Информацията В Сайта Не Е Медицински Съвет. Ние Не Продаваме Нищо. Точността На Превода Не Е Гарантирана. Отказ От Отговорност
Антидиабетици, бигуаниди/дипептилни пептидаза-IV инхибиториЕзичник
Резюме на наркотиците
Какво е Jentadueto?
Jentadueto (линаглиптин и метформин хидрохлорид) е комбинация от две 2 перорални антихипергликемични лекарства, посочени като допълнение към диетата и упражненията за подобряване на гликемичния контрол при възрастни с захарен диабет тип 2, когато лечението както с линаглиптин, така и с метформин с захарен диабет тип 2.
Какви са страничните ефекти на jentadueto?
Езичник
- кошери
- затруднено дишане
- Подуване на лицето ви устни Език или гърло
- треска
- възпалено гърло
- изгарящи очи
- Болка на кожата
- Червена или лилава кожен обрив с мехури и пилинг
- силна болка в горния ви стомах, разпространена на гърба ви
- гадене
- повръщане
- загуба на апетит
- Бързи сърдечни удари
- необичайна мускулна болка
- Чувствайки се студено
- замаяност
- Лекоглавия
- умора
- слабост
- Болки в стомаха
- Бавна или нередовна сърдечна честота
- сърбеж
- мехури
- Разбивка на външния слой на кожата
- силна или продължаваща болка в ставите ви
- задух
- подуване в краката или краката и
- Бързо наддаване на тегло
Получете медицинска помощ веднага, ако имате изброени по -горе симптоми.
Общите странични ефекти на jentadueto са:
- кашлица
- възпалено гърло
- Синусова болка
- задушен нос
- разстроен стомах
- наддаване на тегло
- панкреатит
- диария и
- ниска кръвна захар ( Хипогликемия ).
Получавайте медицинска помощ веднага, ако имате тежки странични ефекти на млечна ацидоза (симптомите включват мускулна болка или слабост изтръпна или студено усещане в ръцете и краката, проблемът дишането на замаяност Легровина умора слабост Болка на стомаха гадене с повръщане или бавна или неравна сърдечна честота.
Потърсете медицинска помощ или се обадете на 911 наведнъж, ако имате следните сериозни странични ефекти:
- Сериозни симптоми на очите, като например внезапна загуба на зрение, замъглено зрение Тунел Виждане болка в очите или подуване или виждане на ореоли около светлините;
- Сериозни сърдечни симптоми като бързи нередовни или ударни сърдечни удари; трептене в гърдите ви; задух; и внезапна замаяност замаяност или раздаване;
- Тежка главоболие объркване затънала речева ръка или крак слабост проблем за ходене на загуба на координация, чувствайки се нестабилни много твърди мускули висока треска обилно изпотяване или тремор.
Този документ не съдържа всички възможни странични ефекти, а други могат да възникнат. Консултирайте се с вашия лекар за допълнителна информация за страничните ефекти.
Дозировка за jentadueto
Jenadueto се предлага в следните силни страни: таблетки, съдържащи 2,5 mg linagliptin и 500 mg метформин хидрохлорид или 850 mg метформин хидрохлорид или 1000 mg метформин хидрохлорид. Максималната препоръчителна доза е 2,5 mg linagliptin/1000 mg метформин два пъти дневно.
Какви лекарства вещества или добавки взаимодействат с jentadueto?
Jenadueto трябва да се приема ежедневно с хранене с постепенна ескалация на дозата, за да се намали стомашно -чревен Странични ефекти поради метформин.
Jentadueto по време на бременност и кърмене
Жените трябва да предупреждават своите лекари, ако са бременни или планират да забременеят. Не е известно дали jentadueto ще навреди на неродено бебе. Бременните жени трябва да говорят със своите лекари за най -добрия начин за контрол на кръвната захар, докато са бременни. Жените също трябва да говорят със своите лекари, ако кърмят или планират да кърмят. Не е известно дали jentadueto преминава в кърма.
Допълнителна информация
Нашият лекарствен център за странични ефекти на Jenadueto предоставя цялостен поглед върху наличната информация за лекарството за потенциалните странични ефекти при приемането на това лекарство.
Информация за наркотиците на FDA
- Описание на лекарството
- Показания
- Странични ефекти
- Лекарствени взаимодействия
- Предупреждения
- Предозиране
- Клинична фармакология
- Ръководство за лекарства
Предупреждение
Активична ацидоза
Случаите на постмаркетинг на метформин-асоциирана млечна ацидоза са довели до хипотерия на смъртта и резистентни брадиархитмии. Настъпването на свързана с метформин млечна ацидоза често е фино придружена само от неспецифични симптоми като недобросъвестно миалгии респираторен дистрес на сънливостта и коремната болка. Асоциираната с метформин млечна ацидоза се характеризира с повишени нива на лактат в кръвта (> 5 mmol/литър) ацидоза на ацидоза (без данни за кетонурия или кетонемия) повишено съотношение на лактат/пируват; и метформинови плазмени нива обикновено> 5 mcg/ml [виж ПредупреждениеS AND ПРЕДПАЗНИ МЕРКИ ].
Рисковите фактори за свързана с метформин млечна ацидоза включват бъбречно увреждане, съпътстваща употреба на определени лекарства (например инхибитори на въглеродни анхидрази като топирамат) на възраст 65 години или по-голямо, което има рентгенологично изследване с контрастна хирургия и други процедури хипоксични състояния (напр. Остра изкожнена сърдечна недостатъчност) прекомерно приемане на алкохол и чернодробно нарушение.
Стъпки за намаляване на риска от и управление на свързана с метформин млечна ацидоза в тези групи с висок риск са предоставени в пълната информация за предписване [виж Доза и приложение Противопоказания ПредупреждениеS AND ПРЕДПАЗНИ МЕРКИ Лекарствени взаимодействия и Използване в конкретни популации ].
Ако се подозира, че свързаната с метформин млечна ацидоза незабавно прекрати Jentadueto и институтирайте общи мерки за поддържане в болнична обстановка. Препоръчва се бърза хемодиализа [виж ПредупреждениеS AND ПРЕДПАЗНИ МЕРКИ ].
Описание за jentadueto
Jentadueto таблетките съдържат 2 перорални антихипергликемични лекарства, използвани при управлението на тип 2 Диабет захарен : linagliptin и метформин хидрохлорид.
Linagliptin
Linagliptin is an orally-active inhibitor of the dipeptidyl peptidase-4 (DPP-4) enzyme.
Linagliptin is described chemically as 1H-Purine-26-dione 8-[(3R)-3-amino-1-piperidinyl]-7-(2-butyn-1-yl)-37-dihydro-3-methyl-1-[(4-methyl-2quinazolinyl)methyl]The empirical formula is C 25 H 28 N 8 O 2 и the molecular weight is 472.54 g/mol. The structural formula is:
|
Linagliptin is a white to yellowish not or only slightly hygroscopic solid substance. It is very slightly soluble in water (0.9 mg/mL). Linagliptin is soluble in methanol (ca. 60 mg/mL) sparingly soluble in ethanol (ca. 10 mg/mL) very slightly soluble in isopropanol ( <1 mg/mL) и very slightly soluble in acetone (ca. 1 mg/mL).
Метформин хидрохлорид
Метформин хидрохлорид (NN-диметилимидодикарбонимиден диамиден хидрохлорид) не е химически или фармакологично свързан с други класове на перорални антихипергликемични средства. Метформин хидрохлорид е бяло до бяло кристално съединение с молекулна формула на С 4 H 11 N 5 • HCl и молекулно тегло 165,63 g/mol. Метформин хидрохлоридът е свободно разтворим във вода и е практически неразтворим в ацетон етер и хлороформ. PKA на метформин е 12.4. РН на 1% воден разтвор на метформинов хидрохлорид е 6.68. Структурната формула е:
|
Jentadueto се състои от таблет с метформин с удължено освобождаване, който е покрит с лекарственото вещество с непосредствено освобождаване линаглиптин. Jentadueto се предлага за перорално приложение като таблетки, съдържащи 5 mg linagliptin и 1000 mg метформин хидрохлорид с удължено освобождаване (jentadueto 5 mg/1000 mg) или 2,5 mg linagliptin и 1000 mg метеформин хидрохлорид). Всяка покрита таблетка от jentadueto съдържа следните неактивни съставки: таблетна сърцевина: полиетилен оксид хипромелозен и магнезиев стеарат. Покритие: Хидроксипропил целулоза хипромелозна талк титаниев диоксид аргинин полиетилен гликол железен оксид жълт (NULL,5 mg/1000 mg) карнауба восък ферософеричен оксид пропилен гликол и изопропилов алкохол.
Използване за jentadueto
Jentadueto е посочен като допълнение към диетата и упражненията за подобряване на гликемичния контрол при възрастни със захарен диабет тип 2.
Ограничения на употребата
Jentadueto не се препоръчва при пациенти със захарен диабет тип 1.
Jentadueto не е проучен при пациенти с анамнеза за панкреатит. Не е известно дали пациентите с анамнеза за панкреатит са изложени на повишен риск от развитието на панкреатит, докато използват jentadueto [виж ПредупреждениеS AND ПРЕДПАЗНИ МЕРКИ ].
Дозировка за jentadueto
Препоръчителна доза и приложение
Дозировката на jentadueto трябва да бъде индивидуализирана въз основа както на ефективността, така и на поносимостта, като същевременно не надвишава максималната препоръчителна доза от 2,5 mg линаглиптин/1000 mg метформин хидрохлорид (HCl), взета устно два пъти дневно. Jentadueto трябва да се прилага два пъти дневно с хранене. Ескалацията на дозата трябва да бъде постепенна за намаляване на страничните ефекти на стомашно -чревния (GI), свързани с употребата на метформин.
Препоръчителна начална доза
- При пациенти, които понастоящем не са лекувани с метформин HCl, инициират лечение с 2,5 mg linagliptin/500 mg метформин HCl два пъти дневно.
- При пациенти, които вече са лекувани с метформин HCl, започват с 2,5 mg линаглиптин и текущата доза на метформин HCl, взета при всяко от двете ежедневни хранения (например пациент на метформин HCl 1000 mg два пъти дневно, ще се стартира на 2,5 mg линаглиптин/1000 mg метроформин HCl два пъти дневно с хранене).
- Пациентите, които вече са лекувани с индивидуални компоненти на линаглиптин и метформин HCl, могат да бъдат превключени на jentadueto, съдържащи едни и същи дози на всеки компонент.
Препоръчително дозиране при бъбречно увреждане
Оценка на бъбречната функция преди започване на jentadueto и периодично след това.
Jentadueto е противопоказано при пациенти с приблизителна скорост на гломерулна филтрация (EGFR) под 30 ml/min/1,73 m².
Не се препоръчва започване на jentadueto при пациенти с EGFR между 30-45 ml/min/1,73 m².
При пациенти, приемащи jentadueto, чийто EGFR по -късно пада под 45 ml/min/1,73 m² оценяват ползата/риска от продължаваща терапия.
Преустановете jentadueto, ако по -късно пада на пациента по -късно пада под 30 ml/min/1,73 m² [виж Противопоказания и ПредупреждениеS AND ПРЕДПАЗНИ МЕРКИ ].
Прекратяване на йодирани контрастни процедури за изобразяване на изображения
Прекратяване на jentadueto по време на или преди йодирана процедура за изобразяване на контраст при пациенти с EGFR между 30 и 60 ml/min/1,73 m²; При пациенти с анамнеза за чернодробно заболяване алкохолизъм или сърдечна недостатъчност; или при пациенти, на които ще се прилага вътреартериален йодиран контраст. Преоценете EGFR 48 часа след процедурата за изобразяване; Рестартирайте jentadueto, ако бъбречната функция е стабилна [виж ПредупреждениеS AND ПРЕДПАЗНИ МЕРКИ ].
Колко се доставя
Дозирани форми и силни страни
Езичник Таблетките са комбинация от linagliptin и metformin hcl, налични като:
- 2.5 mg linagliptin/500 mg metformin hcl таблетки са светло жълти овални биконвекс таблетки, обезсърчени с D2/500 от едната страна, а Boehringer Ingelheim символ от другата страна
- 2,5 mg linagliptin/850 mg metformin hcl таблетки са светло оранжеви овални биконвекс таблетки, обезсърчени с D2/850 от едната страна, а Boehringer Ingelheim символ от другата страна
- 2,5 mg linagliptin/1000 mg metformin hcl таблетки са светло розови овални биконвекс таблетки, обезсърчени с D2/1000 от едната страна, а Boehringer Ingelheim символ от другата страна
Съхранение и обработка
Езичник (linagliptin и metformin hcl) таблетки 2,5 mg/500 mg са светло жълти овални биконвексни таблетки, обезсърчени с D2/500 от едната страна и символът на Boehringer Ingelheim от другата страна и се доставят по следния начин:
Бутилки от 60 ( NDC 0597-0146-60)
Бутилки от 180 ( NDC 0597-0146-18)
Езичник (linagliptin и metformin hcl) таблетки 2,5 mg/850 mg са светло оранжеви овални биконвексни таблетки, обезсърчени с D2/850 от едната страна, а Boehringer Ingelheim символ от другата страна и се доставя по следния начин:
Бутилки от 60 ( NDC 0597-0147-60)
Бутилки от 180 ( NDC 0597-0147-18)
Езичник (linagliptin и metformin hcl) таблетки 2,5 mg/1000 mg са светло розови овални биконвексни таблетки, обезсърчени с D2/1000 от едната страна и символът на Boehringer Ingelheim от другата страна и се доставят по следния начин:
Бутилки от 60 ( NDC 0597-0148-60)
Бутилки от 180 ( NDC 0597-0148-18)
Съхранение
Съхранявайте при 20 ° C до 25 ° C (68 ° F до 77 ° F); екскурзии, разрешени на 15 ° C до 30 ° C (59 ° F до 86 ° F) [виж USP контролирана стайна температура ]. Protect from exposure to high humidity.
Разпространено от: Boehringer Ingelheim Pharmaceuticals Inc. Ridgefield CT 06877 USA. Ревизиран: юни 2023 г.
Странични ефекти for Jentadueto
Следните сериозни нежелани реакции са описани по -долу или другаде в информацията за предписване:
- Млечна ацидоза [виж ПредупреждениеS AND ПРЕДПАЗНИ МЕРКИ ]
- Панкреатит [виж ПредупреждениеS AND ПРЕДПАЗНИ МЕРКИ ]
- Хипогликемия със съпътстваща употреба с инсулин и инсулин секретагоги [виж ПредупреждениеS AND ПРЕДПАЗНИ МЕРКИ ]
- Реакции на свръхчувствителност [виж ПредупреждениеS AND ПРЕДПАЗНИ МЕРКИ ]
- Дефицит на витамин В12 [виж ПредупреждениеS AND ПРЕДПАЗНИ МЕРКИ ]
- Тежка и деактивираща артралгия [виж ПредупреждениеS AND ПРЕДПАЗНИ МЕРКИ ]
- Булозен пемфигоид [виж ПредупреждениеS AND ПРЕДПАЗНИ МЕРКИ ]
- Сърдечна недостатъчност [виж ПредупреждениеS AND ПРЕДПАЗНИ МЕРКИ ]
Опит с клинични изпитвания
Тъй като клиничните изпитвания се провеждат при широко различни състояния, нежелани реакционни проценти, наблюдавани при клиничните изпитвания на лекарство, не могат да бъдат пряко сравнени със проценти в клиничните изпитвания на друго лекарство и може да не отразяват процентите, наблюдавани на практика.
Linagliptin/Метформин
Безопасността на едновременно прилагания линаглиптин (дневна доза 5 mg) и метформин (средна дневна доза от приблизително 1800 mg) е оценена при 2816 пациенти със захарен диабет тип 2, лекувани в продължение на ≥12 седмици в клинични изпитвания.
Проведени са три плацебо-контролирани проучвания с метформин Linagliptin: 2 проучвания са били 24 седмици в продължителност 1 изпитване е продължително 12 седмици. В 3 -те плацебоконтролирани клинични проучвания нежелани реакции, които се наблюдават при ≥5% от пациентите, получаващи метформин с линаглиптин (n = 875) и са по -чести, отколкото при пациенти, получени от плацебо метформин (n = 539), включват назофарингит (NULL,7% срещу 4,3%).
В 24-седмично факторно проектиране на нежелани реакции, отчетени при ≥5% от пациентите, получаващи метформин с линаглиптин и са по-чести, отколкото при пациенти, дадени плацебо, са показани в таблица 1.
Таблица 1: Нежелани реакции, отчетени при ≥5% от пациентите, лекувани с линаглиптин метформин и по-големи, отколкото с плацебо в 24-седмично факторно-проектиране на изпитване
| Нежелани реакции | Плацебо (%) n = 72 | Linagliptin Monotherapy (%) n = 142 | Метформинова монотерапия (%) n = 291 | Комбинация от линаглиптин с метформин (%) n = 286 |
| Назофарингит | 1.4 | 5.6 | 2.7 | 6.3 |
| Диария | 2.8 | 3.5 | 3.8 | 6.3 |
Други нежелани реакции, съобщавани в клинични проучвания с лечение на метформин на линаглиптин, са свръхчувствителност (напр. Уртикария ангиоедем или бронхиална хиперреактивност) кашлица намалява апетита гадене, повръщайки сърбеж и панкреатит.
Linagliptin
Нежеланите реакции, отчетени при ≥2% от пациентите, лекувани с линаглиптин 5 mg и по -често, отколкото при пациенти, лекувани с плацебо, включват: назофарингит (NULL,0% срещу 6,1%) диария (NULL,3% срещу 3,0%) и кашлица (NULL,1% VS 1,4%).
Скоростите за други нежелани реакции за линаглиптин 5 mg срещу плацебо, когато линаглиптинът се използва в комбинация със специфични антидиабетични средства са: инфекция на пикочните пътища (NULL,1% срещу 0%) и хипертриглицеридемия (NULL,4% срещу 0%), когато линаглиптин се използва като добавка към сулфонилурея; Хиперлипидемията (NULL,7% срещу 0,8%) и теглото се увеличават (NULL,3% срещу 0,8%), когато linagliptin се използва като добавка към пиоглитазон; и запек (NULL,1% срещу 1%), когато linagliptin се използва като добавка към базална инсулинова терапия.
Други нежелани реакции, съобщени в клинични проучвания с лечение на монотерапия с линаглиптин, са свръхчувствителност (например уртикария ангиоедем локализирана кожна ексфолиация или бронхиална хиперреактивност) и миалгия. В програмата за клинично изпитване се съобщава за панкреатит в 15,2 случая на 10000 експозиция на пациента, докато се лекува с линаглиптин в сравнение с 3,7 случая на 10000 експозиция на пациента, докато се лекува със сравнител (плацебо и активен сравнител Sulfonylurea). Съобщават се за три допълнителни случая на панкреатит след последната приложена доза линаглиптин.
Метформин
Най -често срещаните (> 5%) нежелани реакции, дължащи се на започване на терапия с метформин, са диария гадене/повръщане на метеорологичен коремен дискомфорт Астения и главоболие.
Други нежелани реакции
Хипогликемия
Linagliptin/Метформин
При 24-седмична факторна конструктивна изпитвателна хипогликемия е отчетена при 4 (NULL,4%) от 286 лица, лекувани с метформин Linagliptin 6 (NULL,1%) от 291 лица, лекувани с метформин, и 1 (NULL,4%) от 72 лица, лекувани с плацебо. Честотата на хипогликемия с плазмена глюкоза <54 mg/dL was 8.1% in the linagliptin group (N=792) compared to 5.3% in the placebo group (N=263) when administered in combination with Метформин и sulfonylurea in a 24-week trial.
Linagliptin
Честотата на тежка хипогликемия (изискваща помощ) е 1,7% в групата на Linagliptin (n = 631) в сравнение с 1,1% в плацебо групата (n = 630), когато се прилага в комбинация с базален инсулин в 52-седмично изпитване.
Аномалии на лабораторни тестове в клинични изпитвания на линаглиптин или метформин
Linagliptin
Увеличаване на пикочната киселина
Промените в лабораторните стойности, които се случват по -често в групата на Linagliptin и ≥1% повече, отколкото в групата на плацебо, са увеличаване на пикочната киселина (NULL,3% в плацебо групата 2.7% в групата на Linagliptin).
Увеличаване на липазата
В плацебо-контролирано клинично изпитване с линаглиптин при пациенти с захарен диабет тип 2 с микро- или макроалбуминурия средно увеличение с 30% в концентрациите на липаза от изходното ниво до 24 седмици се наблюдава в рамото на линаглиптин в сравнение със средно намаление от 2% в плацебо рамото. Нивата на липаза над 3 пъти горната граница на нормалното са наблюдавани при 8,2% в сравнение с 1,7% пациенти в раменете на линаглиптин и плацебо.
Увеличаване на амилазата
В сърдечно -съдова проба за безопасност, сравняващо линаглиптин срещу глимепирид при пациенти с нива на захарен диабет тип 2, над 3 пъти горна граница на нормалното е наблюдавано при 1,0% в сравнение с 0,5% от пациентите в линаглиптин и глимепиридни рамена.
Клиничното значение на повишаването на липазата и амилазата с линаглиптин не е известно при липса на потенциални признаци и симптоми на панкреатит [виж ПредупреждениеS AND ПРЕДПАЗНИ МЕРКИ ].
Метформин
Намаляване на витамин В12
При клиничните изпитвания на метформин с продължителност от 29 седмици се наблюдава намаление до поднормални нива на нормалните нива на серумен витамин В12 при приблизително 7% от пациентите.
Странични ефекти на нистатин при кърмачета
Опит за постмаркетиране
Следните нежелани реакции са идентифицирани по време на употребата след прилагане. Тъй като тези реакции се отчитат доброволно от популация с несигурен размер, обикновено не е възможно надеждно да се оцени тяхната честота или да се установи причинно -следствена връзка с експозицията на лекарства.
Linagliptin
- Стомашно -чревни разстройства: Остър панкреатит, включително фатален панкреатит [виж Показания и употреба ] Стоматит на устата
- Нарушения на имунната система: Реакции на свръхчувствителност, включително анафилаксия ангиоедем и ексфолиращи кожни състояния
- Мускулно -скелетни и съединителни тъкани: Рабдомиолиза тежка и деактивираща артралгия
- Кожни и подкожни тъканни нарушения: Булозен пемфигоиден обрив
Метформин
- Хепатобилиарни нарушения: Холестатично хепатоцелуларно и смесено хепатоцелуларно увреждане на черния дроб
Лекарствени взаимодействия for Jentadueto
Таблица 2 описва клинично значимите взаимодействия с Jentadueto.
Таблица 2: Клинично значими взаимодействия с Jentadueto
| Въглеродни инхибитори на анхидраза | |
| Клинично въздействие | Топирамат или други въглеродни инхибитори на анхидраза (напр. Зонизамид ацетазоламид или дихлорфенамид) често причиняват намаляване на серумния бикарбонат и предизвикват хиперхлоремична ацидоза на серумния бикарбонат и предизвикват хиперхлоремична ацидоза на не-анион. Едновременната употреба на тези лекарства с jentadueto може да увеличи риска от млечна ацидоза. |
| Интервенция | Помислете за по -често наблюдение на тези пациенти. |
| Лекарства, които намаляват клирънс на метформин | |
| Клинично въздействие | Едновременната употреба на лекарства, които пречат на общите бъбречни тубуларни транспортни системи, участващи в бъбречното елиминиране на метформин (например органичен катионен транспортер-2 [OCT2] / мултилекарска и токсинова екструзия [приятел] инхибитори като ранолазин вандетаниб долюдегравир и циметидин като ранолазин вандетаниб долютегравир и циметидин) може да увеличи системната експозиция на метформин и циметидин като ранолазин вандетаниб долюдегравир и циметидин като ранолазин вандетаниб долютегравир и циметидин като ранолазин вандетаниб долугравир и циметидин) Клинична фармакология ]. |
| Интервенция | Помислете за ползите и рисковете от съпътстващата употреба. |
| Алкохол | |
| Клинично въздействие | Алкохол is known to potentiate the effect of Метформин on lactate metabolism. |
| Интервенция | Предупреждавайте пациентите срещу прекомерния прием на алкохол, докато получавате jentadueto. |
| Инсулин или инсулин секретагоги | |
| Клинично въздействие | Рискът от хипогликемия се увеличава, когато jentadueto се използва в комбинация с инсулин секретагога (например сулфонилурея) или инсулин. |
| Интервенция | Коадминацията на jentadueto с инсулинова секретагога (например сулфонилурея) или инсулин може да изисква по -ниски дози на инсулиновия секрет или инсулин, за да се намали рискът от хипогликемия. |
| Лекарства, засягащи гликемичния контрол | |
| Клинично въздействие | Някои лекарства са склонни да произвеждат хипергликемия и могат да доведат до загуба на гликемичен контрол. Тези лекарства включват тиазидите и други диуретици кортикостероиди фенотиазини щитовидната жлеза естрогени перорални контрацептиви фенитоин никотинова киселина симпатомиметика калциеви канали, блокиращи лекарства и изониазид. |
| Интервенция | Когато такива лекарства се прилагат на пациент, получаващ jentadueto, пациентът трябва да бъде наблюдаван отблизо, за да поддържа адекватен гликемичен контрол. Когато такива лекарства се изтеглят от пациент, получаващ jentadueto, пациентът трябва да се наблюдава отблизо при хипогликемия. |
| Индуктори на ензими P-гликопротеин или CYP3A4 | |
| Клинично въздействие | Намалената експозиция на линаглиптин на рифампин предполага, че ефикасността на линаглиптин може да бъде намалена, когато се прилага в комбинация със силен P-gp или CYP3A4 индуктор. |
| Интервенция | Използването на алтернативни лечения се препоръчва категорично, когато Linagliptin трябва да се прилага със силен P-gp или CYP3A4 индуктор. |
Предупреждения за Jentadueto
Включени като част от ПРЕДПАЗНИ МЕРКИ раздел.
Предпазни мерки за Jentadueto
Млечна ацидоза
Метформин
Има случаи на поста на Metformin, свързана с метформин млечна ацидоза, включително фатални случаи. Тези случаи са имали фино начало и са били придружени от неспецифични симптоми като недобросъвестно миалгии коремни болки Респираторен дистрес или повишена сънливост; Въпреки това хипотермията хипотония и резистентните брадиаритмии са настъпили с тежка ацидоза. Асоциираната с метформин млечна ацидоза се характеризира с повишени концентрации на лактат в кръвта (> 5 mmol/литър) ацидоза на ацидоза (без данни за кетонурия или кетонемия) и повишено лактатно: пируват съотношение; Плазмените нива на метформин обикновено> 5 mcg/ml. Метформинът намалява усвояването на черния дроб на лактат, повишаващи нивата на кръвта на лактат, което може да увеличи риска от млечна ацидоза, особено при рискови пациенти.
Ако се подозира, че свързаната с метформин млечна ацидоза трябва да се въвежда незабавно в болнична обстановка, заедно с незабавно прекратяване на jentadueto. При пациенти, лекувани с jentadueto с диагноза или силно подозрение за млечна ацидоза, бърза хемодиализа, се препоръчва да се коригира ацидозата и да се отстрани натрупания метформин (метформинът може да се диализира с клирънс до 170 ml/min при добри хемодинамични състояния). Хемодиализата често води до обръщане на симптомите и възстановяването.
Обучете пациентите и техните семейства относно симптомите на млечна ацидоза и ако се появят тези симптоми, инструктирайте ги да преустановят Jentadueto и да съобщават за тези симптоми на своя доставчик на здравни грижи.
За всеки от известните и възможни рискови фактори за препоръки, свързани с метформин млечна ацидоза, за да се намали рискът и да се управлява свързаната с метформин млечна ацидоза, са предоставени по-долу:
Бъбречно увреждане
Пощенският пазар, свързани с метформин, свързани с млечна ацидоза, се наблюдават предимно при пациенти със значително бъбречно увреждане. Рискът от натрупване на метформин и свързана с метформин млечна ацидоза се увеличава с тежестта на бъбречното увреждане, тъй като метформинът е значително екскретен от бъбрека. Клиничните препоръки въз основа на бъбречната функция на пациента включват [виж Доза и приложение и Клинична фармакология ::
- Преди започване на jentadueto получи приблизителна скорост на гломерулна филтрация (EGFR).
- Езичник is contraindicated in patients with an eGFR less than 30 mL/min/1.73 m² [see Противопоказания ].
- Инициирането на jentadueto не се препоръчва при пациенти с EGFR между 30 € 45 ml/min/1,73 m².
- Получавайте EGFR поне годишно при всички пациенти, приемащи jentadueto. При пациенти с повишен риск от развитие на бъбречно увреждане (напр. Възрастните) бъбречна функция трябва да се оценява по -често.
- При пациенти, приемащи jentadueto, чийто EGFR по -късно пада под 45 ml/min/1,73 m² оценяват ползата и риска от продължаване на терапията.
Лекарствени взаимодействия
Едновременната употреба на jentadueto със специфични лекарства може да увеличи риска от свързана с метформин млечна ацидоза: тези, които нарушават бъбречната функция, водят до значителна хемодинамична промяна, пречат на баланса на киселината или увеличаването на натрупването на метформин [виж Лекарствени взаимодействия ]. Therefore consider more frequent monitoring of patients.
Възраст 65 или повече
Рискът от свързана с метформин млечна ацидоза се увеличава с възрастта на пациента, тъй като пациентите в напреднала възраст имат по-голяма вероятност да имат чернодробно бъбречно или сърдечно увреждане от по-младите пациенти. Оценявайте бъбречната функция по -често при възрастни пациенти [виж Използване в конкретни популации ].
Радиологични изследвания с контраст
Прилагането на интраваскуларни йодирани контрастни агенти при пациенти, лекувани с метформин, доведе до остро намаляване на бъбречната функция и появата на млечна ацидоза. Спрете Jentadueto по време на или преди йодирана процедура за контрастно изображение при пациенти с EGFR между 30 и 60 ml/min/1,73 m²; При пациенти с анамнеза за чернодробно увреждане алкохолизъм или сърдечна недостатъчност; или при пациенти, на които ще се прилага вътреартериален йодиран контраст. Преоценете EGFR 48 часа след процедурата за изобразяване и рестартирайте jentadueto, ако бъбречната функция е стабилна.
Операция и други процедури
Удържането на храни и течности по време на хирургически или други процедури може да увеличи риска от хипотония на изчерпване на обема и бъбречно увреждане. Jentadueto трябва да бъде временно прекратен, докато пациентите са ограничили приема на храна и течности.
Хипоксични състояния
Няколко от пощенските случаи на свързана с метформин млечна ацидоза са възникнали при настройката на остра застойна сърдечна недостатъчност (особено когато е придружен от хипоперфузия и хипоксемия). Сърдечно -съдов срив (шок) Острият сепсис на миокарден инфаркт и други състояния, свързани с хипоксемия, са свързани с млечна ацидоза и могат също да причинят преренална азотемия. Когато се появят подобни събития, прекратяват Jentadueto.
Прекомерен прием на алкохол
Алкохол potentiates the effect of Метформин on lactate metabolism и this may increase the risk of Метформин-associated lactic acidosis. Предупреждавайте пациентите срещу прекомерния прием на алкохол, докато получавате jentadueto.
Чернодробно увреждане
Пациентите с чернодробно увреждане са развили случаи на свързана с метформин млечна ацидоза. Това може да се дължи на нарушен лактатен клирънс, което води до по -високи нива на кръвта на лактат. Следователно избягвайте използването на jentadueto при пациенти с клинични или лабораторни доказателства за чернодробно заболяване.
Панкреатит
Съобщава се за остър панкреатит, включително фатален панкреатит при пациенти, лекувани с линаглиптин. В процеса на Кармелина [виж Клинични изследвания ]] Съобщава се за остър панкреатит при 9 (NULL,3%) пациенти, лекувани с линаглиптин и при 5 (NULL,1%) пациенти, лекувани с плацебо. Двама пациенти, лекувани с линаглиптин в проучването Carmelina, са имали остър панкреатит с фатален резултат. Има съобщения за постмаркетинг за остър панкреатит, включително фатален панкреатит при пациенти, лекувани с линаглиптин.
Внимавайте внимателно за потенциални признаци и симптоми на панкреатит. Ако се подозира панкреатит незабавно, прекрати Jentadueto и инициира подходящо управление. Не е известно дали пациентите с анамнеза за панкреатит са изложени на повишен риск от развитието на панкреатит, докато използват jentadueto.
Хипогликемия With Concomitant Use With Insulin And Insulin Secretagogues
Известно е, че инсулиновите секрети и инсулин причиняват Хипогликемия . Рискът от хипогликемия се увеличава, когато jentadueto се използва в комбинация с инсулин секретагога (например сулфонилурея) или инсулин [виж Нежелани реакции ]. Therefore a lower dosage of the insulin secretagogue or insulin may be required to reduce the risk of Хипогликемия when used in combination with Езичник.
Реакции на свръхчувствителност
Има съобщения за постмаркетинг за сериозни реакции на свръхчувствителност при пациенти, лекувани с линаглиптин. Тези реакции включват анафилаксия ангиоедем и ексфолиращи кожни състояния. Появата на тези реакции се появи предимно в рамките на първите 3 месеца след започване на лечение с линаглиптин с някои съобщения, възникнали след първата доза. Ако се подозира сериозна реакция на свръхчувствителност, преустановете Jentadueto оценка за други потенциални причини за събитието и да се установи алтернативно лечение на захарен диабет.
Съобщава се и за ангиоедем с други инхибитори на дипептидил пептидаза-4 (DPP-4). Внимавайте при пациент с анамнеза за ангиоедем към друг инхибитор на DPP-4, тъй като не е известно дали такива пациенти ще бъдат предразположени към ангиоедем с jentadueto.
Дефицит на витамин В12
При клиничните изпитвания на метформин с продължителност 29 седмици се наблюдава намаление до поднормални нива на нормални нива на серумен витамин В12 при приблизително 7% от лекуваните с метформин пациенти. Подобно намаляване, което вероятно се дължи на смущения при абсорбция на В12 от комплекса на В12-интринния фактор, може да бъде свързано с анемия, но изглежда бързо обратимо с прекратяване на добавката на метформин или витамин В12. Някои индивиди (тези с неадекватна витамин В12 или прием на калций или абсорбция) изглежда са предразположени към развиване на нива на субнормални витамин В12. Измервайте хематологичните параметри годишно и витамин В12 на интервали от 2 до 3 години при пациенти на Jentadueto и управлявайте всички аномалии [виж Нежелани реакции ].
Тежки и деактивиращи
Arthralgia Има съобщения за пощенски пазари за тежка и деактивираща артралгия при пациенти, приемащи линаглиптин. Времето за появата на симптоми след започване на лекарствена терапия варира от един ден до години. Пациентите изпитват облекчаване на симптомите при прекратяване на лекарствата. Подмножество от пациенти преживяват рецидив на симптомите при рестартиране на едно и също лекарство или различен инхибитор на DPP-4. Разгледайте DPP-4 инхибиторите като възможна причина за силна болка в ставите и преустановете лекарството, ако е подходящо.
Булозен пемфигоид
Булозният пемфигоид е съобщено при 7 (NULL,2%) пациенти, лекувани с linagliptin в сравнение с никой при пациенти, лекувани с плацебо в проучването Carmelina [виж Клинични изследвания ] и 3 от тези пациенти са хоспитализирани поради булозен пемфигоид. Съобщава се за случаи на постмаркетиращи случаи на булозен пемфигоид, изискващ хоспитализация при употребата на инхибиторите на DPP-4. В съобщаващи случаи пациентите обикновено се възстановяват с локално или системно имуносупресивно лечение и прекратяване на инхибитора на DPP-4. Кажете на пациентите да съобщават за развитие на мехури или ерозии, докато получават jentadueto. Ако се подозира, че булозният пемфигоид трябва да бъде прекратен и трябва да се вземе предвид дерматолог за диагностициране и подходящо лечение.
Сърдечна недостатъчност
An association between DPP-4 inhibitor treatment and heart failure has been observed in cardiovascular outcomes trials for two other members of the DPP-4 inhibitor class. These trials evaluated patients with type 2 diabetes mellitus and atherosclerotic cardiovascular disease.
Помислете за рисковете и ползите от jentadueto преди започване на лечение при пациенти с риск от сърдечна недостатъчност, като тези с предишна анамнеза за сърдечна недостатъчност и анамнеза за бъбречно увреждане и наблюдавайте тези пациенти за признаци и симптоми на сърдечна недостатъчност по време на терапията. Посъветвайте пациентите за характерните симптоми на сърдечна недостатъчност и незабавно да съобщават такива симптоми. Ако сърдечната недостатъчност се развива оценка и управление според настоящите стандарти за грижа и помислете за прекратяване на jentadueto.
Информация за консултирането на пациентите
Посъветвайте се на пациента да прочете одобреното от FDA етикетиране на пациента ( Ръководство за лекарства )
Млечна ацидоза
Информирайте пациентите за рисковете от млечна ацидоза поради метформин неговите симптоми и състояния, които предразполагат към неговото развитие. Посъветвайте се с пациентите незабавно да прекратят Jentadueto и да уведомите незабавно своя доставчик на здравни грижи, ако се появяват необяснима хипервентилация неразположение миалгия необичайна сънливост или други неспецифични симптоми. Съветвайте пациентите срещу прекомерния прием на алкохол и информирайте пациентите за важността на редовното тестване на бъбречната функция, докато получават jentadueto. Инструктирайте пациентите да информират своя доставчик на здравни грижи, че приемат jentadueto преди всяка хирургическа или рентгенологична процедура, тъй като може да се наложи временна прекратяване, докато бъбречната функция не бъде потвърдена като нормална [виж ПредупреждениеS AND ПРЕДПАЗНИ МЕРКИ ].
Панкреатит
Информирайте пациентите, че е съобщено за остър панкреатит по време на употреба на линаглиптин. Информирайте пациентите, че постоянната силна коремна болка, която понякога се излъчва отзад, която може или не може да бъде придружена от повръщане, е отличителният симптом на остър панкреатит. Инструктирайте пациентите да прекратят незабавно Jentadueto и да се свържат с техния доставчик на здравни грижи, ако се появи постоянна тежка коремна болка [виж ПредупреждениеS AND ПРЕДПАЗНИ МЕРКИ ].
Хипогликемия With Concomitant Use With Insulin And Insulin Secretagogues
Информирайте пациентите, че рискът от хипогликемия се увеличава, когато jentadueto се използва в комбинация с инсулин секретагога (например сулфонилурея) или инсулин [виж ПредупреждениеS AND ПРЕДПАЗНИ МЕРКИ ].
Реакции на свръхчувствителност
Информирайте пациентите, че по време на постпаркета са съобщени сериозни алергични реакции като анафилаксия ангиоедем и ексфолиативни кожни състояния (един от компонентите на jentadueto). If symptoms of allergic reactions (such as rash skin flaking or peeling urticaria swelling of the skin or swelling of the face lips tongue and throat that may cause difficulty in breathing or swallowing) occur patients must stop taking JENTADUETO and seek medical advice promptly [see ПредупреждениеS AND ПРЕДПАЗНИ МЕРКИ ].
Дефицит на витамин В12
Информирайте пациентите за значението на редовните хематологични параметри, докато получавате jentadueto [виж ПредупреждениеS AND ПРЕДПАЗНИ МЕРКИ ].
Тежки и деактивиращи Arthralgia
Inform patients that severe and disabling joint pain may occur with this class of drugs. The time to onset of symptoms can range from one day to years. Instruct patients to seek medical advice if severe joint pain occurs [see ПредупреждениеS AND ПРЕДПАЗНИ МЕРКИ ].
Булозен пемфигоид
Информирайте пациентите, че по време на употребата на линаглиптин е съобщено за булозен пемфигоид. Инструктирайте пациентите да потърсят медицински съвет, ако се появят мехури или ерозии [виж ПредупреждениеS AND ПРЕДПАЗНИ МЕРКИ ].
Сърдечна недостатъчност
Информирайте пациентите за признаците и симптомите на сърдечна недостатъчност. Преди да се започне пациентите с jentadueto трябва да бъдат попитани за анамнеза за сърдечна недостатъчност или други рискови фактори за сърдечна недостатъчност, включително умерено до тежко бъбречно увреждане. Инструктирайте пациентите да се свържат с техния доставчик на здравни грижи възможно най -скоро, ако изпитват симптоми на сърдечна недостатъчност, включително увеличаване ПредупреждениеS AND ПРЕДПАЗНИ МЕРКИ ].
Пациенти с репродуктивен потенциал
Информирайте пациентите, че лечението с метформин може да доведе до овулация при някои ановулаторни пациенти в комнонопауза, което може да доведе до нежелана бременност [виж Използване в конкретни популации ].
Пропуснато доза
Инструктирайте пациентите да приемат Jentadueto само както е предписано. Ако се пропусне доза, тя трябва да се приеме веднага щом пациентът си спомня. Посъветвайте пациентите да не удвоят следващата си доза.
Неклинична токсикология
Канцерогенеза мутагенеза Нарушаване на плодовитостта
Езичник
Не са проведени канцерогенност мутагенност или увреждане на проучванията за плодовитост с комбинацията от линаглиптин и метформин HCl.
Linagliptin
Linagliptin did not increase the incidence of tumors in male и female rats in a 2-year study at doses of 6 18 и 60 mg/kg. The highest dose of 60 mg/kg is approximately 418 times the clinical dose of 5 mg/day based on AUC exposure. Linagliptin did not increase the incidence of tumors in mice in a 2-year study at doses up to 80 mg/kg (males) и 25 mg/kg (females) or approximately 35 и 270 times the clinical dose based on AUC exposure. Higher doses of linagliptin in female mice (80 mg/kg) increased the incidence of lymphoma at approximately 215 times the clinical dose based on AUC exposure.
Linagliptin was not mutagenic or clastogenic with or without metabolic activation in the Ames bacterial mutagenicity assay a chromosomal aberration test in human lymphocytes и an in vivo micronucleus assay.
При изследванията на плодовитостта при плъхове linagliptin не са имали неблагоприятни ефекти върху ранното ембрионално развитие на чифтосността или носенето на живи млади до най -високата доза от 240 mg/kg (приблизително 943 пъти по -голяма от клиничната доза въз основа на експозицията на AUC).
Метформин HCl
Дългосрочните изследвания на канцерогенността са проведени при плъхове (продължителност на дозирането от 104 седмици) и мишки (продължителност на дозирането от 91 седмици) при дози до и включително 900 mg/kg/ден и 1500 mg/kg/ден. Тези дози са приблизително 4 пъти повече от максималната препоръчителна човешка дневна доза от 2000 mg/kg/ден въз основа на сравненията на повърхността на тялото. Не са открити доказателства за канцерогенност с метформин нито при мъжки, нито при женски мишки. По същия начин не се наблюдава туморогенна потенциал при метформин при мъжки плъхове.
Има обаче повишена честота на доброкачествени стромални маточни полипи при женски плъхове, лекувани с 900 mg/kg/ден. Няма данни за мутагенна потенциал на метформин в следните in vitro тестове: тест за генна мутация на Salmonella typhimurium) (миши лимфомни клетки) или тест за хромозомни аберации (човешки лимфоцити). Резултатите от теста in vivo мишка микронуклеус също бяха отрицателни.
Плодовитостта на мъжките или женските плъхове не се влияе от метформин, когато се прилага в дози до 600 mg/kg/ден, което е приблизително 2 пъти по -голямо от MRHD въз основа на сравненията на повърхността на тялото.
Използване в конкретни популации
Бременност
Обобщение на риска
Ограничените данни с употребата на jentadueto и linagliptin при бременни жени не са достатъчни за информиране на асоцииран от jentadueto-асоцииран или свързан с линаглиптин риск за големи вродени дефекти и спонтанен аборт. Публикувани проучвания с употреба на метформин по време на бременност не съобщават за ясна връзка с метформин и основен вроден дефект или риск от спонтанен аборт [виж Данни ]. There are risks to the mother и fetus associated with poorly controlled diabetes in pregnancy [see Клинични съображения ].
В проучвания за репродукция на животни не са наблюдавани неблагоприятни ефекти на развитие, когато комбинацията от линаглиптин и метформин се прилага на бременни плъхове по време на периода на органогенеза при дози, подобни на максималната препоръчителна клинична доза въз основа на експозицията [виж Данни ].
Прогнозният фонов риск от големи вродени дефекти е 6% до 10% при жени с пред-гестационен диабет с HBA1C> 7 и се съобщава, че е достигащо 20% до 25% при жени с HBA1C> 10. Прогнозният фонов риск от спонтанен аборт за посоченото население е неизвестен. В общата популация на САЩ прогнозният фонов риск от големи вродени дефекти и спонтанен аборт в клинично признатите бременности е съответно 2% до 4% и 15% до 20%.
Колко пухчета в Breo Ellipta
Клинични съображения
Свързан с болестта майчин и/или риск от ембриона/плод
Лошо контролиран диабет при бременност увеличава риска от майката на диабетна кетоацидоза прееклампсия спонтанно аборти с преждевременно доставка и усложнения за доставяне. Лошо контролираният диабет увеличава риска от плода при големи дефекти в раждането и заболеваемостта, свързана с макрозомия.
Данни
Човешки данни
Публикуваните данни от проучвания за постмаркетинг не съобщават за ясна връзка с метформин и основни вродени дефекти спонтанен аборт или неблагоприятни резултати от майката или плода, когато метформинът се използва по време на бременност. Тези проучвания обаче определено не могат да установят липсата на свързан с метформин риск поради методологични ограничения, включително малък размер на извадката и непоследователни групи за сравнение.
Данни за животните
Linagliptin и Метформин the components of Езичник were coadministered to pregnant Wistar Han rats during the period of organogenesis. No adverse developmental outcome was observed at doses similar to the maximum recommended clinical dose based on exposure. At higher doses associated with maternal toxicity the Метформин component of the combination was associated with an increased incidence of fetal rib и scapula malformations at ≥9-times a 2000 mg clinical dose based on exposure.
Linagliptin
Не се наблюдава неблагоприятен резултат от развитието, когато линаглиптинът се прилага на бременни плъхове Wistar Han и хималайски зайци по време на периода на органогенеза при дози съответно до 240 mg/kg/ден и 150 mg/kg/ден. Тези дози представляват приблизително 943 пъти (плъхове) и 1943 пъти (зайци) 5 mg максимална клинична доза въз основа на експозицията. Не се наблюдава неблагоприятен функционален поведенчески или репродуктивен резултат при потомство след прилагане на линаглиптин към плъхове Wistar Han от гестационен ден 6 до ден на лактация 21 в доза 49 пъти максималната препоръчителна доза на човека въз основа на експозицията.
Linagliptin crosses the placenta into the fetus following oral dosing in pregnant rats и rabbits.
Метформин HCl
Метформин HCl did not cause adverse developmental effects when administered to pregnant Sprague Dawley rats и rabbits at doses up to 600 mg/kg/day during the period of organogenesis. This represents an exposure of approximately 2- и 6-times a clinical dose of 2000 mg based on body surface area (mg/m²) for rats и rabbits respectively.
Лактация
Обобщение на риска
Има ограничена информация относно наличието на jentadueto или неговите компоненти (linagliptin или метформин) в човешкото мляко ефектите върху кърменото бебе или ефектите върху производството на мляко. Въпреки това, Linagliptin присъства в млякото на плъхове. Ограничени публикувани проучвания докладът, че метформин присъства в човешкото мляко [виж Данни ]. Therefore the developmental и health benefits of breastfeeding should be considered along with the mother’s clinical need for Езичник и any potential adverse effects on the breastfed child from Езичник or from the underlying maternal condition.
Данни
Публикуваните клинични проучвания за лактация съобщават, че метформинът присъства в човешкото мляко, което е довело до дози за бебета приблизително 0,11% до 1% от дозата с тежест на майката и съотношение на мляко/плазма, вариращо между 0,13 и 1. Въпреки това проучванията не са предназначени за определено установяване на риска от употреба на метформан по време на лактация поради малък размер на извадката и ограничени неблагоприятни събития, събрани в крангите по време на лактация, тъй като проучванията не са предназначени за определено установяване на риска от употреба на метформан по време на лактация поради малък размер на извадката и ограничени неблагоприятни събития, събрани в крангите.
Жени и мъже с репродуктивен потенциал
Обсъдете потенциала за непредвидена бременност с жени в преминопауза, тъй като терапията с метформин може да доведе до овулация при някои ановулаторни жени.
Педиатрична употреба
Безопасността и ефективността на jentadueto не са установени при педиатрични пациенти.
Ефективността на линаглиптин не е демонстрирана в 26-седмично рандомизирано двойно-сляпо плацебо-контролирано проучване (NCT03429543) при 157 педиатрични пациенти на възраст от 10 до 17 години с неадекватно контролиран захарен диабет тип 2.
Гериатрична употреба
Linagliptin is minimally excreted by the kidney; however Метформин is substantially excreted by the kidney [see ПредупреждениеS AND ПРЕДПАЗНИ МЕРКИ и Клинична фармакология ].
Linagliptin
При проучвания на Linagliptin 1085 пациенти, лекувани с линаглиптин, са на 65 години и по-големи, а 131 пациенти са на 75 години и повече. В тези проучвания на линаглиптин не са наблюдавани общи разлики в безопасността или ефективността на линаглиптин между пациенти с гериатрични и по -млади възрастни пациенти.
Метформин
Контролираните клинични проучвания на метформин не включват достатъчен брой пациенти в напреднала възраст, за да се определи дали реагират различно от по -младите пациенти. Като цяло изборът на доза за възрастен пациент трябва да бъде предпазлив, който обикновено започва от ниския край на обхвата на дозиране, отразяващ по -голямата честота на намалена чернодробна бъбречна или сърдечна функция и на съпътстваща болест или друга лекарствена терапия и по -висок риск от млечна ацидоза. Оценявайте бъбречната функция по -често при възрастни пациенти [виж Противопоказания ПредупреждениеS AND ПРЕДПАЗНИ МЕРКИ и Клинична фармакология ].
Бъбречно увреждане
Метформин is substantially excreted by the kidney и the risk of Метформин accumulation и lactic acidosis increases with the degree of renal impairment.
Езичник is contraindicated in severe renal impairment patients with an estimated glomerular filtration rate (eGFR) below 30 mL/min/1.73 m² [see Доза и приложение Противопоказания ПредупреждениеS AND ПРЕДПАЗНИ МЕРКИ и Клинична фармакология ].
В рамото за лечение на Linagliptin на изпитанието Carmelina [виж Клинични изследвания ] 2200 (63%) пациенти са имали бъбречно увреждане (EGFR <60 mL/min/1.73 m²). Approximately 20% of the population had eGFR ≥45 to <60 mL/min/1.73 m² 28% of the population had eGFR ≥30 to <45 mL/min/1.73 m² и 15% had eGFR <30 mL/min/1.73 m². The overall incidence of adverse reactions were generally similar between the linagliptin и placebo treatment arms.
Чернодробно увреждане
Използването на метформин при пациенти с чернодробно увреждане е свързано с някои случаи на млечна ацидоза. Jentadueto не се препоръчва при пациенти с чернодробно увреждане [виж ПредупреждениеS AND ПРЕДПАЗНИ МЕРКИ ].
Информация за предозиране за jentadueto
В случай на предозиране с jentadueto помислете за контакт с линията за помощ от отрови (1-800-222-1222) или медицински токсиколог за допълнителни препоръки за управление на прекомерното управление.
Настъпи предозиране на метформин HCl, включително поглъщане на количества, по -големи от 50 грама. Съобщава се за млечна ацидоза при приблизително 32% от случаите на предозиране с метформин [виж ПредупреждениеS AND ПРЕДПАЗНИ МЕРКИ ]. Метформин is dialyzable with a clearance of up to 170 mL/min under good hemodynamic conditions. Therefore hemodialysis may be useful for removal of accumulated drug from patients in whom Метформин overdosage is suspected.
Отстраняването на линаглиптин от хемодиализа или перитонеална диализа е малко вероятно.
Противопоказания за jentadueto
Езичник is contraindicated in patients with:
- тежко бъбречно увреждане (EGFR под 30 ml/min/1,73 m²) [виж ПредупреждениеS AND ПРЕДПАЗНИ МЕРКИ ].
- Остра или хронична метаболитна ацидоза, включително диабетна кетоацидоза [виж ПредупреждениеS AND ПРЕДПАЗНИ МЕРКИ ].
- Хиперчувствителност към метформин на линаглиптин или някой от помощните вещества в реакции на джентадуето като анафилаксия ангиоедем ексфолиация на кожата Уртикария или бронхиална хиперреактивност са възникнали с линаглиптин [виж ПредупреждениеS AND ПРЕДПАЗНИ МЕРКИ и Нежелани реакции ].
Клинична фармакология for Jentadueto
Механизъм на действие
Езичник
Езичник contains: linagliptin a dipeptidyl peptidase-4 (DPP-4) inhibitor и Метформин a biguanide.
Linagliptin
Linagliptin is an inhibitor of DPP-4 an enzyme that degrades the incretin hormones glucagon-like peptide-1 (GLP-1) и glucose-dependent insulinotropic polypeptide (GIP). Thus linagliptin increases the concentrations of active incretin hormones stimulating the release of insulin in a glucose-dependent manner и decreasing the levels of glucagon in the circulation. Both incretin hormones are involved in the physiological regulation of glucose homeostasis. Incretin hormones are secreted at a low basal level throughout the day и levels rise immediately after meal intake. GLP-1 и GIP increase insulin biosynthesis и secretion from pancreatic beta cells in the presence of normal и elevated blood glucose levels. Furthermore GLP-1 also reduces glucagon secretion from pancreatic alpha cells resulting in a reduction in hepatic glucose output.
Метформин HCl
Метформин is an antihyperglycemic agent which improves glucose tolerance in patients with type 2 Диабет захарен lowering both basal и postprиial plasma glucose. Метформин decreases hepatic glucose production decreases intestinal absorption of glucose и improves insulin sensitivity by increasing peripheral glucose uptake и utilization. With Метформин therapy insulin secretion remains unchanged while fasting insulin levels и day-long plasma insulin response may decrease.
Фармакодинамика
Linagliptin
Linagliptin binds to DPP-4 in a reversible manner и increases the concentrations of incretin hormones. Linagliptin glucose-dependently increases insulin secretion и lowers glucagon secretion thus resulting in a better regulation of the glucose homeostasis. Linagliptin binds selectively to DPP-4 и selectively inhibits DPP-4 but not DPP-8 or DPP-9 activity in vitro at concentrations approximating therapeutic exposures.
Сърдечна електрофизиология
В рандомизирано плацебо-контролиран 4-посочен кръстосан изследване на активното съчетание 36 здрави субекти се прилагат единична орална доза линаглиптин 5 mg линаглиптин 100 mg (20 пъти по-голяма от препоръчителната доза) моксифлоксацин и плацебо. Не се наблюдава увеличение на QTC или с препоръчителната доза от 5 mg, нито с дозата от 100 mg. При плазмените концентрации на линаглиптин от 100 mg са приблизително 38 пъти по-високи от пиковите концентрации след 5 mg доза.
Фармакокинетика
Езичник
Приложението на Linagliptin 2,5 mg/метформин HCl 1000 mg комбинация с фиксирана доза с храна доведе до промяна в общата експозиция на линаглиптин. Няма промяна в метформин AUC; Въпреки това средната пикова серумна концентрация на метформин е намалена с 18%, когато се прилага с храна. За забавяне на серумните концентрации от време до пик с 2 часа се наблюдава за метформин при условия на федерация. Тези промени вероятно няма да бъдат клинично значими.
Абсорбция
Linagliptin
Абсолютната бионаличност на линаглиптин е приблизително 30%. След перорално прилагане на плазмените концентрации на линаглиптин намалява поне двуфазен начин с дълъг терминалния полуживот (> 100 часа), свързан с наситимото свързване на linagliptin с DPP-4. Обаче продължителното елиминиране не допринася за натрупването на лекарството. Ефективният полуживот за натрупване на линаглиптин, определен от орално приложение на множество дози линаглиптин 5 mg, е приблизително 12 часа. След веднъж дневно плазмените концентрации на стационарно състояние на линаглиптин 5 mg се достигат от третата доза и CMAX и AUC се увеличават с коефициент 1,3 в стационарно състояние в сравнение с първата доза. Плазменият AUC на линаглиптин се увеличава по по-малък от дозата пропорционален начин в диапазона на дозата от 1 до 10 mg. Фармакокинетиката на линаглиптин е подобна при здрави индивиди и при пациенти със захарен диабет тип 2.
Метформин HCl
Абсолютната бионаличност на таблета Metformin HCl 500 mg, дадена при условия на гладуване, е приблизително 50% до 60%. Проучванията, използващи единични перорални дози метформинови таблетки от 500 mg до 1500 mg и 850 mg до 2550 mg, показват, че липсва пропорционалност на дозата с увеличаване на дозите, което се дължи на намалена абсорбция, а не на промяна в елиминирането.
Разпределение
Linagliptin
Средният очевиден обем на разпределение в стационарно състояние след единична интравенозна доза linagliptin 5 mg към здрави индивиди е приблизително 1110 L, което показва, че линаглиптинът се разпространява широко към тъканите. Свързването на плазмения протеин на линаглиптин е зависимо от концентрацията, намаляващо от около 99% при 1 nmol/L до 75% до 89% при ≥30 nmol/L, отразяващ насищането на свързване към DPP-4 с увеличаване на концентрацията на линаглиптин. При високи концентрации, при които DPP-4 е напълно наситен от 70% до 80% от Linagliptin остава свързан с плазмените протеини, а 20% до 30% е несвързан в плазмата. Плазменото свързване не се променя при пациенти с бъбречно или чернодробно увреждане.
Метформин HCl
Очевидният обем на разпределение (V/F) на метформин след единични перорални дози от таблетки с незабавно освобождаване на метформин HCl 850 mg средно 654 ± 358 L.
Метформин is negligibly bound to plasma proteins. Метформин partitions into erythrocytes most likely as a function of time.
Елиминиране
Linagliptin
Linagliptin has a terminal half-life of about 200 hours at steady-state though the accumulation half-life is about 11 hours. Renal clearance at steady-state was approximately 70 mL/min.
Метформин HCl
Метформин has a plasma elimination half-life of approximately 6.2 hours. In blood the elimination half-life is approximately 17.6 hours suggesting that the erythrocyte mass may be a compartment of distribution.
Метаболизъм
Linagliptin
След устната администрация по -голямата част (около 90%) от линаглиптин е екскретирано непроменено, което показва, че метаболизмът представлява незначителен път на елиминиране. Малка част от абсорбирания линаглиптин се метаболизира на фармакологично неактивен метаболит, който показва стационарно излагане на 13,3% спрямо линаглиптин.
Метформин HCl
Интравенозните изследвания с една доза при нормални лица показват, че метформинът не претърпява чернодробен метаболизъм (не са идентифицирани метаболити при хора), нито жлъчна екскреция.
Екскреция
Linagliptin
След прилагане на устна устна [ 14 C] дозата на линаглиптин на здрави субекти приблизително 85%от администрираната радиоактивност се елиминира чрез ентерохепаталната система (80%) или урината (5%) в рамките на 4 дни след дозирането.
Метформин HCl
След пероралното приложение приблизително 90% от абсорбираното лекарство се екскретира по бъбречния път в рамките на първите 24 часа. Бъбречният клирънс е приблизително 3,5 пъти по -голям от креатининовия клирънс, което показва, че тръбната секреция е основният път на елиминиране на метформин.
Специфични популации
Бъбречно увреждане
Езичник
Проучвания, характеризиращи фармакокинетиката на Linagliptin и метформин след прилагане на Jentadueto при пациенти с бъбречно увреждане, не са проведени.
Linagliptin
При стационарни условия експозицията на линаглиптин при пациенти с леко бъбречно увреждане е сравнима с здрави индивиди. При пациенти с умерено бъбречно увреждане при стационарни условия означават, че експозицията на линаглиптин се увеличава (AUCτss със 71% и CMAX с 46%) в сравнение със здрави индивиди. Това увеличение не е свързано с продължително натрупване на полуживот на полуживот или повишен коефициент на натрупване. Бъбречната екскреция на линаглиптин е под 5% от приложената доза и не е повлияна от намалена бъбречна функция.
Пациентите със захарен диабет тип 2 и тежко бъбречно увреждане показват стационарно излагане приблизително с 40% по-висока от тази на пациенти със захарен диабет тип 2 и нормална бъбречна функция (увеличаване на AUC с 42% и CMAX с 35%). И за двете групи за захарен диабет тип 2 бъбречната екскреция е под 7% от прилаганата доза.
Тези открития бяха допълнително подкрепени от резултатите от фармакокинетичните анализи на популацията.
Метформин HCl
При пациенти с намалена бъбречна функция плазмата и полуживотът на кръвта на метформин се удължава и бъбречният клирънс е намален [виж Противопоказания и ПредупреждениеS AND ПРЕДПАЗНИ МЕРКИ ].
Чернодробно увреждане
Езичник
Проучвания, характеризиращи фармакокинетиката на Linagliptin и метформин след прилагане на Jentadueto при пациенти с нарушеност на хълмове ПредупреждениеS AND ПРЕДПАЗНИ МЕРКИ ].
Linagliptin
In patients with mild hepatic impairment (Child-Pugh class A) steady-state exposure (AUCτss) of linagliptin was approximately 25% lower and Cmaxss was approximately 36% lower than in healthy subjects. In patients with moderate hepatic impairment (Child-Pugh class B) AUCss of linagliptin was about 14% lower and Cmaxss was approximately 8% lower than in healthy subjects. Patients with severe hepatic impairment (Child-Pugh class C) had comparable exposure of linagliptin in terms of AUC0-24 and approximately 23% lower Cmax compared with healthy subjects. Reductions in the pharmacokinetic parameters seen in patients with hepatic impairment did not result in reductions in DPP-4 inhibition.
Метформин HCl
Не са проведени фармакокинетични изследвания на метформин при пациенти с чернодробно увреждане.
Ефекти от възрастовата телесна маса индекс (ИТМ) Пол и раса
Linagliptin
Въз основа на популационния фармакокинетичен анализ Възраст ИТМ по пол и раса няма клинично значим ефект върху фармакокинетиката на линаглиптин [виж Използване в конкретни популации ].
Метформин HCl
Метформин pharmacokinetic parameters did not differ significantly between normal subjects и patients with type 2 Диабет захарен when analyzed according to gender. Similarly in controlled clinical studies in patients with type 2 Диабет захарен the antihyperglycemic effect of Метформин was comparable in males и females.
Ограничените данни от контролирани фармакокинетични проучвания на метформин при здрави възрастни субекти предполагат, че общият плазмен клирънс на метформин е намален. Полупарът се удължава и CMAX се увеличава в сравнение със здрави млади субекти. От тези данни изглежда, че промяната в метформиновата фармакокинетика със стареене се отчита предимно чрез промяна в бъбречната функция.
Не са извършени проучвания на метформинови фармакокинетични параметри според расата. При контролирани клинични проучвания на метформин HCl при пациенти със захарен диабет тип 2 антихипергликемичният ефект е съпоставим при кавказците (n = 249) чернокожи (n = 51) и испаноядците (n = 24).
Лекарствени взаимодействия
Не са извършени фармакокинетични проучвания за взаимодействие с лекарства с jentadueto; Въпреки това са проведени такива проучвания с отделните компоненти на Jentadueto (Linagliptin и Metformin HCl).
Linagliptin
In vitro оценка на лекарствените взаимодействия
Linagliptin is a weak to moderate inhibitor of CYP isozyme CYP3A4 but does not inhibit other CYP isozymes и is not an inducer of CYP isozymes including CYP1A2 2A6 2B6 2C8 2C9 2C19 2D6 2E1 и 4A11.
Linagliptin is a P-glycoprotein (P-gp) substrate и inhibits P-gp mediated transport of Дигоксин at high concentrations. Based on these results и in vivo drug interaction studies linagliptin is considered unlikely to cause interactions with other P-gp substrates at therapeutic concentrations.
In vivo оценка на лекарствените взаимодействия
Силни индуктори на CYP3A4 или P-gp (например рифампин) намаляват излагането на линаглиптин на субтерапевтични и вероятно неефективни концентрации [виж Лекарствени взаимодействия ]. In vivo studies indicated evidence of a low propensity for causing drug interactions with substrates of CYP3A4 CYP2C9 CYP2C8 P-gp и organic cationic transporter (OCT).
Таблица 3 описва ефекта на съвместните лекарства върху системната експозиция на линаглиптин.
Таблица 3: Ефект на съвместни лекарства върху системното излагане на линаглиптин
| Съвместно лекарство | Дозиране на наркотици с съвместна работа* | Дозиране на linagliptin* | Геометрично средно съотношение (съотношение с/без съвместно лекарство) няма ефект = 1.0 | |
| AUC † | C Max | |||
| Метформин | 850 mg време | 10 mg qd | 1.20 | 1.03 |
| Глибурид | 1,75 mg | 5 mg qd | 1.02 | 1.01 |
| Пиоглитазон | 45 mg qd | 10 mg qd | 1.13 | 1.07 |
| Ритонавир | 200 mg оферта | 5 mg | 2.01 | 2.96 |
| Рифампин ** | 600 mg qd | 5 mg qd | 0.60 | 0.56 |
| *Множество доза (стационарно състояние), освен ако не е отбелязано друго ** за информация относно клиничните препоръки [виж Лекарствени взаимодействия ]. † AUC = AUC (0 до 24 часа) за лечение с една доза и AUC = AUC (Tau) за лечение с множество дози Qd = веднъж дневно Оферта = два пъти дневно TID = три пъти дневно |
Таблица 4 описва ефекта на линаглиптин върху системното излагане на съвместни лекарства.
Таблица 4: Ефект на линаглиптин върху системната експозиция на съвместни лекарства
| Съвместно лекарство | Дозиране на наркотици с съвместна работа* | Дозиране на linagliptin* | Геометрично средно съотношение (съотношение с/без съвместно лекарство) няма ефект = 1.0 | ||
| AUC † | C | ||||
| Метформин | 850 mg време | 10 mg qd | Метформин | 1.01 | 0.89 |
| Глибурид | 1,75 mg | 5 mg qd | глибурид | 0.86 | 0.86 |
| Пиоглитазон | 45 mg qd | 10 mg qd | Пиоглитазон | 0.94 | 0.86 |
| Метаболит M-III | 0.98 | 0.96 | |||
| Метаболит M-IV | 1.04 | 1.05 | |||
| Дигоксин | 0,25 mg qd | 5 mg qd | Дигоксин | 1.02 | 0.94 |
| Симвастатин | 40 mg qd | 10 mg qd | Симвастатин | 1.34 | 1.10 |
| Симвастатин acid | 1.33 | 1.21 | |||
| Варфарин | 10 mg | 5 mg qd | R-Warfar | 0.99 | 1.00 |
| S-Warfar | 1.03 | 1.01 | |||
| INR | 0.93 ** | 1.04 ** | |||
| Pt | 1.03 ** | 1.15 ** | |||
| Етинилестрадиол и левоноргестрел | етинилестрадиол 0,03 mg и levonorgestrel 0,150 mg qd | 5 mg qd | етинилестрадиол | 1.01 | 1.08 |
| Levonorgestrel | 1.09 | 1.13 | |||
| *Множество доза (стационарно състояние), освен ако не е отбелязано друго † AUC = AUC (INF) за лечение с една доза и AUC = AUC (Tau) за лечение с множество дози ** AUC = AUC (0-168) и CMAX = EMAX за фармакодинамични крайни точки INR=International Normalized Ratio Pt=Prothrombin Time Qd = веднъж дневно TID = три пъти дневно |
Метформин HCl
Таблица 5 описва ефекта на съвместните лекарства върху плазмената метформинова системна експозиция.
Таблица 5: Ефект на съвместни лекарства върху плазмената метформинова системна експозиция
| Съвместно лекарство | Дозиране на наркотици с съвместна работа* | Дозиране на метформин* | Геометрично средно съотношение (съотношение с/без съвместно лекарство) няма ефект = 1.0 | ||
| AUC † | C Max | ||||
| Глибурид | 5 mg | 850 mg | Метформин | 0,91 ‡ | 0,93 ‡ |
| Фуросемид | 40 mg | 850 mg | Метформин | 1.09 ‡ | 1.22 ‡ |
| Нифедипин | 10 mg | 850 mg | Метформин | 1.16 | 1.21 |
| Пропранолол | 40 mg | 850 mg | Метформин | 0.90 | 0.94 |
| Ибупрофен | 400 mg | 850 mg | Метформин | 1.05 ‡ | 1.07 ‡ |
| Катионните лекарства, елиминирани от бъбречната тръбна секреция, могат да намалят елиминирането на метформин [виж Лекарствени взаимодействия ]. | |||||
| Циметидин | 400 mg | 850 mg | Метформин | 1.40 | 1.61 |
| Инхибиторите на въглеродната анхидраза могат да причинят метаболитна ацидоза [виж Лекарствени взаимодействия ]. | |||||
| Топирамат ** | 100 mg | 500 mg | Метформин | 1.25 | 1.17 |
| *Всички лекарства с метформин и съвместни устройства бяха дадени като единични дози † AUC = AUC (Inf) ‡ Съотношение на аритметични средства ** в стационарно състояние с топирамат 100 mg на всеки 12 часа и метформин 500 mg на всеки 12 часа; AUC = AUC (0-12 часа) |
Таблица 6 описва ефекта на метформин върху експозицията на лекарствени системи.
Таблица 6: Ефект на метформин върху експозицията на лекарствени системи в съвместна работа
| Съвместно лекарство | Дозиране на наркотици с съвместна работа* | Дозиране на метформин* | Геометрично средно съотношение (съотношение с/без метформин) няма ефект = 1.0 | ||
| AUC † | Cmax | ||||
| Глибурид | 5 mg | 850 mg | глибурид | 0,78 ‡ | 0,63 ‡ |
| Фуросемид | 40 mg | 850 mg | фуросемид | 0.87 ‡ | 0,69 ‡ |
| Нифедипин | 10 mg | 850 mg | Нифедипин | 1.10 § | 1.08 |
| Пропранолол | 40 mg | 850 mg | пропранолол | 1.01 | 1.02 |
| Ибупрофен | 400 mg | 850 mg | Ибупрофен | 0.97¶ | 1.01¶ |
| Циметидин | 400 mg | 850 mg | Циметидин | 0 95 | 1.01 |
| *Всички лекарства с метформин и съвместни устройства бяха дадени като единични дози † AUC = AUC (Inf) unless otherwise noted ‡ Съотношение на аритметични средства p-value of difference <0.05 §AUC (0-24 часа) съобщава ¶Ratio на аритметични средства |
Клинични изследвания
Изпитвания за гликемичен контрол при възрастни със захарен диабет тип 2 Първоначална комбинация
Терапия с линаглиптин и метформин
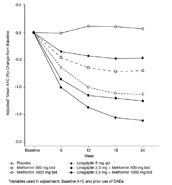
Общо 791 пациенти със захарен диабет тип 2 и недостатъчен гликемичен контрол върху диетата и упражненията участваха в 24-седмичната рандомизирана двойно-сляпа част от това плацебо контролирано факторно изпитване, предназначено да оцени ефикасността на линаглиптин като първоначална терапия с метформин. Пациентите на антихипергликемичен агент (52%) са претърпели период на измиване на лекарства от 4 седмици. След периода на измиване и след завършване на 2-седмично едно-слепи плацебо пациенти с период на изпълнение с неадекватна гликемична контрола (A1C ≥7,0% до ≤10,5%) бяха рандомизирани. Пациенти с неадекватна гликемичен контрол (A1C ≥7,5% до <11.0%) not on antihyperglycemic agents at trial entry (48%) immediately entered the 2-week single-blind placebo run-in period и then were rиomized. Rиomization was stratified by baseline A1C ( <8.5% vs ≥8.5%) и use of a prior oral antidiabetic drug (none vs monotherapy). Patients were rиomized in a 1:2:2:2:2:2 ratio to either placebo or one of 5 activetreatment arms. Approximately equal numbers of patients were rиomized to receive initial therapy with 5 mg of linagliptin once daily 500 mg or 1000 mg of Метформин twice daily or 2.5 mg of linagliptin twice daily in combination with 500 mg or 1000 mg of Метформин twice daily. Patients who failed to meet specific glycemic goals during the trial were treated with sulfonylurea thiazolidinedione or insulin rescue therapy. Initial therapy with the combination of linagliptin и Метформин provided significant improvements in A1C и fasting plasma glucose (FPG) compared to placebo to Метформин alone и to linagliptin alone (Table 7 Figure 1).
Регулираната средна разлика в лечението в A1C от изходното ниво до 24 -та седмица (LOCF) е -0,5% (95% CI -0,7 -0,3; P <0.0001) for linagliptin 2.5 mg/Метформин 1000 mg twice daily compared to Метформин 1000 mg twice daily; -1.1% (95% CI -1.4 -0.9; p <0.0001) for linagliptin 2.5 mg/Метформин 1000 mg twice daily compared to linagliptin 5 mg once daily; -0.6% (95% CI -0.8 -0.4; p <0.0001) for linagliptin 2.5 mg/Метформин 500 mg twice daily compared to Метформин 500 mg twice daily; и -0.8% (95% CI -1.0 -0.6; p <0.0001) for linagliptin 2.5 mg/Метформин 500 mg twice daily compared to linagliptin 5 mg once daily.
Липидните ефекти обикновено са неутрални. В нито една от 6 -те групи лечебни групи не се отбелязва значима промяна в телесното тегло.
Таблица 7: Гликемични параметри при окончателно посещение (24-седмично изпитване) само за линаглиптин и метформин и в комбинация при рандомизирани пациенти със захарен диабет тип 2, недостатъчно контролиран от диета и упражнения **
| Плацебо | Linagliptin 5 mg Once Daily* | Метформин 500 mg Twice Daily | Linagliptin 2.5 mg Twice Daily* + Метформин 500 mg Twice Daily | Метформин 1000 mg Twice Daily | Linagliptin 2.5 mg Twice Daily* + Метформин 1000 mg Twice Daily | |
| A1C (%) | ||||||
| Брой пациенти | n = 65 | n = 135 | n = 141 | n = 137 | n = 138 | n = 140 |
| Базова линия (средно) | 8.7 | 8.7 | 8.7 | 8.7 | 8.5 | 8.7 |
| Промяна от изходното ниво (коригирана средна стойност ****) | 0.1 | -0.5 | -0.6 | -1.2 | -1.1 | -1.6 |
| Разлика от плацебо (коригирана средна стойност) (95% там) | - | -0.6 (-0.9 -0.3) | -0.8 (-1.0 -0.5) | -1.3 (-1.6 -1.1) | -1.2 (-1.5 -0.9) | -1.7 (-2.0 -1.4) |
| Пациенти [n (%)] постигат A1C <7%* ** | 7 (10.8) | 14 (10.4) | 26 (18.6) | 41 (30.1) | 42 (30.7) | 74 (53.6) |
| Пациенти (%) получават спасителни лекарства | 29.2 | 11.1 | 13.5 | 7.3 | 8.0 | 4.3 |
| FPG (mg/dl) | ||||||
| Брой пациенти | n = 61 | n = 134 | n = 136 | n = 135 | n = 132 | n = 136 |
| Базова линия (средно) | 203 | 195 | 191 | 199 | 191 | 196 |
| Промяна от изходното ниво (коригирана средна стойност ****) | 10 | -9 | -16 | -33 | -32 | -49 |
| Разлика от плацебо (коригирана средна стойност) (95% там) | - | -19 (-31 -6) | -26 (-38 -14) | -43 (-56 -31) | -42 (-55 -30) | -60 (-72 -47) |
| *Общата дневна доза на линаглиптин е равна на 5 mg ** Пълна популация на анализ, използвайки последното наблюдение при изпитване *** Метформин 500 mg два пъти дневно n = 140; Linagliptin 2,5 mg два пъти дневно метформин 500 mg два пъти дневно n = 136; Метформин 1000 mg два пъти дневно n = 137; Linagliptin 2,5 mg два пъти дневно метформин 1000 mg два пъти дневно n = 138 ****HbA1c: ANCOVA model included treatment and number of prior OADs as class-effects as well as baseline HbA1c as continuous covariates. FPG: ANCOVA model included treatment and number of prior OADs as class-effects as well as baseline HbA1c and baseline FPG as continuous covariates. |
Фигура 1: Коригирана средна промяна от изходното ниво за A1C (%) за 24 седмици само с линаглиптин и метформин и в комбинация при пациенти със захарен диабет тип 2, недостатъчно контролиран с диета и упражнения - FAS завършващи
|
Първоначална комбинирана терапия с линаглиптин и метформин срещу линаглиптин при пациенти с лечение-нане пациенти
Общо 316 пациенти със захарен диабет тип 2, диагностицирани в рамките на предходните 12 месеца и лечение-Naã¯ve (без антидиабетна терапия в продължение на 12 седмици преди рандомизацията) и неадекватна гликемичен контрол (A1C ≥8.5% до ≤12.0%) участваха в 24-седмично рандомизирано изпитване, предназначено да оцени ефективността на линогипна в комбинация с Metformin, предназначена да оцени ефективността на линогипта, с която се е предназначено да оцени линейната. Пациентите са рандомизирани (1: 1) след 2-седмичен период на изпълнение до линаглиптин 5 mg плюс метформин (1500 до 2000 mg на ден n = 159) или linagliptin 5 mg плюс плацебо (n = 157), прилагани веднъж дневно. Пациентите в групата за лечение на линаглиптин и метформин са били възприети до максимално поносима доза на метформин (1000 до 2000 mg на ден) за триседмичен период.
Първоначалната терапия с комбинацията от линаглиптин и метформин осигурява статистически значими подобрения в A1C в сравнение с Linagliptin (Таблица 8). Средната разлика между групите при промяна на A1C от изходното ниво е -0,8% с 2 -страничен 95% доверителен интервал (-1,23% -0,45%).
Таблица 8: Гликемични параметри на 24 седмици в изпитване, сравнявайки линаглиптин в комбинация с метформин с линаглиптин при пациенти с лечение-нане**
| Linagliptin 5 mg + Метформин | Linagliptin 5 mg + Плацебо | |
| A1C (%)* | ||
| Брой пациенти | n = 153 | n = 150 |
| Базова линия (средно) | 9.8 | 9.9 |
| Промяна от изходното ниво (коригирана средна стойност) | -2.9 | -2 |
| Разлика от linagliptin (коригирана средна стойност **) (95% CI) | -0.84 † (-1.23 -0.45) | - |
| Пациенти [n (%) 1 постигане на A1C <7%* | 82 (53.6) | 45 (30) |
| FPG (mg/dl)* | ||
| Брой пациенти | n = 153 | n = 150 |
| Базова линия (средно) | 196 | 198 |
| Промяна от изходното ниво (коригирана средна стойност) | -54 | -35 |
| Разлика от linagliptin (коригирана средна стойност **) (95% CI) | -18 † защото (-31 -5.5) | - |
| † p <0.0001 compared to linagliptin † † P = 0,0054 в сравнение с линаглиптин *Пълно анализиране на популация ** A1C: MMRM моделът включва лечение непрекъснато изходно ниво A1C базова линия A1C чрез посещение на взаимодействие Посещение чрез лечение на базовата бъбречна увреждане чрез взаимодействие на лечението и базово бъбречно увреждане чрез лечение чрез взаимодействие на посещение. FPG: MMRM моделът включва лечение непрекъснато изходно ниво A1C непрекъсната базова линия FPG базова линия FPG чрез посещение на взаимодействие Посещение чрез взаимодействие на лечението Изходното обезценка чрез взаимодействие на лечението и базово бъбречно увреждане чрез лечение чрез взаимодействие на посещение. |
Коригираните средни промени за A1C (%) от изходното ниво във времето за Linagliptin и метформин в сравнение само с Linagliptin се поддържат през целия период от 24 седмици. Използвайки анализа на завършващите, съответните коригирани средства за промени в A1C (%) от изходното ниво на Linagliptin и метформин в сравнение само с Linagliptin са били -1.9 и -1.3 на седмица 6 -2.6 и -1.8 на седмица 12 -2.7 и -1.9 на седмица 18 и -2.7 и -1.9 на седмица 24.
Промените в телесното тегло от изходното ниво не са клинично значими в двете лечебни групи.
Добавна комбинирана терапия с метформин
Общо 701 пациенти със захарен диабет тип 2 са участвали в 24-седмично рандомизирано двойно-сляпо плацебо-контролирано проучване, предназначено да оцени ефикасността на линаглиптин в комбинация с метформин. Пациентите, които вече са на метформин (n = 491) в доза от най-малко 1500 mg на ден, са рандомизирани след завършване на двуседмичен период на плацебо с отворен етикет. Пациентите на метформин и друг антихипергликемичен агент (n = 207) бяха рандомизирани след период на изпълнение от приблизително 6 седмици на метформин (в доза от поне 1500 mg на ден) в монотерапията. Пациентите бяха рандомизирани до добавяне на линаглиптин 5 mg или плацебо, прилагани веднъж дневно. Пациентите, които не успяха да постигнат специфични гликемични цели по време на проучванията, са били лекувани с спасяване на глимепирид.
В комбинация с метформин линаглиптин осигурява статистически значими подобрения в A1C FPG и 2-часов PPG в сравнение с плацебо (Таблица 9). Спасителната гликемична терапия се използва при 7,8% от пациентите, лекувани с линаглиптин 5 mg, а при 18,9% от пациентите, лекувани с плацебо. Подобно намаляване на телесното тегло се наблюдава и за двете групи за лечение.
Таблица 9: Гликемични параметри в плацебо-контролирано изпитване за линаглиптин в комбинация с метформин*
| Linagliptin 5 mg + Метформин | Плацебо + Метформин | |
| A1C (%) | ||
| Брой пациенти | n = 513 | n = 175 |
| Базова линия (средно) | 8.1 | 8.0 |
| Промяна от изходното ниво (adjusted mean***) | -0.5 | 0.15 |
| Разлика от плацебо + Метформин (коригирана средна стойност) (95% там) | -0.6 (-0.8 -0.5) | - |
| Пациенти [n (%)] постигат A1C <7%** | 127 (26.2) | 15 (9.2) |
| FPG (mg/dl) | ||
| Брой пациенти | n = 495 | n = 159 |
| Базова линия (средно) | 169 | 164 |
| Промяна от изходното ниво (adjusted mean***) | -11 | 11 |
| Разлика от плацебо + Метформин (коригирана средна стойност) (95% там) | -21 (-27 -15) | - |
| 2-часов PPG (mg/dl) | ||
| Брой пациенти | n = 78 | n = 21 |
| Базова линия (средно) | 270 | 274 |
| Промяна от изходното ниво (adjusted mean***) | -49 | 18 |
| Разлика от плацебо + Метформин (коригирана средна стойност) (95% там) | -67 (-95 -40) | - |
| * Пълно анализ на популацията, използвайки последното наблюдение при изпитване ** linagliptin 5 mg метформин n = 485; Плацебо метформин n = 163 ***HbA1c: ANCOVA model included treatment and number of prior oral OADs as class-effects as well as baseline HbA1c as continuous covariates. FPG: ANCOVA model included treatment and number of prior OADs as class-effects as well as baseline HbA1c and baseline FPG as continuous covariates. PPG: ANCOVA model included treatment and number of prior OADs as class-effects as well as baseline HbA1c and baseline postprandial glucose after two hours as covariate. |
Активно контролирано изпитване срещу глимепирид в комбинация с метформин
Ефикасността на линаглиптин е оценена в 104-седмично двойно-сляпо глимепиридно контролирано изпитване за не-инферичност при пациенти с диабет тип 2 с недостатъчен гликемичен контрол, въпреки метформиновата терапия. Пациентите, лекувани с метформин, са влезли само с период от 2 седмици, докато пациентите са предварително обработени с метформин и един допълнителен антихипергликемичен агент са влезли в период на лечение от 6 седмици с продължителност на метформинина (доза ≥1500 mg на ден) и измиване на другия агент. След допълнителен 2-седмичен период на плацебо, тези с неадекватна гликемична контрола (A1C 6,5% до 10%) бяха рандомизирани 1: 1 към добавянето на Linagliptin 5 mg веднъж дневно или глимепирид. Рандомизацията беше стратифицирана от изходната HBA1c ( <8.5% vs ≥8.5%) и the previous use of antidiabetic drugs (Метформин alone vs Метформин plus one other OAD). Patients receiving glimepiride were given an initial dosage of 1 mg/day и then electively titrated over the next 12 weeks to a maximum dosage of 4 mg/day as needed to optimize glycemic control. Thereafter the glimepiride dosage was to be kept constant except for downtitration to prevent Хипогликемия.
След 52 седмици и 104 седмици Linagliptin и Glimepiride и двете имат намаления от изходното ниво на A1C (52 седмици: -0,4% за линаглиптин -0,6% за глимепирид; 104 седмици: -0,2% за линаглиптин -0,4% за глимепирид) от основна средна стойност от 7,7% (таблица 10). Средната разлика между групите при промяна на A1C от изходното ниво е 0,2% с 2-страничен 97,5% доверителен интервал (NULL,1% 0,3%) за популацията за намерение за лечение, използвайки последно наблюдение, извършено напред. Тези резултати съответстват на анализа на завършващите.
Таблица 10: Гликемични параметри на 52 и 104 седмици в изпитване, сравнявайки линаглиптин с глимепирид като добавка на терапия при пациенти, недостатъчно контролирани на метформин **
| Седмица 52 | Седмица 104 | |||
| Linagliptin 5 mg + Метформин | Глимепириден метформин (средна глимепиридна доза 3 mg) | Linagliptin 5 mg + Метформин | Глимепириден метформин (средна глимепиридна доза 3 mg) | |
| A1C (%) | ||||
| Брой пациенти | n = 764 | n = 755 | n = 764 | n = 755 |
| Базова линия (средно) | 7.7 | 7.7 | 7.7 | 7.7 |
| Промяна от изходното ниво (adjusted mean***) | -0.4 | -0.6 | -0.2 | -0.4 |
| Разлика от глимепирид (коригирана средна стойност) (NULL,5% CI) | 0,2 (NULL,1 0,3) | 0,2 (NULL,1 0,3) | ||
| FPG (mg/dl) | ||||
| Брой пациенти | n = 733 | n = 725 | n = 733 | n = 725 |
| Базова линия (средно) | 164 | 166 | 164 | 166 |
| Промяна от изходното ниво (adjusted mean***) | -8* | -15 | -2 † | -9 |
| *p <0.0001 vs glimepiride; † p=0.0012 vs glimepiride ** Пълна популация на анализ, използвайки последното наблюдение при изпитване ***HbA1c: ANCOVA model included treatment and number of prior OADs as class-effects as well as baseline HbA1c as continuous covariates. FPG: ANCOVA model included treatment and number of prior OADs as class-effects as well as baseline HbA1c and baseline FPG as continuous covariates. |
Пациентите, лекувани с линаглиптин, са имали средно основно телесно тегло от 86 kg и са наблюдавани, че имат коригирано средно намаляване на телесното тегло от 1,1 kg при 52 седмици и 1,4 kg на 104 седмици. Пациентите на глимепирид са имали средно базово телесно тегло от 87 kg и са забелязани, че имат коригирано средно увеличение от изходното ниво на телесното тегло 1,4 kg при 52 седмици и 1,3 kg при 104 седмици (разлика в лечението P P <0.0001 for both timepoints).
Добавна комбинирана терапия с метформин And A Sulfonylurea
Общо 1058 пациенти със захарен диабет тип 2 участваха в 24-седмично рандомизирано двойно-сляпо плацебо-контролирано проучване, предназначено да оцени ефикасността на линаглиптин в комбинация със сулфонилурея и метформин. Най -често срещаните сулфонилуреи, използвани от пациентите в проучването, са глимепирид (31%) глибенкламид (26%) и гликлазид (26%[не са налични в Съединените щати]). Пациентите на сулфонилурея и метформин бяха рандомизирани да получават linagliptin 5 mg или плацебо, всеки прилаган веднъж дневно. Пациентите, които не успяха да постигнат специфични гликемични цели по време на изпитването, са били лекувани със спасяване на пиоглитазон. Измерваните крайни точки на гликемията включват A1C и FPG.
В комбинация със сулфонилурея и метформин линаглиптин осигурява статистически значими подобрения в A1C и FPG в сравнение с плацебо (Таблица 11). В цялата пробна популация (пациенти на линаглиптин в комбинация със сулфонилурея и метформин) средно намаление от изходното ниво на плацебо при A1C от -0,6% и във FPG от -13 mg/dL. Спасителната терапия се използва при 5,4% от пациентите, лекувани с линаглиптин 5 mg, а при 13% от пациентите, лекувани с плацебо. Промяната от изходното ниво на телесното тегло не се различава значително между групите.
Таблица 11: Гликемични параметри при окончателно посещение (24-седмично изпитване) за линаглиптин в комбинация с метформин и сулфонилурея*
| Linagliptin 5 mg + Метформин + SU | Плацебо + Метформин + SU | |
| A1C (%) | ||
| Брой пациенти | n = 778 | n = 262 |
| Базова линия (средно) | 8.2 | 8.1 |
| Промяна от изходното ниво (adjusted mean***) | -0.7 | -0.1 |
| Разлика от плацебо (коригирана средна стойност) (95% там) | -0.6 (-0.7 -0.5) | - |
| Пациенти [n (%)] постигат A1C <7%** | 217 (29.2) | 20 (8.1) |
| FPG (mg/dl) | ||
| Брой пациенти | n = 739 | n = 248 |
| Базова линия (средно) | 159 | 163 |
| Промяна от изходното ниво (adjusted mean***) | -5 | 8 |
| Разлика от плацебо (коригирана средна стойност) (95% там) | -13 (-18 -7) | - |
| Su = sulfonylurea *Пълно анализ на популацията, използвайки последното наблюдение при изпитване ** linagliptin 5 mg метформин са n = 742; Плацебо метформин са n = 247 ***HbA1c: ANCOVA model included treatment as class-effects and baseline HbA1c as continuous covariates. FPG: ANCOVA model included treatment as classeffects as well as baseline HbA1c and baseline FPG as continuous covariates. |
Linagliptin Cardiovascular Safety Trials In Patients With Type 2 Diabetes Mellitus
Кармелина
Сърдечно-съдовият риск от линаглиптин е оценен в Кармелина многонационално многоцентрово плацебо-контролирано двойно сляпо паралелно проучване, сравнявайки линаглиптин (n = 3494) на плацебо (n = 3485) при възрастни пациенти с диабет тип 2 и анамнеза за установен макроваскуларен и/бъбречно заболяване. Изпитването сравнява риска от големи неблагоприятни сърдечно -съдови събития (MACE) между линаглиптин и плацебо, когато те са добавени към стандартните лечения за лечение на захарен диабет и други сърдечно -съдови рискови фактори. Изпитването е предизвикано от събитията, средната продължителност на проследяването е 2,2 години и е получен жизненоважен статус за 99,7% от пациентите.
Пациентите са имали право да влязат в проучването, ако са били възрастни със захарен диабет тип 2 с HBA1c от 6,5% до 10% и са имали или албуминурия и предишно макроваскуларно заболяване (39% от записаната популация) или доказателства за нарушена бъбречна функция чрез съотношение на креатини на уринини и уринини (уриниран съотношение на албумин (UACR) (UACR) (UACR) (UACR) (UACR) критерии (42% от записания на популацията) (UACR) (42% от съотношението на загаряне) (UACR) (42% от записания на популацията).
В началото средната възраст е 66 години, а населението е 63% мъжки 80% бели 9% азиатски 6% чернокожи или афроамерикански, а 36% са от испаноядци или латиноамерикански етнос. Средната HbA1c е 8,0%, а средната продължителност на захарния диабет тип 2 е 15 години. Пробивната популация включва 17% пациенти на възраст ≥75 години и 62% пациенти с бъбречно увреждане, дефинирано като EGFR <60 mL/min/1.73 m². The mean eGFR was 55 mL/min/1.73 m² и 27% of patients had mild renal impairment (eGFR 60 to 90 mL/min/1.73 m²) 47% of patients had moderate renal impairment (eGFR 30 to <60 mL/min/1.73 m²) и 15% of patients had severe renal impairment (eGFR <30 mL/min/1.73 m²). Patients were taking at least one antidiabetic drug (97%) и the most common were insulin и analogues (57%) Метформин (54%) и sulfonylurea (32%). Patients were also taking antihypertensives (96%) lipid lowering drugs (76%) with 72% on statin и aspirin (62%).
Основната MACE крайната точка беше времето за първо появяване на един от трите съставни резултата, които включват сърдечно-съдова смърт не-фатален миокарден инфаркт или нефатален инсулт. Изпитването е проектирано като изпитване за не-инферичност с предварително определен марж на риска от 1.3 за съотношението на опасност на Mace.
Резултатите от Carmelina, включително приноса на всеки компонент към първичната композитна крайна точка, са показани в таблица 12. Прогнозното съотношение на опасността за MACE, свързано с Linagliptin спрямо плацебо, е 1,02 с 95% доверителен интервал от (NULL,89 1.17). Горната граница на този доверителен интервал 1.17 изключва маржа на риска от 1.3. Кривата на Kaplan-Meier, изобразяваща времето за първо появяване на Mace, е показана на фигура 2.
Какъв клас антибиотик е ципрофлоксацин
Таблица 12: Основни неблагоприятни сърдечно -съдови събития (MACE) чрез група за лечение в изпитването на Кармелина
| Linagliptin 5 mg n = 3494 | Плацебо n = 3485 | Съотношение на опасност (95% CI) | |||
| Брой субекти (%) | Степента на заболеваемост на 1000 PY* | Брой субекти (%) | Степента на заболеваемост на 1000 PY* | ||
| Състав на първото събитие на CV смърт не-фатален миокарден инфаркт (MI) или нефатален инсулт (MACE) | 434 (12.4) | 57.7 | 420 (12.1) | 56.3 | 1.02 (0.89 1.17) |
| CV Death ** | 255 (7.3) | 32.6 | 264 (7.6) | 34.0 | 0.96 (0.81 1.14) |
| Не-фатален mi ** | 156 (4.5) | 20.6 | 135 (3.9) | 18.0 | 1.15 (0.91 1.45) |
| Не-фатален инсулт ** | 65 (1.9) | 8.5 | 73 (2.1) | 9.6 | 0.88 (0.63 1.23) |
| *PY = години на пациента ** Пациентът може да е изпитал повече от един компонент; Следователно сумата от компонентите е по -голяма от броя на пациентите, които са преживели композитния резултат. |
Фигура 2: Kaplan-Meier: Време до първото появяване на Mace в изпитанието на Кармелина
|
Каролина
Сърдечно-съдовият риск от линаглиптин е оценен в Каролина многоцентрово многонационално рандомизирано двойно-сляпо паралелно групово проучване, сравняващо линаглиптин (n = 3023) с глимепирид (n = 3010) при възрастни пациенти с диабет тип 2 и история на установени сърдечно-съдови заболявания и/или множество фактори на кардиоваскуларен риск. Изпитването сравнява риска от големи неблагоприятни сърдечно -съдови събития (MACE) между линаглиптин и глимепирид, когато те са добавени към стандарта на лечение на грижи за захарен диабет и други сърдечно -съдови рискови фактори. Изпитването е предизвикано от събитията, средната продължителност на проследяването е 6,23 години и е получен жизненоважен статус за 99,3% от пациентите.
Пациентите са имали право да влязат в проучването, ако са били възрастни със захарен диабет тип 2 с недостатъчен гликемичен контрол (дефиниран като HBA1C от 6,5% до 8,5% или 6,5% до 7,5% в зависимост от това дали лечението-нанародица за монотерапия или на комбинирана терапия) и са били дефинирани да бъдат с високо съдържание на сърдечно-съдова стойност Z-70, като са били дефинирани от това, че лечението-нататък за монотерапия или на комбинирана терапия) и са били дефинирани да бъдат с високо съдържание на сърдечно-съдова възраст Ър. и/или два сърдечно -съдови рискови фактора (продължителност на захарен диабет> 10 години систолно кръвно налягане> 140 mmHg ток пушач LDL холестерол ≥135 mg/dL).
В началото средната възраст е 64 години, а населението е 60% от 73% бели 18% азиатски 5% чернокожи или афроамерикански, а 17% са от испаноядци или латиноамерикански етнос. Средната HbA1c е 7,15%, а средната продължителност на захарния диабет тип 2 е 7,6 години. Пробивната популация включва 34% пациенти на възраст ≥70 години и 19% пациенти с бъбречно увреждане, дефинирано като EGFR <60 mL/min/1.73 m². The mean eGFR was 77 mL/min/1.73 m². Patients were taking at least one antidiabetic drug (91%) и the most common were Метформин (83%) и sulfonylurea (28%). Patients were also taking antihypertensives (89%) lipid lowering drugs (70%) with 65% on statin и aspirin (47%).
Основната MACE крайната точка беше времето за първо появяване на един от трите съставни резултата, които включват сърдечно-съдова смърт не-фатален миокарден инфаркт или нефатален инсулт. Изпитването е проектирано като изпитване за не-инферичност с предварително определен марж на риска от 1,3 за горната граница на 95% CI за съотношението на опасност на Mace.
Резултатите от Каролина, включително приноса на всеки компонент към първичната композитна крайна точка, са показани в таблица 13. Кривата на Каплан-Майер, изобразяваща времето за първо появяване на MACE, е показана на фигура 3.
Таблица 13: Основни неблагоприятни сърдечно -съдови събития (MACE) чрез група за лечение в изпитването на Каролина
| Linagliptin 5 mg n = 3023 | Глимепирид (1 mg до 4 mg) n = 3010 | Съотношение на опасност (95% CI) | |||
| Брой субекти (%) | Степента на заболеваемост на 1000 PY* | Брой субекти (%) | Степента на заболеваемост на 1000 PY* | ||
| Състав на първото събитие на CV смърт не-фатален миокарден инфаркт (MI) или нефатален инсулт (MACE) | 356 (11.8) | 20.7 | 362 (12.0) | 21.2 | 0.98 (0.84 1.14) |
| CV Death ** | 169 (5.6) | 9.2 | 168 (5.6) | 9.2 | 1.00 (0.81 1.24) |
| Не-фатален mi ** | 145 (4.8) | 8.3 | 142 (4.7) | 8.2 | 1.01 (0.80 1.28) |
| Не-фатален инсулт ** | 91 (3.0) | 5.2 | 104 (3.5) | 6.0 | 0.87 (0.66 1.15) |
| *PY = години на пациента ** Пациентът може да е изпитал повече от един компонент; Следователно сумата от компонентите е по -голяма от броя на пациентите, които са преживели композитния резултат |
Фигура 3: Време за първо появяване на 3p-мас в Каролина
Информация за пациента за jentadueto
Езичник®
(Jen ta doo e toe)
(таблетки с линаглиптин и метформин хидрохлорид) за орална употреба
Коя е най -важната информация, която трябва да знам за Jentadueto?
Езичник can cause serious side effects including:
1. Млечна ацидоза. Метформин хидрохлорид (HCl) Едно от лекарствата в Jentadueto може да причини рядко, но сериозно състояние, наречено лактатна ацидоза (натрупване на млечна киселина в кръвта), което може да причини смърт. Млечната ацидоза е спешна медицинска помощ и трябва да се лекува в болница.
Спрете да приемате jentadueto и се обадете веднага на вашия доставчик на здравни грижи или отидете в най -близката болнична спешна помощ, ако получите някой от следните симптоми на млечна ацидоза:
- Чувствайте се много слаби и уморени
- имат необичайна (не нормална) мускулна болка
- Имайте проблеми с дишането
- имат необясними стомашни или чревни проблеми с гадене и повръщане или диария
- Имате необичайна сънливост или сън по -дълго от обикновено
- Чувствайте се студени, особено в ръцете и краката си
- Почувствайте се замаяни или светлоглави
- имат бавен или нередовен сърдечен ритъм
Имате по -голям шанс да получите млечна ацидоза с jentadueto, ако:
- имат тежки проблеми с бъбреците.
- имат чернодробни проблеми.
- Пийте много алкохол (много често или краткосрочно пиене на алкохол).
- Поставете дехидратиране (загубете голямо количество телесни течности). Това може да се случи, ако сте болни от треска повръщане или диария. Дехидратацията също може да се случи, когато се потите много с активност или упражнения и не пиете достатъчно течности.
- Имайте определени рентгенови тестове с инжекционни багрила или контрастни агенти.
- Направете операция или други процедури, за които трябва да ограничите количеството храна и течност, които ядете и пиете.
- имат застойна сърдечна недостатъчност.
- имат сърдечен удар тежка инфекция или инсулт.
- са на 65 години или повече.
Кажете на вашия доставчик на здравни грижи, ако имате някой от проблемите в списъка по -горе. Кажете на вашия доставчик на здравни грижи, че приемате Jentadueto, преди да имате операция или рентгенови тестове. Вашият доставчик на здравни грижи може да реши да спре вашия Jentadueto за известно време, ако имате операция или определени рентгенови тестове. Jentadueto може да има други сериозни странични ефекти. Виж Какви са възможните странични ефекти на jentadueto?
2. Възпаление на панкреаса (панкреатит) което може да е тежко и да доведе до смърт. Някои медицински проблеми ви правят по -вероятно да получите панкреатит.
Преди да започнете да приемате jentadueto Кажете на вашия доставчик на здравни услуги, ако някога сте имали:
- Възпаление на вашия панкреас (панкреатит)
- Камъни във вашия жлъчен мехур (камъни в жлъчката)
- История на алкохолизма
- Високи нива на триглицериди в кръвта
Спрете да приемате jentadueto и се обадете веднага на вашия доставчик на здравни грижи, ако имате болка в стомашната зона (корем), която е силна и няма да изчезне. Болката може да се усети да отиде от корема до гърба ви. Болката може да се случи със или без повръщане. Това могат да бъдат симптоми на панкреатит.
Какво е Jentadueto?
- Езичник is a prescription medicine that contains 2 diabetes medicines linagliptin (TRADJENTA) и Метформин HCl. Езичник can be used along with diet и exercise to lower blood sugar in adults with type 2 Диабет захарен.
- Езичник is not for people with type 1 diabetes mellitus.
- Ако сте имали панкреатит в миналото, не се знае дали имате по -голям шанс да получите панкреатит, докато приемате jentadueto.
- Не е известно дали jentadueto е безопасен и ефективен при децата.
Кой не трябва да приема Jentadueto?
Не приемайте jentadueto, ако вие:
- имат тежки проблеми с бъбреците.
- имат condition called metabolic acidosis or diabetic ketoacidosis (increased ketones in the blood or urine).
- са алергични към линаглиптин (tradjenta) метформин или някоя от съставките в jentadueto. Вижте края на това ръководство за лекарства за пълен списък на съставките в Jentadueto.
Симптомите на сериозна алергична реакция към jentadueto могат да включват:
-
- Кожен обрив сърбеж на любеж или пилинг
- повдигнати червени петна по кожата ви (копривни)
- Подуване на лицето на лицето ви Език и гърлото, които могат да причинят трудност при дишането или преглъщането
- трудност с поглъщане или дишане
Ако имате някой от тези симптоми, спрете да приемате jentadueto и се обадете веднага на вашия доставчик на здравни услуги или отидете в най -близката болнична спешна помощ.
Какво трябва да кажа на моя доставчик на здравни услуги, преди да приема Jentadueto?
Преди да вземете Jentadueto, кажете на вашия доставчик на здравни грижи за всички ваши медицински състояния, включително ако вие:
- Имали или са имали възпаление на панкреаса си (панкреатит).
- имат проблеми с бъбреците.
- имат чернодробни проблеми.
- Имайте сърдечни проблеми, включително застойна сърдечна недостатъчност.
- са на 65 години или повече.
- Пийте алкохол много често или пийте много алкохол в краткосрочен план (пиене на алкохол).
- ще получат инжектиране на багрило или контрастни агенти за рентгенова процедура. Jentadueto може да се наложи да бъде спрян за кратко време. Говорете с вашия доставчик на здравни грижи кога трябва да спрете Jentadueto и кога трябва да започнете отново Jentadueto. Вижте коя е най -важната информация, която трябва да знам за Jentadueto?
- имат захарен диабет тип 1. Jentadueto не трябва да се използва за лечение на хора със захарен диабет тип 1.
- Имайте ниски нива на витамин В12 в кръвта си.
- са бременни или планират да забременеят. Не е известно дали jentadueto ще навреди на вашето неродено бебе. Ако сте бременна, говорете с вашия доставчик на здравни грижи за най -добрия начин да контролирате кръвната си захар, докато сте бременна.
- са кърмещи или планират да кърмят. Jentadueto може да премине в кърмата ви и може да навреди на вашето бебе. Говорете с вашия доставчик на здравни грижи за най -добрия начин да нахраните бебето си, ако вземете Jentadueto.
- са човек, който не е преминал през менопауза (пременопауза), който изобщо няма периоди или изобщо. Jentadueto може да причини освобождаването на яйце от яйчник при човек (овулация). Това може да увеличи шанса ви да забременеете. Кажете на вашия доставчик на здравни услуги веднага, ако забременеете, докато приемате jentadueto.
Кажете на вашия доставчик на здравни грижи за всички лекарства, които приемате включително лекарства за рецепта и лекарства без рецепта витамини и билкови добавки.
Езичник may affect the way other medicines work и other medicines may affect how Езичник works. Know the medicines you take. Keep a list of them to show your healthcare provider и pharmacist when you get a new medicine.
Как трябва да взема jentadueto?
- Вземете Jentadueto точно както вашият доставчик на здравни грижи ви казва да го вземете.
- Вземете jentadueto 2 пъти всеки ден с хранене. Приемането на jentadueto с храна може да намали шанса ви да се разстроите стомах.
- Ако пропуснете доза, вземете я с храна веднага щом си спомняте. Ако не помните, докато не дойде време за следващата ви доза пропуснете пропусната доза и се върнете към редовния си график. Не приемайте 2 дози Jentadueto едновременно.
- Ако вземете твърде много Jentadueto, обадете се на вашия доставчик на здравни грижи или местен център за контрол на отровата или отидете веднага в най -близката болнична спешна помощ.
- Вашият доставчик на здравни услуги може да ви каже да вземете Jentadueto заедно с други лекарства за диабет. Ниската кръвна захар може да се случва по -често, когато Jentadueto се приема с някои други лекарства за диабет. Виж Какви са възможните странични ефекти на jentadueto?
- Вашият доставчик на здравни услуги ще направи кръвни тестове, за да провери колко добре работят вашите бъбреци преди и по време на лечението ви с Jentadueto.
Какво трябва да избягвам, докато приемам jentadueto?
Избягвайте да пиете алкохол много често или да пиете много алкохол за кратък период от време (пиене на алкохол). Това може да увеличи шансовете ви да получите сериозни странични ефекти.
Какви са възможните странични ефекти на jentadueto?
Езичник may cause serious side effects including:
- Виж Коя е най -важната информация, която трябва да знам за Jentadueto?
- Ниска кръвна захар (хипогликемия). Ако приемате jentadueto с друго лекарство, което може да причини ниска кръвна захар, като сулфонилурея или инсулин, рискът ви от получаване на ниска кръвна захар е по -висок. Дозата на вашето лекарство за сулфонилурея или инсулин може да се наложи да бъде намалена, докато приемате jentadueto. Признаците и симптомите на ниска кръвна захар могат да включват:
- главоболие
- раздразнителност
- сънливост
- глад
- слабост
- Бързо сърцебиене
- замаяност
- изпотяване
- объркване
- треперене или чувство на трептене
- Алергични (свръхчувствителност) реакции. Сериозни алергични реакции са се случили при хора, които приемат jentadueto. Симптомите могат да включват:
- Подуване на лицето ви устни гърло гърло и други области на кожата ви
- трудност с поглъщане или дишане
- повдигнати червени зони върху кожата ви (копривни)
- Кожен обрив сърбеж на любеж или пилинг
Ако имате някой от тези симптоми, спрете да приемате jentadueto и се обадете веднага на вашия доставчик на здравни услуги или отидете в най -близката болнична спешна помощ.
- Нисък витамин В12 (дефицит на витамин В12). Използването на метформин за дълги периоди от време може да доведе до намаляване на количеството на витамин В12 в кръвта ви, особено ако сте имали ниски нива на кръв от витамин В12 преди. Вашият доставчик на здравни грижи може да прави кръвни тестове, за да провери нивата на витамин В12.
- Болки в ставите. Някои хора, които приемат Linagliptin едно от лекарствата в Jentadueto, могат да развият болки в ставите, които могат да бъдат тежки. Обадете се на вашия доставчик на здравни грижи, ако имате силна болка в ставите.
- Кожна реакция. Някои хора, които приемат лекарства, наречени DPP-4 инхибитори, едно от лекарствата в Jentadueto могат да развият кожна реакция, наречена булозен пемфигоид, която може да изисква лечение в болница. Кажете на вашия доставчик на здравни услуги веднага, ако развиете мехури или разпадането на външния слой на кожата ви (ерозия). Вашият доставчик на здравни услуги може да ви каже да спрете да приемате jentadueto.
- Сърдечна недостатъчност. Сърдечната недостатъчност означава, че сърцето ви не изпомпва достатъчно добре кръвта.
Преди да започнете да приемате jentadueto Кажете на вашия доставчик на здравни грижи, ако някога сте имали сърдечна недостатъчност или имате проблеми с бъбреците си. Свържете се с вашия доставчик на здравни услуги веднага, ако имате някой от следните симптоми:
-
- Увеличаване на задух или проблеми с дишането, особено когато легнете
- Подуване или задържане на течности, особено в краката на глезените или краката
- необичайно бързо увеличение на теглото
- необичайна умора
Това могат да бъдат симптоми на сърдечна недостатъчност.
Най -често срещаните странични ефекти на jentadueto включват:
- задушен или хрема и възпалено гърло
- диария
Кажете на вашия доставчик на здравни грижи, ако имате странични ефекти, които ви притесняват или които не отминават.
Това не са всички възможни странични ефекти на Jentadueto. За повече информация попитайте вашия доставчик на здравни грижи или фармацевт.
Обадете се на Вашия лекар за медицински съвети относно страничните ефекти. Можете да отчитате странични ефекти на FDA на 1-800-FDA-1088.
Как трябва да съхранявам Jentadueto?
- Съхранявайте jentadueto при стайна температура между 68 ° F и 77 ° F (20 ° C и 25 ° C).
- Дръжте таблетките сухи.
- Дръжте jentadueto и всички лекарства извън обсега на децата.
Обща информация за безопасното и ефективно използване на jentadueto.
Лекарствата понякога се предписват за цели, различни от тези, изброени в ръководство за лекарства. Не използвайте jentadueto за условие, за което не е предписано. Не давайте jentadueto на други хора, дори ако имат същите симптоми, които имате. Може да им навреди. Можете да поискате от вашия фармацевт или доставчик на здравни грижи за информация за Jentadueto, който е написан за здравни специалисти.
Какви са съставките в Jentadueto?
Активни съставки: linagliptin и metformin hcl
Неактивни съставки: Аргинин колоиден силиконов диоксид съповидон царевичен нишесте хипромелозен магнезиев стеарат пропилен гликол талк титаниев диоксид
2,5 mg/500 mg и 2,5 mg/850 mg таблетки също съдържат жълт железен оксид.
2,5 mg/850 mg и 2,5 mg/1000 mg таблетки също съдържат червен железен оксид.
Това ръководство за лекарства е одобрено от американската администрация по храните и лекарствата.