Информацията В Сайта Не Е Медицински Съвет. Ние Не Продаваме Нищо. Точността На Превода Не Е Гарантирана. Отказ От Отговорност



Librax

Резюме на наркотиците

Какво е Librax?

Librax (хлордиазепоксид и клидиниев бромид) е комбинация от бензодиазепин и An Антихолинергични /Спазмолитик, използван за лечение на язви на стомаха Синдром на раздразненото черво и чревни инфекции. Името на марката Librax вече не се предлага в САЩ Генеричен Версиите може да са налични.

най-ниски хотелски цени

Какви са страничните ефекти на Librax?

Librax



  • Тежка сънливост
  • Лекоглавия
  • Проблеми с баланса или координацията
  • объркване
  • вълнение
  • гняв
  • Неспокойствие
  • тежък запек
  • болезнено или затруднено уриниране
  • Неспокойни мускулни движения в очите на езика или шията
  • треска
  • възпалено гърло и
  • пожълтяване на кожата или очите ( жълтеница )

Получете медицинска помощ веднага, ако имате изброени по -горе симптоми.



Общите странични ефекти на Librax (хлордиазепоксид и клидиниев бромид) включват:

  • замаяност
  • сънливост
  • умора
  • слабост
  • замъглено зрение
  • сухи очи
  • сухота в устата
  • гадене
  • повръщане
  • запек
  • коремна подуване на корема
  • подуване
  • Кожен обрив и
  • Нерегулярни менструални периоди.

Кажете на Вашия лекар, ако имате малко вероятни, но сериозни странични ефекти на Librax (Chlordiazepoxide и Clidinium bromide), включително:



  • намалено изпотяване
  • Суха/гореща/зачервена кожа
  • бърз или нередовен сърдечен ритъм
  • загуба на координация
  • размазана реч
  • припадък
  • Неконтролируеми или необичайни мускулни движения
  • Психични/промени в настроението (като объркване Агитация Необичайна депресия или странни мисли)
  • трудност при уриниране
  • намалена сексуална способност или
  • бавно или плитко дишане.

Потърсете медицинска помощ или се обадете на 911 наведнъж, ако имате следните сериозни странични ефекти:

  • Сериозни симптоми на очите, като например внезапна загуба на зрение, замъглено зрение Тунел Виждане болка в очите или подуване или виждане на ореоли около светлините;
  • Сериозни сърдечни симптоми като бързи нередовни или ударни сърдечни удари; трептене в гърдите ви; задух; и внезапна замаяност замаяност или раздаване;
  • Тежка главоболие объркване затънала речева ръка или крак слабост проблем за ходене на загуба на координация, чувствайки се нестабилни много твърди мускули висока треска обилно изпотяване или тремор.

Този документ не съдържа всички възможни странични ефекти, а други могат да възникнат. Консултирайте се с вашия лекар за допълнителна информация за страничните ефекти.

Дозировка за Librax

Дозировката на хлордиазепоксид и клидиний варира в зависимост от диагнозата и реакцията на отделния пациент. Обичайната доза за поддържане е 1 или 2 капсули (5 mg хлордиазепоксид хидрохлорид и 2,5 mg клидиниев бромид) 3 или 4 пъти на ден, прилагани преди хранене и преди лягане.

Какви лекарства вещества или добавки взаимодействат с Librax?

Хлордиазепоксидът и клидиниумът могат да взаимодействат с барбитурати в кръвта Мао инхибитори на лекарствата за лечение на психиатрични нарушения или антидепресанти. Кажете на Вашия лекар всички лекарства, които използвате.

Librax по време на бременност и кърмене

Хлордиазепоксидът и клидиниумът не се препоръчват за употреба по време на бременност. Може да навреди на плода. Това лекарство преминава в кърмата и може да има нежелани ефекти върху кърмаче за кърмене. Кърменето по време на употребата на това лекарство не се препоръчва. Това лекарство може да е формиране на навици. Симптомите на оттегляне могат да възникнат, ако това лекарство е спряно рязко.

Допълнителна информация

Нашият Librax (Chlordiazepoxide HCI Clidinium bromide) Странични ефекти Центърът за лекарства предоставя цялостен поглед върху наличната информация за лекарството върху потенциалните странични ефекти при приемането на това лекарство.

Информация за наркотиците на FDA

Предупреждение

Рискове от едновременна употреба с опиоиди

Едновременната употреба на бензодиазепини и опиоиди може да доведе до дълбока седация на кома и смърт на респираторната депресия (виж предупрежденията и ПРЕДПАЗНИ МЕРКИ ).

  • Резервен съпътстващ предписване на тези лекарства за употреба при пациенти, за които алтернативните възможности за лечение са недостатъчни.
  • Ограничете дозите и продължителността до необходимия минимум.
  • Следвайте пациенти за признаци и симптоми на респираторна депресия и седация.

Описание за Librax

Librax се комбинира в единична капсулна формулировка действието на антианксиалността на хлордиазепоксид хидрохлорид и антихолинергични/спазмолитични ефекти на клидиниевия бромид.

Всяка капсула Librax съдържа активните съставки 5 mg хлордиазепоксид хидрохлорид и 2,5 mg клидиниев бромид. Всяка капсула също съдържа неактивните съставки царевично нишесте лактоза монохидрат талк метилпарабен пропилпарабен калиев сорбат d

Хлордиазепоксидният хидрохлорид е универсален терапевтичен агент с доказана стойност за облекчаването на тревожността и напрежението. Показано е, когато напрежението или задържането на тревожност са значителни компоненти на клиничния профил. Той е сред по -безопасните от ефективните психофармакологични съединения.

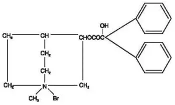
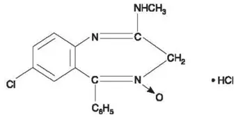
Хлордиазепоксид хидрохлорид е 7-хлоро-2-метиламино-5-фенил-3H-14-бензодиазепин 4-оксиден хидрохлорид. Безцветно кристално вещество е разтворимо във вода. Той е нестабилен в разтвора и прахът трябва да бъде защитен от светлина. Молекулното тегло е 336,22. Структурната формула на хлордиазепоксид хидрохлорид е както следва:

Клидиниевият бромид е синтетичен антихолинергичен агент, който е показан в експериментални и клинични проучвания, за да има изразен антиспазмодичен и антисекреционен ефект върху стомашно -чревния тракт. Структурно клидиниев бромид е:

Използване за Librax

Librax е показан да контролира емоционалните и соматичните фактори при стомашно -чревни разстройства. Librax може също да се използва като допълнителна терапия при лечението на пептична язва и при лечението на синдрома на раздразненото черво (раздразнителен колит на лигавицата на дебелото черво) и остър ентероколит.

Дозировка за Librax

Препоръчителна доза

Поради разнообразните индивидуални отговори на транквиланти и антихолинергици оптималната доза на Librax варира в зависимост от диагнозата и реакцията на отделния пациент. Следователно дозата трябва да бъде индивидуализирана за максимални полезни ефекти. Обичайната доза за поддържане е 1 или 2 капсули 3 или 4 пъти на ден, прилагана преди хранене и преди лягане.

Препоръчителна гериатрична доза

Дозировката трябва да бъде ограничена до най -малкото ефективно количество, за да се предотврати развитието на атаксия надценка или объркване. Първоначалната доза не трябва да надвишава 2 библиотечни капсули на ден, за да се увеличава постепенно, ако е необходимо и се понасят. Възрастните пациенти имат повишен риск от нежелани реакции, свързани с дозата (виж ПРЕДПАЗНИ МЕРКИ ).

Прекратяване или намаляване на дозата на библиотека

За да намалите риска от реакции на изтегляне, използвайте постепенна конус, за да преустановите Librax или да намалите дозата. Ако пациентът развие реакции на отнемане, помислете за пауза на конуса или увеличаване на дозата до предишното ниво на конусна доза. Впоследствие намаляват дозата по -бавно (виж ПредупреждениеS и Злоупотреба с наркотици и зависимост ).

Колко се доставя

Librax се предлага в светло зелени непрозрачни капсули, всяка от които съдържа 5 mg хлордиазепоксид хидрохлорид и 2,5 mg клидиниев бромид в бутилки от 100 ( NDC 0187-4100-10) с ICN Librax® ICN, отпечатан върху тялото на капсулата.

Съхранявайте при 25 ° C (77 ° F); Екскурзии, разрешени до 15 ° C до 30 ° C (59 ° F до 86 ° F).

Пазете извън обсега на децата.

Разпределете в тесен светло устойчив контейнер, както е дефиниран в USP/NF.

Разпространено от: Bausch Health US LLC Bridgewater NJ 08807 САЩ. Произведено от: Bausch Health Companies Inc. Steinbach MB R5G 1Z7 Канада. Ревизиран: януари 2023 г.

Странични ефекти for Librax

Не са докладвани странични ефекти или прояви, които не се наблюдават само с едно съединение само при администрирането на Librax. Въпреки това, тъй като Librax съдържа хлордиазепоксид хидрохлорид и клидиниев бромид, възможността за неблагоприятни ефекти, които могат да се видят при някое от тези две съединения, не може да бъде изключена.

Когато хидрохлоридът на хлордиазепоксид се използва сам, необходимостта от прекратяване на терапията поради нежелани ефекти е рядкост. Съобщава се за сънливост атаксия и объркване при някои пациенти - особено възрастни и изтощени. Въпреки че тези ефекти могат да бъдат избегнати в почти всички случаи чрез правилна корекция на дозата, те от време на време се наблюдават в долните диапазони. В няколко случая се съобщава за синкоп.

Други нежелани реакции, отчетени по време на терапия с хлордиазепоксид хидрохлорид, включват изолирани случаи на изригване на кожата Оток Малки менструални неравности гадене и запек Екстрапирамидални симптоми, както и повишено и намалено либидо. Такива странични ефекти са редки и обикновено се контролират с намаляване на дозата. Промените в EEG моделите (бърза активност с ниско напрежение) са наблюдавани при пациенти по време на и след лечение с хлордиазепоксид хидрохлорид.

По време на терапията се съобщават кръвни дискразии, включително агранулоцитоза и чернодробна дисфункция с хлордиазепоксид хидрохлорид. Когато лечението с хидрохлорид на хлордиазепоксид е продължително за периодична кръвна картина и е препоръчително тестовете за чернодробна функция.

Неблагоприятните ефекти, отчетени при използването на Librax, са тези, характерни за антихолинергичните средства, т.е. сухотата на замъгляването на устата на визията на урина и запек. Запекът е възникнал най -често, когато терапията на Librax се комбинира с други спазмолитични средства и/или диета с ниски остатъци.

За да съобщите за заподозрени нежелани реакции, свържете се с Bausch Health US LLC на 1-800-3214576 или FDA на 1-800-FDA-1088 или www.fda.gov/medwatch.

флуконазол 50 mg за инфекция с дрожди

Лекарствени взаимодействия for Librax

Опиоиди

Едновременната употреба на бензодиазепини, включително хлордиазепоксид хидрохлорид, компонент на Librax и опиоиди увеличава риска от респираторна депресия поради действия в различни рецепторни места в ЦНС, които контролират дишането. Бензодиазепините взаимодействат на сайтове и опиоиди GABAA взаимодействат предимно в MU рецепторите.

Когато бензодиазепините и опиоидите се комбинират, потенциалът за бензодиазепини значително влошава дихателната депресия, свързана с опиоиди. Ограничете дозата и продължителността на съпътстващата употреба на Librax и опиоиди и следвайте пациентите отблизо за респираторна депресия и седация.

Орални антикоагуланти

Въпреки че клиничните проучвания не са установили причинно -следствена връзка и ефект на връзката, лекарите трябва да са наясно, че много рядко се съобщават за променливи ефекти върху коагулацията на кръвта при пациенти, получаващи орални антикоагуланти и хлордиазепоксид хидрохлорид, компонент на Librax.

Злоупотреба с наркотици и зависимост

Контролирано вещество

Librax contains chlordiazepoxide hydrochloride a Schedule IV controlled substance и clidinium bromide which is not a controlled substance. Librax is exempted from Schedule IV и is not controlled under the Контролирано веществоs Act.

Злоупотреба

Хлордиазепоксид хидрохлорид Компонентът на Librax е депресант на ЦНС с потенциал за злоупотреба и пристрастяване. Злоупотребата е умишлената нетерапевтична употреба на лекарство дори веднъж заради желаните му психологически или физиологични ефекти. Злоупотребата е умишлената употреба за терапевтични цели на лекарство от физическо лице по начин, различен от предписания от доставчик на здравни грижи или за когото не е предписано. Пристрастяването към наркотиците е струпване на поведенчески когнитивни и физиологични явления, които могат да включват силно желание за приемане на трудностите в лекарството при контролиране на употребата на наркотици (например продължаваща употреба на наркотици, въпреки вредните последици, даващи по -висок приоритет на употребата на наркотици, отколкото други дейности и задължения) и възможна толерантност или физическа зависимост. Дори приемането на бензодиазепини, както е предписано, може да изложи на пациентите на риск от злоупотреба и злоупотреба с техните лекарства. Злоупотребата и злоупотребата с бензодиазепини могат да доведат до пристрастяване.

Злоупотреба и misuse of benzodiazepines often (but not always) involve the use of doses greater than the maximum recommended dosage и commonly involve concomitant use of other medications alcohol и/or illicit substances which is associated with an increased frequency of serious adverse outcomes including respiratory depression overdose or death. Benzodiazepines are often sought by individuals who abuse drugs и other substances и by individuals with addictive disorders (see ПредупреждениеS ).

Следните нежелани реакции са настъпили при злоупотреба с бензодиазепин и/или злоупотреба: коремна болка амнезия Анорексия Агресия Агресия Атаксия замъглява визия объркване депресия дезинфекция Дезориентация замаяност Евфория Увреждане на концентрацията и паметта застъпничество на мискусността Мускулна болки в речта на речта и вертиго.

Следните тежки нежелани реакции са възникнали при злоупотреба с бензодиазепин и/или злоупотреба: Делириум параноя самоубийствена идея и поведение припадъци Кома дишане и смърт. Смъртта е по -често свързана с употребата на полисубност (особено бензодиазепините с други депресанти на ЦНС като опиоиди и алкохол).

Зависимост

Физическа зависимост

Librax may produce physical dependence from continued therapy. Physical dependence is a state that develops as a result of physiological adaptation in response to repeated drug use manifested by withdrawal signs и symptoms after abrupt discontinuation or a significant dose reduction of a drug. Abrupt discontinuation or rapid dosage reduction of benzodiazepines or administration of flumazenil a benzodiazepine antagonist may precipitate acute withdrawal reactions including seizures which can be life-threatening. Patients at an increased risk of withdrawal adverse reactions after benzodiazepine discontinuation or rapid dosage reduction include those who take higher dosages (i.e. higher и/or more frequent doses) и those who have had longer durations of use (see ПредупреждениеS ).

За да намалите риска от реакции на оттегляне, използвайте постепенна конус, за да прекратите Librax или да намалите дозата (виж ПредупреждениеS и Доза и приложение ).

Остри признаци и симптоми на оттегляне

Остра признаци и симптоми на оттегляне, свързани с бензодиазепини, са включили анормални неволни движения тревожност замъглена визия деперсонализация депресия делеализация на замаяност умора стомашно -чревни нежелани реакции (напр. Настяване на токопоставяне на диария от загуба на тегло Намалява апетит) главоболие Хиперакусис Хипертозия Дразнимости. Неспокойствие тахикардия и тремор. По-тежките остри признаци и симптоми на оттегляне, включително животозастрашаващи реакции, са включили кататония конвулсии делириум трепереха депресия халюцинации мания психоза и самоубийство.

Продължителен синдром на отнемане

Продължителният синдром на отнемане, свързан с бензодиазепините, се характеризира с тревожност когнитивно увреждане депресия на безсъние, формиране на двигатели Симптоми (напр. Тремор на тремор мускулни потрепвания) парестезия и шум в ушите, които продължават над 4 до 6 седмици след първоначалното изтегляне на бензодиазепин. Продължителните симптоми на оттегляне могат да продължат седмици до повече от 12 месеца. В резултат на това може да има затруднения при разграничаване на симптомите на оттегляне от потенциално повторно появяване или продължаване на симптомите, за които се използва бензодиазепинът.

Толерантност

Толерантност to Librax may develop from continued therapy. Толерантност is a physiological state characterized by a reduced response to a drug after repeated administration (i.e. a higher dose of a drug is required to produce the same effect that was once obtained at a lower dose). Толерантност to the therapeutic effects of Librax may develop; however little tolerance develops to the amnestic reactions и other cognitive impairments caused by benzodiazepines.

Странични ефекти на Gemfibrozil 600 mg

Предупреждения for Librax

Рискове от едновременна употреба с опиоиди

Едновременната употреба на бензодиазепини, включително Librax и опиоиди, може да доведе до дълбока седация на кома за дихателна депресия и смърт. Поради тези рискове резервирайте, съпътстващо предписването на тези лекарства -при пациенти, за които алтернативните възможности за лечение са недостатъчни.

Наблюдателни проучвания показват, че едновременната употреба на опиоидни аналгетици и бензодиазепини увеличава риска от смъртност, свързана с лекарствата, в сравнение само с употребата на опиоиди. Ако бъде взето решение да се предпише Librax едновременно с опиоиди, предписва най -ниските ефективни дози и минимални продължителности на едновременната употреба и следвайте пациентите отблизо за признаци и симптоми на респираторна депресия и седация. Посъветвайте както пациентите, така и полагащите грижи за рисковете от респираторна депресия и седация, когато Librax се използва с опиоиди (виж ПРЕДПАЗНИ МЕРКИ ).

Злоупотреба Misuse And Addiction

Използването на бензодиазепини, включително хлордиазепоксид хидрохлорид Компонентът на Librax излага потребителите на рисковете от злоупотреба с злоупотреба и пристрастяване, което може да доведе до предозиране или смърт. Злоупотребата и злоупотребата с бензодиазепини често (но не винаги) включват използването на дози, по -големи от максималната препоръчителна доза и обикновено включват съпътстваща употреба на други лекарства алкохол и/или незаконни вещества, които са свързани с повишена честота на сериозни неблагоприятни резултати, включително предоставяне на респираторна депресия или смърт Злоупотреба с наркотици и зависимост ).

Преди да предпишете Librax и по време на лечението преценете риска от злоупотреба и пристрастяване на всеки пациент (например, използвайки стандартизиран инструмент за скрининг). Използването на Librax, особено при пациенти с повишен риск, налага консултации за рисковете и правилното използване на Librax, заедно с мониторинг за признаци и симптоми на злоупотреба с злоупотреба и пристрастяване. Предписва най -ниската ефективна доза; Избягвайте или свеждате до минимум съпътстващата употреба на депресанти на ЦНС и други вещества, свързани с злоупотреба с злоупотреба и пристрастяване (например стимуланти на опиоидни аналгетици); и посъветвайте пациентите за правилното изхвърляне на неизползвано лекарство. Ако се подозира, че разстройството на употребата на вещества оценява пациента и института (или ги насочете към) ранното лечение, както е подходящо.

Зависимост And Реакции на оттегляне

За да намалите риска от реакции на оттегляне, използвайте постепенна конус, за да преустановите Librax или да намалите дозата (специфичен за пациента план трябва да се използва за намаляване на дозата) (виж Доза и приложение ). Patients at an increased risk of withdrawal adverse reactions after benzodiazepine discontinuation or rapid dosage reduction include those who take higher dosages и those who have had longer durations of use.

Остри реакции на оттегляне

Продължаващата употреба на бензодиазепини, включително Librax, може да доведе до клинично значима физическа зависимост. Рязко прекратяване или бързо намаляване на дозата на Librax след продължителна употреба или прилагане на флумазенил (антагонист на бензодиазепин) може да утаи остри реакции на изтегляне, които могат да бъдат животозастрашаващи (напр. Злоупотреба с наркотици и зависимост ).

Продължителен синдром на отнемане

В някои случаи потребителите на бензодиазепин са развили продължителен синдром на оттегляне със симптоми на оттегляне, продължили седмици до повече от 12 месеца (виж Злоупотреба с наркотици и зависимост ).

Ефекти върху способността за шофиране или експлоатация на машини

Както в случая на други препарати, съдържащи лекарства, действащи с ЦНС, пациентите, получаващи Librax, трябва да бъдат предупредени за възможни комбинирани ефекти с опиоиди алкохол и други депресанти на ЦНС. По същата причина те трябва да бъдат предупредени срещу опасни професии, изискващи пълна психическа бдителност, като експлоатационна машина или шофиране на моторно превозно средство.

Синдром на неонатална седация и оттегляне

Използването на бензодиазепини късно по бременност може да доведе до седация (респираторна депресия летаргия хипотония) и/или симптоми на оттегляне (хиперрефлексия раздразнителност неспокойно тремори, несъобщаваеми плачещи и хранени трудности) в неонатата (виж ПРЕДПАЗНИ МЕРКИ Бременност ). Monitor neonates exposed to Librax which contains a benzodiazepine (chlordiazepoxide hydrochloride) during pregnancy и labor for signs of sedation и monitor neonates exposed to Librax during pregnancy for signs of withdrawal; manage these neonates accordingly.

Предпазни мерки for Librax

Нежелани реакции на ЦНС

При гериатрични или инвалидирани пациенти се препоръчва дозата да бъде ограничена до най -малкото ефективно количество, за да се изключи развитието на надвиснала атаксия или объркване (не повече от 2 библиотечни капсули на ден първоначално се увеличават постепенно, ако е необходимо и се понасят). Като цяло не се препоръчва съпътстващото приложение на Librax и други психотропни средства. Ако подобна комбинирана терапия изглежда, трябва да се обмисли внимателното внимание на фармакологията на агентите, които трябва да бъдат използвани - особено когато трябва да се използват известните потенциращи съединения като инхибиторите на МАО и фенотиазините. Трябва да се наблюдават обичайните предпазни мерки при лечение на пациенти с нарушена бъбречна или чернодробна функция.

Парадоксални реакции на хлордиазепоксид хидрохлорид, напр. Съобщава се за вълнение и остра ярост при психиатрични пациенти и трябва да се наблюдават по време на терапията с Librax. Обичайните предпазни мерки са показани, когато хлордиазепоксид хидрохлорид се използва при лечението на състояния на тревожност, където има доказателства за предстояща депресия; Трябва да се има предвид, че могат да присъстват самоубийствени тенденции и да са необходими защитни мерки.

Информация за пациенти

Злоупотреба Misuse And Addiction

Информирайте пациентите, че използването на Librax дори при препоръчителни дозировки излага потребителите на рискове от злоупотреба с злоупотреба и пристрастяване, което може да доведе до предозиране и смърт, особено когато се използва в комбинация с други лекарства (например опиоидни аналгетици) алкохол и/или незаконни вещества. Информирайте пациентите за признаците и симптомите на злоупотреба с злоупотреба и пристрастяване на бензодиазепин; да потърсят медицинска помощ, ако развият тези признаци и/или симптоми; и при правилно изхвърляне на неизползвано лекарство (виж ПредупреждениеS ).

Реакции на оттегляне

Информирайте пациентите, че продължителната употреба на Librax може да доведе до клинично значима физическа зависимост и че рязкото прекратяване или бързото намаляване на дозата на библиотека може да ускори острите реакции на изтегляне, което може да бъде животозастрашаващо. Информирайте пациентите, че в някои случаи пациентите, приемащи бензодиазепини, са развили продължителен синдром на отнемане със симптоми на отнемане, продължили седмици до повече от 12 месеца. Инструктирайте пациентите, че прекратяването или намаляването на дозата на библиотека може да изисква бавен конус (виж ПредупреждениеS и Злоупотреба с наркотици и зависимост ).

Едновременна употреба с опиоиди и други депресанти на ЦНС

Информирайте пациентите и полагащите грижи, че могат да възникнат потенциално фатални адитивни ефекти, ако Librax се използва с опиоиди или други депресанти на ЦНС, включително алкохол и да не ги използвате едновременно, освен ако не се контролира от доставчик на здравни грижи (виж ПредупреждениеS AND ПРЕДПАЗНИ МЕРКИ Лекарствени взаимодействия ).

Бременност

Посъветвайте бременните жени, че употребата на Librax късно по бременност може да доведе до седация (респираторна депресия летаргия хипотония) и /или симптоми на оттегляне (хиперрефлексия раздразнителност неспокойно тремори несъобразими плачещи и хранителни трудности) при новородени (виж ПредупреждениеS Синдром на неонатална седация и оттегляне и ПРЕДПАЗНИ МЕРКИ Бременност ). Instruct patients to inform their healthcare provider if they are pregnant.

Кърмене

Инструктирайте пациентите да уведомяват своя доставчик на здравни услуги, ако кърмят или възнамеряват да кърмят (виж ПРЕДПАЗНИ МЕРКИ Кърмене Mothers ).

Използване в конкретни популации

Бременност

Обобщение на риска

Хлордиазепоксид хидрохлорид

Съобщава се, че родените на майки, които използват бензодиазепини по време на по -късните етапи на бременността ПредупреждениеS Синдром на неонатална седация и оттегляне и ПРЕДПАЗНИ МЕРКИ : Клинични съображения ). Available data from published observational studies of pregnant women exposed to benzodiazepines do not report a clear association with benzodiazepines и major birth defects (see Данни ).

Клидиниев бромид

В продължение на десетилетия на употреба има липса на публикувани данни за перорално администриран клидиниев бромид при бременни жени, включително липса на съобщения за свързана с наркотици риск от големи вродени дефекти, спонтанен аборт или други неблагоприятни резултати от майката или плода.

Основният риск от големи вродени дефекти и спонтанен аборт за посоченото население е неизвестен. Всички бременности имат основен риск от загуба на вроден дефект или други неблагоприятни резултати. В общата популация на САЩ прогнозният риск от големи вродени дефекти и спонтанен аборт в клинично признатите бременности е съответно 2% до 4% и 15% до 20%.

Клинични съображения

Фетални/неонатални нежелани реакции

Бензодиазепините пресичат плацентата и могат да произвеждат хипотония и седация на респираторна депресия при новородени. Следете новородените, изложени на Librax, който съдържа бензодиазепин (хлордиазепоксид хидрохлорид) по време на бременност или труд за признаци на седация на хипотония за дихателна депресия и проблеми с храненето. Следете новородените, изложени на Librax по време на бременност за признаци на оттегляне. Управлявайте съответно тези новородени (вижте ПредупреждениеS Синдром на неонатална седация и оттегляне ).

Данни

Човешки данни

Публикувани данни от наблюдателни проучвания за употребата на бензодиазепини по време на бременност не съобщават за ясна връзка с бензодиазепините и големи вродени дефекти. Въпреки че ранните проучвания съобщават за повишен риск от вродени малформации с диазепам и хлордиазепоксид, не се отбелязва постоянен модел. В допълнение по-голямата част от по-новите проучвания за контрол на случаите и кохортата на употребата на бензодиазепин по време на бременност, които бяха коригирани за объркване на експозицията на алкохол. Тютюнът и други лекарства не са потвърдили тези открития.

Данни за животните

Изониазидни странични ефекти за латентна туберкулоза

Oral daily doses of 2.5 mg/kg chlordiazepoxide hydrochloride with 1.25 mg/kg clidinium bromide or 25 mg/kg chlordiazepoxide hydrochloride with 12.5 mg/kg clidinium bromide (0.6 and 6.1 times respectively the maximum recommended clinical dose for both drugs based on body surface area) were administered to rats in a Изследване за възпроизвеждане чрез две последователни зрелища. При първото чифтосване не се отбелязват значителни разлики между контрола или третираните групи, с изключение на леко намаляване на броя на животни, оцелели по време на лактация сред тези, които получават най -високата доза. Във второто чифтосване са получени подобни резултати, с изключение на леко намаляване на броя на бременните жени и в процента на оцеляване на потомството до отбиване. Не са наблюдавани вродени аномалии и при двете зрели или в контролните, или в третираните групи.

Кърмене Mothers

Хлордиазепоксид хидрохлорид

Няма данни за наличието на хлордиазепоксид или в човешко или животинско мляко ефектите върху кърменото кърмаче или ефектите върху производството на мляко. Въпреки това има съобщения за седация лошо хранене и лошо наддаване на тегло при кърмачета, изложени на други бензодиазепини чрез кърма.

Проучванията за репродукция при плъхове, хранени с хлордиазепоксид хидрохлорид 10 20 и 80 mg/kg дневно (2.4 4.8 и 19.4 пъти съответно максималната препоръчителна клинична доза от 40 mg/ден въз основа на повърхността на тялото) и отглеждани през една или две съзрения не показват неблагоприятни ефекти върху лактацията на язовирите.

Клидиниев бромид

Няма данни за наличието на клидиний или в човешко или животинско мляко ефектите върху кърменото кърмаче или ефектите върху производството на мляко. Както при други антихолинергични лекарства, клидиниумът може да причини потискане на лактацията.

Ползите за развитие и здравето от кърменето трябва да се разглеждат заедно с клиничната нужда на майката от Librax и всякакви потенциални неблагоприятни ефекти върху кърменото бебе от Librax. Бебетата, изложени на Librax чрез кърмата, трябва да се наблюдават за седация лошо хранене и лошо наддаване на тегло.

Педиатрична употреба

Безопасността и ефективността при педиатрични пациенти не са установени.

Гериатрична употреба

Гериатричните субекти могат да бъдат особено предразположени към изпитване на сънливост атаксия и объркване, докато получават Librax. Тези ефекти обикновено могат да бъдат избегнати с правилна регулиране на дозата, въпреки че от време на време се наблюдават дори в по -ниските диапазони на дозата. Дозирането при гериатрични субекти трябва да се инициира предпазливо (не повече от 2 капсули на ден) и постепенно се увеличава, ако е необходимо и се понасят (виж Доза и приложение ). Librax is contraindicated in the presence of глаукома простатна хипертрофия и доброкачествена запушване на шията на пикочния мехур (виж Противопоказания ).

Информация за предозиране за Librax

Предоставянето на Librax, който съдържа бензодиазепин (хлордиазепоксид хидрохлорид) и антихолинергичен (клидиниев бромид) може да прояви признаци и симптоми, свързани с всеки от неговите компоненти, въпреки че някои ефекти като променени нива на съзнанието могат да бъдат синергични.

Предоставянето на бензодиазепини като хлордиазепоксид хидрохлорид се характеризира с депресия на централната нервна система, варираща от сънливост до кома. В леки до умерени случаи симптомите могат да включват сънливост объркване Дисартрия летаргия хипнотично състояние намалява рефлексите атаксия и хипотония. Може да възникне рядко парадоксални или дезинхибиторни реакции (включително възбуда на раздразнителност импулсивност на насилственото поведение неспокойствие и приказливост). При тежки случаи на предозиране пациентите могат да развият респираторна депресия и кома.

Признаците и симптомите на антихолинергично предозиране са свързани с прекомерна анти-мускаринова антихолинергична активност. Периферните признаци и симптоми могат да включват сухи лигавични мембрани и промиване на кожата тахикардия хипертония илеус урина и мидриаза. Разклатената реч често е патогномонична. Централните признаци и симптоми могат да включват агитация и припадъци на делириум и хипертермия. Бензодиазепините се считат за лечение на първа линия за антихолинергична токсичност, действаща за лечение на лека до умерена възбуда и предотвратяване на припадъци.

Предоставянето на бензодиазепините в комбинация с други депресанти на ЦНС (включително алкохол и опиоиди) може да бъде фатално (виж ПредупреждениеS Зависимост и Реакции на оттегляне ). Markedly abnormal (lowered or elevated) blood pressure heart rate or respiratory rate raise the concern that additional drugs и/or alcohol are involved in the overdosage. Anticholinergic drugs usually increase heart rate и blood pressure. In managing benzodiazepine overdosage employ general supportive measures including intravenous fluids и airway management.

Flumazenil Специфичен антагонист на бензодиазепин рецептор е показан за цялостно или частично обръщане на седативните ефекти на бензодиазепините при управление на предозиране на бензодиазепин. Използването на флумазенил може да увеличи риска от припадъци при смесено предозиране с лекарства, които могат да утаяват припадъци, включително антихолинергични лекарства. Бензодиазепините се използват за лечение на агитиран делириум от антихолинергична токсичност. Следователно приложението на флумазенил може да влоши антихолинергичния делириум и обикновено трябва да се избягва.

Антихолинестеразните инхибитори могат да обърнат тежък развълнуван делириум, който не се контролира от бензодиазепини. Те могат също да подобрят дихателните пътища и дишането при пациенти с депресия на ЦНС. Вниманието е оправдано, особено при предозиране на смесени лекарства.

Помислете да се свържете с център за отрови (1-800-222-1222) или медицински токсиколог за препоръки за управление на прекомерното управление.

Противопоказания за Librax

Librax is contraindicated in the presence of глаукома (since the Антихолинергични component may produce some degree of mydriasis) и in patients with prostatic hypertrophy и benign bladder neck obstruction. It is contraindicated in patients with known hypersensitivity to chlordiazepoxide hydrochloride и/or clidinium bromide.

Клинична фармакология for Librax

Фармакология на животните и/или токсикология на животните

Ефекти върху възпроизвеждането

Проучванията за репродукция при плъхове, хранени с хлордиазепоксид хидрохлорид 10 20 и 80 mg/kg дневно (2.4 4.8 и 19.4 пъти съответно максималната препоръчителна клинична доза от 40 mg/ден въз основа на телесната повърхност) и отглеждани чрез едно или две зрелост не показват вродени аномалии, нито са имали неблагоприятни ефекти върху растежа на новороденото. Въпреки това в друго проучване с 100 mg/kg дневно се отбелязва значително намаляване на скоростта на оплождане и значително намаляване на жизнеспособността и телесното тегло на потомството, което може да се дължи на седативната активност, като по този начин води до липса на интерес към чифтосването и намаляване на майчината кърмене и грижа за младите. Един новородени във всеки от първите и вторите съзрявания в изследването за възпроизвеждане на плъхове при дозата от 100 mg/kg (NULL,2 пъти повече от максималната препоръчителна човешка доза от 40 mg/ден въз основа на площта на телесната повърхност) показва големи скелетни дефекти.

Две серии от експерименти с репродукция с клидиниев бромид се провеждат при плъхове, използващи дози 2,5 и 10 mg/kg дневно (съответно 1,2 и 4,9 пъти максималната препоръчителна клинична доза от 20 mg/ден въз основа на телесната повърхност) във всеки експеримент. В първия експеримент Клидиниев бромид се прилага за 9-седмичен интервал преди чифтосване; Не се отбелязва невредим ефект върху оплождането или бременността. Потомството е взето от цезарово сечение и не показва значителна честота на вродените аномалии в сравнение с контролните животни. Във втория експеримент на възрастни животни бяха дадени клидиниев бромид в продължение на 10 дни преди и през два цикъла на чифтосване. Не са наблюдавани значителни ефекти върху жизнеспособността на гестацията на плодовитостта на потомството или лактацията в сравнение с контролните животни, нито е имало значителна честота на вродени аномалии в потомството, получено от тези експерименти.

A reproduction study was carried out in rats through two successive matings with administration of oral daily doses of 2.5 mg/kg chlordiazepoxide hydrochloride and 1.25 mg/kg clidinium bromide (0.6 times the maximum recommended clinical dose for both drugs based on body surface area) or 25 mg/kg chlordiazepoxide hydrochloride and 12.5 mg/kg Клидиниев бромид (6.1 пъти повече от максималната препоръчителна клинична доза и за двете лекарства на базата на повърхността на тялото). При първото чифтосване не са отбелязани значителни разлики между контрола или третираните групи с изключение на леко намаляване на броя на животни, оцелели по време на лактация сред тези, които получават високата доза. Във второто чифтосване са получени подобни резултати, с изключение на леко намаляване на броя на бременните жени и в процента на оцеляване на потомството до отбиване. Не са наблюдавани вродени аномалии и при двете зрели или в контролните, или в третираните групи.

Можете ли да смесите Allegra и Benadryl

Информация за пациента за Librax

Librax®
(Лий Бракс)
(Хлордиазепоксид хидрохлорид и клидиниев бромид) Капсули за перорална употреба

Коя е най -важната информация, която трябва да знам за Librax?

  • Librax contains a benzodiazepine medicine. Taking Librax with opioid medicines alcohol or other central nervous system (CNS) depressants (including street drugs) can cause Тежка сънливост breathing problems (respiratory depression) coma и death.

Получете аварийна помощ веднага, ако се случи някое от следните:

    • плитко или забавено дишане
    • Дишането спира (което може да доведе до спиране на сърцето)
    • Прекомерна сънливост (седация)

Не шофирайте и не работете с тежки машини, докато не разберете как приемането на Librax с опиоиди ви влияе.

  • Риск от злоупотреба с злоупотреба и пристрастяване. Съществува риск от злоупотреба с злоупотреба и пристрастяване с бензодиазепини, включително Librax, което може да доведе до предозиране или смърт.
    • Сериозните странични ефекти, включително кома и смърт, са се случили при хора, които са имали или злоупотребявали с бензодиазепини, включително Librax. Тези сериозни странични ефекти могат също да включват делириум параноя самоубийствени мисли или действия припадъци и затруднено дишане. Обадете се на вашия доставчик на здравни грижи или отидете веднага в най -близката болнична спешна помощ, ако получите някое от тези сериозни странични ефекти.
    • Можете да развиете зависимост, дори ако приемате Librax, както е предписано от вашия доставчик на здравни услуги.
    • Вземете Librax точно както е предписан вашият доставчик на здравни услуги.
    • Не споделяйте своя Librax с други хора.
    • Дръжте Librax на сигурно място и далеч от децата.
  • Физическа зависимост и реакции на оттегляне. Librax can cause physical dependence и withdrawal reactions.
    • Не спирайте внезапно да използвате Librax. Спирането на Librax внезапно може да причини сериозни и животозастрашаващи странични ефекти, включително необичайни движения реакции или изрази пристъпи внезапно и тежка психическа или нервна система променя депресията, виждайки или чувайки неща, които другите не виждат или чуват изключително увеличаване на дейността или говорят, губейки връзка с реалността и самоубийствените мисли или действия. Обадете се на вашия доставчик на здравни грижи или отидете веднага в най -близката болнична спешна помощ, ако получите някой от тези симптоми.
    • Някои хора, които внезапно спират бензодиазепините, имат симптоми, които могат да продължат няколко седмици до повече от 12 месеца Включването на безпокойство - запомняне на обучението или концентрирането на проблемите с депресията, усещането, че насекомите пълзят под кожата ви слабост, треперейки мускули, изгарящи или убождащи усещане в ръцете ви с ръце краката или краката и звъни в ушите ви.
    • Физическата зависимост не е същата като наркоманията. Вашият доставчик на здравни услуги може да ви разкаже повече за разликите между физическата зависимост и наркоманиите.
    • Не приемайте повече Librax, отколкото предписан или приемайте Librax за повече време, отколкото предписаното.

Какво е Librax?

  • Librax is a prescription medicine that is used with other therapies for the treatment of:
    • Стомаха (пептични) язви
    • Синдром на раздразненото черво (IBS)
    • Възпаление на дебелото черво, наречено остър ентероколит
  • Librax contains the medicines хлордиазепоксид хидрохлорид и клидиниев бромид.
  • Librax contains chlordiazepoxide hydrochloride that can be abused or lead to dependence. Дръжте Librax на безопасно място, за да предотвратите злоупотреба и злоупотреба. Продажбата или раздаването на Librax може да навреди на другите. Кажете на вашия доставчик на здравни грижи, ако сте се злоупотребявали или сте били зависими от лекарства, отпускани по лекарско предписание за алкохол или улични лекарства.
  • Не е известно дали Librax е безопасен и ефективен при децата.

Не приемайте Librax, ако вие:

  • имат глаукома
  • имат разширена простата
  • Имайте блокиране на вашия пикочен мехур, който причинява проблеми с уринирането
  • Алергични са към хлордиазепоксид хидрохлорид или клидиниев бромид

Преди да вземете Librax, кажете на вашия доставчик на здравни грижи за всички вашите семейни условия, включително ако вие:

  • имат проблеми с очите
  • Имайте проблеми с уринирането или изпразване на пикочния мехур
  • имат проблеми с координацията
  • имат проблеми с бъбреците или черния дроб
  • имат история на депресия психични заболявания или самоубийствени мисли
  • имат история на злоупотреба с наркотици или алкохол или пристрастяване
  • имат проблеми с кървенето
  • са бременни или планират да забременеят. Librax може да навреди на вашето неродено бебе.
    • Приемането на Librax късно по бременност може да доведе до симптоми на успокояване на вашето бебе (проблеми с дишането на мускулни тонуси с нисък мускулен тонус) и/или симптоми на оттегляне (разкойност на трептене неспокойност разтърсва прекомерни проблеми с храненето).
    • Кажете на вашия доставчик на здравни услуги веднага, ако забременеете или смятате, че сте бременна по време на лечение с Librax.
  • са кърмещи или планират да кърмят. Librax може да премине през кърмата ви и може да причини седация лошо хранене или лошо наддаване на тегло при вашето бебе. Говорете с вашия доставчик на здравни грижи за най -добрия начин да нахраните бебето си, ако вземете Librax. Librax може да намали количеството кърма, която прави тялото ви.

Кажете на вашия доставчик на здравни грижи за всички лекарства, които приемате включително лекарства с рецепта и прекомерно текущи витамини и билкови добавки. Приемането на Librax с определени други лекарства може да причини странични ефекти или да повлияе на това колко добре работи Librax или другите лекарства. Не стартирайте и не спирайте други лекарства, без да говорите с вашия доставчик на здравни грижи.

Особено кажете на вашия доставчик на здравни грижи, ако:

  • Вземете лекарства за инхибитор на моноамино оксидаза (MAOI) или антипсихотично лекарство, наречено фенотиазин.

Как да взема Librax?

  • Вземете Librax точно както вашият доставчик на здравни грижи ви казва да го вземете.
  • Вашият доставчик на здравни услуги може да промени дозата ви на Librax, ако е необходимо. Не променяйте дозата си на Librax или внезапно спрете да приемате Librax, без да говорите с вашия доставчик на здравни грижи.
  • Ако вземете твърде много Librax, обадете се на вашия доставчик на здравни грижи или отидете веднага в най -близката болнична спешна помощ.

Какви са възможните странични ефекти на Librax?

Librax may cause serious side effects including: See Коя е най -важната информация, която трябва да знам за Librax?

  • Librax can make you sleepy or dizzy и can slow your thinking и motor skills.
    • Не управлявайте работа с тежки машини или не правете други опасни дейности, докато не разберете как Librax ви влияе.
    • Не пийте алкохол и не приемайте други лекарства, които могат да ви направят сънливи или замаяни, докато приемате Librax, без първо да говорите с вашия доставчик на здравни грижи. Когато се приема с алкохол или наркотици, които причиняват сънливост или замаяност Librax, може да влоши вашата сънливост или замаяност.

Най -често срещаните странични ефекти на Librax включват:

  • сухота в устата
  • гадене
  • Кожни проблеми
  • замъглено зрение
  • запек
  • подуване
  • Нерегулярни менструални (периоди) цикли
  • Увеличаване и намалено желание за секс (либидо)
  • Проблеми, които започват да уринират
  • сънливост coordination problems и объркване may happen especially in people who are elderly or weak

Това не са всички възможни странични ефекти на Librax.

Обадете се на Вашия лекар за медицински съвети относно страничните ефекти. Можете да отчитате странични ефекти на FDA на 1-800FDA-1088.

Как трябва да съхранявам Librax?

  • Съхранявайте Librax при стайна температура 77 ° F (25 ° C).
  • Дръжте Librax и всички лекарства извън обсега на децата.

Обща информация за безопасното и ефективно използване на Librax.

Лекарствата понякога се предписват за цели, различни от тези, изброени в ръководство за лекарства. Не приемайте Librax за условие, за което не е предписано. Не давайте Librax на други хора, дори ако те имат същите симптоми, които имате. Може да им навреди. Можете да попитате вашия фармацевт или доставчик на здравни грижи за информация за Librax, която е написана за здравни специалисти.

Какви са съставките в Librax?

Активни съставки: хлордиазепоксид хидрохлорид и клидиниев бромид

Неактивни съставки: Царевично нишесте лактоза монохидрат и талк. Черупките на желатиновата капсули могат да съдържат метилпарабен пропилпарабен и калий сорбат със следните системи за багрило: D

Това ръководство за лекарства е одобрено от американската администрация по храните и лекарствата.