действие се постигат веднага след интравенозно приложение.

Разпределение

Хепаринът е силно свързан с антитромбинови фибриногени глобулини серумни протеази и липопротеини. Обемът на разпределение е 0,07 L/kg.

Елиминиране

Метаболизъм

Хепаринът не претърпява ензимно разграждане.

Екскреция

Хепаринът се изчиства главно от циркулацията от черния дроб и ретикулоендотелиалните клетки, медиирани поглъщане в екстраваскуларно пространство. Хепаринът претърпява двуфазен клирънс A) Бърз наситен клирънс (нулев процес на поръчка поради свързване с ендотелните клетки на протеини и макрофага) и б) по -бавно елиминиране от първи ред. Плазменият полуживот е зависим от дозата и варира от 0,5 до 2 h.

Специфично население

Гериатрични пациенти

Пациентите на възраст над 60 години след подобни дози хепарин могат да имат по -високи плазмени нива на хепарин и по -дълго активирани частични времена на тромбопластин (APTTS) в сравнение с пациенти под 60 години [виж Използване в конкретни популации ].

Информация за пациента за хепарин

Кръвоизлив

Информирайте пациентите, че може да им отнеме повече време от обикновено, за да спрат кървенето, че могат да си натъртват и/или да кървят по -лесно, когато се лекуват с хепарин и че трябва да съобщават за всяко необичайно кървене или натъртване на своя лекар. Кръвоизливът може да се появи на почти всеки сайт при пациенти, получаващи хепарин. Са възникнали фатални кръвоизливи [виж Предупреждения и предпазни мерки ].

Преди операцията

Посъветвайте пациентите да информират лекарите и зъболекарите, че получават хепарин, преди да бъде насрочена операция [виж Предупреждения и предпазни мерки ].

Индуцирана от хепарин тромбоцитопения

Информирайте пациентите за риска от индуцирана от хепарин тромбоцитопения (HIT). Хитът може да прогресира към развитието на венозни и артериални тромбози състояние, известно като индуцирана от хепарин тромбоцитопения и тромбоза. Хит и Хит могат да се появят до няколко седмици след прекратяването на терапията с хепарин [виж Предупреждения и предпазни мерки ].

Свръхчувствителност

Информирайте пациентите, че са съобщени за генерализирани реакции на свръхчувствителност [виж Предупреждения и предпазни мерки Нежелани реакции ].

Други лекарства

Поради риска от кръвоизлив съветват пациентите да информират своите лекари и зъболекари за всички лекарства, които приемат, включително лекарства без рецепта и преди да започнат нови лекарства [виж Лекарствени взаимодействия ].