Информацията В Сайта Не Е Медицински Съвет. Ние Не Продаваме Нищо. Точността На Превода Не Е Гарантирана. Отказ От Отговорност
Цефалоспорини, 3 -то поколение
Fortaz
Резюме на наркотиците
Какво е Fortaz?
Fortaz (инжекция с цефтазидим) е цефалоспоринов антибиотик, използван за лечение на много видове бактериални инфекции, включително тежки или животозастрашаващи форми. Fortaz се предлага в родова форма.
Какви са страничните ефекти на Fortaz?
Fortaz
- кошери
- затруднено дишане
- Подуване на лицето ви устни Език или гърло
- силна стомашна болка
- диария, която е водниста или кървава
- объркване
- Проблеми с реч или памет
- Припадъци и
- Студено чувство на обезцветяване или промени в кожата в пръстите ви
Получете медицинска помощ веднага, ако имате изброени по -горе симптоми.
Общите странични ефекти на Fortaz включват:
- Реакции на инжекционното място (болки в зачервяване или болезненост)
- гадене
- повръщане
- диария
- болки в стомаха или корема
- главоболие
- замаяност
- изтръпване или чувство на чувство
- вагинално сърбеж или изхвърляне
- реакции на свръхчувствителност (сърбеж на обрив) и
- Устна млечница.
Кажете на Вашия лекар, ако имате сериозни странични ефекти на Fortaz, включително:
- диария, която е водниста или кървава
- Студено чувство на обезцветяване или промени в кожата в пръстите ви
- Припадъци (черни или конвулсии)
- бели петна или рани вътре в устата или на устните ви
- пожълтяване на очите или кожата (жълтеница) или
- Тежка реакция на кожата: Омагьосване на болки в гърлото в лицето или изгарянето на езика в очите на кожата болка, последвано от червен или лилав обрив на кожата, който се разпространява (особено в лицето или горната част на тялото) и причинява мехури и пилинг.
Потърсете медицинска помощ или се обадете на 911 наведнъж, ако имате следните сериозни странични ефекти:
- Сериозни симптоми на очите, като например внезапна загуба на зрение, замъглено зрение Тунел Виждане болка в очите или подуване или виждане на ореоли около светлините;
- Сериозни сърдечни симптоми като бързи нередовни или ударни сърдечни удари; трептене в гърдите ви; задух; и внезапна замаяност замаяност или раздаване;
- Тежка главоболие объркване затънала речева ръка или крак слабост проблем за ходене на загуба на координация, чувствайки се нестабилни много твърди мускули висока треска обилно изпотяване или тремор.
Този документ не съдържа всички възможни странични ефекти, а други могат да възникнат. Консултирайте се с вашия лекар за допълнителна информация за страничните ефекти.
Дозировка за Fortaz
Обичайната доза за възрастни на Fortaz е 1 грам, прилагана интравенозно или интрамускулно на всеки 8 до 12 часа.
Какви лекарства вещества или добавки взаимодействат с Fortaz?
Fortaz може да взаимодейства с Хлорамфеникол диуретици (водни хапчета) или антибиотици. Кажете на Вашия лекар всички лекарства, които приемате.
Fortaz по време на бременност и кърмене
Не се очаква Fortaz да бъде вреден за плода. Кажете на Вашия лекар, ако сте бременна или планирате да забременеете по време на лечението. Това лекарство може да премине в кърма и може да навреди на кърмещото бебе. Не използвайте това лекарство, ако кърмите бебе.
Допълнителна информация
Нашият Fortaz (Ceftazidime Injection) Странични лекарствени лекарства предоставя изчерпателен поглед върху наличната информация за лекарството върху потенциалните странични ефекти при приемането на това лекарство.
Информация за наркотиците на FDA
- Описание на лекарството
- Показания
- Доза
- Странични ефекти
- Предупреждения
- Предпазни мерки
- Предозиране
- Клинична фармакология
- Ръководство за лекарства
За интравенозна или интрамускулна употреба
За да се намали развитието на устойчиви на лекарства бактерии и да се поддържа ефективността на Fortaz и други антибактериални лекарства Fortaz, трябва да се използва само за лечение или предотвратяване на инфекции, които се доказват или силно се подозира, че са причинени от бактерии.
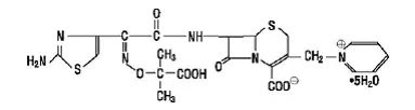
Описание за Fortaz
Ceftazidime е полусинтетичен широкоспектърна бета-лактамски антибактериално лекарство за парентерално приложение. Това е пентахидрат на пиридиний 1-[[7-[((2-амино-4-тиазолил) [(1-карбокси1-метилетокси) имино] ацетил] амино] -2-карбокси-8-оксо-5-тиа-1-азабицикло [4.2.0] Oct-2--ил] метил]-хидроксид вътрешно сол [6R- [6α7β (z)]]. Той има следната структура:
|
Молекулярната формула е c 22 H 32 N 6 O 12 S 2 представлява молекулно тегло от 636.6.
Fortaz е стерилна смес със сухи пушки от цефтазидим пентахидрат и натриев карбонат. Натриевият карбонат в концентрация от 118 mg/g цефтазидим активност е примесен, за да се улесни разтварянето. Общото съдържание на натрий в сместа е приблизително 54 mg (NULL,3 meq)/g цефтазидим активност.
Fortaz в стерилна кристална форма се доставя в еднодозови флакони, еквивалентни на 500 mg 1 g или 2 g безводен цефтазидим и в Twistvial ™ флакони с една доза, еквивалентни на 1 или 2 g безводен цефтазидим.
Разтворите на Fortaz обхват на цвят от светло жълт до кехлибар в зависимост от използвания разредител и обем. PH на прясно съставени разтвори обикновено варира от 5 до 8.
Fortaz се предлага като замразен изосмотичен стерилен непирогенен разтвор с 1 или 2 g цефтазидим като цефтазидим натриев, премиксиран с приблизително 2,2 или 1,6 g съответно от декстрозен хидратен USP. Добавена е декстроза за регулиране на осмолалността. Натриевият хидроксид се използва за регулиране на рН и неутрализиране на цефтазидим киселина на пентахидрат към натриевата сол. РН може да е регулиран с солна киселина. Решения на предварително смесен диапазон на Fortaz от светло жълт до кехлибар. Разтворът е предназначен за интравенозна употреба след размразяване на стайна температура.
Осмолалността на разтвора е приблизително 300 mosmol/kg, а pH на размразените разтвори варира от 5 до 7,5.
Пластмасовият контейнер за замразения разтвор е изработен от специално проектиран многослоен пластмасов PL 2040. Разтворите са в контакт с полиетиленовия слой на този контейнер и могат да извлекат определени химични компоненти на пластмасата в много малки количества в периода на изтичане. Пригодността на пластмасата е потвърдена при тестове при животни според биологичните тестове на USP за пластмасови контейнери, както и чрез проучвания на токсичността на тъканната култура.
Използване за Fortaz
Fortaz е показан за лечение на пациенти с инфекции, причинени от чувствителни щамове на определените организми при следните заболявания:
- Инфекции на долните дихателни пътища включително пневмония, причинена от Pseudomonas aeruginosa и други Pseudomonas spp.; Haemophilus influenzae включително устойчиви на ампицилин щамове; Klebsiella spp.; Enterobacter spp.; Протей прекрасно ; Те изложиха студ ; Сератия spp.; Citrobacter spp.; Streptococcus pneumoniae ; и Staphylococcus aureus (метицилин-чувствителни щамове).
- Инфекции на кожата и кожата на кожата причинен от Pseudomonas aeruginosa ; Klebsiella spp.; Те изложиха студ ; Протей spp. включително Протей прекрасно и индол-позитивен Протей ; Enterobacter spp.; Сератия spp.; Staphylococcus aureus (метицилин-чувствителни щамове); и Streptococcus pyogenes (група бета-хемолитични стрептококи).
- Инфекции на пикочните пътища както сложни, така и неусложнени, причинени от Pseudomonas aeruginosa ; Enterobacter spp.; Протей spp. включително Протей прекрасно и индол-позитивен Протей ; Klebsiella spp.; и Те изложиха студ.
- Бактериална септицемия причинен от Pseudomonas aeruginosa Klebsiella spp. Haemophilus influenzae Те изложиха студ Сератия spp. Streptococcus pneumoniae и Staphylococcus aureus (метицилин-чувствителни щамове).
- Костни и ставни инфекции причинен от Pseudomonas aeruginosa Klebsiella spp. Enterobacter spp. и Staphylococcus aureus (метицилин-чувствителни щамове).
- Гинекологични инфекции включително ендометрит на тазовия целулит и други инфекции на женския генитален тракт, причинен от Те изложиха студ .
- Вътреабдоминални инфекции включително перитонит, причинен от Те изложиха студ Klebsiella spp. и Staphylococcus aureus (метицилин-чувствителни щамове) и полимикробни инфекции, причинени от аеробни и анаеробни организми и Бактероиди spp. (many strains of Бактероиди fragilis са устойчиви).
- Инфекции на централната нервна система включително менингит, причинен от Haemophilus influenzae и Neisseria meningitidis . Ceftazidime също се използва успешно в ограничен брой случаи на менингит поради Pseudomonas aeruginosa и Streptococcus pneumoniae.
Fortaz може да се използва самостоятелно в случаи на потвърден или заподозрян сепсис. Ceftazidime се използва успешно в клинични изпитвания като емпирична терапия в случаите, когато са използвани различни съпътстващи терапии с други антибактериални лекарства.
Fortaz може също да се използва едновременно с други антибактериални лекарства като аминогликозиди ванкомицин и клиндамицин; при тежки и животозастрашаващи инфекции; и при имунокомпрометирания пациент. Когато такова съпътстващо лечение е подходящо предписване на информация при етикетирането на другите антибактериални лекарства трябва да се спазва.
хостел в бостън
Дозата зависи от тежестта на инфекцията и състоянието на пациента.
За да се намали развитието на устойчиви на лекарства бактерии и да се поддържа ефективността на Fortaz и други антибактериални лекарства Fortaz трябва да се използва само за лечение на инфекции, които се доказват или силно се подозира, че са причинени от чувствителни бактерии. Когато е налична информация за културата и чувствителността, те трябва да бъдат взети предвид при избора или промяна на антибактериалната терапия. При липса на такива данни локалните епидемиология и модели на чувствителност могат да допринесат за емпиричния селекция на терапията.
Дозировка за Fortaz
Доза
Обичайната доза за възрастни е 1 грам, прилагана интравенозно или интрамускулно на всеки 8 до 12 часа. Дозировката и пътят трябва да се определят от чувствителността на причинителните организми тежестта на инфекцията и състоянието и бъбречната функция на пациента.
Насоките за дозировка на Fortaz са изброени в таблица 3. Препоръчва се следният график на дозата.
Таблица 3. Препоръчителен график на дозата
| Доза | Честота | |
| Възрастен | ||
| Обичайна препоръчителна доза | 1 грам интравенозно или интрамускулно | на всеки 8 до 12 часа |
| Инфекция с неусложнени пикочни пътища | 250 mg интравенозно или интрамускулно | на всеки 12 часа |
| Костни и ставни инфекции | 2 грама интравенозно | на всеки 12 часа |
| Сложни инфекции на пикочните пътища | 500 mg интравенозно или интрамускулно | на всеки 8 до 12 часа |
| Неусложнена пневмония; Леки инфекции на кожата и кожата на кожата | 500 mg до 1 грам интравенозно или интрамускулно | на всеки 8 часа |
| Сериозни гинекологични и вътреабдоминални инфекции | 2 грама интравенозно | на всеки 8 часа |
| Менингит | 2 грама интравенозно | на всеки 8 часа |
| Много тежки животозастрашаващи инфекции, особено при имунокомпрометирани пациенти | 2 грама интравенозно | на всеки 8 часа |
| Белодробни инфекции, причинени от Pseudomonas spp. in patients with cystic fibrosis with normal renal function * | 30 до 50 mg/kg интравенозно до максимум 6 грама на ден | на всеки 8 часа |
| Новородени (0-4 седмици) | 30 mg/kg интравенозно | на всеки 12 часа |
| Бебета и деца (1 месец - 12 години) | 30 до 50 mg/kg интравенозно до максимум 6 грама на ден † | на всеки 8 часа |
| * Въпреки че е показано, че клиничното подобрение не може да се очаква при пациенти с хронични респираторни заболявания и муковисцидоза. † По -високата доза трябва да бъде запазена за имунокомпрометирани педиатрични пациенти или педиатрични пациенти с муковисцидоза или менингит. |
Нарушена чернодробна функция
Не се изисква корекция в дозата за пациенти с чернодробна дисфункция.
Нарушена бъбречна функция
Ceftazidime се отделя от бъбреците почти изключително чрез гломерулна филтрация. Следователно при пациенти с нарушена бъбречна функция (скорост на гломерулна филтрация [GFR] <50 mL/min) it is recommended that the dosage of ceftazidime be reduced to compensate for its slower excretion. In patients with suspected renal insufficiency an initial loading dose of 1 грам of Fortaz may be given. An estimate of GFR should be made to determine the appropriate maintenance dosage. The recommended dosage is presented in Table 4.
Таблица 4. Препоръчителни дози за поддръжка на Fortaz при бъбречна недостатъчност
| Забележка: Ако дозата, препоръчана в таблица 3 по -горе, е по -ниска от препоръчината за пациенти с бъбречна недостатъчност, както е посочено в таблица 4, трябва да се използва по -ниската доза. | ||
| Креатинин клирънс (ml/min) | Препоръчителна единица доза Fortaz | Честота of Dosing |
| 50-31 | 1 грам | на всеки 12 часа |
| 30-16 | 1 грам | на всеки 24 часа |
| 15-6 | 500 mg | на всеки 24 часа |
| по -малко от 5 | 500 mg | на всеки 48 часа |
Когато е наличен само серумен креатинин, следната формула (уравнение на Cockcroft) 1 може да се използва за оценка на клирънса на креатинина. Серумният креатинин трябва да представлява стабилно състояние на бъбречната функция:
| Мъжки: | (Тегло в кг) x (140 - възраст) (72) X серумен креатинин (mg/100 ml) |
| Женски: | (0.85) x (над стойността) |
При пациенти с тежки инфекции, които обикновено получават 6 грама Fortaz дневно, ако не е за бъбречна недостатъчност, дозата на единицата, дадена в таблицата по -горе, може да бъде увеличена с 50% или честотата на дозирането може да бъде увеличена по подходящ начин. По -нататъшното дозиране трябва да се определя чрез терапевтично наблюдение на тежестта на инфекцията и чувствителността на причинителния организъм.
При педиатрични пациенти, както за възрастните, клирънсът на креатинина трябва да се регулира за повърхността на тялото или постната телесна маса и честотата на дозирането трябва да бъде намалена в случаите на бъбречна недостатъчност.
При пациенти, подложени на хемодиализа, се препоръчва натоварваща доза от 1 грам, последвана от 1 грам след всеки период на хемодиализа.
Fortaz може да се използва и при пациенти, подложени на интраперитонеална диализа и непрекъсната амбулаторна перитонеална диализа. При такива пациенти може да се прилага доза на зареждане от 1 грам Fortaz, последвана от 500 mg на всеки 24 часа. В допълнение към IV използването на fortaz може да бъде включен в диализната течност при концентрация 250 mg за 2 L диализна течност.
Забележка
Като цяло Fortaz трябва да продължи 2 дни, след като признаците и симптомите на инфекция са изчезнали, но при сложни инфекции може да се наложи по -дълга терапия.
Администрация
Fortaz може да се прилага интравенозно или чрез дълбоко инжектиране на IM в голяма мускулна маса, като горния външен квадрант на глутеус максимус или странична част на бедрото. Трябва да се избягва вътреартериалната администрация (виж ПРЕДПАЗНИ МЕРКИ ).
Интрамускулно приложение
За прилагането на IM Fortaz трябва да бъде съставен с една от следните разредители: стерилна вода за инжекционна бактериостатична вода за инжектиране или 0,5% или 1% инжектиране на лидокаин хидрохлорид. Вижте таблица 5.
Интравенозно приложение
IV пътът е за предпочитане за пациенти с бактериален септиален бактериален менингит перитонит или други тежки или животозастрашаващи инфекции или за пациенти, които могат да бъдат лоши рискове поради понижена резистентност, произтичащи от такива инвалидизиращи състояния като изчакване на недохранване на травмата Диабет на сърдечна недостатъчност или злокачественост, особено ако шокът е наличен или висящ.
За директно прекъсваща IV администрация съставляват Fortaz, както е указано в таблица 5 със стерилна вода за инжектиране. Бавно инжектирайте директно във вената за период от 3 до 5 минути или дайте през тръбата на набор от администрация, докато пациентът също получава една от съвместимите IV течности (виж Съвместимост и стабилност ).
За IV инфузия Съставете 1-грамов или 2-грамов флакон с 500 mg и добавете подходящо количество от получения разтвор на IV контейнер с една от съвместимите IV течности, изброени в секцията за съвместимост и стабилност.
Периодична IV инфузия с набор от администрация от тип Y може да се постигне със съвместими решения. Въпреки това по време на инфузия на разтвор, съдържащ цефтазидим, е желателно да се прекрати другият разтвор.
Таблица 5. Подготовка на решения на Fortaz
| Размер | Количество разредител, който трябва да се добави (ml) | Приблизителен наличен обем (ML) | Приблизителна концентрация на цефтазидим (mg/ml) |
| Интрамускулен | |||
| 1.5 | 1.8 | 280 | |
| 3 | 3.6 | 280 | |
| Интравенозно | |||
| 5.3 | 5.7* | 100 | |
| 10 | 10.8 † | 100 | |
| 10 | 11.5 ‡ | 170 | |
| * За да получите доза от 500 mg, оттегляне на 5 ml от флакона след възстановяване. † За да се получи доза от 1 g оттегляне на 10 ml от флакона след възстановяване. ‡ За да получите доза от 2 g, оттегляне на 11,5 ml от флакона след възстановяване. |
Всички флакони на Fortaz като доставени са под намалено налягане. Когато Fortaz е разтворен въглероден диоксид се отделя и се развива положително налягане. За по -лесно използване, моля, следвайте препоръчителните техники на конституцията, описани в разглобяемите инструкции за раздел Конституция на тази вложка.
Разтворите на Fortaz като тези на повечето бета-лактамни антибактериални лекарства не трябва да се добавят към разтвори на антибактериални лекарства на аминогликозид поради потенциално взаимодействие.
Въпреки това, ако едновременната терапия с Fortaz и аминогликозид е посочено, че всяко от тези антибактериални лекарства може да се прилага отделно на един и същ пациент.
Съвместимост и стабилност
Интрамускулен
Fortaz, когато е съставен според указанията със стерилна вода за инжекционна бактериостатична вода за инжектиране или 0,5% или 1% лидокаин хидрохлорид, поддържа задоволителна потентност в продължение на 12 часа при стайна температура или в продължение на 3 дни под хладилник. Разтворите в стерилна вода за инжектиране, които са замразени веднага след конституцията в оригиналния контейнер, са стабилни в продължение на 3 месеца, когато се съхраняват при -20 ° C. След като размразените решения не трябва да се замразяват. Размразените разтвори могат да се съхраняват до 3 часа при стайна температура или за 3 дни в хладилник.
Интравенозно
Fortaz, когато е съставен според указанията със стерилна вода за инжектиране, поддържа задоволителна потентност в продължение на 12 часа при стайна температура или в продължение на 3 дни под хладилник.
Fortaz е съвместим с по -често използваните IV инфузионни течности. Разтвори при концентрации между 1 и 40 mg/ml при инжектиране на натриев хлорид от 0,9%; 1/6 М инжекция на натриев лактат; 5% инжекция с декстроза; 5% декстроза и инжектиране на натриев хлорид от 0,225%; 5% декстроза и инжектиране на натриев хлорид 0,45%; 5% декстроза и инжектиране на натриев хлорид 0,9%; 10% инжекция с декстроза; Инжектиране на Ringer USP; Лактиран инжекционен usp на Ringer; 10% инвертиране на захар във вода за инжектиране; и нормосол ® -M при 5% инжектиране на декстроза може да се съхранява до 12 часа при стайна температура или за 3 дни, ако се охлади.
Fortaz е по -малко стабилен при инжектиране на натриев бикарбонат, отколкото в други IV течности. Не се препоръчва като разредител. Разтворите на Fortaz при 5% инжекция на декстроза и 0,9% инжектиране на натриев хлорид са стабилни в продължение на най -малко 6 часа при стайна температура в капене на пластмасови тръби и устройства за контрол на обема на обикновени IV инфузионни комплекти.
Чефтазидим при концентрация 4 mg/ml е установено съвместимо в продължение на 12 часа при стайна температура или в продължение на 3 дни при хладилник при инжектиране на натриев хлорид от 0,9% или 5% инжекция на декстроза, когато е примесен с: Цефуроксим натрий (Zinacef ® ) 3 mg/ml хепарин 10 или 50 u/ml или калиев хлорид 10 или 40 meq/l.
Разтворът на ванкомицин проявява физическа несъвместимост, когато се смесва с редица лекарства, включително цефтазидим. Вероятността от утаяване с цефтазидим зависи от концентрациите на ванкомицин и цефтазидим. Следователно се препоръчва, когато и двете лекарства трябва да се прилагат чрез периодична IV инфузия, те да се прилагат отделно за промиване на IV линиите (с 1 от съвместимите IV течности) между прилагането на тези 2 агента.
Забележка
Парентералните лекарствени продукти трябва да се проверяват визуално за прахови частици преди прилагането, когато разтворът и контейнерът разрешават.
Както при други цефалоспорини Fortaz Powder, както и разтворите са склонни да потъмняват в зависимост от условията на съхранение; В рамките на посочените препоръки обаче потентността на продукта не се влияе неблагоприятно.
Колко се доставя
Fortaz ® В сухото състояние трябва да се съхранява между 15 ° C и 30 ° C (59 ° F и 86 ° F) и да се защити от светлина. Fortaz ® е сухо бяло до бяло прах, доставен във флакони, както следва:
- NDC 52565-105-10 500-mg* флакон с една доза (картонена опаковка 10)
- NDC 52565-106-10 1-g* флакон с една доза (картонена опаковка 10)
- NDC 52565-107-10 2-g* флакон с една доза (картонена опаковка 10)
*Еквивалентно на безводен цефтазидим.
какво се използва за медицински
ЛИТЕРАТУРА
1. Cockcroft DW Gault MH. Прогнозиране на креатининовия клирънс от серумния креатинин. Нефрон. 1976; 16: 31-41.
Произведено от: Astral Steritech Pvt. ООД Индия. Ревизиран: февруари 2020 г.
Странични ефекти за Fortaz
Цефтазидим обикновено се понася добре. Честотата на нежеланите реакции, свързани с прилагането на цефтазидим, е ниска при клинични изпитвания. Най -честите бяха локалните реакции след IV инжектиране и алергични и стомашно -чревни реакции. Други нежелани реакции се срещат рядко. Не се съобщават за реакции, подобни на дисулфирам.
Следните неблагоприятни ефекти от клинични изпитвания се считат за свързани или с терапия с цефтазидим, или са с несигурна етиология:
Местни ефекти Съобщава се, че при по -малко от 2% от пациентите са флебити и възпаление на мястото на инжектиране (1 на 69 пациенти).
Реакции на свръхчувствителност Съобщава се при 2% от пациентите да са сърбежи и треска. Незабавните реакции обикновено се проявяват от обрив и/или сърбеж, възникнали при 1 на 285 пациенти. Съобщава се и за токсична епидермална некролиза на Stevens-Johnson и мултиформа на еритема с антибактериални лекарства на цефалоспорин, включително цефтазидим. Ангиоедем и анафилаксия (бронхоспазъм и/или хипотония) се съобщават много рядко.
Стомашно -чревни симптоми Съобщава се при по -малко от 2% от пациентите са диария (1 на 78) гадене (1 на 156) повръщане (1 на 500) и коремна болка (1 на 416). Настъпването на симптомите на псевдомембранозен колит може да възникне по време или след лечение (виж Предупреждения ).
Реакции на централната нервна система (По -малко от 1%) включваха замаяност на главоболие и парестезия. Съобщава се за припадъци с няколко цефалоспорина, включително цефтазидим. В допълнение, енцефалопатия кома Астериксис нервно -мускулна възбудимост и миоклония са съобщени при пациенти с бъбречно увреждане, лекувани с нерегламентирани дозирани режими на цефтазидим (виж ПРЕДПАЗНИ МЕРКИ : Общи ).
По -рядко нежелани събития (по -малко от 1%) са кандидоза (включително орална млечница) и вагинит.
Хематологичен
Съобщава се за редки случаи на хемолитична анемия.
Промени в лабораторния тест noted during clinical trials with FORTAZ were transient and included: eosinophilia (1 in 13) positive Coombs test without hemolysis (1 in 23) thrombocytosis (1 in 45) and slight elevations in one or more of the hepatic enzymes aspartate aminotransferase (AST SGOT) (1 in 16) alanine aminotransferase (ALT SGPT) (1 in 15) LDH (1 на 18) GGT (1 в 19) и алкална фосфатаза (1 в 23). Както при някои други цефалоспорини, преходни повишения на азотния азот и/или серумен креатинин в кръвта и/или серумен креатинин. Преходна левкопения неутропения агранулоцитоза тромбоцитопения и лимфоцитоза се наблюдават много рядко.
Пощенски опит с продуктите на Fortaz
В допълнение към нежеланите събития, съобщени по време на клинични изпитвания, са наблюдавани следните събития по време на клиничната практика при пациенти, лекувани с Fortaz, и са докладвани спонтанно. За някои от тези събития данните са недостатъчни, за да позволят оценка на честотата или да се установи причинно -следствена връзка.
Общи
Анафилаксия; алергични реакции, които в редки случаи са били тежки (например кардиопулмонален арест); Уртикария; Болка на мястото на инжектиране.
Дозировка на Valtrex за повтарящи се настинки рани
Хепатобилиарният тракт
Явница за хипербилирубинемия.
Бъбречно и генитолорно
Бъбречно увреждане.
Нежелани реакции на цефалоспорин от клас
In addition to the adverse reactions listed above that have been observed in patients treated with ceftazidime the following adverse reactions and altered laboratory tests have been reported for cephalosporin-class antibacterial drugs:
Нежелани реакции
Колит токсична нефропатия Чернодробна дисфункция, включително холестаза апластична анемия кръвоизлив.
Променени лабораторни тестове
Продължително протромбиново време Фалшиво-положителен тест за уринарна глюкозна паситопения.
За докладване Заподозрени нежелани реакции Свържете се с Teligent Pharma Inc. на 1-856697-1441 или FDA на 1-800-FDA-1088 или www.fda.gov/medwatch.
Лекарствени взаимодействия за Fortaz
Съобщава се за нефротоксичност след съпътстващото приложение на цефалоспорини с аминогликозидни антибактериални лекарства или мощни диуретици като фуросемид. Бъбречната функция трябва да се наблюдава внимателно, особено ако трябва да се прилагат по -високи дози на аминогликозидите или ако терапията се удължи поради потенциалната нефротоксичност и ототоксичност на антибактериалните лекарства на аминогликозид. Нефротоксичността и ототоксичността не са отбелязани, когато цефтазидим е даден сам в клиничните изпитвания.
Доказано е, in vitro Проучвания и криви на убиване на времето с ентерични грам-отрицателни бацили. Поради възможността за антагонизъм напразно Особено когато се желае бактерицидна активност, тази комбинация от лекарства трябва да се избягва.
Предупреждения for Fortaz
Преди да се установи терапия с Fortaz, трябва да се направи внимателно проучване, за да се определи дали пациентът е имал предишни реакции на свръхчувствителност към пеницилини на цефалоспорини на цефалоспорини от цефалоспорини или други лекарства. Ако този продукт трябва да бъде даден на чувствителните към пеницилин пациенти, трябва да се упражнява предпазливост, тъй като кръстосана-хипърчувствителността сред бета-лактамните антибактериални лекарства е ясно документирана и може да се появи при до 10% от пациентите с анамнеза за алергия към пеницилин. Ако възникне алергична реакция на Fortaz, прекратите лекарството. Сериозните остри реакции на свръхчувствителност могат да изискват лечение с епинефрин и други мерки за спешни случаи, включително кислород IV флуиди IV антихистамини кортикостероиди притискани амини и управление на дихателните пътища, както е клинично посочено.
Clostridium difficile Съобщава се за свързана диария (CDAD) с използване на почти всички антибактериални средства, включително Fortaz и може да варира по тежест от лека диария до фатален колит. Лечението с антибактериални агенти променя нормалната флора на дебелото черво, водеща до свръхрастеж на В. трудно .
В. трудно произвежда токсини А и В, които допринасят за развитието на CDAD. Хипертоксин, произвеждащ щамове на В. трудно Причина за повишена заболеваемост и смъртност, тъй като тези инфекции могат да бъдат рефрактерни на антимикробната терапия и могат да изискват колектомия. CDAD трябва да се разглежда при всички пациенти, които се представят с диария след употреба на антибактериални лекарства. Внимателната медицинска история е необходима, тъй като се съобщава, че CDAD се среща в продължение на два месеца след прилагането на антибактериални средства.
Ако CDAD се подозира или потвърждава текущата употреба на антибактериални лекарства, която не е насочена срещу В. трудно може да се наложи да бъде прекратен. Подходящо лечение с протеини за управление на течности и електролити Антибактериално лечение на лекарства на В. трудно и surgical evaluation should be instituted as clinically indicated.
Повишените нива на цефтазидим при пациенти с бъбречна недостатъчност могат да доведат до припадъци неконвулсивен статус Епилептик (NCSE) енцефалопатия на астериксис невромускулна възбудимост и миоклония (виж ПРЕДПАЗНИ МЕРКИ ).
Предпазни мерки for Fortaz
Общи
Високи и продължителни серумни концентрации на цефтазидим могат да възникнат от обичайните дози при пациенти с преходно или устойчиво намаляване на уринарната продукция поради бъбречна недостатъчност. Общата дневна доза трябва да бъде намалена, когато цефтазидим се прилага на пациенти с бъбречна недостатъчност (виж Доза и приложение ). Elevated levels of ceftazidime in these patients can lead to seizures nonconvulsive status epilepticus encephalopathy coma asterixis neuromuscular excitability и myoclonia. Continued dosage should be determined by degree of renal impairment severity of infection и susceptibility of the causative organisms.
Както при други антибактериални лекарства, продължителната употреба на Fortaz може да доведе до свръх растеж на нечувствителни организми. Многократната оценка на състоянието на пациента е от съществено значение. Ако по време на терапията настъпи суперинфекция, трябва да се предприемат подходящи мерки.
Бета-лактамазна резистентност на индуцируеми I е отбелязана с някои организми (напр. Enterobacter spp. Pseudomonas spp. и Сератия spp.). As with other extended-spectrum betalactam antibacterial drugs resistance can develop during therapy leading to clinical failure in some cases. When treating infections причинен от these organisms periodic susceptibility testing should be performed when clinically appropriate. If patients fail to respond to monotherapy an aminoglycoside or similar agent should be considered.
Цефалоспорините могат да бъдат свързани с падане в протромбиновата активност. Тези, които са в риск, включват пациенти с бъбречно и чернодробно увреждане или лошо хранително състояние, както и пациенти, получаващи продължителен курс на антимикробна терапия.
Протромбиновото време трябва да се наблюдава при пациенти с риск и екзогенна витамин К, прилаган както е посочено.
Fortaz should be prescribed with caution in individuals with a history of gastrointestinal disease particularly colitis.
Дисталната некроза може да се появи след неволно вътреартериално приложение на цефтазидим.
Предписването на Fortaz при липса на доказана или силно подозирана бактериална инфекция или профилактична индикация е малко вероятно да осигури полза на пациента и увеличава риска от развитието на устойчиви на лекарства бактерии.
Взаимодействия между лекарства/лабораторни тестове
Прилагането на цефтазидим може да доведе до фалшиво-положителна реакция за глюкоза в урината при използване на клинист ® Решение на таблетки Бенедикт или решение на Фелинг.
Препоръчва се тестовете за глюкоза на базата на ензимни реакции на глюкоза оксидаза (като Clinistix ® ) да се използва.
Канцерогенеза мутагенеза Нарушаване на плодовитостта
Дългосрочните проучвания при животни не са проведени за оценка на канцерогенния потенциал. Въпреки това тест за микронуклеус на мишката и тест на AMES са отрицателни за мутагенни ефекти.
Бременност
Тератогенни ефекти
Бременност Category B
Изследванията за репродукция са проведени при мишки и плъхове при дози до 40 пъти повече от човешката доза и не са разкрили доказателства за нарушена плодовитост или вреда на плода поради Fortaz. Въпреки това няма адекватни и добре контролирани проучвания при бременни жени. Тъй като проучванията за възпроизвеждане на животни не винаги предсказват човешки отговор, това лекарство трябва да се използва по време на бременност, само ако е ясно необходимо.
Кърмещи майки
Ceftazidime се отделя в човешко мляко в ниски концентрации. Трябва да се внимава, когато Fortaz се администрира на медицинска сестра.
Педиатрична употреба
виж Доза и приложение .
Гериатрична употреба
От 2221 лица, които са получили цефтазидим в 11 клинични проучвания 824 (37%) са 65 и по -големи, докато 391 (18%) са на 75 и по -големи. Не са наблюдавани общи разлики в безопасността или ефективността между тези субекти и по -млади лица и други съобщавани клиничен опит не са установили разлики в отговорите между възрастни и по -млади пациенти, но по -голяма чувствителност на някои по -възрастни индивиди не може да бъде изключена. Известно е, че това лекарство е значително отделено от бъбрека и рискът от токсични реакции към това лекарство може да бъде по -голям при пациенти с нарушена бъбречна функция. Тъй Доза и приложение ).
Информация за предозиране за Fortaz
Предоставянето на цефтазидим е възникнало при пациенти с бъбречна недостатъчност. Реакциите включват енцефалопатия на пристъпите на припадъка Астериксис нервно -мускулна възбудимост и кома. Пациентите, които получават остър предозиране, трябва да бъдат внимателно наблюдавани и да се предоставят поддържащо лечение. При наличие на бъбречна недостатъчност хемодиализа или перитонеална диализа може да помогне за отстраняването на цефтазидим от тялото.
Противопоказания за Fortaz
Fortaz is contraindicated in patients who have shown hypersensitivity to ceftazidime or the cephalosporin group of antibacterial drugs.
Клинична фармакология for Fortaz
След прилагането на IV от 500 mg и 1-g дози цефтазидим за 5 минути до нормални възрастни доброволци от мъжки пол означават пикови серумни концентрации съответно 45 и 90 mcg/ml. След IV инфузия на 500 mg 1-G и 2-G дози цефтазидим над 20 до 30 минути до нормални възрастни доброволци от мъжки пол означава върхови серумни концентрации съответно 42 69 и 170 mcg/ml. Средните серумни концентрации след IV инфузия на 500 mg 1-G и 2-G дози към тези доброволци през 8-часов интервал са дадени в таблица 1.
Таблица 1. Средни серумни концентрации на цефтазидим
| Доза ceftazidime IV | Серумни концентрации (MCG/mL) | ||||
| 0,5 часа | 1 час | 2 часа | 4 часа | 8 часа | |
| 500 mg | 42 | 25 | 12 | 6 | 2 |
| 1 g | 60 | 39 | 23 | 11 | 3 |
| 2 g | 129 | 75 | 42 | 13 | 5 |
Абсорбцията и елиминирането на цефтазидим са пряко пропорционални на размера на дозата. Полуживотът след администрацията на IV беше приблизително 1,9 часа. По -малко от 10% от цефтазидим е обвързан с протеини. Степента на свързване на протеини не зависи от концентрацията. Няма данни за натрупване на цефтазидим в серума при индивиди с нормална бъбречна функция след множество IV дози от 1 и 2 g на всеки 8 часа в продължение на 10 дни.
След интрамускулно (IM) приложение на 500 mg и 1-G дози цефтазидим към нормални възрастни доброволци средните пикови серумни концентрации са съответно 17 и 39 mcg/ml при приблизително 1 час. Серумните концентрации остават над 4 mcg/ml в продължение на 6 и 8 часа след прилагането на IM съответно 500 mg и 1-g дози. Полуживотът на цефтазидим при тези доброволци беше приблизително 2 часа.
Витамин D2 50 000 единици се ползва
Наличието на чернодробна дисфункция не оказва влияние върху фармакокинетиката на цефтазидим при индивиди, прилагани 2 g интравенозно на всеки 8 часа в продължение на 5 дни. Следователно не се изисква регулиране на дозата от нормалната препоръчителна доза за пациенти с чернодробна дисфункция, при условие че бъбречната функция не е нарушена.
Приблизително 80% до 90% от дозата на IM или IV на цефтазидим се отделя непроменена от бъбреците за 24-часов период. След IV приложението на единични 500 mg или 1-g дози приблизително 50% от дозата се появява в урината през първите 2 часа. Допълнителни 20% бяха екскретирани между 2 и 4 часа след дозиране и приблизително още 12% от дозата се появиха в урината между 4 и 8 часа по -късно. Елиминирането на цефтазидим от бъбреците доведе до високи терапевтични концентрации в урината.
Средният бъбречен клирънс на цефтазидим е приблизително 100 ml/min. Изчисленият плазмен клирънс от приблизително 115 ml/min показва почти пълно елиминиране на цефтазидим по бъбречния път. Прилагането на probenecid преди дозирането не оказва влияние върху елиминиращата кинетика на цефтазидим. Това предполага, че цефтазидимът се елиминира от гломерулна филтрация и не се секретира активно от бъбречните тръбни механизми.
Тъй като цефтазидимът се елиминира почти единствено от бъбреците, серумният му полуживот е значително удължен при пациенти с нарушена бъбречна функция. Следователно корекция на дозата при такива пациенти, описани в Доза и приложение се предлага раздел.
Терапевтичните концентрации на цефтазидим се постигат в следните телесни тъкани и течности.
Таблица 2. Концентрации на цефтазидим в телесните тъкани и течности
| Тъкан или течност | Доза/Route | Брой пациенти | Време на проба след доза | Средно ниво на тъкан или течност (MCG/ml или MCG/g) |
| Урина | 500 mg IM | 6 | 0-2 часа | 2100.0 |
| 2 g IV | 6 | 0-2 часа | 12000.0 | |
| Дори | 2 g IV | 3 | 90 мин | 36.4 |
| Синовиална течност | 2 g IV | 13 | 2 часа | 25.6 |
| Перитонеална течност | 2 g IV | 8 | 2 часа | 48.6 |
| Храчки | 1 g IV | 8 | 1 час | 9.0 |
| Цереброспинална течност | 2 g q8hr IV | 5 | 120 мин | 9.8 |
| (възпалени менинги) | 2 g q8hr IV | 6 | 180 мин | 9.4 |
| Воден хумор | 2 g IV | 13 | 1-3 hr | 11.0 |
| Блистерна течност | 1 g IV | 7 | 2-3 hr | 19.7 |
| Лимфна течност | 1 g IV | 7 | 2-3 hr | 23.4 |
| Кост | 2 g IV | 8 | 0,67 ч | 31.1 |
| Сърдечен мускул | 2 g IV | 35 | 30-280 мин | 12.7 |
| Кожа | 2 g IV | 22 | 30-180 мин | 6.6 |
| Скелетен мускул | 2 g IV | 35 | 30-280 мин | 9.4 |
| Миометриум | 2 g IV | 31 | 1-2 часа | 18.7 |
Микробиология
Механизъм на действие
Ceftazidime е бактерицидно средство, което действа чрез инхибиране на синтеза на бактериална клетъчна стена. Ceftazidime има активност в присъствието на някои бета-лактамази както пеницилинази, така и цефалоспоринази на грам-отрицателни и грам-положителни бактерии.
Механизъм на съпротивление
Резистентността към цефтазидим е предимно чрез хидролиза чрез бета-лактамазна промяна на пеницилин-свързващи протеини (PBPs) и намалена пропускливост.
Взаимодействие с други антимикробни средства
В in vitro Наблюдавани са антагонистични ефекти на изследването при комбинацията от хлорамфеникол и цефтазидим.
Показано е, че цефтазидимът е активен срещу повечето изолати от следните бактерии и двете in vitro и in clinical infections as described in the Показания и употреба Раздел:
Грам-отрицателни бактерии
- Citrobacter видове
- Enterobacter видове
- Те изложиха студ
- Klebsiella видове
- Haemophilus influenzae
- Neisseria meningitidis
- Протей прекрасно
- Протей vulgaris
- Pseudomonas aeruginosa
- Сератия видове
Грам-положителни бактерии
- Staphylococcus aureus
- Streptococcus pneumoniae
- Streptococcus pyogenes
- Streptococcus agalactiae
Анаеробни бактерии
- Бактероиди видове (Забележка: many isolates of Бактероиди видове are resistant)
Следното in vitro Данните са налични, но тяхното клинично значение е неизвестно. Поне 90 процента от следните микроорганизми показват in vitro Минимална инхибиторна концентрация (MIC) по -малка или равна на чувствителната точка на прекъсване на цефтазидим. Въпреки това ефикасността на цефтазидим при лечение на клинични инфекции поради тези микроорганизми не е установена в адекватни и добре контролирани клинични изпитвания.
Грам-отрицателни бактерии
- Acinetobacter видове
- Citrobacter diversus
- Citrobacter freundii
- Провидение видове (including Провидение rettgeri )
- Салмонела видове
- Шигела видове
- Haemophilus parainfluenzae
- Morganella morganies
- Neisseria gonorrhoeae
- Yersinia enterocolitica
Грам-положителни бактерии
- Staphylococcus epidermidis
Анаеробни бактерии
- Clostridium видове (Not including Clostridium difficile )
- Peptostreptococcus видове
Тестване на чувствителност
За специфична информация относно критериите за интерпретация на тестовете за чувствителност и свързаните с тях методи за изпитване и стандарти за контрол на качеството, признати от FDA за това лекарство, моля вижте: https://www.fda.gov/stic.
Информация за пациента за Fortaz
Fortaz ®
(ceftazidime за инжектиране)
Пациентите трябва да бъдат консултирани, че антибактериалните лекарства, включително Fortaz, трябва да се използват само за лечение на бактериални инфекции. Те не лекуват вирусни инфекции (например обикновената настинка). Когато е предписан Fortaz за лечение на пациенти с бактериална инфекция, трябва да се каже, че въпреки че е обичайно да се чувствате по -добре в началото на терапията, лекарствата трябва да се приемат точно според указанията. Пропускането на дози или не завършването на пълния курс на терапия може: (1) да намали ефективността на незабавното лечение и (2) да увеличи вероятността бактериите да развият резистентност и няма да бъдат лечими от Fortaz или други антибактериални лекарства в бъдеще.
Диарията е често срещан проблем, причинен от антибактериални лекарства, които обикновено завършват, когато антибактериалното лекарство е прекратено. Понякога след започване на лечение с антибактериални лекарства пациентите могат да развият воднисти и кървави изпражнения (със или без стомашни спазми и треска) дори още 2 или повече месеца след като са приели последната доза на антибактериалното лекарство. Ако това се случи, пациентите трябва да се свържат с лекаря си възможно най -скоро.
Инструкции за конституция
Флакони: 500 mg IM/IV 1 G IM/IV 2 G IV
- Поставете иглата за спринцовка през затварянето на флакона и инжектирайте препоръчителния обем на разредител. Вакуумът може да помогне за влизането на разредителя. Извадете иглата за спринцовка.
- Разклатете, за да се разтворите; Ще бъде получено ясен разтвор за 1 до 2 минути.
- Обърнете флакона. Гарантирайки, че буталото на спринцовката е напълно потиснато, поставете иглата през затварянето на флакона и изтеглете общия обем на разтвора в спринцовката (налягането във флакона може да помогне за оттегляне). Уверете се, че иглата остава в разтвора и не влиза в пространството на главата. Изтегленият разтвор може да съдържа някои мехурчета от въглероден диоксид.
Забележка: Както при прилагането на всички парентерални продукти, натрупани газове, трябва да се изразяват от спринцовката непосредствено преди инжектирането на Fortaz.