Информацията В Сайта Не Е Медицински Съвет. Ние Не Продаваме Нищо. Точността На Превода Не Е Гарантирана. Отказ От Отговорност
Цефалоспорини, 1 -во поколение
Duricef
Резюме на наркотиците
Какво е Duricef?
Duricef (Cefadroxil) е цефалоспоринов антибиотик, използван за лечение на много различни видове инфекции, причинени от бактерии. Името на марката Duricef е прекратено и Cefadroxil е достъпен в родова форма.
Какви са страничните ефекти на duricef?
Общите странични ефекти на duricef (cefadroxil) включват:
- стомашно разстройство или болка
- гадене
- повръщане
- диария
- твърди или стегнати мускули
- Болки в ставите
- Чувствате се неспокойни или хиперактивни
- Необичаен или неприятен вкус в устата ви
- сърбеж или кожен обрив или
- вагинално сърбеж или изхвърляне.
Кажете на Вашия лекар, ако имате малко вероятно, но много сериозни странични ефекти на Duricef (Cefadroxil), включително:
- постоянно гадене или повръщане
- Пожълтящи очи или кожа
- Тъмна урина
- Нови признаци на инфекция (напр. Устойчиво възпалено гърло или треска)
- Лесно натъртване или кървене
- промени в количеството на урината или
- Психични/промени в настроението (като объркване).
Потърсете медицинска помощ или се обадете на 911 наведнъж, ако имате следните сериозни странични ефекти:
- Сериозни симптоми на очите, като например внезапна загуба на зрение, замъглено зрение Тунел Виждане болка в очите или подуване или виждане на ореоли около светлините;
- Сериозни сърдечни симптоми като бързи нередовни или ударни сърдечни удари; трептене в гърдите ви; задух; и внезапна замаяност замаяност или раздаване;
- Тежка главоболие объркване затънала речева ръка или крак слабост проблем за ходене на загуба на координация, чувствайки се нестабилни много твърди мускули висока треска обилно изпотяване или тремор.
Този документ не съдържа всички възможни странични ефекти, а други могат да възникнат. Консултирайте се с вашия лекар за допълнителна информация за страничните ефекти.
Дозировка за Duricef?
Препоръчителната доза при възрастни цефадроксил за лечение на инфекции на кожата и структурата на кожата на фарингит и тонзилита е 1 грам дневно като една доза или в две разделени дози. Дозата за инфекции на пикочните пътища е 2 грама веднъж дневно или в две разделени дози. Дозата за предотвратяване на ендокардит е 2 грама, даден един час преди процедура. Препоръчителната доза за деца е 30 mg/kg/ден като единична доза или две разделени дози.
Какви лекарства вещества или добавки взаимодействат с Duricef?
Възможно е да има и други лекарства, които могат да взаимодействат с цефадроксил. Кажете на Вашия лекар за всички лекарства за рецепта и без рецепта, които използвате. Това включва витамини минерали билкови продукти и лекарства, предписани от други лекари. Не започвайте да приемате ново лекарство, без да казвате на вашия лекар.
Duricef по време на бременност и кърмене
Това лекарство трябва да се използва само когато е предписано по време на бременност. Това лекарство преминава в кърма. Въпреки че не е имало съобщения за вреда на кърмачетата, които се консултират с вашия лекар преди кърменето.
Допълнителна информация
Нашият лекарствен център Duricef (Cefadroxil) предоставя изчерпателен поглед върху наличната информация за лекарството върху потенциалните странични ефекти при приемането на това лекарство.
Информация за наркотиците на FDA
- Описание на лекарството
- Показания
- Доза
- Странични ефекти
- Предупреждения
- Предпазни мерки
- Предозиране
- Клинична фармакология
- Ръководство за лекарства
Описание за Duricef (марка се прекратява)
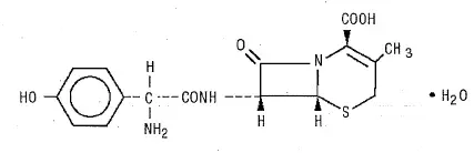
Duricef (Cefadroxil) е полусинтетичен цефалоспоринов антибиотик, предназначен за перорално приложение. Това е бял до жълтеникаво-бял кристален прах. Той е разтворим във вода и е стабилен. Той е химически обозначен като 5-тиа-L-азабицикло [4.2.0] OCT-2-ен-2-карбоксилна киселина 7-[[амино (4-хидроксифенил) ацетил] амино] -3-метил-8-оксо-монохидрат [6R- [6α7β (R*)]]-. Има формула c 16 H 17 N 3 O 5 S • H. 2 0 и молекулното тегло от 381.40. Той има следната структурна формула:
|
Duricef (Cefadroxil) филмови таблетки 1 g съдържат следните неактивни съставки: микрокристална целулозна хидроксипропил метилцелулозен магнезиев стеарен полиетилен гликол полисорбат 80 симетиконова емулсия и титанов диоксид.
Duricef (cefadroxil) за перорално окачване съдържа следните неактивни съставки: FD
Странични ефекти на Nadolol 20 mg
Duricef (cefadroxil) капсули съдържат следните неактивни съставки: D
Използване за Duricef (марка е прекратена)
Duricef (Cefadroxil) е показан за лечение на пациенти с инфекция, причинена от чувствителни щамове на определените организми при следните заболявания:
Инфекции на пикочните пътища, причинени от Е. Коли; П. Мирабилис и Клебсиела видове.
Инфекции на структурата на кожата и кожата, причинени от стафилококи и/или стрептококи.
Фарингит и/или тонзилит, причинен от Streptococcus pyogenes (Група бета-хемолитични стрептококи).
Забележка: Показано е, че само пеницилинът от интрамускулния път на администриране е ефективен в профилактиката на ревматичната треска. Duricef (Cefadroxil) обикновено е ефективен при ликвидирането на стрептококи от орофаринкса. Въпреки това не са налични данни, установяващи ефикасността на duricef (cefadroxil) за профилактиката на последващата ревматична треска.
Забележка: Тестовете за култура и чувствителност трябва да се инициират преди и по време на терапията. Проучванията за бъбречна функция трябва да се извършват, когато са посочени.
За да се намали развитието на устойчиви на лекарства бактерии и да се поддържа ефективността на Duricef (цефадроксил) и други антибактериални лекарства Duricef (цефадроксил), трябва да се използва само за лечение или предотвратяване на инфекции, които се доказват или силно се подозира, че са причинени от податливи бактерии. Когато е налична информация за културата и чувствителността, те трябва да бъдат взети предвид при избора или промяна на антибактериалната терапия. При липса на такива данни локалните епидемиология и модели на чувствителност могат да допринесат за емпиричния селекция на терапията.
Как да приемате амоксицилин 500 mg капсули
Доза for Duricef (Brи Name is Discontinued)
Duricef (Cefadroxil) е устойчив на киселини и може да се прилага перорално, без да се вземат предвид храненията. Прилагането с храна може да бъде полезно за намаляване на потенциалните стомашно -чревни оплаквания, от време на време, свързани с перорална цефалоспоринова терапия.
Възрастни
Инфекции на пикочните пътища: За неусложнени инфекции с по -ниски пикочни пътища (т.е. цистит) обичайната доза е 1 или 2 g на ден в един (q.d.) или разделени дози (B.I.D.).
За всички други инфекции на пикочните пътища обичайната доза е 2 g на ден в разделени дози (B.I.D.).
Инфекции на структурата на кожата и кожата: За инфекции на структурата на кожата и кожата обичайната доза е 1 g на ден в единични (q.d.) или разделени дози (B.I.D.).
Фарингит и тонзилит: Лечение на бета-хемолитичен стрептококов фарингит и тонзилит-1 g на ден в единичен (q.d.) или разделени дози (B.I.D.) за 10 дни.
Деца
За инфекции на пикочните пътища препоръчителната дневна доза за деца е 30 mg/kg/ден в разделени дози на всеки 12 часа. За фарингит тонзилит и импетиго препоръчителната дневна доза за деца е 30 mg/kg/ден в една доза или в еднакво разделени дози на всеки 12 часа. За други инфекции на структурата на кожата и кожата препоръчителната дневна доза е 30 mg/kg/ден в еднакво разделени дози на всеки 12 часа. При лечението на бета-хемолитични стрептококови инфекции трябва да се прилага терапевтична доза на Duricef (Cefadroxil) за поне 10 дни.
Вижте диаграма за обща дневна доза за деца.
| Ежедневна доза на суспензия Duricef® | |||
| Тегло на детето | |||
| lbs | kg | 260 mg/5 ml | 500 mg/5 ml |
| 10 | 4.5 | ½ ч.л. | |
| 20 | 9.1 | 1 ч.л. | |
| 30 | 13.6 | 1½ ч.л. | |
| 40 | 18.2 | 2 ч.л. | l tsp |
| 50 | 22.7 | 2½ ч.л. | 1¼ ч |
| 60 | 27.3 | 3 ч.л. | 1½ ч.л. |
| 70 | 31.8 | - | 2 ч.л. |
Бъбречно увреждане
При пациенти с бъбречно увреждане дозата на цефадроксил монохидрат трябва да се коригира според процента на клирънс на креатинина, за да се предотврати натрупването на лекарства. Предлага се следният график. При възрастни първоначалната доза е 1000 mg duricef (cefadroxil) и поддържащата доза (въз основа на скоростта на креатинина [ml/min/1,73 m 2 ]) е 500 mg на интервалите от време, изброени по -долу.
| Креатинински клирънс | Доза Interval |
| 0-l0 ml/min | 36 часа |
| 10-25 ml/min | 24 часа |
| 25-50 ml/min | 12 часа |
Пациентите с креатинин клирънс над 50 ml/min могат да се лекуват така, сякаш са пациенти с нормална бъбречна функция.
| Указания за възстановяване на устното окачване | |
| Размер на бутилката | Указания за възстановяване |
| L00 ml | Суспендирайте в общо 67 ml вода. Метод: Докоснете леко бутилка, за да разхлабите прах. Добавете 67 ml вода в две порции. Разклатете добре след всяко допълнение. |
| 75 ml | Суспендирайте в общо 51 ml вода. Метод: Докоснете леко бутилка, за да разхлабите прах. Добавете 51 ml вода в две порции. Разклатете добре след всяко допълнение. |
| 50 ml | Суспендирайте в общо 34 ml вода. Метод: Докоснете леко бутилка, за да разхлабите прах. |
| Добавете 34 ml вода в две порции. Разклатете добре след всяко допълнение. | |
| След магазин за възстановяване в хладилник. Разклатете добре преди да използвате. Дръжте контейнера плътно затворен. Изхвърлете неизползваната част след 14 дни. |
Колко се доставя
Duricef® (Cefadroxil Monohydrate USP) 500 mg капсули: непрозрачни марони и бели твърди желатинови капсули, отпечатани с „PPP“ и „784“ в единия край и с „Duricef (Cefadroxil)“ и „500 mg“ от другия край.
Капсулите се доставят по следния начин:
N 0430-0780-19 ................... Бутилка от 50
Съхранявайте при контролирана стайна температура 15 ° - 30 ° C (59 ° - 86 ° F).
Duricef® (Cefadroxil) 1 грам таблетки: бял до бял горен горен разрез с овална форма, отпечатано с „PPP“ от едната страна на бисекта и „785“ от другата страна на бисекта. Таблетките се доставят по следния начин:
N 0430-0781-19 .................... Бутилка от 50
Съхранявайте при контролирана стайна температура 15 ° - 30 ° C (59 ° - 86 ° F).
достъпни ваканционни дестинации
Duricef® (Cefadroxil) за перорална суспензия е оранжево-пинеасово ароматизиран и се доставя, както следва:
250mg/5ml ................................ N 0430-2782-15
| 500 mg/5 ml | N 0430-2782-17 N 0430-2783-16 N 0430-2783-17 | 100 ml бутилка 75 ml Bottle 100 ml бутилка |
Преди възстановяване: Съхранявайте при контролирана стайна температура 15 ° - 30 ° C (59 ° - 86 ° F).
Произведено от Bristol-Myers Squibb Co. Princeton NJ 08543. За Warner Chilcott Company Inc. Fajardo PR 00738. На пазара на Warner Chilcott (US) Inc. Rockaway NJ 07866. Ревизиран април 2007 г. FDA Rev Дата: 6/5/2007
Странични ефекти за duricef (марка е прекратена)
Стомашно -чревен
Появата на симптомите на псевдомембранозен колит могат да възникнат по време или след лечение с антибиотик (виж Предупреждения ). Съобщава се за диспепсия гадене и повръщане рядко. Настъпила е и диария.
Свръхчувствителност
Наблюдавани са алергии (под формата на обрив уртикария ангиоедем и сърбеж). Тези реакции обикновено утихнаха при прекратяване на лекарството. Съобщава се и за анафилаксия.
Други
Други reactions have included hepatic dysfunction including cholestasis и elevations in serum transaminase genital pruritus genital moniliasis vaginitis moderate transient neutropenia fever. Agranulocytosis thrombocytopenia idiosyncratic hepatic failure erythema multiforme Stevens-Johnson syndrome serum sickness и arthralgia have been rarely reported.
In addition to the adverse reactions listed above which have been observed in patients treated with cefadroxil the following adverse reactions and altered laboratory tests have been reported for cephalosporin-class antibiotics:
Toxic epidermal necrolysis abdominal pain superinfection renal dysfunction toxic nephropathy aplastic anemia hemolytic anemia hemorrhage prolonged prothrombin time positive Coombs' test increased BUN increased creatinine elevated alkaline phosphatase elevated aspartate aminotransferase (AST) elevated alanine aminotransferase (ALT) elevated Билирубин повишена LDH еозинофилия паситопения неутропения.
Няколко цефалоспорина са замесени в задействане на припадъци, особено при пациенти с бъбречно увреждане, когато дозата не е намалена (виж Доза и приложение и Предоставяне ). Ако се появят припадъци, свързани с лекарствената терапия, лекарството трябва да бъде прекратено. Антиконвулсантната терапия може да бъде дадена, ако е клинично показана.
Лекарствени взаимодействия за duricef (марка се преустановява)
Взаимодействия между лекарства/лабораторни тестове
По време на лечението са докладвани положителни тестове за директни Coombs с антибиотиците на цефалоспорин. В хематологичните проучвания или при преливане на процедури за кръстосано съвпадение, когато тестовете за антиглобулин се извършват от второстепенната страна или при тестване на Coombs на новородени, чиито майки са получили цефалоспоринови антибиотици преди раждане, трябва да се признае, че тестът на положителния Coombs може да се дължи на лекарството.
Предупреждения for Duricef (Brи Name is Discontinued)
Преди терапията с Duricef (Cefadroxil) да бъде създадена внимателно проучване, трябва да се направи внимателно проучване, за да се определи дали пациентът е имал предишни реакции на свръхчувствителност към пеницилини на цефалоспорини на цефалоспорини на цефалоспорини или други лекарства. Ако този продукт трябва да бъде даден на чувствителните към пеницилин пациенти, трябва да се внимава, тъй като кръстосаната чувствителност сред бета-лактамните антибиотици е ясно документирана и може да се появи при до 10% от пациентите с анамнеза за алергия към пеницилин.
Ако възникне алергична реакция към Duricef (цефадроксил), прекратяват лекарството. Сериозните остри реакции на свръхчувствителност могат да изискват лечение с епинефрин и други мерки за спешни случаи, включително кислородни интравенозни течности Интравенозни антихистамини кортикостероиди амини и управление на дихателните пътища, както е клинично показано.
Странични ефекти от приемането на растежен хормон
Clostridium difficile Съобщава се за свързана диария (CDAD) с използване на почти всички антибактериални средства, включително Duricef (Cefadroxil) и може да варира по тежест от лека диария до фатален колит. Лечението с антибактериални агенти променя нормалната флора на дебелото черво, водеща до свръхрастеж на В. трудно.
В. трудно произвежда токсини A и B, които допринасят за развитието на CD AD. Хипертоксин, произвеждащ щамове на В. трудно Причина за повишена заболеваемост и смъртност, тъй като тези инфекции могат да бъдат рефрактерни на антимикробната терапия и могат да изискват колектомия. CD AD трябва да се разглежда при всички пациенти, които се представят с диария след употреба на антибиотици. Внимателната медицинска история е необходима, тъй като се съобщава, че CD AD се среща в продължение на два месеца след прилагането на антибактериални агенти.
Ако CD рекламата се подозира или потвърждава текущата употреба на антибиотици, която не е насочена срещу В. трудно може да се наложи да бъде прекратен. Подходящо антибиотично лечение на протеини за управление на течности и електролити на В. трудно и surgical evaluation should.be instituted as clinically indicated.
Предпазни мерки for Duricef (Brи Name is Discontinued)
Общи
Duricef (cefadroxil) трябва да се използва с повишено внимание в присъствието на значително нарушена бъбречна функция (скорост на изчистване на креатинин под 50 ml/min/1,73 m 2 ). (Вижте Доза и приложение .) При пациенти с известни или подозрителни бъбречни увреждания внимателно клинично наблюдение и подходящи лабораторни изследвания трябва да се правят преди и по време на терапията.
Предписването на Duricef (цефадроксил) при липса на доказана или силно подозирана бактериална инфекция или профилактична индикация е малко вероятно да осигури полза на пациента и увеличава риска от развитието на устойчиви на лекарства бактерии.
Продължителната употреба на duricef (цефадроксил) може да доведе до свръхрастеж на хълмови организми. Внимателното наблюдение на пациента е от съществено значение. Ако по време на терапията настъпи суперинфекция, трябва да се предприемат подходящи мерки.
Duricef (Cefadroxil) трябва да бъде предписан с повишено внимание при индивиди с анамнеза за стомашно -чревно заболяване, особено колит.
Канцерогенеза мутагенеза и увреждане на плодовитостта
Не са проведени дългосрочни проучвания за определяне на канцерогенния потенциал. Не са проведени тестове за генетична токсичност.
Бременност: Категория на бременността b
Изследванията за репродукция са проведени при мишки и плъхове при дози до 11 пъти повече от човешката доза и не са разкрили доказателства за нарушена плодовитост или вреда на плода поради цефадроксил монохидрат. Въпреки това няма адекватни и добре контролирани проучвания при бременни жени. Тъй като проучванията за възпроизвеждане на животни не винаги предсказват човешки отговор, това лекарство трябва да се използва по време на бременност, само ако е ясно необходимо.
Труд и доставка
Duricef (Cefadroxil) не е проучен за употреба по време на труд и раждане. Лечението трябва да се прилага само ако е ясно необходимо.
Кърмещи майки
Трябва да се внимава, когато цефадроксил монохидрат се прилага на медицинска сестра.
Педиатрична употреба
(Вижте Доза и приложение . )
Гериатрична употреба
От приблизително 650 пациенти, които са получили цефадроксил за лечение на инфекции на пикочните пътища в три клинични изпитвания 28% са 60 години и по -големи, докато 16% са 70 години и по -големи. От приблизително 1000 пациенти, които са получили цефадроксил за лечение на инфекция на кожата и кожата на кожата при 14 клинични изпитвания 12% са 60 години и повече, докато 4% са 70 години и повече. Не са наблюдавани общи разлики в безопасността между пациентите в напреднала възраст при тези проучвания и по -млади пациенти. Клинични проучвания на цефадроксил за. Лечението на фарингит или тонзилит не включва достатъчен брой пациенти на 65 години и повече, за да се определи дали реагират различно от по -младите пациенти. Други съобщени клиничен опит с цефадроксил не са идентифицирали различията в отговорите между възрастни и по -млади пациенти, но по -голяма чувствителност на някои по -възрастни индивиди не може да бъде изключена.
Цефадроксилът е значително екскретиран от бъбрека и корекцията на дозата е показана за пациенти с бъбречно увреждане (виж Доза и приложение : Бъбречно увреждане ). Тъй като възрастните пациенти са по -склонни да имат намалена грижа за бъбречната функция, трябва да се поемат при подбор на дозата и може да е полезно да се следи бъбречната функция.
Информация за предозиране за Duricef (името на марката е прекратена)
Проучване на деца под шест години предполага, че поглъщането на по -малко от 250 mg/kg цефалоспорини не е свързано със значителни резултати. Не се изискват никакви действия, освен обща подкрепа и наблюдение. За количества, по -големи от 250 mg/kg, предизвикват изпразване на стомаха.
При пет анурични пациенти беше доказано, че средно 63% от 1 g перорална доза се извлича от тялото по време на 6-8-часова сесия на хемодиализа.
Противопоказания за Duricef (името на марката е прекратено)
Duricef (Cefadroxil) е противопоказан при пациенти с известна алергия към цефалоспориновата група на антибиотиците.
Клинична фармакология for Duricef (Brи Name is Discontinued)
Duricef (Cefadroxil) бързо се абсорбира след перорално приложение. След единични дози от 500 mg и 1000 mg средните пикови серумни концентрации са приблизително 16 и 28 | Ag/ml съответно. Измеримите нива присъстваха 12 часа след администрирането. Над 90% от лекарството се отделя непроменено в урината в рамките на 24 часа. Пик концентрациите на урината са приблизително 1800 pg/ml през периода след единична доза от 500 mg. Увеличаването на дозата обикновено води до пропорционално увеличение на Duricef (Cefadroxil Monohydrate USP) концентрация на урина. Концентрацията на антибиотика на урината след 1 g доза се поддържа доста над MIC на чувствителни патогени на урината в продължение на 20 до 22 часа.
Микробиология
In vitro Тестовете показват, че цефалоспорините са бактерицидни поради инхибирането на синтеза на клетъчната стена. Доказано е, че цефадроксилът е активен срещу следните организми и двете in vitro и in clinical infections (see Показания ):
Бета-хемолитични стрептококи
Staphylococci включително щамове, произвеждащи пеницилиназа
Streptococcus (Diplococcus) Pneumoniae
Те изложиха студ
Протей прекрасно
Klebsiella видове
Moraxella (branhamella) catarrhalis
Забележка: Повечето щамове от Entervcoccus faecalis (преди Streptococcus faecalis ) и Enterococcus faecium (преди Streptococcus faecium ) са устойчиви на duricef (cefadroxil). Не е активен срещу повечето щамове на Enterobacter видове Morganella morganies (преди Proteus morganii ) и А. Популярни. Тя няма активност срещу Pseudomonas видове и Acinetobacter calcoaceticus (преди Мима и Херелея видове).
Тестове за чувствителност: Техники за дифузия
Използването на методи за изпитване на чувствителност към антибиотичен диск, които измерват диаметъра на зоната, дават точна оценка на чувствителността към антибиотици. Една такава стандартна процедура 1 which has been recommended for use with disks to test susceptibility of organisms to cefadroxil uses the cephalosporin class (cephalothin) disk. Interpretation involves the correlation of the diameters obtained in the disk test with the minimum inhibitory concentration (MIC) for cefadroxil.
Доклади от лабораторията, даващи резултати от стандартния тест за чувствителност към еднодиск с 30 µg цефалотинов диск, трябва да се интерпретират съгласно следните критерии:
| Диаметър на зоната (mm) | Тълкуване |
| ≥ 18 | (S) податливи |
| 15-17 | (I) Междинен |
| <14 | (R) устойчив |
Доклад за „податлив“ показва, че патогенът вероятно ще бъде инхибиран от общо постижимите нива на кръвта. Доклад за „междинна чувствителност“ предполага, че организмът би бил податлив, ако се използва висока доза или ако инфекцията е ограничена до тъкан и течности (например урина), при която се постигат високи нива на антибиотици. Докладът за „устойчив“ показва, че е малко вероятно постижимите концентрации на антибиотика да бъдат „инхибиторни и друга терапия.
Стандартизираните процедури изискват използването на организми за лабораторен контрол. 30 µg цефалотинов диск трябва да даде следните диаметри на зоната:
| Организъм | Диаметър на зоната (mm) |
| Staphylococcus aureus ATCC 25923 | 29-37 |
| Те изложиха студ ATCC 25922 | 17-22 |
Техники за разреждане
Когато използвате метода NCCLS агар за разреждане или разреждане на бульон (включително микродилюция) 2 или еквивалентен бактериален изолат може да се счита за податлива, ако MIC (минималната инхибиторна концентрация) стойността за цефалотин е 8 µg/ml или по -малка. Организмите се считат за резистентни, ако MIC е 32 µg/ml или по -голям. Организмите с MIC стойност под 32 µg/ml, но по -големи от 8 µg/ml са междинни.
Както при стандартните процедури за разреждане на дифузионни методи изискват използването на организми за лабораторни контроли. Стандартният цефалотинов прах трябва да дава стойности на MIC в диапазона от 0,12 µg/ml и 0,5 µg/ml за Staphylococcus aureus ATCC 29213. Vox Те изложиха студ ATCC 25922 the MIC range should be between 4.0 µg/mL и 16.0 µg/mL. For Streptococcus faecalis ATCC 29212 Диапазонът на MIC трябва да бъде между 8,0 и 32,0 µg/ml.
ЛИТЕРАТУРА
Защо Ambien е контролирано вещество
1. Национален комитет за клинични лабораторни стандарти Одобрен стандарт Стандарти за ефективност на теста за чувствителност към антимикробни дискове 4th Edition Vol. 10 (7): M2-A4 Villanova PA April 1990.
2. Национален комитет за клинични лабораторни стандарти Одобрен стандарт: Методи за разреждане на тестове за антимикробна чувствителност за бактерии, които растат аеробно 2 -ро издание том. 10 (8): M7-A2 Villanova PA април 1990 г.
Информация за пациента за Duricef (марка се прекратява)
Пациентите трябва да бъдат консултирани, че антибактериалните лекарства, включително Duricef (Cefadroxil), трябва да се използват само за лечение на бактериални инфекции. Те не лекуват вирусни инфекции (например обикновената настинка). Когато се предписва Duricef (Cefadroxil) за лечение на бактериална инфекция, пациентите трябва да бъдат казани, че въпреки че е обичайно да се чувствате по -добре в началото на терапията, лекарствата трябва да се приемат точно според указанията. Пропускането на дози или не завършването на пълния курс на терапия може (1) да намали ефективността на незабавното лечение и (2) да увеличи вероятността бактериите да развият резистентност и няма да бъдат лечими от Duricef (Cefadroxil) или други антибактериални лекарства в бъдеще.
Диарията е често срещан проблем, причинен от антибиотици, който обикновено завършва, когато антибиотикът е прекратен. Понякога след започване на лечение с антибиотици пациентите могат да развият воднисти и кървави изпражнения (със или без стомашни спазми и треска), дори още два или повече месеца след приемането на последната доза на антибиотика. Ако това се случи, пациентите трябва да се свържат с лекаря си възможно най -скоро.