Информацията В Сайта Не Е Медицински Съвет. Ние Не Продаваме Нищо. Точността На Превода Не Е Гарантирана. Отказ От Отговорност

Kybella

Резюме на наркотиците

Какво е Kybella?

Kybella (Деоксихолова киселина) Инжекцията съдържа цитолитично средство, използвано за подобряване на появата на умерена до тежка изпъкналост или пълнота, свързана с субментални (под брадичката) мазнини при възрастни.

Какви са страничните ефекти на Kybella?

Kybella may cause serious side effects including:

  • кошери
  • затруднено дишане
  • Подуване на лицето ви устни Език или гърло
  • главоболие
  • мускулна слабост в лицето
  • Болка в устата или гърлото
  • удряне в ушите
  • Бавен или бърз сърдечен ритъм
  • Проблем с преглъщането
  • Неравномерна усмивка
  • обезцветяване на кожата (синьо зелено до черно)
  • напукване на кожата
  • припадък
  • Болка на шията
  • зачервяване на болката или плът на кожата на мястото на инжектиране и
  • подути болезнени или нежни лимфни жлези във врата

Получете медицинска помощ веднага, ако имате изброени по -горе симптоми.



Общите странични ефекти на Kybella включват:

  • Реакции на инжекционното място
    • подуване
    • синини
    • болка
    • изтръпване
    • зачервяване
    • сърбеж
    • топлина
    • твърдост
    • усещане за изтръпване или изгаряне
    • плътност на кожата
    • Увреждане на нервите
  • главоболие
  • Болки в устата или гърлото
  • Високо кръвно налягане (хипертония)
  • гадене или
  • затруднено преглъщане.

Потърсете медицинска помощ или се обадете на 911 наведнъж, ако имате следните сериозни странични ефекти:

  • Сериозни симптоми на очите, като например внезапна загуба на зрение, замъглено зрение Тунел Виждане болка в очите или подуване или виждане на ореоли около светлините;
  • Сериозни сърдечни симптоми като бързи нередовни или ударни сърдечни удари; трептене в гърдите ви; задух; и внезапна замаяност замаяност или раздаване;
  • Тежка главоболие объркване затънала речева ръка или крак слабост проблем за ходене на загуба на координация, чувствайки се нестабилни много твърди мускули висока треска обилно изпотяване или тремор.

Този документ не съдържа всички възможни странични ефекти, а други могат да възникнат. Консултирайте се с вашия лекар за допълнителна информация за страничните ефекти.

Дозировка за Kybella

Единично третиране на Kybella се състои от максимум 50 инжекции 0,2 ml доза всяка (до общо 10 ml), разположени на разстояние 1 см. До 6 единични лечения могат да се прилагат на интервали не по -малко от 1 месец.

Какви лекарства вещества или добавки взаимодействат с Kybella?

Kybella may interact with other drugs. Tell your doctor all medications и supplements you use.

Kybella During Бременност и Breastfeeding

По време на бременността Kybella трябва да се прилага само ако е предписана. Не е известно дали Кибела преминава в кърма. Консултирайте се с Вашия лекар преди кърмене.

Допълнителна информация

Нашият център за инжектиране на инжектиране на Kybella (дезоксихолова киселина) предоставя изчерпателен поглед върху наличната информация за лекарството върху потенциалните странични ефекти при приемането на това лекарство.

Информация за наркотиците на FDA

Описание за Kybella

Kybella ® (Деоксихолна киселина) Инжектирането 10 mg/ml е ясен безцветният стерилен разтвор за подкожна употреба. Той съдържа цитолитично средство дезоксихолова киселина като активна съставка. Химическото наименование на дезоксихолната киселина е 3α12α-дихидрокси-5β-холан-24-вечна киселина и молекулната му формула е c 24 H 40 O 4 и молекулното му тегло е 392,57 g/mol. Химическата структура на дезоксихолната киселина е:

Всеки 2 мл флакон с Kybella ® Инжекцията съдържа 20 mg синтетична дезоксихолова киселина като активна съставка и следните неактивни съставки: бензилов алкохол (18 mg) дибазичен натриев фосфат (NULL,84 mg) натриев хлорид (NULL,76 mg) натриев хидроксид (NULL,86 mg) във вода за инжекция USP. При необходимост се добавят хидрохлорна киселина и допълнителен натриев хидроксид, за да се регулира формулировката към рН 8.3. Всеки флакон е за употреба на един пациент.

Използване за Kybella

Kybella ® (Деоксихолова киселина) Инжектирането е показано за подобряване на появата на умерена до тежка изпъкналост или пълнота, свързана с субментални мазнини при възрастни.

Ограничения на употребата

Безопасното и ефективно използване на Kybella за лечение на подкожни мазнини извън субменталната област не е установена и не се препоръчва.

Дозировка за Kybella

Доза

Kybella injection is injected into subcutaneous fat tissue in the submental area using an areaadjusted dose of 2 mg/cm 2 .

  • Единично лечение се състои от максимум 50 инжекции 0,2 ml всяка (до общо 10 ml), разположена на разстояние 1 cm.
  • До 6 единични лечения могат да се прилагат на интервали не по -малко от 1 месец.

Виж Общи съображения за администрация и Техника на инжектиране преди инжектиране.

Общи съображения за администрация

Kybella should be administered by a healthcare professional.

Пациенти с екран за други потенциални причини за субментална изпъкналост/пълнота (например тиромегалия и цервикална лимфаденопатия).

Обърнете внимание внимателно за използването на Kybella при пациенти с прекомерна кожа, видни платистални ленти или други състояния, при които намаляването на субменталните мазнини може да доведе до естетически нежелателен резултат.

Внимавайте при пациенти, които са имали предишно хирургично или естетическо лечение на субменталната област. Промените в анатомията/забележителностите или наличието на белег тъкан могат да повлияят на способността за безопасно прилагане на Kybella или за получаване на желания естетичен резултат.

Kybella is clear colorless и free of particulate matter. Visually inspect Kybella vials for particulate matter и/or discoloration и discard the vial if the solution is discolored и/or contains particulate matter.

След употреба изхвърлете всички останали разтвори във флакона

Техника на инжектиране

Безопасното и ефективно използване на Kybella зависи от използването на правилния брой и места за инжекции правилното поставяне на иглата и техниките на приложение.

Здравните специалисти, администриращи Kybella, трябва да разберат съответната субментална анатомия и свързаните с тях нервно -мускулни структури в района, които участват, и всякакви промени в анатомията поради предишни хирургични или естетически процедури [виж Предупреждения и предпазни мерки ].

Избягвайте инжекции в близост до зоната на пределния мандибуларен нерв

Поставянето на иглата по отношение на мандибулата е много важно, тъй като намалява потенциала за нараняване на пределния мандибуларен нерв Моторен клон на лицевия нерв. Нараняването на нерва се представя като асиметрична усмивка поради пареза на мускулите на депресора на устни [виж Предупреждения и предпазни мерки ].

За да се избегне нараняване на пределния мандибуларен нерв:

  • Не инжектирайте над долната граница на мандибулата.
  • Не инжектирайте в регион, дефиниран от 1-1,5 см линия под долната граница (от ъгъла на мандибулата до ментума).
  • Инжектирайте Kybella само в целевата зона за лечение на мазнини (виж фигури 1 и 3).

Фигура 1. Избягвайте пределния мандибуларен нервен район

Избягвайте инжектирането в платосмата

Преди всяка сесия за лечение палпирайте субменталната област За да се осигури достатъчно субментална мазнина и to identify subcutaneous fat between the dermis и platysma (pre-platysmal fat) within the target treatment area (Фигура 2). The number of injections и the number of treatments should be tailored to the individual patient’s submental fat distribution и treatment goals.

Фигура 2. Сагитален изглед на платосмайската зона

Инжектиране в зоната на лечение

Използването на ледени/студени опаковки локална и/или инжекционна локална анестезия (например лидокаин) може да подобри комфорта на пациента.

Очертайте планираната зона за лечение с хирургична химикалка и приложете 1 cm инжекционна мрежа, за да маркирате местата за инжектиране (фигури 2 и 3).

Фигура 3. Област на лечение и модел на инжектиране

Не инжектирайте Kybella извън дефинираните параметри [виж Предупреждения и предпазни мерки ].

  • С помощта на голяма игла на отвора начертайте 1 ml Kybella в стерилна спринцовка от 1 ml и изхвърлете всякакви въздушни мехурчета в цевта на спринцовката.
  • Накарайте пациента да напрегне платизмата. Притиснете субменталната мазнина и с помощ Фигура 2 ) до всяко от маркираните места за инжектиране чрез напредване на иглата, перпендикулярна на кожата.
  • Инжекциите, които са твърде повърхностни (в дермата), могат да доведат до кожата на кожата и некроза. Не изтегляйте иглата от подкожната мазнина по време на инжектиране, тъй като това може да увеличи риска от интрадермална експозиция и потенциална язва на кожата и некроза.
  • Избягвайте инжектирането в постплатизмалната мазнина, като инжектирате Kybella в мастна тъкан на дълбочината приблизително по средата в подкожния мастен слой ( Фигура 2 ).
  • Ако по всяко време съпротивлението е изпълнено, тъй като иглата е поставена, което показва възможността за контакт с фасциална или немаслена тъкан, иглата трябва да бъде изтеглена до подходяща дълбочина, преди да се приложи инжектирането.
  • Избягвайте инжектирането в други тъкани като мускулните слюнчени жлези лимфни възли; и артерия или вена.
  • При налягане на изтегляне на игла може да се прилага към всяко място за инжектиране, ако е необходимо, за да се сведе до минимум кървенето; може да се приложи лепилна превръзка.

Колко се доставя

Доза Forms And Strengths

Инжектиране

10 mg/ml.

Kybella (Деоксихолна киселина) инжекция is a clear colorless sterile solution supplied in 2 mL vials intended for single patient use. Each milliliter of the solution contains 10 mg of Деоксихолова киселина.

Съхранение и обработка

Kybella (Деоксихолна киселина) инжектиране 10 mg/ml е ясен безцветен стерилен разтвор, доставен в 2 ml флакони за използване на единичен пациент в следния пакет за разпределяне:

4 флакона NDC 61168-101-04

Странични ефекти от контрола на раждаемостта на IUD

Съхранявайте при 20 ° C до 25 ° C (68 ° F до 77 ° F); Екскурзиите са разрешени между 15 ° C до 30 ° C (59 ° F до 86 ° F) [вижте USP контролирана стайна температура].

Kybella has a unique hologram on the vial label. If you do not see a hologram do not use the product и call 1-800-678-1605.

Всеки флакон е за употреба на един пациент. Не разреждайте и не смесвайте Kybella с други съединения.

Изхвърлете неизползваната част.

Разпределено от: Allergan USA Inc. Madison NJ 07940. Ревизирана: октомври 2022 г.

Странични ефекти за Kybella

Опит с клинични изпитвания

Тъй като клиничните изпитвания се провеждат при широко различни условия, нежеланите реакции, наблюдавани при клиничните изпитвания на лекарство, не могат да бъдат пряко сравнени със скоростите в клиничните изпитвания на друго лекарство и може да не отразяват процентите, наблюдавани на практика.

В две двойно слепи плацебо-контролирани клинични изпитвания 513 лица са лекувани с инжекция с кибела, а 506 лица са лекувани с плацебо. Населението е на 19-65 години 85% от 87% кавказки 8% афроамериканец. В началото населението е имало средно ИТМ от 29 кг/м 2 Умерена до тежка субментална изпъкналост (степенувана като 2 или 3 по скала от 0 до 4) и без прекомерна разпуснатост на кожата. Субектите са получили до 6 лечения най -малко на разстояние от 1 месец и са били последвани до 6 месеца след последното получено лечение.

Най -често отчетените нежелани реакции са изброени по -долу (Таблица 1).

Таблица 1. Нежелани реакции в обединените изпитвания 1 и 2 a

Нежелани реакции Kybella
(N = 513)
n (%)
Плацебо
(N = 506)
n (%)
Инжектиране site reactions 492 (96%) 411 (81%)
448 (87%) 218 (43%)
368 (72%) 353 (70%)
356 (70%) 160 (32%)
341 (66%) 29 (6%)
136 (27%) 91 (18%)
120 (23%) 13 (3%)
70 (14%) 20 (4%)
68 (13%) 14 (3%)
64 (12%) 30 (6%)
24 (5%) 6 (1%)
22 (4%) 8 (2%)
b 20 (4 %) 1 ( <1%)
Главоболие 41 (8%) 20 (4%)
Орофарингеална болка 15 (3%) 7 (1%)
Хипертония 13 (3%) 7 (1%)
Гадене 12 (2%) 3 (1%)
Дисфагия 10 (2%) 1 ( <1%)
a Нежелани реакции that occurred in ≥ 2% Kybella treated subjects и at greater incidence than placebo
b Пареза на пределния мандибуларен нерв

Други нежелани реакции, свързани с употребата на Kybella, включват: Инжектиране на сайта за инжектиране на кръвоизлив за инжектиране на инжектиране преди Синкоп/Синкоп Лимфаденопатия Инжектиране Уртикария и болка в шията.

Нежелани реакции that lasted more than 30 days и occurred in more than 10% of subjects were injection site изтръпване (42%) injection site edema/подуване (20%) injection site болка (16%) и injection site induration (13%).

Опит за постмаркетиране

Следните нежелани реакции са идентифицирани по време на използването на Kybella след одобрение. Тъй като тези реакции се отчитат доброволно от популация с несигурен размер, не винаги е възможно надеждно да се оцени тяхната честота или да се установи причинно -следствена връзка с експозицията на Kybella.

Условия на административно място: инжекционно място за инфекция с некроза алопеция и белези.

Нарушения на имунната система: Реакции на свръхчувствителност, включително обрив уртикария и сърбеж.

Нарушения на нервната система: Устна хипоаестезия и перорална параестезия.

Процедурни усложнения: Съдово увреждане поради неволно интраваскуларна инжекция.

Лекарствени взаимодействия за Kybella

Не е предоставена информация

Предупреждения за Кибела

Включени като част от 'ПРЕДПАЗНИ МЕРКИ' Раздел

Предпазни мерки за Kybella

Пределно нараняване на мандибуларния нерв

По време на клиничните изпитвания са докладвани случаи на пределно увреждане на мандибуларния нерв, проявени като асиметрична усмивка или слабост на лицето на лицето (Пареза). За да се избегне потенциала за инжектиране на нервни наранявания, Kybella не трябва да се инжектира в или в непосредствена близост до пределния мандибуларен клон на лицевия нерв. Всички пределни наранявания на мандибуларния нерв, отчетени от изпитванията, разрешени спонтанно (диапазон 1-298 дни средна 44 дни).

Дисфагия

Трудност при преглъщане (дисфагия) се наблюдава в клинични изпитвания при установяване на реакции на административно място, напр. Оток на болка и индукция на субменталната област. Случаи на дисфагия спонтанно разрешени (диапазон 1-81 дни средно 3 дни).

Субектите с настояща или предишна история на дисфагия са изключени от клинични изпитвания. Избягвайте използването на Kybella при тези пациенти, тъй като настоящата или предишната анамнеза за дисфагия може да изостри състоянието.

Инжектиране Site Hematoma/Bruising

В клинични изпитвания 72% от пациентите, лекувани с Kybella, опитен инжекционен сайт хематом/синини [виж Нежелани реакции ].

Kybella should be used with caution in patients with bleeding abnormalities or who are currently being treated with antiplatelet or anticoagulant therapy as excessive bleeding or синини in the treatment area may occur.

Риск от инжектиране в близост до уязвими анатомични структури

За да се избегне потенциално увреждане на тъканите, Kybella не трябва да се инжектира в или в непосредствена близост (1-1,5 cm) към лимфните възли и мускули на слюнчените жлези.

Трябва да се внимава да се избегне неволно инжектиране директно в артерия или вена, тъй като това може да доведе до съдово увреждане.

Инжектиране Site Alopecia

Съобщава се за случаи на инжекционно място за алопеция при прилагането на Kybella. Настъпването и продължителността на тази нежелана реакция може да варира сред индивидите и може да продължи.

Помислете за отказ от последващи лечения до разрешаване на нежеланата реакция.

Инжектиране Site Ulceration Necrosis And Infection

Инжектиранеs that are too superficial (into the dermis) may result in skin ulceration и necrosis [see Техника на инжектиране ]. Cases of injection site ulceration necrosis и инфекция have been reported with the administration of Kybella. Some cases of injection site инфекция have included cellulitis и abscess requiring intravenous antibiotic treatment и incision и drainage. Do not administer Kybella into the affected area until complete resolution of the adverse reaction.

Информация за консултирането на пациентите

Посъветвайте се с пациента да прочете одобреното от FDA етикетиране на пациента (информация за пациента).

Посъветвайте се с пациентите да се свържат с техните доставчици на здравни услуги, ако пациентите започнат да развиват признаци на пределна мандибуларна нерва пареза (например асиметрична усмивка на лицевата слабост) трудности при преглъщане или влошаване на съществуващите симптоми.

Посъветвайте се с пациентите да се свържат с техните доставчици на здравни услуги за развитие на болка в еритема отворена възпаление (и) или отводняване от зоната на лечение.

Неклинична токсикология

Канцерогенеза мутагенеза Нарушаване на плодовитостта

Дългосрочните проучвания при животни не са проведени за оценка на канцерогенния потенциал на инжектирането на Kybella.

Kybella was negative in a battery of in vitro (Тест на AMES и анализ на хромозомна аберация в човешки лимфоцити) и напразно (анализ на микронуклеуса на еритроцитите на плъхове) Генетични анализи на токсикологията.

Не са наблюдавани ефекти върху плодовитостта при мъжки и женски плъхове, прилагани дезоксихолова киселина при подкожни дози до 50 mg/kg (5 пъти по -голямо от MRHD на базата на mg/m 2 Сравнение) веднъж седмично преди и през периода на чифтосване и през 7 -ия ден на бременността при женски плъхове.

Използване в конкретни популации

Бременност

Обобщение на риска

Няма адекватни и добре контролирани проучвания за инжектиране на Kybella при бременни жени, които да информират свързания с наркотици риск. При изследвания за възпроизвеждане на животни не се наблюдава вреда на плода при подкожното приложение на дезоксихолова киселина на плъхове по време на органогенеза при дози до 5 пъти повече от максималната препоръчителна човешка доза (MRHD) от 100 mg [виж Данни ].

Основният риск от големи вродени дефекти и спонтанен аборт за посоченото население е неизвестен. Въпреки това, основният риск от големи вродени дефекти при общото население на САЩ е 2-4%, а спонтанен аборт е 15-20% от клинично признатите бременности.

Данни

Данни за животните

Изследванията за развитие на ембриофетални са проведени при плъхове и зайци, използвайки подкожни дози дезоксихолова киселина, прилагани по време на периода на органогенеза. За основата на сравняването на животни с човешките дози MRHD е 1,7 mg/kg (100 mg/60 kg). Не са наблюдавани доказателства за увреждане на плода при плъхове при най-високата тествана доза (50 mg/kg), която е 5 пъти по-висока от MRHD на Kybella на базата на mg/m 2 сравнение. Въпреки това, липсващ междинен белодробен лоб се отбелязва при тествани нива на дозата, включително най-ниската доза (10 mg/kg), която е с 2 пъти по-висока от MRHD на Kybella на базата на mg/m 2 сравнение. Тези ефекти могат да бъдат свързани с токсичността на майката, която също се наблюдава при всички тествани нива на дозата.

Лактация

Обобщение на риска

Няма налична информация за наличието на синтетична дезоксихолова киселина в човешкото мляко ефектите на лекарството върху кърменото кърмаче или ефектите на лекарството върху производството на мляко. Ползите за развитие и здравето от кърменето трябва да се разглеждат заедно с клиничната нужда на майката от Кибела и всякакви потенциални неблагоприятни ефекти върху кърменото дете от Кибела или от основното състояние на майката.

Педиатрична употреба

Безопасността и ефективността при пациенти под 18 -годишна възраст не са установени и Kybella не е предназначена за употреба при деца или юноши.

Гериатрична употреба

Клиничните изпитвания на Kybella не включват достатъчен брой лица на възраст над 65 години, за да се определи дали реагират по различен начин от по -младите лица. Други отчетени клиничен опит не са установили разлики в отговорите между възрастни и по -млади лица. Като цяло изборът на доза за възрастен пациент трябва да бъде предпазлив обикновено, като се започне от ниския край на обхвата на дозиране, отразяващ по -голямата честота на намалена чернодробна бъбречна или сърдечна функция и на съпътстваща болест или друга лекарствена терапия.

Информация за предозиране за Kybella

Не е предоставена информация

Противопоказания за Kybella

Kybella injection is contraindicated in the presence of инфекция at the injection sites.

Клинична фармакология for Kybella

Механизъм на действие

Kybella injection is a cytolytic drug which when injected into tissue physically destroys the cell membrane causing lysis.

Фармакодинамика

Сърдечна електрофизиология

При терапевтични дози Kybella не удължава интервала QTC.

Фармакокинетика

Ендогенните плазмени нива на дезоксихолова киселина са силно променливи в и между индивидите; По -голямата част от този естествен жлъчен компонент се секвестира в ентерохепатния циркулационен контур.

Абсорбция и разпределение

Дезоксихолната киселина от Kybella бързо се абсорбира след подкожна инжекция. След дозиране с максимална препоръчителна доза за единична обработка с кибела (100 mg) максимални плазмени концентрации (средна CMAX) се наблюдават при среден TMAX от 18 минути след инжектирането. Средната стойност на CMAX (± SD) е 1024 ± 304 ng/ml и е 3,2 пъти по-висока от средните стойности на CMAX, наблюдавани по време на 24-часов базов ендогенен период при липса на Kybella. След максимално препоръчителна средна доза от единична лечение (100 mg) (± SD) експозиция на дезоксихолова киселина (AUC0-24) е 7896 ± 2269 ng.hr/ml и е с 1,6 пъти по-висока над ендогенната експозиция. Плазмените нива на дезоксихолова киселина след лечението се върнаха в ендогенния диапазон в рамките на 24 часа. Не се очаква натрупване с предложената честота на лечение.

Дезоксихолната киселина е обвързана широко с протеините в плазмата (98%).

Метаболизъм и екскреция

Ендогенната дезоксихолова киселина е продукт на метаболизма на холестерола и е екскретирана непокътната при изпражненията. Дезоксихолната киселина не се метаболизира в значителна степен при нормални условия.

Дезоксихолова киселина от Kybella се присъединява към ендогенния пул от жлъчни киселини в ентерохепаталната циркулация и се отделя заедно с ендогенната дезоксихолова киселина.

In vitro оценка на лекарствените взаимодействия

Резултати от in vitro Проучванията показват, че дезоксихолната киселина не инхибира или индуцира ензими на цитохром на човешки цитохром Р450 (CYP) при клинично значими концентрации. Деоксихолната киселина не инхибира следните преносители: P-gp BCRP MRP4 MRP2 OATP1B1 OATP2B1 OATP1B3 OCT1 OCT2 OAT1 OAT3 NTCP и ASBT.

Специфични популации

Чернодробно увреждане

Kybella has not been studied in subjects with hepatic impairment. Considering the intermittent dose frequency the small dose administered that represents approximately 3% of the total bile acid pool и the highly variable endogenous Деоксихолова киселина levels the pharmacokinetics of Деоксихолова киселина following Kybella injection is unlikely to be influenced by hepatic impairment.

Фармакокинетични ефекти на пола

Фармакокинетиката на дезоксихолната киселина не е повлияна от пола.

Клинични изследвания

Бяха проведени две рандомизирани многоцентрови двойно-слепи плацебо-контролирани изпитвания на идентичен дизайн, за да се оцени инжектирането на Kybella за използване за подобряване на появата на изпъкналост или пълнота, свързана с субменталните мазнини. Изпитванията са записали здрави възрастни (на възраст от 19 до 65 ИТМ ≤ 40 кг/м 2 ) с умерена или тежка изпъкналост или пълнота, свързана с субментални мазнини (т.е. степен 2 или 3 на скали за класифициране от 5 точки, където 0 = няма и 4 = екстремни), както се оценява както от клиничния, така и от предметите. Субектите са получили до 6 лечения с Kybella (n = 514 комбинирани изпитвания) или плацебо (n = 508 комбинирани изпитвания) на интервали не по -малко от 1 месец. По време на клиничните изпитвания беше разрешено използване на ледени/студени пакети локални и/или инжекционни локални анестезия.

Инжектиране volume was 0.2 mL per injection site spaced 1 cm apart into the submental fat tissue which is also expressed in dose per area as 2 mg/cm 2 . За всяка сесия за лечение е разрешено максимум 100 mg (10 ml) през цялата зона на лечение. Субектите се прилагат средно 6,4 ml на първата сесия за лечение и субектите, които са получили всички шест лечения, са били приложени средно 4,4 ml на шестата сесия за лечение. Петдесет и девет процента от субектите са получили всичките шест лечения.

В тези изпитвания средната възраст е била 49 години, а средната ИТМ е 29 кг/м 2 . Повечето от субектите са жени (85%) и кавказки (87%). В началото 51% от субектите са имали рейтинг на тежестта на субменталните мазнини от клиницист и 49% са имали тежка оценка на субменталната мазнина.

Оценките на съвместната ефикасност се основават на най-малко 2-клас и най-малко подобрения от 1 клас в субменталната изпъкналост или пълнота на състава на докладвани от клиницист и отчетени от пациента оценки на субментални мазнини 12 седмици след окончателното лечение. Освен това промените в обема на субменталните мазнини бяха оценени в подмножество от лица (n = 449 комбинирани изпитвания), използвайки магнитно -резонансно изображение (ЯМР). Визуалните и емоционални въздействия на субменталните мазнини (щастливи притеснени самосъзнателни смущени изглеждащи по-стари или наднормено тегло) също бяха оценени с помощта на 6-въпроса с проучване с всеки въпрос, оценен от 0 (изобщо не) до 10 (изключително/много).

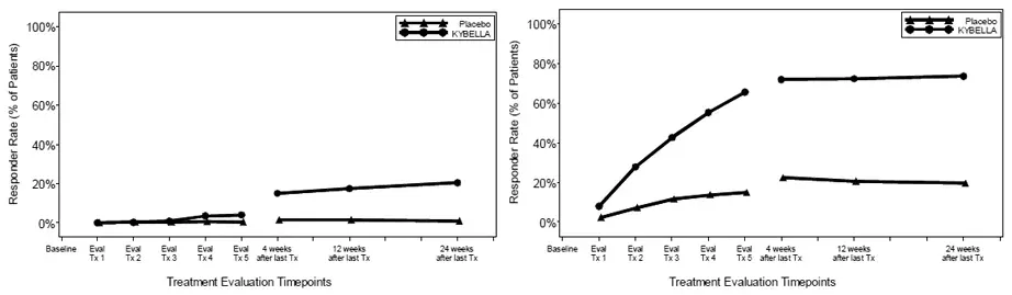
Намаляването на обема на субменталните мазнини се наблюдава по -често в групата на Kybella в сравнение с плацебо групата, измерена от композитния клиничен лекар и оценки на пациентите (Таблица 2). Композитните проценти на отговор чрез посещение са представени на фигура 4.

Таблица 2. ≥ 2 клас и ≥ 1 клас композитен клиник и отговор на пациента 12 седмици след окончателното лечение

Изпитване 1 Изпитване 2
Крайна точка Kybella
(N = 256)
Плацебо
(N = 250)
Kybella
(N = 258)
Плацебо
(N = 258)
2-клас композитен отговор a 13.4% <0.1% 18.6% 3.0%
Композитен отговор от 1 клас b 70.0% 18.6% 66,5% 22,2%
a Поне 2 намаление на степен както на докладваните от клинициста, така и на докладваните от пациента оценки на субменталните мазнини
b Поне 1 намаление на степен както на докладваните от клиника, така и на докладваните от пациента оценки на субменталните мазнини

Фигура 4. ≥ 2 клас и ≥ 1 клас композитен клиник и отговор на пациента

Какво е Doxycycline Hyclate 100mg капачка
ЗАБЕЛЕЖКА: Субектите бяха проследявани 4 12 и 24 седмици след последното лечение. Четиридесет и един процента от субектите са получили по-малко от 6 лечения и са влезли в периода след лечение по-рано от 24-та седмица.

По-голяма част от лекуваните с Кибела субекти има поне 10% намаление на обема на субменталните мазнини в сравнение с лекуваните с плацебо пациенти, когато се оценява от ЯМР (съответно 43% срещу 5%).

Общата удовлетвореност на пациента и самоусъвършенстваните визуални атрибути показват по-голяма скорост на отговор (% от пациентите) подобрение в групата на Кибела, отколкото в групата на плацебо.

Информация за пациента за Kybella

Kybella ®
(Kye be lah)
(Деоксихолна киселина) инжекция

Какво е Kybella?

Kybella is a prescription medicine used in adults to improve the appearance и profile of moderate to severe fat below the chin (submental fat) also called double chin.

Не е известно дали Kybella е безопасна и ефективна за лечение на мазнини извън субменталната област.

Не е известно дали Kybella е безопасна и ефективна при деца под 18 години.

Не получавате Kybella, ако Имате инфекция в областта на лечението.

Преди да получите Kybella, кажете на вашия доставчик на здравни грижи за всички ваши медицински състояния, включително ако вие:

  • са имали или планират да претърпяват операция на шията или брадичката на лицето ви
  • са имали козметични лечения на шията или брадичката на лицето ви
  • са имали или са имали медицински състояния в или близо до зоната на шията
  • са имали или са имали проблеми с преглъщането
  • имат проблеми с кървенето
  • са бременни или планират да забременеят. Не е известно дали Кибела ще навреди на вашето неродено бебе.
  • са кърмещи или планират да кърмят. Не е известно дали Кибела преминава в кърмата ви.

Кажете на вашия доставчик на здравни грижи за всички лекарства, които приемате включително лекарства за рецепта и лекарства без рецепта витамини и билкови добавки. Особено кажете на вашия доставчик на здравни грижи, ако приемате лекарство, което предотвратява съсирването на кръвта ви (антитромбоцитна или антикоагулантна медицина).

Как ще получа Kybella?

  • Kybella is injected into the fat under your chin (up to 50 injections under your skin) by your healthcare provider.
  • Kybella injections may be given at least 1 month apart. You и your healthcare provider will decide how many treatments you need.

Какви са възможните странични ефекти на Kybella?

Kybella can cause serious side effects including:

  • Увреждане на нервите в челюстта, което може да причини неравномерна усмивка или слабост на лицето на лицето.
  • Проблем с преглъщането.
  • Инжектиране site problems including:
    • Колекция кръв под кожата ( хематом ) или синини
    • увреждане на артерия или вена, ако Kybella е по невнимание в нея
    • загуба на коса
    • Отворени рани (язви)
    • Увреждане и тъканна смърт (некроза) около мястото на инжектиране
    • инфекция

      Обадете се на вашия доставчик на здравни грижи, ако:

      • Започнете да развивате слабост в мускулите на лицето си или усмивката ви става неравна
      • Имате затруднения при преглъщане или ако някой от симптомите, които вече сте се влошили
      • Развийте болката за зачервяване отворени рани или дренаж в или от зоната на лечение

Най -често срещаните странични ефекти на Kybella включват:

  • подуване
  • болка
  • изтръпване
  • зачервяване
  • области на твърдост в областта на лечението

Това не са всички възможни странични ефекти на Kybella.

Обадете се на Вашия лекар за медицински съвети относно страничните ефекти. Можете да отчитате странични ефекти на FDA на 1-800-FDA-1088.

Обща информация за безопасното и ефективно използване на Kybella.

Лекарствата понякога се предписват за цели, различни от тези, изброени в информационна листовка за пациент. Ако искате повече информация, поговорете с вашия доставчик на здравни грижи. Можете да попитате вашия фармацевт или доставчик на здравни грижи за повече информация за Kybella, която е написана за здравни специалисти.

Какви са съставките в Кибела?

Активна съставка: Деоксихолова киселина

Неактивни съставки: бензил алкохол дибазичен натриев фосфат хидрохлорна киселина Натриев хлорид натриев хидроксид и вода за инжектиране USP.

Тази информация за пациента е одобрена от американската администрация по храните и лекарствата.