Информацията В Сайта Не Е Медицински Съвет. Ние Не Продаваме Нищо. Точността На Превода Не Е Гарантирана. Отказ От Отговорност



Робаксин

Резюме на наркотиците

Какво е робаксин?

Робаксин (метокарбамол) е a мускулен релаксант използвани заедно с почивка и физическа терапия за лечение на състояния на скелетните мускули като болка или нараняване. Robaxin е достъпен в генеричен форма.

Какви са страничните ефекти на робаксин?

Общите странични ефекти на робаксин включват:



Дали trokendi xr причинява загуба на тегло
  • стомашно разстройство
  • гадене
  • повръщане
  • промиване (зачервяване на топлина или чувство)
  • запек
  • главоболие
  • объркване
  • Проблеми с паметта
  • загуба на баланс или координация
  • замъглено зрение
  • Двойно зрение
  • зачервяване на очите
  • Лекоглавия
  • замаяност
  • сензация на въртене
  • сънливост
  • Проблеми със съня (безсъние)
  • задушен нос
  • сърбеж или
  • обрив, особено през първите няколко дни, тъй като тялото ви се приспособява към това лекарство.

Кажете на Вашия лекар, ако изпитвате сериозни странични ефекти на робаксин, включително:



  • треска
  • Лекоглавия
  • втрисане
  • Симптоми на грип
  • Бавна сърдечна честота
  • Чувствате се, че може да преминете
  • припадъци (конвулсии) или
  • жълтеница (пожълтяване на кожата или очите ви).

Потърсете медицинска помощ или се обадете на 911 наведнъж, ако имате следните сериозни странични ефекти:

  • Сериозни симптоми на очите, като например внезапна загуба на зрение, замъглено зрение Тунел Виждане болка в очите или подуване или виждане на ореоли около светлините;
  • Сериозни сърдечни симптоми като бързи нередовни или ударни сърдечни удари; трептене в гърдите ви; задух; и внезапна замаяност лекомисленост или раздаване;
  • Тежка главоболие объркване затънала речева ръка или крак слабост проблем за ходене на загуба на координация, чувствайки се нестабилни много твърди мускули висока треска обилно изпотяване или тремор.

Този документ не съдържа всички възможни странични ефекти, а други могат да възникнат. Консултирайте се с вашия лекар за допълнителна информация за страничните ефекти.



Дозировка за робаксин

Препоръчителната начална доза робаксин е шест грама на ден за първите 48 до 72 часа лечение. След това дозата обикновено може да бъде намалена до приблизително 4 грама на ден.

Какви лекарства вещества или добавки взаимодействат с робаксин?

Робаксин може да взаимодейства с:

  • Пиридостигмин
  • Донепезил
  • Галантамин
  • rivastigmine или
  • такрин

Кажете на Вашия лекар всички лекарства и добавки без рецепта, които използвате.

Робаксин по време на бременност и кърмене

Робаксин трябва да се използва по време на бременност само когато е предписано. Не е известно дали това лекарство преминава в кърма. Консултирайте се с Вашия лекар преди кърмене.

Допълнителна информация

Нашият лекарствен център за странични ефекти на робаксин (метокарбамол) предоставя изчерпателен поглед върху наличната информация за лекарството върху потенциалните странични ефекти при приемането на това лекарство.

Информация за наркотиците на FDA

Описание за робаксин

Robaxin®/Robaxin®- 750 (Methocarbamol таблетки USP) Карбаматно производно на гуайфенезин е депресант на централната нервна система (CNS) с седативни и мускулно-скелетни релаксиращи свойства.

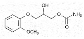
Химическото наименование на метокарбамол е 3- (2-метоксифенокси) -12Propanediol 1-карбамат и има емпиричната формула С 11 H 15 Не 5 . Молекулното му тегло е 241,24. Структурната формула е показана по -долу.

Метокарбамолът е бял прах, пестеливо разтворим във вода и хлороформен разтворим в алкохол (само с отопление) и пропилен гликол и неразтворим в бензол и N-хексан.

Robaxin® се предлага като светло оранжев кръгъл филмов таблет, съдържащ 500 mg метокарбамол USP за перорално приложение. Наличните неактивни съставки са царевично нишесте FD

Robaxin®- 750 се предлага като таблет с оранжева капсула, съдържащ 750 mg метокарбамол USP за перорално приложение. В допълнение към неактивните съставки, присъстващи в Robaxin® Robaxin® 750, също съдържа D

Използване за робаксин

Инжекционната форма на метокарбамол е показана като допълнение към физическата терапия на покой и други мерки за облекчаване на дискомфорта, свързан с остри болезнени мускулно -скелетни състояния. Начинът на действие на това лекарство не е ясно идентифициран, но може да бъде свързан със седативните му свойства. Метокарбамолът не отпуска директно напрегнатите скелетни мускули при човека.

Дозировка за робаксин

За Интравенозна и интрамускулна употреба само . Общата доза за възрастни не трябва да надвишава 30 ml (3 флакона) на ден за повече от 3 последователни дни, освен при лечението на тетанус. Ако състоянието продължава такъв курс, може да се повтори след интервал без наркотици от 48 часа. Дозировката и честотата на инжектиране трябва да се основават на тежестта на състоянието, което се лекува и отбелязва терапевтичната реакция.

За the relief of symptoms of moderate degree one dose of 1 gram (one 10 mL vial) may be adequate. Ordinarily this injection need not be repeated as the administration of the oral заm will usually sustain the relief initiated by the injection. За the severest cases or in postoperative conditions in which oral administration is not feasible additional doses of 1 gram may be repeated every 8 hours up to a maximum of 3 g/day за no more than 3 consecutive days.

Упътвания за интравенозна употреба

Инжектирането на робаксин може да се прилагат неразредни директно във вената при a максимална скорост от три ml в минута . Може да се добави и към интравенозен капне от инжектиране на натриев хлорид (стерилен изотонен разтвор на натриев хлорид за употреба на парентерално) или пет процента декстроза инжектиране (стерилна 5 процента декстроза разтвор); Един флакон, даден като единична доза, не трябва да се разрежда на повече от 250 ml за i.v. инфузия. След смесване с i.v. Инфузионните течности не се охлаждат. Трябва да се внимава, за да се избегне съдовата екстравазация на този хипертоничен разтвор, което може да доведе до тромбофлебит. За предпочитане е пациентът да бъде в легнало положение по време и поне 10 до 15 минути след инжектирането.

Упътвания за интрамускулна употреба

Когато интрамускулният път е посочен не повече от пет mL (половина флакон) трябва да се инжектира във всяка глутеална област. Инжекциите могат да се повтарят на интервали от осем часа, ако е необходимо. Когато се постигне задоволително облекчаване на симптомите, той обикновено може да се поддържа с таблетки.

Не се препоръчва за подкожна администрация.

Специални упътвания за използване в тетанус

Има клинични доказателства, които предполагат, че метокарбамолът може да има благоприятен ефект при контрола на нервно -мускулните прояви на тетанус. Той обаче не замества обичайната процедура на разрушаване на тетанус антитоксин пеницилин трахеотомично внимание към баланса на течностите и поддържащите грижи. Инжектирането на робаксин трябва да се добави към режима възможно най -скоро.

За Adults

Инжектирайте един или два флакона директно в тръбата на по -рано поставената игла за обитаване. Допълнителна 10 ml или 20 ml може да се добави към бутилката за инфузия, така че да се дава общо до 30 ml (три флакона) като първоначална доза (виж ПРЕДПАЗНИ МЕРКИ ). Тази процедура трябва да се повтаря на всеки шест часа, докато условията да позволят поставянето на назогастрална тръба. След това натрошените таблетки с метокарбамол, окачени във вода или физиологичен разтвор, след това могат да бъдат дадени през тази тръба. Общите ежедневни дози устни до 24 грама могат да се изискват, както се оценява от реакцията на пациента.

За Pediatric Patients

Препоръчва се минимална първоначална доза от 15 mg/kg или 500 mg/m². Тази доза може да се повтаря на всеки шест часа, ако е необходимо. Общата доза не трябва да надвишава 1,8 g/m² за 3 последователни дни. Дозировката за поддържане може да бъде дадена чрез инжектиране в тръби или от i.v. инфузия с

Колко се доставя

Робин инжекционен (100 mg/ml) Доставя се в - 10 мл флакони с единична доза в пакети от 25 ( NDC 0641-6103-25).

Съхранявайте при 20 °- 25 ° C (68 °- 77 ° F) Екскурсни йони, разрешени до 15 °- 30 ° C (59 °- 86 ° F).

Не е направен с естествен каучуков латекс.

За да съобщите за заподозрени нежелани реакции, свържете се с West-Ward Pharmaceuticals Corp. на 1- 877-845-0689 или FDA на 1-800-FDA-1088 или www.fda.gov/medwatch.

За Product Inquiry call 1-877-845-0689.

Произведено от: West-Ward A Hikma Company Eatontown NJ 07724 САЩ. Ревизиран: октомври 2017 г.

Странични ефекти за робаксин

Съобщава се за следните нежелани реакции, съвпадащи с прилагането на метокарбамол. Някои събития може да се дължат на прекалено бърза скорост на интравенозна инжекция.

Тяло като цяло: Анафилактична реакция ангионевротична оток треска главоболие

Сърдечно -съдова система: Bradycardia промиване на хипотония Syncope Thrombophlebitis

В повечето случаи на синкоп е имало спонтанно възстановяване. В други епинефрин инжекционни стероиди и/или инжекционни антихистамини се използват за ускоряване на възстановяването.

Храносмилателна система: Диспепсия жълтеница (включително холестатична жълтеница) гадене и повръщане

Хемическа и лимфна система: Левкопения

Имунна система: Реакции на свръхчувствителност

За какво се използва ondansetron hcl за

Нервна система: Амнезия объркване диплопия замаяност или светлоглава сънливостта безсъние с мека мускулна некоординация Нистагъм седиране (включително Grand Mal) световъртеж

Настъпването на конвулсивни припадъци по време на интравенозно приложение на метокарбамол е съобщено при пациенти с нарушения на пристъпите. Психическата травма на процедурата може да е допринасящ фактор. Въпреки че няколко наблюдатели съобщават за успех при прекратяване на епилептиформните припадъци с инжектиране на робаксин, не се препоръчва неговото приложение към пациенти с епилепсия (виж ПРЕДПАЗНИ МЕРКИ Общи ).

Кожа и специални сетива: Замъглено зрение конюнктивит назален задръствателен метален вкус pruritus rash urticaria

Други: Болка и плът на мястото на инжектиране

Лекарствени взаимодействия за робаксин

Виж Предупреждения и ПРЕДПАЗНИ МЕРКИ за взаимодействие с лекарства с ЦНС и алкохол.

Метокарбамолът може да инхибира ефекта на пиридостигмин бромид. Следователно метокарбамолът трябва да се използва с повишено внимание при пациенти с миастения гравис, получаващи антихолинестеразни средства.

Взаимодействия между лекарства/лабораторни тестове

Метокарбамолът може да причини цветна намеса при определени скринингови тестове за 5Hydroxyindoleacetic киселина (5-HIAA), използвайки нитрозонафтол реагент и при скринингови тестове за уринарния ваниллилмандлова киселина (VMA), използвайки метода на Gitlow.

Предупреждения за Robaxin

Тъй като метокарбамолът може да притежава общ ефект на депресант на ЦНС, пациентите, които получават инжектиране на робаксин, трябва да бъдат предупредени за комбинирани ефекти с алкохол и други депресанти на ЦНС.

Безопасното използване на инжекционния робаксин не е установено по отношение на възможните неблагоприятни ефекти върху развитието на плода. Има много редки съобщения за фетални и вродени аномалии, следващи при излагане на матката на метокарбамол. Следователно инжектирането на робаксин не трябва да се използва при жени, които са или могат да забременеят и особено по време на ранна бременност, освен ако в преценката на лекаря потенциалните ползи надвишават възможните опасности (виж ПРЕДПАЗНИ МЕРКИ Бременност ).

Използване в дейности, изискващи психическа бдителност

Метокарбамолът може да наруши умствените и/или физическите способности, необходими за изпълнение на опасни задачи, като работни машини или шофиране на моторно превозно средство. Пациентите трябва да бъдат предупредени относно експлоатационните машини, включително автомобилите, докато не са сигурни, че терапията с метокарбамол не влияе неблагоприятно върху способността им да участват в подобни дейности.

Предпазни мерки за Robaxin

Общи

Както при други агенти, прилагани или интравенозно или интрамускулно внимателно наблюдение на дозата и скоростта на инжектиране. Скоростта на инжектиране не трябва да надвишава 3 ml в минута - т.е. Една 10 мл флакон за приблизително три минути. Тъй като трябва да се избягва инжектирането на робаксин за хипертонична съдова екстравазация. Лечената позиция ще намали вероятността от странични реакции.

Кръвта, аспирирана в спринцовката, не се смесва с хипертоничния разтвор. Това явление възниква при много други интравенозни препарати. Кръвта може да се инжектира с метокарбамол или инжекцията може да бъде спряна, когато буталото достигне кръвта, която и лекарят предпочита.

Общата доза не трябва да надвишава 30 ml (три флакона) на ден за повече от три последователни дни, освен при лечението на тетанус.

Трябва да се наблюдава предпазливост при използването на инжекционната форма при пациенти със заподозрени или известни нарушения в пристъпите.

Канцерогенеза мутагенеза Нарушаване на плодовитостта

Дългосрочните проучвания за оценка на канцерогенния потенциал на метокарбамол не са проведени. Не са проведени проучвания за оценка на ефекта на метокарбамол върху мутагенезата или неговия потенциал да нарушава плодовитостта.

Бременност

Тератогенни ефекти

Бременност Category C

Изследванията за възпроизвеждане на животни не са проведени с метокарбамол. Също така не е известно дали метокарбамолът може да причини вреда на плода, когато се прилага на бременна жена или може да повлияе на капацитета за възпроизвеждане. Инжектирането на робаксин трябва да се дава на бременна жена, само ако е ясно необходимо.

Безопасното използване на инжекционния робаксин не е установено по отношение на възможните неблагоприятни ефекти върху развитието на плода. Има съобщения за фетални и вродени аномалии, следващи при излагане на матката на метокарбамол. Следователно инжектирането на робаксин не трябва да се използва при жени, които са или могат да забременеят и особено по време на ранна бременност, освен ако в преценката на лекаря потенциалните ползи надвишават възможните опасности (виж Предупреждения ).

Кърмещи майки

Метокарбамол и/или неговите метаболити се отделят в млякото на кучетата; Не е известно обаче дали метокарбамол или неговите метаболити са екскретирани в човешкото мляко. Тъй като много лекарства се отделят в предпазливостта на човешкото мляко, трябва да се упражняват, когато инжектирането на робаксин се прилага на медицинска сестра.

Педиатрична употреба

Безопасността и ефективността на инжектирането на робаксин при педиатрични пациенти не са установени, освен в тетанус. Виж Доза и приложение Специални упътвания за Използвайте в Tetanus За Pediatric Patients .

Информация за предозиране за робаксин

Ограничена информация е налична за острата токсичност на метокарбамол. Предозирането на метокарбамол често е във връзка с алкохол или други депресанти на ЦНС и включва следните симптоми: Припадъци от хипотония на сънливостта на гадене замъглява зрението и кома. При опит след маркетинг смъртните случаи са съобщени самостоятелно с предозиране на метокарбамол или в присъствието на други алкохолни или психотропни лекарства на депресанти на ЦНС.

Лечение

Управлението на предозиране включва симптоматично и поддържащо лечение. Подкрепящите мерки включват поддържане на адекватно наблюдение на дихателните пътища и жизненоважни признаци и прилагане на интравенозни течности, ако е необходимо. Полезността на хемодиализата при управление на предозиране е неизвестна.

Противопоказания за робаксин

Инжектирането на робаксин не трябва да се прилага на пациенти с известна или подозрителна бъбречна патология. Това предпазливост е необходимо поради наличието на полиетилен гликол 300 в превозното средство.

Известно е, урея задържане при пациенти с бъбречно увреждане. Въпреки че сумата, присъстваща в тази подготовка, е в рамките на границите на предпазната предпазливост, диктува това противопоказание.

Инжектирането на робаксин е противопоказано при пациенти, свръхчувствителни към метокарбамол или към някой от инжекционните компоненти.

Клинична фармакология за Robaxin

Механизмът на действие на метокарбамол при хора не е установен, но може да се дължи на обща депресия на ЦНС. Той няма директно действие върху контрактилния механизъм на набразден мускул крайната плоча на двигателя или нервното влакно.

Фармакокинетика

При здрави доброволци плазменият клирънс на метокарбамол варира между 0,20 и 0,80 L/h/kg средната елиминиране на плазмата варира между 1 и 2 часа, а плазменият протеин варира между 46% и 50%.

Метокарбамолът се метаболизира чрез дилкилиране и хидроксилиране. Съединението на метокарбамол също е вероятно. По същество всички метаболити на метокарбамол се елиминират в урината. Малки количества непроменен метокарбамол също се отделят в урината.

Специални популации

Възрастни

Средният (± SD) елиминиране на полуживот на метокарбамол при здрави доброволци в напреднала възраст (средна (± SD) възраст 69 (± 4) години) е леко удължен в сравнение с по-млада (средна (± SD) възраст 53,3 (± 8,8) години) Здравословна популация (NULL,5 (± 0,4) часа в сравнение с 1.1 (± 0,27) часове съответно (± 0,4) часа на възраст 1,1 (± 8,8). Фракцията на свързания метокарбамол е леко намалена при възрастни хора спрямо по -младите доброволци (съответно 41 до 43% срещу 46 до 50%).

Бъбречно увредени

Клирънсът на метокарбамол при 8 пациенти с увреждане на бъбречно придобиване на поддръжка на хемодиализа е намален с около 40% в сравнение със 17 нормални лица, въпреки че средната (± SD) елиминиране на полуживота в тези две групи е сходна (NULL,2 (± 0,6) срещу 1.1 (± 0,3) часа съответно).

Черно -нарушено

При 8 пациенти с цироза, вторична за злоупотреба с алкохол, средното общо клирънс на метокарбамол е намалена приблизително 70% в сравнение с този, получен при 8 нормални субекти, съответстващи на възрастта и теглото. Средният (± SD) елиминиращ полуживот при пациенти с цироза и нормалните лица е съответно 3,38 (± 1,62) часа и 1,11 (± 0,27) часа. Процентът на метокарбамол, свързан с плазмените протеини, е намален до приблизително 40 до 45% в сравнение с 46 до 50% при нормалните лица.

Информация за пациента за робаксин

Пациентите трябва да бъдат предупредени, че метокарбамолът може да причини сънливост или замаяност, което може да наруши способността им да работят с моторни превозни средства или машини.

Тъй като метокарбамолът може да притежава общ ефект на ЦНС-депресант, пациентите трябва да бъдат предупредени за комбинирани ефекти с алкохол и други депресанти на ЦНС.