Информацията В Сайта Не Е Медицински Съвет. Ние Не Продаваме Нищо. Точността На Превода Не Е Гарантирана. Отказ От Отговорност
Контрастните агенти, съдържащи гадолинийМагневист
Резюме на наркотиците
Какво е магневист?
Инжекцията на магневистката (гадопентат демолюмин) е контрастно средство, което се използва в комбинация с магнитно-резонансно изображение (ЯМР), за да се позволи на органите на кръвоносните съдове и други не-костни тъкани да се наблюдават по-ясно на ЯМР, използвани за подпомагане на диагностицирането на определени разстройства на сърдечните мозъчни съдове и гръбначните тъкани.
Какви са страничните ефекти на магневиста?
Магневист
Какви са предимствата на ниацина
- кошери
- затруднено дишане
- Подуване на лицето ви устни Език или гърло
- Изгаряне на сърбеж на отоци и стягане или втвърдяване на кожата ви
- мускулна слабост
- Съвместна скованост в краката или краката на ръцете ви
- Дълбока костна болка в ребрата или бедрата ви
- Проблем с преместването
- зачервяване или обезцветяване на кожата
- малко или никакво уриниране
- болезнено или трудно уриниране
- Подуване в краката или глезените
- умора
- задух и
- Подуване на синини за зачервяване, сърбеж или промени в кожата, когато е дадена инжекцията
Получете медицинска помощ веднага, ако имате изброени по -горе симптоми.
Общите странични ефекти на магневиста включват:
- главоболие
- замаяност
- безпокойство
- гадене
- повръщане
- загуба на апетит
- увеличена жажда
- втрисане
- изтръпване или чувство на чувство
- Реакции на инжекционното място (студено усещане за топлина или изгаряне)
- задушен нос
- възпалено гърло
- Чувствам се необичайно горещ
- необичаен или неприятен вкус в устата ви или
- промиване (зачервяване на топлина или чувство)
Потърсете медицинска помощ или се обадете на 911 наведнъж, ако имате следните сериозни странични ефекти:
- Сериозни симптоми на очите, като например внезапна загуба на зрение, замъглено зрение Тунел Виждане болка в очите или подуване или виждане на ореоли около светлините;
- Сериозни сърдечни симптоми като бързи нередовни или ударни сърдечни удари; трептене в гърдите ви; задух; и внезапна замаяност замаяност или раздаване;
- Тежка главоболие объркване затънала речева ръка или крак слабост проблем за ходене на загуба на координация, чувствайки се нестабилни много твърди мускули висока треска обилно изпотяване или тремор.
Този документ не съдържа всички възможни странични ефекти, а други могат да възникнат. Консултирайте се с вашия лекар за допълнителна информация за страничните ефекти.
Дозировка за магневист
Препоръчителната доза на инжектиране на магневист е 0,2 ml/kg (NULL,1 mmol/kg), прилагана интравенозно със скорост, която не надвишава 10 ml на 15 секунди.
Какви лекарства вещества или добавки взаимодействат с магневиста?
Други лекарства могат да взаимодействат с магневист. Кажете на Вашия лекар всички лекарства и добавки, които използвате.
Магневист по време на бременност или кърмене
По време на бременността магневистът трябва да се използва само ако е предписано. This drug can pass into breast milk and may harm a nursing baby. Консултирайте се с Вашия лекар преди кърмене.
Допълнителна информация
Нашият магневист (Gadopentetate Dimeglumine) Странични ефекти в лекарството предоставя изчерпателен поглед върху наличната информация за лекарството за потенциалните странични ефекти при приемането на това лекарство.
Информация за наркотиците на FDA
- Описание на лекарството
- Показания
- Доза
- Странични ефекти
- Предупреждения
- Предозиране
- Клинична фармакология
- Ръководство за лекарства
Предупреждение
Нефрогенна системна фиброза (NSF)
Контрастните агенти на базата на гадолиний (GBCA) увеличават риска от NSF сред пациенти с нарушено елиминиране на лекарствата. Избягвайте използването на GBCAS при тези пациенти, освен ако диагностичната информация не е от съществено значение и не е достъпна с несъответстваща ЯМР или други модалности. NSF може да доведе до фатална или инвалидизираща фиброза, засягаща кожния мускул и вътрешните органи.
- Не прилагайте магневист на пациенти с:
- Хронично тежко бъбречно заболяване (GFR <30 mL/min/1.73m²) or
- остро нараняване на бъбреците (виж Противопоказания ).
- Пациенти с екран за остро увреждане на бъбреците и други състояния, които могат да намалят бъбречната функция. За пациенти, изложени на риск от хронично намалена бъбречна функция (например възраст> 60 години хипертония или диабет) оценете скоростта на гломерулна филтрация (GFR) чрез лабораторни изследвания.
Не надвишавайте препоръчителната доза на магневист и позволявайте достатъчен период от време за елиминиране на лекарството от тялото преди всяко повторно прилагане (виж ПредупреждениеS AND ПРЕДПАЗНИ МЕРКИ ).
Описание за магневист
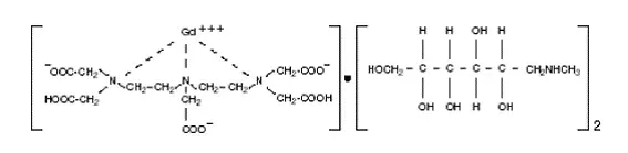
MAGNEVIST® (марка на гадопентат демолюмин) инжектирането е солта N-метилглюкамин на гадолинийния комплекс на диетиленотриамин пентаоцетна киселина и е инжекционна контрастна среда за магнитно-резонансно изображение (MRI). Инжектирането на магневист се осигурява като стерилно чисто безцветно до леко жълт воден разтвор за интравенозна инжекция.
MAGNEVIST Injection is a 0.5-mol/L solution of 1-deoxy-1-(methylamino)-D-glucitol dihydrogen [NN-bis[2-[bis(carboxymethyl)amino]ethyl] glycinato (5-) ]gadolinate(2-)(2:1) with a molecular weight of 938 an empirical formula of C 28 H 54 Gdn 5 O 20 и има следната структурна формула:
|
Всяка ml инжекция с магневист съдържа 469,01 mg гадопентат демоглумин 0,99 mg меглумин 0,40 mg диетиленотриамин пентаоцетна киселина и вода за инжектиране. Инжекцията на магневист не съдържа антимикробен консервант.
Инжектирането на магневист има рН 6,5 до 8,0. По -долу са отбелязани съответните физикохимични данни:
| Параметър | ||
| Осмолалност (мосмол/kg вода) | и 37 ° С | 1960 |
| Вискозитет (CP) | и 20 ° С | 4.9 |
| и 37 ° С | 2.9 | |
| Плътност (g/ml) | и 25 ° С | 1.195 |
| Специфична гравитация | и 25 ° С | 1.208 |
| Октанол: з 2 O коефициенти | и 25 ° С pH7 log Pow = - 5.4 |
Инжекцията на магневист има осмолалност 6,9 пъти по -голяма от тази на плазмата, която има осмолалност от 285 мосмол/kg вода. Инжектирането на магневист е хипертонично при условия на употреба.
Използва за магневист
Централна нервна система
Инжектирането на магневист е показано за употреба с магнитно -резонансно изображение (ЯМР) при възрастни и педиатрични пациенти (2 -годишна възраст и по -възрастни) за визуализиране на лезии с анормална съдовност в мозъка (вътречерепни лезии) на гръбначния стълб и свързаните с тях тъкани. Показано е, че инжектирането на магневисти улеснява визуализацията на вътречерепните лезии, включително, но не само тумори.
Екстракраниални/екстраспинални тъкани
Магневистът е показан за употреба с ЯМР при възрастни и педиатрични пациенти (2 -годишна възраст и повече), за да се улесни визуализацията на лезии с анормална съдовност в главата и шията.
Тяло
Инжектирането на магневист е показано за употреба при ЯМР при възрастни и педиатрични пациенти (на 2 -годишна възраст и повече), за да се улесни визуализацията на лезии с анормална съдова вероятност в тялото (без сърцето).
Дозировка за магневист
Препоръчителната доза на инжектиране на магневист е 0,2 ml/kg (NULL,1 mmol/kg), прилагана интравенозно със скорост, която не надвишава 10 ml на 15 секунди. Дозирането за пациенти над 286 lbs не е проучено систематично.
Доза и продължителност на инжектирането на магневист по телесно тегло
| Телесно тегло | Общ обем ML* | |
| lb | kg | |
| 22 | 10 | 2 |
| 44 | 20 | 4 |
| 66 | 30 | 6 |
| 88 | 40 | 8 |
| 110 | 50 | 10 |
| 132 | 60 | 12 |
| 154 | 70 | 14 |
| 176 | 80 | 16 |
| 198 | 90 | 18 |
| 220 | 100 | 20 |
| 242 | 110 | 22 |
| 264 | 120 | 24 |
| 286 | 130 | 26 |
| *Скорост на инжектиране: 10 ml/15 сек |
Обработка на наркотици: За да се гарантира пълното инжектиране на контрастната среда, инжектирането трябва да бъде последвано от 5-ml нормален разтвор на физиологичен разтвор. Процедурата за изобразяване трябва да бъде завършена в рамките на 1 час след инжектиране на инжектиране на магневист.
Както при други контрастни агенти на гадолиний, не е установена магневистка инжекция за използване при магнитно -резонансна ангиография.
Парентералните продукти трябва да бъдат инспектирани визуално за прахови частици и обезцветяване преди администрирането. Не използвайте разтвора, ако е обезцветена или има прахови частици.
Всяка неизползвана част трябва да бъде изхвърлена в съответствие с разпоредбите, свързани с изхвърлянето на такива материали.
Колко се доставя
Инжекция с магневист е ясен безцветен до леко жълт разтвор, съдържащ 469,01 mg/ ml гадопентат демограм. Инжектирането на магневист се доставя в следните размери:
| 5 ml фланелки с една доза каучук, запушен в отделни кутии за кашони от 20 | NDC 50419-188-05 |
| 5 мл флакони с една доза (RFID) каучук, запушен в отделни кутии за картонени кутии от 20 | NDC 50419-188-40 |
| 10 ml фланелки с една доза гума, запушена в отделни кутии за кашони от 20 | NDC 50419-188-01 |
| 10 мл флакони с една доза (RFID) каучук, запушен в отделни кутии за картонени опаковки от 20 | NDC 50419-188-42 |
| 10 ml предварително напълнени кутии за спринцовка за еднократна употреба от 5 | NDC 50419-188-36 |
| 10 ml Предварително пълни кутии за спринцовка за еднократна употреба (RFID) от 5 | NDC 50419-188-43 |
| 15 ml фланелки с една доза гуме | NDC 50419-188-15 |
| 15 ml флакони с една доза (RFID) каучук, запушен в отделни кутии за кашони от 20 | NDC 50419-188-44 |
| 15 ml предварително напълнени кутии за спринцовка за еднократна употреба от 5 | NDC 50419-188-37 |
| 15 ml предварително напълнени кутии за еднократна употреба (RFID) от 5 | NDC 50419-188-45 |
| 20 ml фланелки с една доза гуме | NDC 50419-188-02 |
| 20 мл флакони с една доза (RFID) каучук, запушен в отделни кутии за картонени опаковки от 20 | NDC 50419-188-46 |
| 20 ml предварително напълнени кутии за спринцовка за еднократна употреба от 5 | NDC 50419-188-38 |
| 20 ml предварително напълнени кутии за еднократна употреба (RFID) от 5 | NDC 50419-188-47 |
Съхранение
Инжекция с магневист should be stored at controlled room temperature between 15-30° C (59- 86° F) и protected from light. DO NOT FREEZE. Should freezing occur in the vial Инжекция с магневист should be brought to room temperature before use. If allowed to stи at room temperature for a minimum of 90 minutes Инжекция с магневист should return to a clear colorless to slightly yellow solution. Before use examine the product to assure that all solids are redissolved и that the container и closure have not been damaged. Should solids persist discard vial.
Произведено за: Bayer Healthcare Pharmaceuticals Inc. Wayne NJ 07470. Произведено в Германия. Март 2012 г.
Странични ефекти за магневист
Опит за клинично изпитване
Тъй като клиничните изпитвания се провеждат при широко различни състояния, нежелани реакционни проценти, наблюдавани при клиничните изпитвания на лекарство, не могат да бъдат пряко сравнени със проценти в клиничните изпитвания на друго лекарство и може да не отразяват процентите, наблюдавани на практика.
Средната възраст на 1272 пациенти, които са получили инжекция с магневист при клинични изпитвания преди пазара, е 46,4 години (диапазон 2 до 93 години). От тези пациенти 55% (700) са мъже и 45% (572) са жени. От 1271 пациенти, които са получили инжекция с магневист, и за които е съобщено, че расата е 82,1% (1043), са кавказки 9,7% (123) са черни 5,3% (67) са испаноядни 2,1% (27) са ориенталски/азиатски, а 0,9% (11) са други.
Най -често срещаната нежелана реакция беше главоболие (NULL,8%). По -голямата част от главоболието са били преходни и с лека до умерена тежест. Други нежелани реакции, които се проявяват при ≥ 1%от пациентите, включват: гадене (NULL,7%) инжекционно място студена/локализирана студена (NULL,3%) и замаяност (1%).
Следните допълнителни нежелани реакции са възникнали при по -малко от 1% от пациентите:
Общи разстройства: Реакции на инжекционното място, включително Phlebitis Pain Localized Warmth Локализиран оток и усещане за изгаряне; Подтекнална болка в гърдите Болки в гърба Пирексия астения усещайки студена генерализирана умора на топлината и стегнатост на гърдите и анафилактоидни реакции, характеризиращи се със сърдечно -съдови респираторни и/или кожни симптоми като диспнея бронхоспазъм и кашлица. (Вижте ПредупреждениеS AND ПРЕДПАЗНИ МЕРКИ .)
Сърдечно -съдов: Хипотония Хипертония тахикардия Мигрена Синкоп Вазодилатация Палора.
омепразол dr 40 mg, използван за
Стомашно -чревен: Коремна дискомфорт болка Болка Повишено слюноотделяне на корема Болка повръща диария.
Нервна система: Агитация на тревожност Жажда сомолетен диплопия Загуба на конвулсии на съзнанието (включително Grand Mal) парестезия.
Дихателна система: Дразнене на гърлото ринит кихане.
Кожа: Обрив изпотяване (хиперхидроза) Pruritus urticaria (Hives) Оток на лицето.
Специални сетива: Конюнктивит вкус аномалия сухота уста лакримация на очите за дразнене на очите.
Опит за постмаркетиране
Следните допълнителни нежелани реакции са идентифицирани по време на постмаркетинговата употреба на магневист. Тъй като тези реакции се отчитат доброволно от популация с несигурен размер, не винаги е възможно надеждно да се оцени тяхната честота или да се установи причинно -следствена връзка с експозицията на лекарства.
Най -сериозните реакции бяха нефрогенната системна фиброза (виж Предупреждение за бокс ) и остри реакции, включително сърдечен или респираторен арест на анафилактичен шок дихателен дистрес и ларингеален оток. Съобщава се за животозастрашаващи и/или фатални нежелани реакции. Най -често съобщаваните нежелани реакции при опита на постмаркетинг са гадене, повръщащи уртикария и обрив.
Общи разстройства и условия на администрация: Нефрогенна системна фиброза (виж ПредупреждениеS AND ПРЕДПАЗНИ МЕРКИ ) Температурата на телесната температура намалява треперенето (втрисане).
Реакции на свръхчувствителност: Анафилактични/анафилактоидни реакции, които могат да бъдат фатални и да включват сърдечен или респираторен арест респираторен дистрес Цианоза ларингеален оток ларингоспазъм фарингеален оток и ангиоедем (виж ПредупреждениеS AND ПРЕДПАЗНИ МЕРКИ ).
Съобщава се за забавени реакции на свръхчувствителност до няколко часа след прилагането на магневист.
Бъбречно и урина: Остра бъбречна недостатъчност влошава бъбречното увреждане (виж ПредупреждениеS AND ПРЕДПАЗНИ МЕРКИ ) Уринарна инконтиненция Спешност на урината.
Съдови: Тромбофлебит дълбока вена синдром на отделение за тромбофлебит, изискващ хирургична интервенция.
Сърдечен: Сърдечният арест на сърдечната честота намалява аритмията.
Разстройства на ушите и лабиринта: Слухов нарушен.
Очни нарушения: Визуално смущение.
Мускулно -скелетна и съединителна тъкан: Артралгия.
най-добрите евтини ваканционни дестинации
Нарушения на нервната система: Кома Паросмия Речево разстройство.
Дихателна система: Респираторен арест Белодробен оток.
Кожа: Еритема мултиформени пустули (обрив пустулар).
Лекарствени взаимодействия за магневист
Не е предоставена информация.
Предупреждения за магневист
Включени като част от ПРЕДПАЗНИ МЕРКИ раздел.
Предпазни мерки за магневист
Нефрогенна системна фиброза (NSF)
Контрастните агенти на базата на гадолиний (GBCA) увеличават риска от нефрогенна системна фиброза (NSF) сред пациенти с нарушена елиминиране на лекарствата. Избягвайте използването на GBCAs сред тези пациенти, освен ако диагностичната информация не е от съществено значение и не е налична с MRI, засилена с неконнтраст или други модалности. Асоциираният с GBCA риск от NSF изглежда най-висок за пациенти с хронично тежко бъбречно заболяване (GFR <30 mL/min/1.73m²) as well as patients with acute kidney injury. Do not administer MAGNEVIST to these patients. The risk appears lower for patients with chronic moderate kidney disease (GFR 30- 59 mL/min/1.73m²) и little if any for patients with chronic mild kidney disease (GFR 60- 89 mL/min/1.73m²). NSF may result in fatal or debilitating fibrosis affecting the skin muscle и internal organs. Report any diagnosis of NSF following MAGNEVIST administration to Bayer Healthcare (1-888-842-2937) or FDA (1800-FDA-1088 or www.fda.gov/medwatch).
Пациенти с екран за остро увреждане на бъбреците и други състояния, които могат да намалят бъбречната функция. Характеристиките на остро увреждане на бъбреците се състоят от бързо (в продължение на часове до дни) и обикновено обратимо намаляване на функцията на бъбреците обикновено при настройване на хирургична инфекция нараняване или индуцирана от лекарства токсичност на бъбреците. Серумните нива на креатинин и прогнозните GFR не могат надеждно да оценят бъбречната функция при настройката на остро увреждане на бъбреците. За пациенти, изложени на риск от хронично намалена бъбречна функция (например възраст> 60 години захарен диабет или хронична хипертония) оценете GFR чрез лабораторни изследвания.
Сред факторите, които могат да увеличат риска от NSF, се повтарят или по -високи от препоръчителните дози GBCA и степен на бъбречно увреждане към момента на експозиция. Запишете специфичната GBCA и дозата, приложена на пациент. Когато прилагането на магневист не надвишава препоръчителната доза и позволява достатъчен период от време за елиминиране на лекарството преди повторно прилагане (виж Клинична фармакология и Доза и приложение ).
Реакции на свръхчувствителност
Настъпват се анафилактоидни и анафилактични реакции със сърдечно -съдови респираторни и/или кожни прояви, което води до смърт. Рискът от реакции на свръхчувствителност е по -висок при пациенти с анамнеза за реакция на контрастна медийна астма или алергични разстройства. Реакциите на свръхчувствителност могат да възникнат при или без предварително излагане на GBCA.
Са обучени по подходящ начин персоналът да администрира магневист в съоръжение, което има незабавна наличност на реанимационно оборудване. Ако възникне реакция на свръхчувствителност, спрете инжектиране на магневист и веднага започнете подходяща терапия.
Наблюдавайте тясно пациенти с анамнеза за лекарствени реакции алергия или други нарушения на свръхчувствителността по време и до няколко часа след инжектирането на магневист.
Бъбречна повреда
При пациенти с бъбречно увреждане остра бъбречна недостатъчност (остро увреждане на бъбреците), изискващи диализа или влошаваща се бъбречна функция, е възникнала най -вече в рамките на 48 часа от инжектирането на магневист. Рискът от остра бъбречна недостатъчност е по -висок с увеличаване на дозата на контраста. Използвайте най-ниската възможна доза оценка на бъбречната функция при пациенти с бъбречно увреждане и оставете достатъчно време за елиминиране на контраст преди повторно администриране. Елиминационният полуживот при пациенти с леко или умерено бъбречно увреждане е 3 до 4 часа. Елиминирането на полуживота при пациенти с тежко бъбречно увреждане е около 11 часа. Магневистът се изчиства от гломерулна филтрация и е диализируем. След 3 диализни сесии от 3 часа всеки около 97% от прилаганата доза се елиминира от тялото; Всяка диализна сесия премахва около 70% от циркулиращото лекарство (виж Клинична фармакология Фармакокинетика ).
Реакции на инжекционното място
Кожна и мека тъкан некроза Тромбоза Фасциит и синдром на отделението, изискващи хирургична интервенция (например освобождаване или ампутация на отделение), са се наблюдавали много рядко на мястото на контрастно инжектиране или дозирания крайник. Общият обем и скоростта на екстравазацията на инжектиране на магневист на контрастния агент и чувствителността към пациента могат да допринесат за тези реакции. Флебит и тромбофлебит могат да се наблюдават обикновено в рамките на 24 часа след инжектирането на магневист и да се разреши с поддържащо лечение. Определете проходимостта и целостта на интравенозната линия преди прилагане на инжектиране на магневист. Препоръчва се оценка на дозирания крайник за разработване на реакции на инжекционно място.
Намеса във визуализация на лезии, видими с не-контраст ЯМР
Както при всяко парамагнитно контрастно агент магневист инжектиране може да наруши визуализацията на лезии, наблюдавани при MRI, който не е контраст. Следователно трябва да се внимава, когато магневистките MRI сканирания се интерпретират без придружител не-контраст MRI сканиране.
Констатации за лабораторни тестове
В клиничните изпитвания са наблюдавани преходни промени в серумните нива на билирубин и трансаминаза.
Инжекция с магневист does not interfere with serum и plasma calcium measurements determined by colorimetric assays.
Канцерогенеза мутагенеза и увреждане на плодовитостта
Дългосрочни проучвания върху животни не са проведени за оценка на канцерогенния потенциал на гадопентат делуинг.
Цялостна батерия на in vitro и in vivo studies in bacterial и mammalian systems suggest that gadopentetate dimeglumine is not mutagenic or clastogenic и does not induce unscheduled DNA repair in rat hepatocytes or cause cellular transformation of mouse embryo fibroblasts. However the drug did show some evidence of mutagenic potential in vivo in the mouse доминиращ Смъртоносен анализ при дози 6 mmol/kg, но не показва такъв потенциал при тестовете за мишки и кучета съответно при интравенозни дози съответно 9 mmol/kg и 2,5 mmol/kg.
Когато се прилага интраперитонеално на мъжки и женски плъхове ежедневно преди чифтосване по време на чифтосване и по време на ембрионално развитие до 74 дни (мъже) или 35 дни (жени) гадопентат причинява намаляване на броя на корпорацията лутея при дозата от 0,1 mmol/kg. След ежедневно дозиране с 2,5 mmol/kg потискане на консумацията на храна и наддаване на телесно тегло (мъже и жени) и намаляване на теглата на тестисите и епидидимиса.
В отделен експеримент при плъхове ежедневните инжекции на гадопентат демолюмин за 16 дни причиняват атрофия на сперматогенните клетки при ниво на доза от 5 mmol/kg, но не на ниво доза от 2,5 mmol/kg. Тази атрофия не е обърната в рамките на 16-дневен период на наблюдение след прекратяването на лекарството.
Категория на бременността c
Gadopentetate dimeglumine retarded fetal development slightly when given intravenously for 10 consecutive days to pregnant rats at daily doses of 0.25 0.75 and 1.25 mmol/kg (2.5 7.5 and 12.5 times the human dose based on body weight) and when given intravenously for 13 consecutive days to pregnant rabbits at daily doses of 0.75 and 1.25 mmol/kg (NULL,5 и 12,5 пъти повече от човешката доза на базата на телесно тегло), но не в дневни дози от 0,25 mmol/kg. Не са забелязани вродени аномалии при плъхове или зайци.
Адекватни и добре контролирани проучвания не са проведени при бременни жени. Инжектирането на магневист трябва да се използва по време на бременност само ако потенциалната полза оправдае потенциалния риск за плода.
Медицински сестри
Магневистът е екскретен в човешкото мляко. Инжектирането на магневист се прилага интравенозно на 18 кърмещи жени с нормална бъбречна функция в доза 0,1 mmol/kg телесно тегло. При тези жени по-малко от 0,04% от прилагания гадолиний се отделя в кърмата през 24-часовия период след дозирането. Гърмата мляко, получено през 24 часа след дозирането, разкри, че средното кумулативно количество гадолиний, екскретирано в кърмата, е 0,57 /0,71 микромоли. Количеството, прехвърлено от жена от 70 кг (получаваща 0,1 mmol/kg телесно тегло) на бебе чрез кърмене за период от 24 часа, се превръща в по -малко от 3 микромола гадолиний.
Общата продължителност на екскрецията на гадолиний в кърмата е неизвестна. Степента на абсорбция на инжектиране на магневист при кърмачета и ефектът му върху кърменото дете остава неизвестен.
Педиатрична употреба
Използването на магневист при изобразяване на централната нервна система екстракраниални/екстраспинални тъкани и тяло са установени в педиатричната популация на възраст от 2 до 16 години въз основа на адекватни и добре контролирани клинични изпитвания при възрастни и проучвания за безопасност при тази педиатрична популация. (Вижте Клинични изпитвания за подробности.)
Безопасността и ефикасността при педиатричната популация под 2 -годишна възраст не са установени. Магневистът е елиминиран предимно от бъбрека. В проучване с педиатрични пациенти на възраст 2 месеца до <2 years the pharmacokinetics (body weight-normalized clearance body weight-normalized distribution volume и terminal half-life) of gadopentetate were similar to adults. (See Показания и Доза и приложение .)
Информация за предозиране за магневист
Не се съобщават за системни последици, свързани с предозиране на инжектиране на магневист.
Противопоказания за магневист
Магневистът е противопоказан при пациенти с:
- Хронично тежко бъбречно заболяване (скорост на гломерулна филтрация GFR <30 mL/min/1.73m²) or
- Остро нараняване на бъбреците.
Клинична фармакология for Magnevist
Фармакокинетика
Фармакокинетиката на интравенозно прилагания гадопентат делеглумин при нормални лица съответства на отворен модел на две отделения със средно разпределение и елиминиране на полуживот (отчетено като средно ± SD) съответно около 0,2 ± 0,13 часа и 1,6 ± 0,13 часа.
При инжектиране меглуминовата сол се отделя изцяло от комплекса на гадопентат от демограма. Гадопентат се елиминира изключително в урината с 83 ± 14% (средно ± SD) от дозата, отделена в рамките на 6 часа и 91 ± 13% (средно ± SD) с 24 часа след инжектиране. Няма откриваема биоотрансформация или разлагане на гадопентат демограм.
Степента на бъбречно и плазмено клирънс (NULL,76 ± 0,39 ml/min/kg и 1,94 ± 0,28 ml/min/kg съответно) на гадопентат по същество са идентични, което показва, че не се промяната в елиминиращата кинетика при преминаване през бъбреците и че лекарството по същество се изчиства през бъбреците. Обемът на разпределение (266 ± 43 ml/kg) е равен на този на извънклетъчната вода и клирънсът е подобен на този на вещества, които са подложени на гломерулна филтрация.
In vitro Резултатите от лабораторията показват, че гадопентат не се свързва с човешкия плазмен протеин. Изследванията за свързване на протеин in vivo не са направени.
Бъбречно увреждане
Gadopentetate DimeGlumine се отделя чрез бъбреците дори при пациенти с нарушена бъбречна функция. При пациенти с нарушена бъбречна функция серумният полуживот на гадопентат делеглуминът се удължава. Mean serum elimination half-lives of a single intravenous dose of gadopentetate dimeglumine (0.1 mmol/kg) were 2.6 ± 1.2 h 4.2 ± 2.0 h and 10.8 ± 6.9 h for mildly (creatinine clearance CLCR = 60 to <90 mL/min) moderately (CLCR = 30 to < 60 mL/min) и severely (CLCR = < 30 mL/min) impaired patients respectively as compared with 1.6 ± 0.1 h in healthy subjects.
Фармакодинамика
Gadopentetate Dimeglumine е парамагнитен агент и като такъв той развива магнитен момент, когато се поставя в магнитно поле. Сравнително големият магнитен момент, произведен от парамагнитния агент, води до сравнително голямо локално магнитно поле, което може да подобри скоростта на релаксация на водните протони в близост до парамагнитния агент.
В магнитното резонансно изображение (ЯМР) визуализацията на нормалната и патологичната мозъчна тъкан зависи отчасти от вариациите в интензивността на радиочестотния сигнал, които се появяват с 1) промени в протонната плътност; 2) промяна на времето на спин-решетка или надлъжно релаксация (T1); и 3) вариация на спин-спиновото или напречното време за релаксация (T2). Когато се поставя в магнитно поле гадопентат делеглумин намалява времето за релаксация Т1 и Т2 в тъканите, където се натрупва. При обичайните дози ефектът е предимно върху времето за релаксация на Т1.
Gadopentetate Dimeglumine не пресича непокътнатата кръвно-мозъчна бариера и следователно не се натрупва в нормален мозък или при лезии, които нямат анормална кръвно-мозъчна бариера, напр. Кисти зрели следоперативни белези и др. Въпреки това, че прекъсването на кръвно-мозъчната бариера или анормалната съдова съдова способност позволява натрупване на гадопентентат деглумин при лезии, като неоплазми абсцеси и подстутни инфаркти. Фармакокинетичните параметри на магневиста при различни лезии не са известни.
50 mg vyvanse в сравнение с adderall
Клинични изпитвания
Инжекция с магневист was administered to 1272 patients in open label controlled clinical studies. The mean age of these patients was 46.4 years (range 2 to 93 years). Of these patients 55% (700) were male и 45% (572) were female. Of the 1271 patients who received Инжекция с магневист и for whom race was reported 82.1% (1043) were Caucasian 9.7% (123) were Black 5.3% (67) were Hispanic 2.1% (27) were Oriental/Asian и 0.9% (11) were other. Of the 1272 patients 550 patients were evaluated in blinded reader studies. These evaluated the use of contrast enhancement in magnetic resonance imaging of lesions in the head и neck brain spine и associated tissues и body (excluding the heart). Of the 550 patients all patients had a reason for an MRI и efficacy assessments were based on pre-и post- MAGNEVIST injection film quality film contrast lesion configuration (border size и location) и the number of lesions. The protocols did not include systematic verification of specific diseases or histopathologic confirmation of findings.
От горните 550 пациенти 97 пациенти са получили 0,1 mmol/kg магневистка инжекция IV в две клинични проучвания на увеличение на контраста на MRI за магневист за изображение на тялото. От тези 97 68 имат ЯМР на вътрешните органи/структури на корема или гръдния кош (с изключение на сърцето); 8 имаше изображения на гърдата и 22 имаше изображения на придатъци. Резултатите от ЯМР преди и след употребата на магневист се сравняват сляпо. Общо допълнителни лезии бяха идентифицирани при 22/97 (23%) от пациентите след инжектиране на магневист. Средният брой лезии, идентифицирани преди (1.49/пациент) и след магневист (1.75/пациент) са сходни. Седем (8%) от пациентите са имали лезии, наблюдавани пред магневист, които не са били наблюдавани след магневиста. Като цяло след инжектирането на магневист 41% от изображенията имат по -висок контраст, отколкото преди инжектирането; и 18% от изображенията са имали по -висок контрастен резултат преди инжектирането на магневист, отколкото след инжектирането на магневист. Магневистката ЯМР на 8 -те пациенти с изображения на гърдата не е систематично в сравнение с резултатите от биопсия на мамографията на гърдата или други модалности. При 22 пациенти с придавни изображения (напр. Мускулна кост и вътреартикуларна структура) ЯМР на магневист не е систематично оценен, за да се определи ефектите на контрастното биоразпределение в тези различни области.
От горните 550 пациенти 66 пациенти са получили магневист 0,1 mmol/kg IV в клинични изпитвания на магневистки MRL контраст за подобряване на лезиите в главата и шията. Общо 66 MRI изображения бяха оценени сляпо чрез сравняване на всяка двойка MRI изображения преди и след инжектиране на магневист. В тези сдвоени изображения 56/66 (85%) имат по -голямо подобрение след магневист, а 40/66 (61%) имат по -добра конфигурация на лезията или гранично очертаване след магневист. Като цяло имаше по -добър контраст след магневист в 55% от изображенията, сравнимо подобрение в 44 (36%) преди и след магневист и по -добро подобрение в 9% без магневист.
В проучванията на мозъка и магневиста на гръбначния мозък 0,1 mmol/kg IV осигуряват подобряване на контраста при лезии с анормална кръвна мозъчна бариера.
В две проучвания са оценени общо 108 пациенти, за да се сравнят ефектите на реакция на дозата от 0,1 mmol/kg и 0,3 mmol/kg магневист в CNS MRI. И двата режима на дозиране имат подобни образни и общи профили на безопасност; Въпреки това дозата от 0,3 mmol/kg не осигурява допълнителна полза от крайната диагноза (дефинирана като брой лезии на местоположението и характеристиката).
Информация за пациента за магневист
Пациентите, планирани да получат инжектиране на магневист, трябва да бъдат инструктирани да информират своя лекар, ако са бременни кърмещи или имат анамнеза за бъбречна недостатъчност на астма или алергични дихателни нарушения. Освен това инструктират пациентите да информират своя лекар, ако те:
- Имат анамнеза за бъбреци и/или чернодробно заболяване или
- Наскоро получих GBCA.
GBCA увеличават риска от NSF сред пациенти с нарушено елиминиране на лекарства. За съветване на пациентите с риск от NSF:
- Опишете клиничната проява на NSF
- Опишете процедурите за скрининг за откриване на бъбречно увреждане
Инструктирайте пациентите да се свържат с своя лекар, ако развият признаци или симптоми на NSF след прилагане на магневист, като например изгаряне на сърбеж на оток на мащабиране и стягане на кожата; червени или тъмни петна по кожата; Скованост в ставите с проблеми с преместването на огъване или изправяне на ръцете ръцете или краката; болка в тазобедрените кости или ребра; или мускулна слабост.