Информацията В Сайта Не Е Медицински Съвет. Ние Не Продаваме Нищо. Точността На Превода Не Е Гарантирана. Отказ От Отговорност
Антибиотици, другиAemcolo
Резюме на наркотиците
Какво е Aemcolo?
Aemcolo (рифамицин) е рифамицин антибактериал, показан за лечение на диария на пътешествениците, причинени от неинвазивни щамове на Те изложиха студ при възрастни.
Какви са страничните ефекти на AEMCOLO?
Aemcolo
- кошери
- затруднено дишане
- Подуване на лицето ви устни Език или гърло
- силна стомашна болка и
- диария, която е водниста или кървава
Получете медицинска помощ веднага, ако имате изброени по -горе симптоми.
Общите странични ефекти на AEMCOLO включват:
- главоболие
- запек
- коремна болка
- треска и
- лошо храносмилане
Потърсете медицинска помощ или се обадете на 911 наведнъж, ако имате следните сериозни странични ефекти:
- Сериозни симптоми на очите, като например внезапна загуба на зрение, замъглено зрение Тунел Виждане болка в очите или подуване или виждане на ореоли около светлините;
- Сериозни сърдечни симптоми като бързи нередовни или ударни сърдечни удари; трептене в гърдите ви; задух; и внезапна замаяност лекомисленост или раздаване;
- Тежка главоболие объркване затънала речева ръка или крак слабост проблем за ходене на загуба на координация, чувствайки се нестабилни много твърди мускули висока треска обилно изпотяване или тремор.
Този документ не съдържа всички възможни странични ефекти, а други могат да възникнат. Консултирайте се с вашия лекар за допълнителна информация за страничните ефекти.
Дозировка за Aemcolo
Препоръчителната доза на AEMCOLO е 388 mg (две таблетки) перорално два пъти дневно в продължение на три дни.
Какви лекарства вещества или добавки взаимодействат с AEMCOLO?
AEMCOLO може да взаимодейства с други лекарства. Кажете на Вашия лекар всички лекарства и добавки, които използвате.
Aemcolo по време на бременност и кърмене
Кажете на Вашия лекар, ако сте бременна или планирате да забременеете, преди да използвате Aemcolo; Не е известно как би се отразил на плода. Не е известно дали Aemcolo преминава в кърма. Консултирайте се с Вашия лекар преди кърмене.
Допълнителна информация
Нашите таблетки AEMCOLO (Rifamycin) за забавено освобождаване за устни употреба Странични ефекти Център за лекарства предоставят изчерпателен поглед върху наличната информация за лекарството върху потенциалните странични ефекти при приемането на това лекарство.
Грип изстрел за странични ефекти на възрастните хора
Информация за наркотиците на FDA
- Описание на лекарството
- Показания
- Доза
- Странични ефекти
- Предупреждения
- Предозиране
- Клинична фармакология
- Ръководство за лекарства
Описание за Aemcolo
AEMCOLO таблет с забавено освобождаване за перорално приложение съдържа 194 mg рифамицин, еквивалентен на 200 mg рифамицин натрий.
Рифамицинът натрий е рифамицин антибактериал. Той е обозначен химически като: натрий (2S12Z14E16S17S18R19R20R21S22R23S24E) -21- (Acetyloxy) -691719-Tetrahydroxy-23-метокси-241216182022-HETTAMETHYLL-11-11-DIOXO-241216182022-HETTAMETHYLL-11-DIOXO-12-DIHYDRO-27 (Епоксипентадека [11113] Trienimino) Naphtho [21- b ] Furan-5-Oold. Емпиричната му формула е c 37 H 46 Nnao 12 . Молекулното тегло е 720 g/mol.
Структурната му формула е:
|
Рифамицинът натрий е фин или леко гранулиран прах, разтворим във вода и свободно разтворим в безводен етанол.
Таблетките с забавено освобождаване AEMCOLO са ентерично покритие с PH-устойчив полимерен филм, който се разгражда над рН 7. Ядрото на таблетки съдържа рифамицин. Таблетките са жълтокафяви и елипсоидални.
Всяка таблетка съдържа следните неактивни съставки: амоняк метакрилат кополимер (тип В) аскорбинова киселина глицерил дистеаратен лецитин магнезиев стеаран манитол метакрилна киселина и метил метакрилатен кополимер (1: 2) полиетилен гликол 6000 Колоидален силиконист жълто -жълто? железен оксид.
Използване за AEMCOLO
Диария на пътешествениците
AEMCOLO е показан за лечение на диарията на пътешествениците (TD), причинена от неинвазивни щамове на Escherichia coli при възрастни.
Ограничения на употребата
Aemcolo не е показано при пациенти с диария, усложнена от треска или кърваво изпражнение или поради патогени, различни от неинвазивни щамове на Escherichia coli [виж Предупреждения и предпазни мерки Клинични изследвания ].
Употреба
За да се намали развитието на устойчиви на лекарства бактерии и да се поддържа ефективността на AEMCOLO и други антибактериални лекарства AEMCOLO трябва да се използва само за лечение или предотвратяване на инфекции, които се доказват или силно се подозира, че са причинени от чувствителни бактерии. Когато е налична информация за културата и чувствителността, те трябва да бъдат взети предвид при избора или промяна на антибактериалната терапия. При липса на такива данни локалните епидемиология и модели на чувствителност могат да допринесат за емпиричния селекция на терапията.
Дозировка за Aemcolo
Основна информация за дозиране
Препоръчителната доза AEMCOLO е 388 mg (две таблетки) перорално два пъти дневно (сутрин и вечер) в продължение на три дни. Вземете всяка доза с чаша течност (6-8уна). Не приемайте Aemcolo едновременно с алкохол. Aemcolo може да се приема със или без храна.
Важни инструкции за администрация
Aemcolo трябва да се приема устно. Поглъщайте таблетките цели. Не смачкайте счупването или дъвчете таблетките с забавено освобождаване.
Колко се доставя
Доза Forms And Strengths
Aemcolo е жълто-кафяв елипсоидален филм, покрит с забавено освобождаване, се разруши от едната страна с SV2. Всяка таблетка с забавено освобождаване съдържа 194 mg рифамицин.
Съхранение и обработка
Aemcolo Таблетките с забавено освобождаване съдържат 194 mg рифамицин (еквивалентен на 200 mg рифамицин натрий) и са жълтокафява елипсоидално и филмово покритие. Тези пакетирани в блистерни карти от 6 таблетки, съдържащи се в картон. Те се доставят по следния начин:
NDC (57841-1200-1): Кашон от 12 таблетки (2 блистерни карти от 6 таблетки)
NDC (57841-1200-2): Кашон от 36 таблетки (6 блистерни карти от 6 таблетки)
Съхранявайте при 20 ° до 25 ° C (68 до 77 ° F) екскурзии, разрешени на 15 до 30 ° C (59 ° до 86 ° F) [виж USP контролирана стайна температура ].
Произведено за: Redhill Biopharma Inc.Raleigh NC 27617833-ADR-HILL (833-237-4455). Произведена от: Cosmo S.P.A.Lainate Milan Italymade в Италия. Ревизиран: февруари 2021 г.
Странични ефекти за AEMCOLO
Опит с клинични изпитвания
Тъй като клиничните изпитвания се провеждат при широко различни състояния, нежелани реакционни проценти, наблюдавани при клиничните изпитвания на лекарство, не могат да бъдат пряко сравнени със проценти в клиничните изпитвания на друго лекарство и може да не отразяват процентите, наблюдавани на практика.
Безопасността на оралния AEMCOLO 388 mg два пъти дневно се оценява при 619 възрастни с диария на пътешествениците при две контролирани клинични изпитвания (изпитване 1 и изпитване 2), като 96% от пациентите получават три или четири дни лечение. Тези пациенти са имали средна възраст от 36,2 години (диапазон от 18 до 87 години) със 7% ≥ 65 години; 49% са мъже 84% са бели, а 4% са испаноядни.
Прекратяване на AEMCOLO поради нежелани реакции се наблюдава при 1% от пациентите. Най -честите нежелани реакции, водещи до прекратяване на AEMCOLO, са коремната болка (NULL,5%) и пирексия (NULL,3%).
В изпитване 1 (плацебо-контролирана) нежеланата реакция, възникнала при поне 2% от пациентите, лекувани с AEMCOLO (n = 199) и с честота, по-висока, отколкото в плацебо групата, е запек (NULL,5% AEMCOLO 1,5% плацебо)
В изпитване 2 (активен сравнител) нежеланата реакция, възникнала при поне 2% от пациентите, лекувани с AEMCOLO (n = 420), и с честота, по-висока, отколкото в групата на ципрофлоксацин, е главоболие (NULL,3% Aemcolo 1,9% ципрофлоксацин) (NULL,3% AEMCOLO 1,9% ципрофлоксацин)
Нежелани реакции, отчетени в <2% of patients receiving Aemcolo 388 mg twice daily with a higher incidence than the comparator group was dyspepsia.
Лекарствени взаимодействия за AEMCOLO
Не са проучени клинични лекарствени лекарствени взаимодействия (DDI). Въз основа на минималните системни концентрации на рифамицин, наблюдавани след препоръчителната доза на AEMCOLO, клинично значими DDI, не се очаква [виж Клинична фармакология ]
Предупреждения за Aemcolo
Включени като част от ПРЕДПАЗНИ МЕРКИ раздел.
Предпазни мерки за Aemcolo
Риск от устойчиво или влошаване на диария, усложнен от треска и/или кърваво изпражнение
Aemcolo was not shown to be effective in patients with diarrhea complicated by треска и/or bloody stool. Patients with these conditions treated with Aemcolo had prolonged time to last unformed stool (TLUS). The effectiveness of Aemcolo in travelers' diarrhea caused by pathogens other than E. coli has not been demonstrated. Aemcolo is not recommended for use in patients with diarrhea accompanied by fever or bloody stools or due to pathogens other than noninvasive strains of E. coli [see Показания и употреба Клинични изследвания ].
Прекратяване на Aemcolo, ако диарията се влоши или продължава повече от 48 часа и помислете за алтернативна антибактериална терапия.
Clostridium difficile - свързана диария
Clostridium difficile -асоциирана диария (CDAD) е съобщена с използване на почти всички антибактериални средства и може да варира по тежест от лека диария до фатален колит. Лечението с антибактериални средства променя нормалната флора на дебелото черво, което може да доведе до свръхрастеж на В. трудно .
В. трудно произвежда токсини А и В, които допринасят за развитието на CDAD. Хипертоксин, произвеждащ щамове на В. трудно Може да причини повишена заболеваемост и смъртност, тъй като тези инфекции могат да бъдат рефрактерни на антимикробната терапия и могат да изискват колектомия. CDAD трябва да се разглежда при всички пациенти, които се представят с диария след употреба на антибактериални лекарства. Внимателната медицинска история е необходима, тъй като се съобщава, че CDAD се среща в продължение на два месеца след прилагането на антибактериални средства.
Ако CDAD се подозира или потвърждава употребата на антибактериални лекарства, която не е насочена срещу В. трудно може да се наложи да бъде прекратен. Подходяща добавка на протеини за управление на течности и електролити Специфично антибактериално лечение на В. трудно и/или хирургична оценка трябва да се образува, както е посочено клинично.
Развитие на устойчиви на лекарства бактерии
Предписването на AEMCOLO при липса на доказана или силно подозирана бактериална инфекция или профилактична индикация е малко вероятно да осигури полза на пациента и увеличава риска от развитието на устойчиви на лекарства бактерии.
Неклинична токсикология
Канцерогенеза мутагенеза Нарушаване на плодовитостта
Карциногенеза
Не са проведени проучвания за канцерогенност при животни с рифамицин.
Мутагенеза
Рифамицинът не е генотоксичен в бактериалния анализ на обратната мутация на мишката на мишката на мишката на мишката или анализа на микронуклеуса на костния мозък на мишката.
Увреждане на плодовитостта
Не са проведени проучвания за плодовитост при животни с рифамицин.
Използване в конкретни популации
Бременност
Обобщение на риска
Няма налични данни за употребата на AEMCOLO при бременни жени, които да информират всички рискове, свързани с наркотици за основни вродени дефекти, спонтанен аборт или неблагоприятни резултати от майката или плода. Системната абсорбция на AEMCOLO при хора е незначително след орално приложение на препоръчителната доза на AEMCOLO [виж Клинична фармакология ]. Due to the negligible systemic exposure it is not expected that maternal use of Aemcolo will result in fetal exposure to the drug.
При проучвания за репродукция на животни не са наблюдавани малформации при бременни плъхове или зайци при експозиции 25000 и 500 пъти (на базата на AUC) съответно човешката експозиция, постигната с препоръчителната клинична доза AEMCOLO. Лечението на бременни плъхове с AEMCOLO при повече от 1000 пъти повече от максималната плазмена концентрация (CMAX) и 25000 пъти по -голяма от системната експозиция (на базата на AUC) през периода на органогенезата води до майките на токсичността, намаляващо теглото на плода и вариациите при образуването на диафрагма. По същия начин лечението на бременни зайци с AEMCOLO при повече от 10 пъти по -голяма от максималната концентрация на плазмена на човека (CMAX) доведе до намаляване на токсичността на майката и леко забавено фетално осификации [виж Данни ].
Всички бременности имат основен риск от загуба на вроден дефект или други неблагоприятни резултати. В общата популация на САЩ прогнозният риск от големи вродени дефекти и спонтанен аборт в клинично признатите бременности е съответно от 2 до 4% и 15 до 20%. Посъветвайте бременните жени за потенциалния риск за плода.
Данни за животните
Изследванията за ембриофетална токсичност при плъхове и зайци не показват малформации до максималните тествани дози от 855 и 85,5 mg/kg (25000 и 500 пъти по-голяма плазмена експозиция на базата на AUC) съответно на рифамицин, даден устно през периода на органогенеза (гестационни дни 6-17/18). При плъхове високата доза от 855 mg/kg/ден причинява намаляване на консумацията на храна на майката намалява теглото на плода и по -голям брой плодове с тънка сухожилна диафрагма. При зайци високата доза от 85,5 mg/kg/ден причинява намаляване на консумацията на храна и повишаване на телесното тегло при бременни язовири, както и намалено тегло на плода и леко забавяне на осификацията, включително малко по -високи случаи на плода с кости за кости на черепа, разширени черелни фонтанела и непълнолетни вариации на дигитала 5 медиална фалаксия от и двете непълни. Не са наблюдавани неблагоприятни фетални ефекти при плъхове и зайци прилагат по -ниски дози орален рифамицин.
Лактация
Обобщение на риска
Няма информация относно наличието на AEMCOLO в човешкото мляко ефектите върху кърменото бебе или ефектите върху производството на мляко. Системната абсорбция на AEMCOLO при хора е незначително след орално приложение на препоръчителната доза на Aemcolo; Следователно се очаква излагането на кърмано бебе чрез кърма да бъде незначително [виж Клинична фармакология ]. There are no animal lactation data following oral rifamycin administration. Following single intravenous injection of rifamycin to lactating ewes rifamycin has been shown to pass into milk. 1
Ползите за развитие и здравето от кърменето трябва да се разглеждат заедно с клиничната нужда на майката от AEMCOLO и всякакви потенциални неблагоприятни ефекти върху кърменото бебе от AEMCOLO или от основното състояние на майката.
Педиатрична употреба
Безопасността и ефективността на AEMCOLO не е установена при педиатрични пациенти на възраст под 18 години с диария на пътешествениците.
Гериатрична употреба
Клиничните проучвания с AEMCOLO за диарията на пътешествениците не включват достатъчен брой пациенти на възраст 65 и повече години, за да се определи дали реагират по различен начин от по -младите лица. Други отчетени клиничен опит не са установили разлики в отговорите между възрастни и по -млади пациенти.
Бъбречно увреждане
Фармакокинетиката на AEMCOLO при пациенти с нарушена бъбречна функция не е проучена. Като се има предвид минималното системно излагане на рифамицин (взет като AEMCOLO) и незначителна роля на бъбречната екскреция при елиминиране на рифамицин бъбречно увреждане, не се очаква да има клинично значим ефект върху системната експозиция на рифамицин, което налага корекция на дозата.
Чернодробно увреждане
Фармакокинетиката на AEMCOLO при пациенти с нарушена чернодробна функция не е проучена. Като се има предвид минималната системна експозиция на рифамицин (приета като AEMCOLO), чернодробното увреждане не се очаква да има клинично значим ефект върху системната експозиция на рифамицин, налагаща корекция на дозата.
ЛИТЕРАТУРА
Ziv G Sulman FG. Оценка на рифамицин SV и рифампин кинетика при кърмещи овце. Антимикробни агенти химика. 1974; 5 (2): 139-142.
Информация за предозиране за AEMCOLO
При лечението на предозиране с AEMCOLO няма конкретна информация. В случай на предозиране Преустановяване на AEMCOLO лекува симптоматично и институтира мерките за поддържане, както се изисква.
Противопоказания за AEMCOLO
Aemcolo is contraindicated in patients with a known hypersensitivity to rifamycin any of the other rifamycin class antimicrobial agents (e.g. rifaximin) or any of the components in Aemcolo.
Клинична фармакология for Aemcolo
Механизъм на действие
Рифамицинът е антибактериално лекарство [виж Микробиология ].
Фармакодинамика
Aemcolo exposure-response relationships and time course of pharmacodynamic response are unknown.
Фармакокинетика
Плазмени концентрации
При здрави възрастни, получаващи препоръчителната доза от 388 mg рифамицин (взета като AEMCOLO) два пъти дневно в продължение на 3 дни максималният наблюдаван рифамицин концентрация в плазмата е 8,72 ng/ml (6 часа след последната доза). Повечето (67%) концентрации на рифамицин в плазмата са под границата на количествено определяне ( <2 ng/mL) atthis time point.
Абсорбция
Рифамицин (взет като AEMCOLO) има ограничена системна експозиция след перорално приложение на препоръчителната доза. Въз основа на общата база база за екскреция на урината беше <0.1% under fasting conditions.
Хранителен ефект
Проучване на хранителен ефект, включващо приложение на AEMCOLO към здрави доброволци под състояние на гладно и с храна (приблизително 1000 kcal, включително 500 kcalfrom мазнини) показва, че храната намалява системната експозиция на рифамицин. Не се очаква намаляването на системната експозиция на рифамицин да бъде клинично значимо [виж Доза и приложение ].
Разпределение
Свързването на плазмения протеин е приблизително 80% in vitro. Свързването е предимно с албумин и е обратно пропорционално на концентрацията.
Елиминиране
Очевидният полуживот на орално прилагания рифамицин (взет като AEMCOLO) в плазмата е неизвестен.
Метаболизъм
Цитохром Р450 (CYP) на базата на рифамицин не се наблюдава in vitro.
Екскреция
След единична орална доза от 400 mg Aemcolo (388 mg база рифамицин) при гладуване на здрави възрастни фекалната екскреция на рифамицин е средно 86% от номиналната доза.
Специфични популации
Фармакокинетиката на рифамицин (приета като AEMCOLO) при пациенти с нарушена бъбречна или чернодробна функция не е проучена.
Проучвания за взаимодействие с лекарства
Не са проведени клинични изследвания на лекарства-лекарства за лекарство за лекарство на лекарства за лекарство (приет като AEMCOLO).
In vitro изследвания на транспортиращия, при който потенциалът за взаимодействие на лекарството не се оценява допълнително клинично
Рифамицинът е субстрат на P-гликопротеин (P-gp) и се очаква да бъде инхибитор на P-gp и устойчив на рак на гърдата протеин (BCRP) в червата.
Рифамицинът е инхибитор на бъбречно транспортиращи органичен анион транспортер (OAT) 3 мултилекарски и токсини екструдиране (MATE) 1 и MATE2-K преносители in vitrohowver въз основа на системни концентрации на рифамицин, наблюдавани след прилагане на препоръчителната доза, клинично значимо инхибиране на тези транспортиращи Invivo, е невярно.
In vitro цитохром p450 (CYP) проучвания, при които потенциалът за взаимодействие на лекарството не е допълнително оценен клинично
Рифамицинът е инхибитор на CYP1A2 2B6 2C8 2C9 2C19 2D6 и 3A4/5 in vitro, но въз основа на системните концентрации на рифамицин, наблюдавани след администрацията на препоръчителната доза, клинично значимо инхибиране на тези ензими in vivo е невероятно.
Рифамицинът е индуктор на CYP3A4 и CYP2B6, но не и CYP1A2 in vitro, но въз основа на системни концентрации на рифамицин, наблюдавани след прилагане на препоръчителната доза, клинично значима индукция на тези ензими in vivo е малко вероятно.
Рифамицинът не е субстрат на CYPS 1A2 2B6 2C9 2C19 2D6 2E1 и 3A4/5.
Микробиология
Механизъм на действие
Rifamycin belongs to the ansamycin class of antibacterial drugs and acts by inhibiting the beta-subunit of the bacterial DNA-dependent RNA polymerase blocking oneof the steps in DNA transcription. This results in inhibition of bacterial synthesis and consequently growth of bacteria.
Съпротива
Съпротива to rifamycin is associated with mutations in the RNA polymerase beta subunit. Among E. coli strains the spontaneous mutation frequency rate of rifamycinranged from 10 -6 до 10 -10 в 4×  16 à - микрофон; Честотата на мутацията не зависи от концентрацията на рифамицин. Увеличаването на минималните инхибиторни концентрации бяха наблюдавани както in vitro, така и по време на лечение след излагане на рифамицин. Наблюдава се между резистентност между рифамицин и други ансамицини.
Антибактериална активност
Показано е, че рифамицинът е активен срещу повечето изолати от следващия патоген както in vitro, така и в клинични проучвания на диарията на пътешествениците:
Те изложиха студ (ентеротоксигенни и ентероагрегативни изолати)
Клинични изследвания
Диария на пътешествениците
Ефективността на AEMCOLO, дадена като 388 mg, орално взета два пъти на ден в продължение на 3 дни, се оценява в един многоцентричен рандомизиран двойно-сляп плацебо-контролелтриал при възрастни с диария на пътешествениците. Изпитване 1 (NCT01142089) е проведено на клинични места в Гватемала и Мексико и предоставя основните доказателства за ефективността на AEMCOLO. Второ проучване с активно контролиране (изпитване 2 € NCT01208922), проведено в Индия Гватемала и Еквадор, предостави подкрепящи доказателства за ефективността на Aemcolo. Въпреки че пациентите с треска и/или кърваво изпражнение в началото трябва да бъдат изключени от двете изпитвания 18 лица, лекувани с Aemcolo Hadfever и кървава диария при записване в изпитване 2. Пробитите от изпражнения се събират преди лечение и 1 до 2 дни след края на лечението за идентифициране на ентерикатогени. Преобладаващият патоген и в двете изпитвания е Е. Коли.
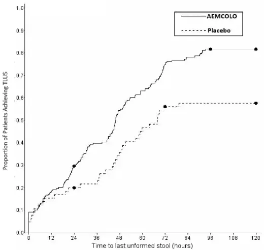
Клиничната ефикасност на AEMCOLO се оценява с помощта на крайна точка от време за издържане на неформирано (воднисто или меко) изпражнения (TLU), преди да се постигне клинично лечение. Клиничното лечение на Endpointof се определя като две или по-малко меки изпражнения и минимални ентерични симптоми в началото на 24-часов период или без неформални изпражнения в началото на A48-часов период. Оценките на Kaplan-Meier за TLUS за популацията за намерение за лечение (ITT), която включва всички рандомизирани лица в изпитване 1 (Фигура 1), показват, че товаамколо значително намалява TLU в сравнение с плацебо (p = 0,0008).
Фигура 1: Kaplan-Meier оценява времето за издържане на неработено изпражненията (TLUS) в изпитване 1 (ITT популация)
|
Таблица 1 показва средната TLUS и броя на пациентите, които са постигнали клинично лечение за популацията на ITT в изпитване 1. Средната продължителност на диарията е значително по -къса при пациенти, лекувани с AEMCOLO, отколкото в плацебо групата. Повече пациенти, лекувани с AEMCOLO, са класифицирани като клинични лекове, отколкото веретоза в групата на плацебо.
Таблица 1: Клиничен отговор в изпитване 1 (ITT популация)
| Aemcolo (N = 199) | Плацебо (N = 65) | Разлика | P стойност | |
| Средна TLUS (HS) | 46.0 | 68.0 | -22.0 | P = 0,0008* |
| Клинично лечение N (%) | 162 (NULL,4%) | 37 (NULL,9%) | 24,5% | P = 0,0001 † |
| Itt = намерение за лечение; Tlus = време за издържане на неработеща изпражнения (за часове) * Тест за лог-ранг. 95% доверителен интервал за разликата в медианите не може да бъде изчислен поради количеството на цензурираните наблюдения в групата на плацебо. † Чи-квадрат тест 95% доверителен интервал за разликата е (11.3 37.7). |
Резултатите от изпитване 2 подкрепиха резултатите, представени за изпитване 1. В допълнение, това изпитване предостави доказателства, че лекуваните с AEMCOLO субекти с треска и/или кърваводиарея в началото са продължили TLU. [Вижте Предупреждения и предпазни мерки ]
Информация за пациента за AEMCOLO
Устойчива диария
Информирайте пациента, която се лекува за диарията на пътешествениците, за да преустанови Aemcolo, ако диарията продължава повече от 48 часа или се влоши. Посъветвайте се на пациента да потърси медицински грижи за треска и/или кръв в изпражненията [виж Предупреждения и предпазни мерки ].
Треска и/или кърваво изпражнение
Информирайте пациента, че AEMCOLO не се препоръчва за употреба, ако има треска и/или кърваво изпражнение [виж Предупреждения и предпазни мерки ].
Clostridium difficile - свързана диария
Съветвайте пациентите, че диарията е често срещан проблем, причинен от антибактериални лекарства, които обикновено завършват, когато антибактериалните лекарства са прекратени. Понякога след стартиране на лечение с антибактериални лекарства пациентите могат да развият воднисти или кървави изпражнения (със или без стомашни спазми и треска), дори до два или повече месеца, след като са взели последната доза Aemcolo. Информирайте пациента, че ако диарията възникне след терапия или не се подобрява или се влоши по време на терапевтичните пациенти, трябва да контактуват с техния лекар възможно най -скоро [виж Предупреждения и предпазни мерки ].
Важни инструкции за администрация
Инструктирайте пациентите, които:
- Aemcolo tablets should be swallowed whole with a full glass of liquid (6-8 ounces).
- Aemcolo must not be taken concomitantly with alcohol.
- Aemcolo tablets must not be chewed crushed or broken.
- Aemcolo may be taken with or without food.
Антибактериална резистентност
Пациентите трябва да бъдат консултирани, че антибактериалните лекарства, включително AEMCOLO, трябва да се използват само за лечение на бактериални инфекции. Те не лекуват вирусни инфекции (напр. Когато е предписано AEMCOLO за лечение на бактериална инфекция, пациентите трябва да се каже, че въпреки че е обичайно да се чувствате по -добре в началото на терапията, лекарствата трябва да се приемат точно както е указано. Пропускането на дози или не завършването на пълния курс на терапия може (1) да намали ефективността на лечението с лечението и (2) да увеличи вероятността бактериите да развият резистентност и няма да бъдат лечими от Aemcolo или други антибактериални лекарства в функцията.