Информацията В Сайта Не Е Медицински Съвет. Ние Не Продаваме Нищо. Точността На Превода Не Е Гарантирана. Отказ От Отговорност
Акне агенти, актуални
Еригел
Резюме на наркотиците
Какво е Erygel?
Еригел (еритромицин локален) гел USP 2% е локален (за кожата) антибиотик, използван за лечение на бактериални инфекции като тежка акне. Erygel се предлага в родова форма.
колко imodium можете да вземете
Какви са страничните ефекти на Erygel?
Еригел
- кошери
- затруднено дишане
- Подуване на лицето ви устни Език или гърло
- тежко изгаряне
- ужилване
- зачервяване
- сочи или други признаци на кожна инфекция
- Влошаване на състоянието на кожата ви
- силна стомашна болка и
- диария, която е водниста или кървава (дори и да се появи месеци след последната ви доза)
Получете медицинска помощ веднага, ако имате изброени по -горе симптоми.
Общите странични ефекти на Erygel включват:
- изгаряне
- зачервяване
- сърбеж
- дразнене
- нежност или
- Суха/Пилинг/Мазна кожа, особено през първите няколко дни, тъй като тялото ви се приспособява към лекарствата
Други странични ефекти на еригел включват дразнене на очите.
Потърсете медицинска помощ или се обадете на 911 наведнъж, ако имате следните сериозни странични ефекти:
- Сериозни симптоми на очите, като например внезапна загуба на зрение, замъглено зрение Тунел Виждане болка в очите или подуване или виждане на ореоли около светлините;
- Сериозни сърдечни симптоми като бързи нередовни или ударни сърдечни удари; трептене в гърдите ви; задух; и внезапна замаяност замаяност или раздаване;
- Тежка главоболие объркване затънала речева ръка или крак слабост проблем за ходене на загуба на координация, чувствайки се нестабилни много твърди мускули висока треска обилно изпотяване или тремор.
Този документ не съдържа всички възможни странични ефекти, а други могат да възникнат. Консултирайте се с вашия лекар за допълнителна информация за страничните ефекти.
Дозировка за еригел
Еригелският локален гел трябва да се прилага пестеливо като тънка филмова доза към засегнатата зона (и) веднъж или два пъти на ден, след като кожата се почиства старателно и се потупва. Разстелете лекарствата леко, вместо да го втривате.
Какви лекарства вещества или добавки взаимодействат с Erygel?
Еригел може да взаимодейства с други лекарства. Избягвайте да използвате други лекарства в областите, които лекувате с Erygel, освен ако не е инструктиран от Вашия лекар. Избягвайте да използвате кожни продукти, които могат да причинят дразнене, като тежки сапуни или почистващи кожа на кожата или кожни продукти с алкохолни подправки стипси или вар. Кажете на Вашия лекар всички лекарства и добавки, които използвате.
Колко хапчета на калий на ден
Еригел по време на бременност или кърмене
По време на бременност трябва да се използва еригел само ако е предписано. Не е известно дали това лекарство преминава в кърма. Консултирайте се с Вашия лекар преди кърмене.
Допълнителна информация
Нашият еригел (еритромицин локален) гел USP 2% странични ефекти Център за лекарства предоставя цялостен поглед върху наличната информация за лекарството за потенциалните странични ефекти при приемането на това лекарство.
Информация за наркотиците на FDA
- Описание на лекарството
- Показания
- Странични ефекти
- Предупреждения
- Предпазни мерки
- Предозиране
- Клинична фармакология
- Ръководство за лекарства
Описание за Erygel
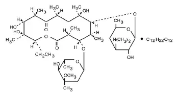
Еригел® (Еритромицин локален гел) локален гел съдържа еритромицин (3R* 4S* 5S* 6R* 7R* 9R* 11R* 12R* 13S* 14R*)-4-[(26-дидеокси-3- В- метил-3- O -Метил-α-l- риба -hexopyranosyl) oxy] -14-етил-712 13-трихидрокси-35791113-хексаметил-6-[[346-тридеокси-3- (диметиламино) -ß-d- Xylo -hexopyranosyl] Oxy] Oxacy-clotetradecane-210-Dione) за локална дерматологична употреба. Еритромицин е макролиден антибиотик, произведен от щам на Saccaropolyspora erythraea (преди Streptomyces Erythreus ). Това е основа и лесно образува соли с киселини.
Химически еритромицинът е c 37 H 67 Не 13 . Той има следната структурна формула:
Структурна формула
|
Еритромицинът има молекулно тегло 733,94. Това е бял или леко жълт без мирис или практически горчив кристален прах без мирис. Еритромицинът е много разтворим в много полярни органични разтворители като алкохоли ацетон хлороформ ацетонитрил и етилацетат. Той е умерено разтворим в по-малко полярни разтворители като етер дихлороетил-ен и амилацетат. Той е леко разтворим в неполярни разтворители като хексан. Той е много лошо разтворим във вода.
Всеки грам от локален гел на Erygel® (еритромицин) локален гел съдържа 20 mg еритромицин USP в основа на алкохол 92% и хидроксипропил целулоза.
Използване за еригел
Еригел® (Еритромицин локален гел) локален гел е показан за локалното лечение на акне вулгарис.
Дозировка за еригел
Локалният гел на Erygel® (локален гел на еритромицин) трябва да се прилага пестеливо като тънък филм към засегнатата зона (и) веднъж или два пъти на ден, след като кожата се почиства старателно и се потупва. Ако не е имало подобрение след 6 до 8 седмици или ако състоянието стане по -лошо, лечението трябва да бъде прекратено и лекарят трябва да бъде преразгледан. Разпространете лекарството леко, вместо да го втривате. Няма данни, които директно сравняват безопасността и ефикасността на B.I.D. срещу Q.D. дозиране.
Странични ефекти на цефадроксил 500 mg
Колко се доставя
Erygel® (Еритромицин локален гел USP) 2% се доставя в пластмасови тръби в следните размери: 30 g - NDC 0023-4312-30 и 60 g- NDC 0023-4312-60.
Забележка: Запалим. Дръжте се от топлината и пламъка. Съхранявайте и раздайте в оригинален контейнер. Дръжте тръбата плътно затворена. Съхранявайте между 15 ° и 25 ° C (59 ° и 77 ° F).
Разпределено от: Merz Pharmaceuticals Greensboro NC 27410. Rev 1/00. Дата на ревизия на FDA: 12/9/2002
Странични ефекти за еригел
При контролирани клинични изпитвания честотата на изгарянето, свързано с локалния гел на Erygel® (еритромицин, е приблизително 25%. Понякога се съобщават за следните допълнителни локални нежелани реакции: отлепване на сухота сърбеж на еритема и масленост. Съобщава се и за дразнене на очите и нежността на кожата с локалното използване на еритромицин. Съобщава се за агенализирана уртикариална реакция, вероятно свързана с употребата на еритромицин, която изисква системна стероидна терапия.
Лекарствени взаимодействия за еригел
Не е предоставена информация.
Предупреждения for Erygel
Съобщава се за псевдомембранозен колит с почти всички антибактериални средства, включително еритромицин и може да варира по тежест от леки до животозастрашаващи. Ето защо е важно да се разгледа тази диагноза при пациенти, които представят диария след прилагането на антибактериални средства.
Лечението с антибактериални средства променя нормалната флора на дебелото черво и може да позволи свръхрастеж на Clostridia. Проучванията показват, че токсин, произведен от Clostridium difficile е една основна причина за свързания с антибиотици колит.
След диагностицирането на псевдомембранозен колит трябва да се установят терапевтични мерки. Леките случаи на псевдомембранозен колит обикновено реагират само на прекратяване на лекарството. При умерени до тежки случаи трябва да се разглеждат ръководството с течности и електролити с добавка на протеини и лечение с антибактериално лекарство, клинично ефективно срещу В. трудно Колит.
Предпазни мерки for Erygel
Общи: Само за актуална употреба; не за офталмологична употреба. Едновременната локална терапия с акне трябва да се използва с повишено внимание, тъй като може да се появи възможен кумулативен ефект на дразнене, особено при използването на пилинг, дескваращи или абразивни агенти. Използването на антибиотични средства може да бъде свързано с свръхрастеж на антибиотични резистентни организми. Ако това се случи, преустановете употребата и предприемете подходящи мерки.
Избягвайте контакт с очи и всички лигавици.
Канцерогенеза мутагенеза Нарушаване на плодовитостта: Не са проведени проучвания на животни за оценка на канцерогенен и мутагенна потенциал или ефекти върху плодовитостта на локалния еритромицин. Колкото и дългосрочни (2-годишни) перорални изследвания при плъхове с еритромицин етилсукцинат и еритромицин основа не предоставят доказателства за туморогенност. Нямаше очевиден ефект върху плодовитостта на мъжете или жените при плъхове, хранени с еритромицин (база) при нива до 0,25% от диетата.
евтини евтини стаи
Бременност: Тератогенни ефекти: Бременност Категория Б: Няма данни за тератогенност или какъвто и да е друг неблагоприятен ефект върху репродукцията при женски плъхове, хранени с еритромицин основа (до 0,25% от диетата) преди и по време на чифтосване по време на бременност и чрез отбиване на две последователни носилки. Въпреки това няма адекватни и добре контролирани проучвания при бременни жени. Тъй като проучванията за възпроизвеждане на животни не винаги предсказват човешки отговор, това лекарство трябва да се използва при бременност само ако е ясно необходимо. Съобщава се, че еритромицинът преминава през плацентарната бариера при хората, но нивата на плазмата на плода обикновено са ниски.
Медицински сестри: Не е известно дали еритромицинът е екскретен в човешкото мляко след актуално приложение. Еритромицинът обаче се отделя в човешко мляко след прилагане на перорално и парентерално еритромицин. Следователно трябва да се внимава, когато еритромицинът се прилага на медицинска сестра.
Педиатрична употреба: Безопасността и ефективността при педиатрични пациенти не са установени.
Информация за предозиране за Erygel
Не е предоставена информация.
Противопоказания за Erygel
Еригел® (еритромицин локален гел) локалният гел е противопоказан при онези индивиди, които проявяват свръхчувствителност към някой от неговите компоненти.
най-евтиният начин за пътуване през страната
Клинична фармакология for Erygel
Точният механизъм, чрез който еритромицинът намалява лезиите на акне вулгарис, не е напълно известен; Изглежда обаче, че ефектът се дължи отчасти на антибактериалната активност на лекарството.
Микробиология
Еритромицинът действа чрез инхибиране на синтеза на протеини в чувствителните организми чрез обратимо свързване с 50S рибозомни субединици, като по този начин инхибира транслокацията на аминоацил трансфер-RNA и инхибиращ синтез на полипептид. Антагонизъм е демонстриран in vitro между еритромицин линкомицин хлорамфеникол и клиндамицин.
Информация за пациента за Erygel
Пациентите, използващи erygel® (локален гел на еритромицин), трябва да получават следната информация и инструкции:
Това лекарство трябва да се използва според указанията на лекаря. Той е само за външна употреба. Избягвайте контакт с устата на носа и всички лигавици.
Това лекарство не трябва да се използва за някакво разстройство, различно от това, за което е предписано.
Пациентите не трябва да използват други актуални лекарства за акне, освен ако не е указано друго от техния лекар.
Пациентите трябва да докладват на своя лекар всякакви признаци на локални нежелани реакции.