Информацията В Сайта Не Е Медицински Съвет. Ние Не Продаваме Нищо. Точността На Превода Не Е Гарантирана. Отказ От Отговорност



Алвеско

Резюме на наркотиците

Какво е Алвеско?

Alvesco (Cicleonide) Аерозол е кортикостероид, показан за поддържащо лечение на астма като профилактична терапия при възрастни и юноши на възраст 12 -годишна възраст и повече.

Какви са страничните ефекти на Алвеско?

Алвеско може да причини сериозни странични ефекти, включително:



  • хрипове
  • Задушаване
  • Други проблеми с дишането след използване на това лекарство
  • стягане на гърдите
  • Проблем с дишането
  • рани или бели петна в устата или гърлото ви
  • Тунелно зрение
  • замъглено зрение и
  • Влошаващи се симптоми на астма

Получете медицинска помощ веднага, ако имате изброени по -горе симптоми.



Страничните ефекти на аерозола за инхалация на Alvesco включват:

  • неприятно вкус в устата ви
  • сухота в устата
  • изгаряне или дразнене в устата ви
  • Бели петна или рани вътре в устата ви
  • хрема или задушен нос
  • възпалено гърло
  • дрезгав глас
  • сърбеж или кожен обрив
  • Болки в ставите
  • Болки в гърба
  • главоболие
  • Инфекция с дрожди (Candidia albicans)
  • потиснати имунна система
  • Хиперкортизъм (синдром на Кушинг)
  • надбъбречно потискане
  • Ефекти на растежа
  • глаукома и
  • катаракта.

Кажете на Вашия лекар, ако имате малко вероятни, но сериозни странични ефекти на аерозола за инхалация на Alvesco, включително:



  • Визията се променя
  • необичайно или постоянно главоболие
  • Лошо заздравяване на рани
  • подпухнало лице
  • неочаквано наддаване на тегло
  • мускулна болка или слабост
  • Психични/промени в настроението (напр. Егитация на депресия) или
  • увеличена жажда или уриниране.

Потърсете медицинска помощ или се обадете на 911 наведнъж, ако имате следните сериозни странични ефекти:

  • Сериозни симптоми на очите, като например внезапна загуба на зрение, замъглено зрение Тунел Виждане болка в очите или подуване или виждане на ореоли около светлините;
  • Сериозни сърдечни симптоми като бързи нередовни или ударни сърдечни удари; трептене в гърдите ви; задух; и внезапна замаяност лекомисленост или раздаване;
  • Тежка главоболие объркване затънала речева ръка или крак слабост проблем за ходене на загуба на координация, чувствайки се нестабилни много твърди мускули висока треска обилно изпотяване или тремор.

Този документ не съдържа всички възможни странични ефекти, а други могат да възникнат. Консултирайте се с вашия лекар за допълнителна информация за страничните ефекти.

Дозировка за Алвеско

Alvesco (80 или 160 mcg здравина) се прилага по перорално инхалаторния път.

Какви лекарства вещества или добавки взаимодействат с Алвеско?

Аерозолът на инхалацията на Alvesco може да взаимодейства с кониваптански антибиотици противогъбични лекарства ХИВ / СПИН лекарства или антидепресанти. Кажете на Вашия лекар всички лекарства и добавки, които използвате.

Алвеско по време на бременност и кърмене

Кажете на Вашия лекар, ако сте бременна или планирате да забременеете, преди да използвате Alvesco; може да навреди на плода. Не е известно дали Алвеско преминава в кърма или може да навреди на кърмещото бебе. Консултирайте се с Вашия лекар преди кърмене.

Допълнителна информация

Нашият лекарствен център Alvesco (Cicleonide) предоставя изчерпателен поглед върху наличната информация за лекарството върху потенциалните странични ефекти при приемането на това лекарство.

Информация за наркотиците на FDA

Описание за Алвеско

Активният компонент на аерозол Alvesco 80 MCG Aerosol и Alvesco 160 MCG Аерозол е Цилкусид Аналогениран глюкокортикоид с химическо наименование PreGNA-14-Diene-320-Dione 1617-[((R) -циклохексилметилен] бис (окси)]-11-хидрокси-21 (2-метил-1-оксопропокси)-(11β16α). Емпиричната формула е c 32 H 44 O 7 и молекулното му тегло е 540,7. Структурната му формула е следната:

какво е амоксицилин 500 mg добро за

Цилонидът е бял до жълто-бял прах. Той е разтворим в дехидратиран алкохолен ацетон дихлорометан и хлороформ.

Аерозол Alvesco 80 MCG Aerosol и Alvesco 160 MCG Аерозол са аерозолни единици под налягане под налягане, оборудвани с индикатор за доза. Alvesco е предназначен само за перорално вдишване. Всяка единица съдържа разтвор на Цимонид в гориво HFA-134A (1112 тетрафлуороетан) и етанол. След грундиране на Alvesco 80 mcg доставя 100 mcg от клапана и 80 mcg цикълсинода от задвижването. Alvesco 160 MCG доставя 200 mcg от клапана и 160 mcg цикълсиоди от задвижването. Този продукт доставя 50 микролитра (NULL,3 милиграма) разтвор като фина мъгла от частици от клапана с всяко задействане. Действителното количество лекарство, доставено в белия дроб, може да зависи от факторите на пациента, като координацията между задействието на устройството и вдъхновението чрез системата за доставка. Alvesco трябва да се грундира чрез задействане 3 пъти преди да се използва първата доза от нова кутия или когато инхалаторът не се използва повече от 10 дни. Избягвайте пръскането в очите или лицето, докато грундирате Алвеско.

Използване за Алвеско

Алвеско е показан за поддържащо лечение на астма като профилактична терапия при възрастни и педиатрични пациенти на 12 и повече години.

Ограничения на употребата

Алвеско не е посочен за облекчаване на остър бронхоспазъм.

Алвеско не е посочен за деца под 12 години.

Дозировка за Алвеско

Информация за администрацията

  • Администрирайте Алвеско по перорално вдишвания път.
  • След прилагането изплакнете устата с вода и изплюйте без преглъщане, за да се намали рискът от орофарингеална кандидоза [виж Предупреждения и предпазни мерки ].
Грундиране

Prime Alvesco, преди да използвате за първи път, като задействате 3 пъти преди да използвате първата доза от нова кутия или когато инхалаторът не се използва повече от 10 дни.

Препоръчителна доза

Препоръчителната начална доза и най -високата препоръчителна доза на Alvesco са изброени в таблица 1.

Таблица 1: Препоръчителни дози за възрастни и педиатрични пациенти на 12 години и повече

Предишна терапия Препоръчителна начална доза Най -висока препоръчителна доза
Пациенти ≥ 12 години, които са получили бронходилататори само 80 mcg два пъти дневно 160 mcg два пъти дневно
Пациенти ≥ 12 години, които са получили инхалаторни кортикостероиди 80 mcg два пъти дневно 320 mcg два пъти дневно
Пациенти ≥ 12 години, които са получили перорални кортикостероиди 1 320 mcg два пъти дневно 320 mcg два пъти дневно
1 Преднизонът трябва да се намалява постепенно не по -бързо от 2,5 mg/ден седмично, започвайки след поне 1 седмица терапия с Alvesco. Пациентите трябва да бъдат внимателно наблюдавани за признаци на нестабилност на астмата, включително мониторинг на серийните обективни мерки на въздушния поток и за признаци на надбъбречна недостатъчност по време на стероидна конус и след прекратяване на пероралната кортикостероидна терапия [виж Предупреждения и предпазни мерки ].
Общи препоръки за дозиране

Отделните пациенти ще изпитат променливо време за начало и степен на облекчаване на симптомите. Максималната полза не може да бъде постигната в продължение на четири седмици или повече след започване. След постигането на стабилността на астмата е желателно да се титрира до най -ниската ефективна доза, за да се намали възможността за странични ефекти. За пациенти, които не реагират адекватно на началната доза след 4 седмици терапия по -високите дози могат да осигурят допълнителна астма контрол. Пациентите не трябва да надвишават най -високата препоръчителна доза на ден.

Колко се доставя

Дозирани форми и силни страни

Инхалация аерозол:

  • 80 mcg цикълсионид на задействане, снабден с кафяв пластмасов задвижващ механизъм с червена капачка за прах
  • 160 mcg цикълсионид на задействане, снабден с червен пластмасов задвижващ механизъм с червена капачка за прах

Съхранение и обработка

Алвеско се предлага в следните силни и презентации на кутиите.

Микрограми на задействане Брой задействания на кутията Тегло на кутията Кутията на кутия NDC номер
Алвеско 80 mcg 60 6.1 g 1 70515-711-01
Алвеско 160 mcg 60 6.1 g 1 70515-712-01

Алвеско (Цикулонид) 80 mcg Аерозолът за инхалация се доставя с кафяв пластмасов задвижващ механизъм с червена капачка за прах. Всяко задействане на инхалатора доставя 80 mcg цикълсионид от задвижването и съдържа 60 задействания запълване/кутията.

Алвеско (Цикулонид) 160 mcg Аерозолът за инхалация се доставя с червена пластмасова задвижване с червена капачка за прах. Всяко задействане на инхалатора доставя 160 mcg цикълсионид от задвижването и съдържа 60 задействания запълване/кутии.

Алвеско canisters are for use with Алвеско actuators only. The actuators are fitted with a dose indicator и should not be used with other medications. The correct amount of medication in each actuation cannot be assured from the canister labeled to contain 60 actuations when the dose indicator display window shows zero even though the canister is not completely empty. The canister should be discarded when the dose indicator display window shows zero.

Съхранявайте при 25 ° C (77 ° F). Разрешени са екскурзии между 15 ° C и 30 ° C (59 ° F и 86 ° F) (виж USP ). За оптимални резултати кутията трябва да бъде при стайна температура, когато се използва.

Съдържание под налягане. Не пробийте. Не използвайте и не съхранявайте близо до топлина или отворен пламък. Излагането на температури над 49 ° C (120 ° F) може да причини спукване. Никога не хвърляйте кутията в огън или изгаряне.

Произведено за: Covis Pharma Zug 6300 Швейцария, произведена в Обединеното кралство. Ревизиран: февруари 2023 г.

Странични ефекти за Алвеско

Следните клинично значими нежелани реакции са описани другаде в етикетирането:

  • Орофарингеална кандидоза [виж Предупреждения и предпазни мерки ]
  • Имуносупресия и риск от инфекции [виж Предупреждения и предпазни мерки ]
  • Хиперкортизъм и потискане на надбъбречните надбъбреци [виж Предупреждения и предпазни мерки ]
  • Намаляване на костна минерална плътност [виж Предупреждения и предпазни мерки ]
  • Ефекти на растежа [виж Предупреждения и предпазни мерки ]
  • Глаукома и катаракта [виж Предупреждения и предпазни мерки ]

Опит за клинично изпитване

Данните за безопасността, описани по-долу за пациенти с възрастни и педиатрични пациенти на възраст 12 години и по-възрастни, отразяват експозицията на Алвеско в дози, вариращи от 80 MCG до 640 MCG два пъти дневно в пет двойни плацебо-контролирани клинични изпитвания. Проучванията с веднъж дневно дозиране се пропускат от базата данни за безопасност, тъй като дозите, изследвани веднъж дневно, са по -ниски от най -високите препоръчителни два пъти дневни дози. Петте проучвания бяха с продължителност на лечението от 12 до 16 седмици, едно от които включваше проследяване на удължаване на безопасността от една година. В проучванията за лечение от 12 до 16 седмици 720 пациенти (298 мъже и 422 жени) на възраст 12 години и повече са изложени на Алвеско. В дългосрочното изпитване за безопасност 197 пациенти (82 мъже и 115 жени) с тежка персистираща астма от едно от 12-седмичните изпитвания бяха повторно рандомизирани и лекувани до една година с Alvesco 320 MCG два пъти дневно.

Тъй като клиничните изпитвания се провеждат при широко различни състояния, нежелани реакционни проценти, наблюдавани при клиничните изпитвания на лекарство, не могат да бъдат пряко сравнени със проценти в клиничните изпитвания на друго лекарство и може да не отразяват процентите, наблюдавани на практика.

Възрастни и педиатрични пациенти на 12 години и по -възрастни

Четири от петте проучвания включват общо 624 пациенти на възраст 12 години и повече (359 жени и 265 мъже) с астма с различна тежест, които са лекувани с Alvesco 80 MCG 160 MCG или 320 MCG два пъти дневно в продължение на 12 до 16 седмици. Тези проучвания включват пациенти, които преди това използват или контролерна терапия (предимно инхалаторни кортикостероиди), или терапия с облекчение (терапия с бронходилататор). В тези изпитвания средната възраст е 39,1 години, а по -голямата част от пациентите (NULL,0%) са кавказки. В тези изпитвания 52,3% 59,8% и 54,1% от пациентите в Alvesco 80 MCG 160 MCG и 320 MCG лечебни групи съответно са имали поне едно нежелано събитие в сравнение с 58,0% в групата на плацебо.

Таблица 2 включва нежелани реакции за препоръчителните дози Алвеско, възникнали при честота ≥ 3% в която и да е от групите Алвеско и които са по -чести с Алвеско в сравнение с плацебо.

Таблица 2: Нежелани реакции с ≥ 3% честота, докладвани при пациенти ≥ 12-годишна възраст с Алвеско в клинични изпитвания, контролирани от САЩ, при пациенти, преди това на бронходилататори и/или инхалаторни кортикостероиди

Нежелана реакция Плацебо
(N = 507) %
Алвеско
80 MCG оферта
(N = 325) %
160 MCG оферта
(N = 127) %
320 MCG оферта
(N = 172) %
Главоболие 7.3 4.9 11.0 8.7
Назофарингит 7.5 10.5 8.7 7.0
Синузит 3.0 3.1 5.5 5.2
Pharyngolaryngeal болка 4.3 4.3 2.4 4.7
Горна дихателна инф. 6.5 7.1 8.7 4.1
Артралгия 1.0 0.9 2.4 3.5
Назално задръстване 1.6 1.8 5.5 2.9
Болка в крайността 1.0 0.3 3.1 2.3
Болки в гърба 2.0 0.6 3.1 1.2

Следните нежелани реакции са възникнали в тези клинични изпитвания, използващи Алвеско с честота по -малка от 1% и са настъпили при по -голяма честота с Алвеско, отколкото с плацебо.

Инфекции и зарази: Устна кандидоза

Респираторни разстройства: Кашлица

Стомашно -чревни разстройства: Гадене в сухота в устата

Общи разстройства и административни условия на обекта: Дискомфорт на гърдите

Дихателни гръдни и медиастинални нарушения: Дисфония сухо гърло

Петото проучване е 12-седмично клинично изпитване при пациенти с астма на възраст 12 години и по-възрастни, които преди това се нуждаят от перорални кортикостероиди (средна дневна доза перорален преднизон от 12 mg/ден), при които ефектите на Alvesco 320 MCG два пъти дневно (n = 47) и 640 mcg два пъти дневно (n = 49) са сравнени с плацебо (n = 45) за честотата на докладваните ADVERS) са били сравнени с плацето на всеки два пъти. Следните нежелани реакции са възникнали при честота ≥ 3% при пациенти, третирани с Алвеско и са по -чести в сравнение със плацебо: дрезгавост на синузитната дрезгавост на оралната кандидоза, която е пневмония назофарингит артралгия в гърба болка мускулно -скелетна болка болката уртикария.

Дългосрочни клинични изпитвания опит

Общо 197 пациенти на възраст 12 години и повече (82 мъже и 115 жени) от едно от 12-седмичните лечебни плацебо-контролирани проучвания бяха повторно рандомизирани до Циллонид 320 MCG два пъти дневно и се следват за една година. Профилът за безопасност от едногодишното проследяване беше подобен на този, наблюдаван в 12- и 16-седмичните проучвания за лечение

След маркетинг опит

В допълнение към нежеланите реакции, идентифицирани от клинични изпитвания, бяха идентифицирани следните нежелани реакции по време на световната употреба на цикъл-сорово вдишване на цикълнид. Тъй като тези реакции се отчитат доброволно от популация с несигурен размер, не винаги е възможно надеждно да се оцени тяхната честота или да се установи причинно -следствена връзка с експозицията на лекарства.

Нарушения на имунната система: Незабавни или забавени реакции на свръхчувствителност като ангиоедем с подуване на езика на устните и фаринкса.

Лекарствени взаимодействия за Алвеско

В клинични проучвания едновременното приложение на Цилксьонид и други лекарства, често използвани при лечението на астма (албутерол Формотерол), не оказват влияние върху фармакокинетиката на потокцилтонид [виж Клинична фармакология ].

In vitro изследвания и клинични фармакологични изследвания предполагат, че Des-ciclesonide няма потенциал за метаболитни лекарствени взаимодействия или лекарствени взаимодействия на базата на протеини [виж Клинична фармакология ].

В изследване на лекарственото взаимодействие съвместно администрация на перорално инхалаторно цикъльонид и перорален кетоконазол мощен инхибитор на цитохром Р450 3A4 повишава експозицията (AUC) на Des-Ciclesonide с приблизително 3,6-кратно при стабилно състояние, докато нивата на цикъльонид остават без промени.

Предупреждения за Алвеско

Включени като част от ПРЕДПАЗНИ МЕРКИ раздел.

Предпазни мерки за Алвеско

Орофарингеална кандидоза

В клинични изпитвания разработването на локализирани инфекции на устата и фаринкса с Кандида Albicans се среща при 32 от 3038 пациенти, лекувани с Алвеско. От 32 съобщени случая 20 са се наблюдавали при 1394 пациенти, лекувани с обща дневна доза от 320 MCG от Алвеско или по -висока. Повечето случаи на Кандида Инфекцията беше лека до умерена. Когато се появи такава инфекция, лекувайте я с подходяща локална или системна (т.е. орална противогъбична) терапия и прекратяване на Алвеско. Пациентите трябва да изплакнат устата след вдишване на Алвеско.

Остри епизоди на астма

Алвеско is not a bronchodilator и is not indicated for rapid relief of bronchospasm or other acute episodes of asthma. Patients should be instructed to contact their physician immediately if episodes of asthma not responsive to their usual doses of bronchodilators occur during the course of treatment with Алвеско. During such episodes patients may require therapy with oral corticosteroids.

Имуносупресия и риск от инфекции

Лицата, които използват лекарства, които потискат имунната система, са по -податливи на инфекции, отколкото здрави индивиди. Варицефесоксът и морбили например могат да имат по -сериозен или дори фатален курс при чувствителни деца или възрастни, използващи кортикостероиди. При такива деца или възрастни, които не са имали тези заболявания или са били правилно имунизирани конкретни грижи, за да се избегне експозицията. Как дозата и продължителността на приложението на кортикостероидите влияят върху риска от развитие на разпространена инфекция не е известно. Безопасността и ефективността на Алвеско не са установени при педиатрични пациенти на възраст под 12 години, а Алвеско не е посочен за употреба при тази популация. Приносът на основното заболяване и/или предишното лечение с кортикостероиди към риска също не е известен. Ако е изложена на профилактика на варицела с имунен глобулин на варицела (VZIG) (VZIG). Ако е изложена на морбили профилактика с обединена интрамускулна имуноглобулин (IG). (Вижте Предписване на информация за VZIG и IG ) Ако може да се вземе предвид варицелата с лечение с антивирусни средства.

Инхалаторните кортикостероиди трябва да се използват с повишено внимание, ако изобщо при пациенти с активна или спокойна туберкулозна инфекция на дихателните пътища; нелекувани системни гъбични бактериални вирусни или паразитни инфекции; или очен херпес симплекс.

Прехвърляне на пациенти от системна кортикостероидна терапия

HPA потискане/надбъбречна недостатъчност

Необходима е особена грижа за пациенти, които са прехвърлени от системно активни кортикостероиди в Алвеско, тъй като смъртта поради надбъбречна недостатъчност е настъпила при астматични пациенти по време и след трансфер от системни кортикостероиди до по-малко системно достъпни инхалаторни кортикостероиди. След оттегляне от системни кортикостероиди са необходими няколко месеца за възстановяване на хипоталамо-хипофизата-надбъбречна (HPA) функция.

Пациентите, които преди това са били поддържани на 20 mg или повече на ден преднизон (или неговия еквивалент), могат да бъдат най -податливи, особено когато техните системни кортикостероиди са почти изтеглени. През този период на потискане на HPA пациентите могат да проявяват признаци и симптоми на надбъбречна недостатъчност, когато са изложени на травма хирургия или инфекция (особено гастроентерит) или други състояния, свързани с тежка загуба на електролит. Въпреки че Алвеско може да осигури контрол на симптомите на астма по време на тези епизоди в препоръчителните дози, той доставя по -малко от нормалните физиологични количества кортикостероид системно и не осигурява минералокортикоидната активност, необходима за справяне с тези спешни случаи.

По време на периоди на стрес или тежка астматична атака пациенти, които са били изтеглени от системни кортикостероиди, трябва да бъдат инструктирани незабавно да възобновят пероралните кортикостероиди (в големи дози) и да се свържат с техните лекари за по -нататъшно обучение. Тези пациенти също трябва да бъдат инструктирани да носят медицинска идентификационна карта, показваща, че може да се нуждаят от допълнителни системни кортикостероиди по време на периоди на стрес или тежка астматична атака.

Пациентите, изискващи перорални кортикостероиди, трябва да се отбиват бавно от системната употреба на кортикостероиди след прехвърляне в Алвеско. Намаляването на преднизона може да се осъществи чрез намаляване на дневната доза преднизон с 2,5 mg седмично по време на терапията на Алвеско [виж Доза и приложение ]. Lung function (FEV 1 или AM PEFR) Употребата на бета-агонист и симптомите на астма трябва да се наблюдават внимателно по време на оттегляне на перорални кортикостероиди. В допълнение към наблюдението на признаците на астма и симптомите трябва да се наблюдават при признаци и симптоми на надбъбречна недостатъчност, като например слабост на гадността и хипотония на умора.

Разкриване на алергични състояния, потиснати преди това от системни кортикостероиди

Прехвърлянето на пациенти от системна стероидна терапия в Алвеско може да размаха алергичните състояния, потиснати преди това от системната стероидна терапия, напр. Ринит конюнктивит екзема артрит и еозинофилни състояния.

Симптоми на оттегляне на кортикостероиди

По време на оттегляне от перорални стероиди някои пациенти могат да изпитат симптоми на системно активно изтегляне на стероиди, напр. Съвместна и/или мускулна болка и депресия, въпреки поддържането или дори подобряването на дихателната функция.

Хиперкортизъм и потискане

Алвеско will often help control asthma symptoms with less suppression of HPA function than therapeutically similar oral doses of prednisone. Since individual sensitivity to effects on cortisol production exists physicians should consider this information when prescribing Алвеско. Particular care should be taken in observing patients postoperatively or during periods of stress for evidence of inadequate adrenal response.

Хиперкортицизмът и потискането на надбъбречните надбъбреци могат да възникнат, когато кортикостероидите, включително Alvesco, се използват при по-високи от препоръчаните дози [виж Доза и приложение ] или пациенти с риск от такива ефекти.

Намаляване на костна минерална плътност

Наблюдава се намаляване на костната минерална плътност (BMD) с дългосрочно приложение на продукти, съдържащи инхалаторни кортикостероиди. Клиничната значимост на малките промени в BMD по отношение на дългосрочните резултати не е известно. Пациентите с основни рискови фактори за намалено съдържание на минерали на костите, като продължително обездвижване на фамилната анамнеза за остеопороза или хронична употреба на лекарства, които могат да намалят костната маса (например антиконвулсанти и перорални кортикостероиди), трябва да бъдат наблюдавани и лекувани с установени стандарти на грижа.

Ефект върху растежа

Орално инхалаторните кортикостероиди, включително Алвеско, могат да причинят намаляване на скоростта на растеж, когато се прилагат на педиатрични пациенти. Безопасността и ефективността на Алвеско не са установени при педиатрични пациенти на възраст под 12 години, а Алвеско не е посочен за употреба при тази популация. Следете растежа на педиатрични пациенти, получаващи алвеско рутинно (например чрез стадиометрия). За да се сведе до минимум системните ефекти на кортикостероидите с перорално инхалатор, включително дозата на Alvesco Titrate на всеки пациент до най -ниската доза, която ефективно контролира неговите симптоми [виж Използване в конкретни популации ].

Глаукома и катаракта

Съобщава се за глаукома за повишено вътреочно налягане и катаракта след прилагането на инхалаторни кортикостероиди, включително Алвеско. Следователно внимателното наблюдение е оправдано при пациенти с промяна в зрението или с анамнеза за повишена глаукома на вътреочно налягане и/или катаракта.

В проучване на контролатора на сравнител на едногодишна продължителност на лечението 743 пациенти на 18 и повече години (средна възраст 43,1 години) с умерена персистираща астма са лекувани с Alvesco 320 MCG два пъти дневно и 742 са лекувани с белязана доза на сравнителния кортикостероид, подходящ за популацията на пациентите. Пациентите са имали офталмологичен преглед, който включва вътреочно измерване на налягането на зрителната острота и изследване на лампата на прореза в началото на 4 8 и 12 месеца. Опозитостите на обектива се класифицират с помощта на системата за непрозрачност на обектива III. След 52 седмици ефекти от клас I (минимално открити промени) са регистрирани при 36,1% от пациентите, третирани с Алвеско, и при 38,4% от пациентите, лекувани с кортикостероид, инхалиран с сравнителен. По -тежките ефекти от клас III са регистрирани при 8,1% от пациентите, лекувани с Алвеско, и 9,2% от пациентите, лекувани с инхалиран кортикостероид, инхатор. От тези пациенти, които имат ефект от клас III, честотата на задните подкапсулни непрозрачност е била 0,9% и 0,5% при пациентите, лекувани с Alvesco-и сравнителните сравнители.

Парадоксален бронхоспазъм

Както при други инхалаторни лекарства за астма, бронхоспазъм с незабавно увеличаване на хрипове може да възникне след дозиране. Ако се появи бронхоспазъм след дозиране с Алвеско, той трябва да се лекува незабавно с бързодействащ инхалаторен бронходилататор. Лечението с Алвеско трябва да бъде прекратено и трябва да се въведе алтернативно лечение.

Информация за консултирането на пациентите

Посъветвайте се на пациента да прочете одобреното от FDA етикетиране на пациента ( Информация за пациента и Инструкции за употреба ).

Орофарингеална кандидоза

Пациентите трябва да бъдат уведомени, че локализираните инфекции с Кандида Albicans се срещат в устата и фаринкса при някои пациенти. Ако се развие орофарингеална кандидоза, тя трябва да се лекува с подходяща локална или системна (т.е. перорална) противогъбична терапия, като все пак продължава с терапия на Alvesco, но понякога терапията с инхалатора на Alvesco може да се наложи да бъде временно прекъсната под близък медицински надзор. Изплакването на устата след инхалация е препоръчано [виж Предупреждения и предпазни мерки ].

Остри епизоди на астма

Пациентите трябва да бъдат посъветвани, че Алвеско не е бронходилататор и не е предназначен за употреба като спасителни лекарства за остра обостряне на астма. Симптомите на острата астма трябва да се лекуват с инхалаторен бета2-агонист с кратко действие като албутерол. Пациентът трябва да бъде инструктиран да се свърже незабавно с лекаря си, ако има влошаване на тяхната астма [виж Предупреждения и предпазни мерки ].

Имуносупресия и риск от инфекции

Пациентите, които са на имуносупресорни дози кортикостероиди, трябва да бъдат предупредени да избегнат излагането на варицела или морбили и ако са изложени да се консултират без забавяне на своя лекар. Пациентите трябва да бъдат информирани за потенциалното влошаване на съществуващите туберкулозни гъбични бактериални вирусни или паразитни инфекции или очен херпес симплекс [виж Предупреждения и предпазни мерки ].

Хиперкортизъм и потискане

Пациентите трябва да бъдат посъветвани, че Алвеско може да причини системни кортикостероидни ефекти от хиперкортицизма и потискането на надбъбречните надбъбреци. Освен това трябва да се инструктира пациентите, че смъртта поради надбъбречната недостатъчност са настъпили по време и след прехвърляне от системни кортикостероиди. Пациентите трябва да се наблюдават бавно от системни кортикостероиди, ако се прехвърлят в Алвеско [виж Предупреждения и предпазни мерки ].

Намаляване на костна минерална плътност

Пациентите, които са изложени на повишен риск от намален BMD, трябва да се уведомя Предупреждения и предпазни мерки ].

Ефект върху растежа

Пациентите трябва да бъдат информирани, че кортикостероидите с перорално инхалатор, включително Alvesco, могат да причинят намаляване на скоростта на растеж, когато се прилагат на педиатрични пациенти. Лекарите трябва да следват отблизо растежа на педиатрични пациенти, приемащи кортикостероиди по всеки път [виж Предупреждения и предпазни мерки ].

Използвайте всеки ден за най -добър ефект

Пациентите трябва да бъдат посъветвани да използват Алвеско на редовни интервали, тъй като неговата ефективност зависи от редовната употреба. Максималната полза не може да бъде постигната в продължение на четири седмици или повече след започване на лечение. Пациентът не трябва да увеличава предписаната доза, но трябва да се свърже с техния лекар, ако симптомите не се подобряват или ако състоянието се влоши. Пациентите трябва да бъдат инструктирани да не спират рязко Алвеско. Пациентите трябва да се свържат незабавно с лекаря си, ако употребата на Алвеско е прекратена.

Как да използвам Alvesco

Пациентите трябва да използват Alvesco само с задвижването, доставян с продукта. Когато прозорецът на дисплея на индикатора на дозата показва червена зона приблизително 20 инхалации са оставени и е необходимо зареждане. Изхвърлете инхалатора, когато индикаторът показва нула.

Неклинична токсикология

Канцерогенеза мутагенеза Нарушаване на плодовитостта

Двугодишни изследвания на карциногенността при B6C3F1 мишки и плъхове Wistar бяха проведени за оценка на канцерогенния потенциал на Циллонид. Ciclesonide demonstrated no tumorigenic potential in a study with mice that received oral doses up to 900 mcg/kg/day (approximately 7 times the MRHDOID in adults and pediatric patients ≥ 12 years of age on a mcg/m² basis) and a study with rats that received inhalation doses up to 193 mcg/kg/day (approximately 3 times the MRHDOID in adults and pediatric patients ≥ 12 -годишна възраст на база MCG/m²).

Цикумонидът не е мутаген в тест на AMES или в китайската хамстера белодробен V79 клетъчна/хипоксантин-гуанин фосфорибозил трансфераза (HGPRT) напред мутация и не е кластогенен при тест на човешкия лимфоцитен хромозомен аберационен анализ или в тест за инторово микронуклеус. Въпреки това Цълконидът е кластогенен при in vivo мишки микронуклеус тест. Едновременният референтен кортикостероид (дексаметазон) в това проучване показва подобни резултати.

Плодовитостта и репродуктивната ефективност не са засегнати при мъжки и женски плъхове, дозирани по устния път до 900 mcg/kg/ден (приблизително 15 пъти по -голям от MRHDOID при възрастни на базата на MCG/m²).

Използване в конкретни популации

Бременност

Обобщение на риска

Няма налични данни за употребата на Алвеско при бременни жени, за да се оцени рискът от лекарства, свързан с основни вродени дефекти, или неблагоприятни резултати от майката или плода. Има ниска системна експозиция след прилагане на алюлално инхалация на Alvesco при препоръчителната доза [виж Клинична фармакология ].

В проучвания за репродукция на животни цикъльонидът, прилаган по перорален път към бременни плъхове през периода на органогенеза, не е причинил данни за вреда на плода при дози до 15 пъти по -голяма от максимално препоръчителната доза за устна перорална инхалация на човека (Mrhdoid) от 640 mcg/ден. Teratogenicity characteristic of corticosteroids decreased body weight and/or skeletal variations were observed in rabbit fetuses following administration of ciclesonide to pregnant rabbits by the subcutaneous route during the period of organogenesis at doses 0.15 times the MRHDOID and higher on a mcg/m² basis (see Данни ). No evidence of fetal harm was observed in rabbits at doses of 0.03 times the MRHDOID.

Всички бременности имат основен риск от загуба на вроден дефект или други неблагоприятни резултати. Прогнозният фонов риск от големи вродени дефекти и спонтанен аборт за посоченото население е неизвестен. В общата популация на Съединените щати прогнозният основен риск от големи вродени дефекти и спонтанен аборт в клинично признатите бременности е съответно 2% до 4% и 15% до 20%.

Клинични съображения

Свързан с болестта майчин и/или риск от ембриона/плод

При жени с лошо или умерено контролирана астма съществува повишен риск от няколко перинатални резултата като преди еклампсия при майката и недоносената тегло на раждане и малки за гестационна възраст при новородените. Бременните жени с астма трябва да бъдат внимателно наблюдавани и лекарства, коригирани при необходимост, за да се поддържа оптимален контрол на астмата.

Данни

Данни за животните

В проучване за развитие на ембрио-фетално при бременни плъхове, дозирани по устния път през периода на органогенеза от гестационни дни от 6 до 15 цикълсинид, не е причинил доказателства за фетална вреда при дози до приблизително 15 пъти по-голяма от mrhdoid при възрастни (на база MCG/m² с майчината орална доза до 900 mcg/kg/ден). Токсичността на майката, доказано от намаленото повишаване на телесното тегло, се наблюдава при приблизително 15 пъти по -голямо от MRHDOID при възрастни (на база MCG/m² при майчина доза от 900 mcg/kg/ден); Въпреки това не се наблюдават неблагоприятни ефекти при дози 5 пъти по -голям от mrhdoid и по -ниски (на база MCG/m² с майчини устни дози от 300 mcg/kg/ден и по -ниски).

В две проучвания за развитие на ембрио-фетални при бременни зайци, дозирани по подкожния път през периода на органогенеза от гестационни дни от 6 до 18 Цимосид, причинява акампсия (огъване на краката) при плодове в дози 0,15 пъти по-голяма от mrhdoid и по-високи (на база MCG/m² с база на майката с орала с 5 MCG (на база MCG/M² с база на майката с орални дози от 5 mc/kg/по-високо) намаляване на теглото на майката с 5 MCG/kg/по-високо) намаляване на теглото на майката с 5 MC MC/kg/по-високо) Defl с тежест с тежест на 5 MCG/KG и по-високо) Defly Tight Weight Dose Exla fontanelle parchment-like skin and incomplete ossification of bones in fetuses at doses 0.76 times the MRHDOID (on a mcg/m² basis with a maternal subcutaneous dose of 25 mcg/kg/day) and embryo-fetal death at doses 3 times the MRHDOID and higher (on a mcg/m² basis with maternal subcutaneous doses of 100 mcg/kg/day and по -високо). Не са наблюдавани данни за вреда на плода в доза 0,03 пъти по -голяма от MRHDOID при възрастни (на база MCG/m² при подкожна доза от 1 mcg/kg/ден). Токсичността на майката се наблюдава при дози 3 пъти по -голяма от mrhdoid при възрастни (на база MCG/m² с подкожни дози от майката от 100 mcg/kg/ден и по -ниска); Въпреки това не се наблюдават доказателства за токсичност при дози 0,76 пъти по -голяма от mrhdoid и по -ниски (на база MCG/m² с подкожни дози от майката от 25 mcg/kg/ден и по -ниски).

В пренатално и следродилно проучване за развитие при бременни плъхове, дозирани по устния път от гестационен ден 6 до ден на лактация 20 Цикълсинид, не доведе до неблагоприятни въздействия върху развитието върху потомството при дози до приблизително 15 пъти по -голяма от mrhdoid (на база MCG/m² при майчински орални дози до 900 mcg/kg/kg/ден).

Лактация

Обобщение на риска

Няма данни за наличието на Циллонид или неговия метаболит в човешкото мляко ефектите върху кърменото кърмаче или ефектите върху производството на мляко. Не е известно дали прилагането на перорално вдишване на Циллонид при препоръчителната доза може да доведе до достатъчно системна абсорбция за получаване на откриваеми количества в човешкото мляко [виж Клинична фармакология ]. The developmental и health benefits of breastfeeding should be considered along with the mother’s clinical need for Алвеско и any potential adverse effects on the breastfed infant from Алвеско or from the underlying maternal condition.

Клинични съображения

Молекулното тегло на пролекарствения цикълнид (приблизително 541 g/mol) е достатъчно малко, за да се екскретира в кърмата; Въпреки това, афинитетът му с висок плазмен протеин и много кратък полуживот предполага, че в млякото ще има минимални количества. Обратно, полуживотът на активния метаболит des-ciclesonide (приблизително 471 g/mol) предполага, че излагането на кърмаче за кърмене ще бъде по-голямо от това на пролекарствения цикълнид. Въпреки че Цилксьонид и дескултонид имат незначителна орална бионаличност (както по-малко от 1% за всеки) поради ниската стомашно-чревна абсорбция и висок метаболизъм от първа пропаст, относителната противовъзпалителна активност на Des-Ciclesonid Клинична фармакология ]. The effects of this exposure on a nursing infant are unknown however like all corticosteroids suppression of the HPA function is a potential complication.

Данни

Данни за животните

Проучване с 14 C-Ciclesonide показва излагане на мляко на плъхове на плъхове на 0,006% от дозата, секретирана в млякото.

Педиатрична употреба

Безопасността и ефективността на Алвеско за поддържащо лечение на астма като профилактична терапия са установени при педиатрични пациенти на възраст 12 години и повече. Използването на Alvesco за тази индикация се подкрепя от доказателства от рандомизирани двойни слепи плацебоконтролирани клинични изпитвания с паралелна група при пациенти с възрастни и педиатрични на 12 години и по-възрастни с лека персистираща до тежка персистираща астма [виж Клинични изследвания ].

Безопасността и ефективността на Алвеско не са установени при педиатрични пациенти, на по -млади от 12 години.

Педиатрични пациенти на възраст от 4 до 11 години

Ефективността не е демонстрирана в две рандомизирани двойно-слепи плацебо-контролирани проучвания, които се провеждат за оценка на ефикасността на Alvesco 40 80 или 160 MCG, прилагани веднъж дневно в продължение на 12 седмици при пациенти на възраст 4 до 11 години с астма. Тези проучвания включват 1018 пациенти, които преди са използвали или контролерна терапия (предимно инхалаторни кортикостероиди), или терапия с облекчение (само терапия с бронходилататор). Пациентите са имали среден базов процент прогнозирани FEV 1 от 68%. Основната крайна точка на ефикасността беше сутрешният преди дозата FEV 1 . Други мерки за ефикасност включват симптоми на AM PEF астма и спасяване на употребата на албутерол. Проучванията показват непоследователни резултати и не установяват ефикасността на Алвеско при пациенти на възраст 4 до 11 години.

Педиатрични пациенти на 2 до 6 години

Ефективността не е демонстрирана в едно рандомизирано двойно-сляпо плацебо-контролирано проучване, което се провежда за оценка на ефикасността на Alvesco 40 80 и 160 MCG, прилагана веднъж дневно в продължение на 24 седмици при 992 пациенти на възраст 2 до 6 години с персистираща астма. Основната крайна точка на ефикасността беше времето за първото тежко обостряне на астмата [дефинирано като влошаване на астмата, което изисква лечение със системни (включително перорални) стероиди или всякакви други лекарства за астма, освен лечение с лекарства и спасителни лекарства] или липса на подобрение, което се случи първо. Не са наблюдавани статистически значими разлики за индивидуалните сравнения на Alvesco 40 80 и 160 MCG до плацебо. Резултатите от това проучване не установяват ефикасността на Алвеско при пациенти от 2 до 6 години.

Проучванията при деца под 2 години не са проведени предвид липсата на ефикасност, наблюдавана при пациенти от 2 до 11 години.

Ефект върху растежа

Контролираните клинични проучвания показват, че кортикостероидите, инхалатор на орално, могат да причинят намаляване на скоростта на растеж при педиатрични пациенти. В тези проучвания средното намаляване на скоростта на растеж е приблизително един сантиметър годишно (диапазон от 0,3 до 1,8 cm годишно) и изглежда е свързано с дозата и продължителността на експозицията. Този ефект е наблюдаван при липса на лабораторни доказателства за хипоталамо-хипофиза-надбъбречна (HPA) потискане на оста, което предполага, че скоростта на растеж е по-чувствителен показател за системно кортикостероидно излагане при педиатрични пациенти, отколкото някои често използвани тестове на функцията на HPA на ос. Дългосрочните ефекти от това намаляване на скоростта на растеж, свързано с кортикостероидите с перорално вдишване, включително въздействието върху крайната височина на възрастните възрастни. Потенциалът за наваксване на растеж след прекратяване на лечението с кортикостероиди с перорално инхалатор не е адекватно проучен. Растежът на педиатрични пациенти, получаващи кортикостероиди с перорално инхалатор, включително Алвеско трябва да се следи рутинно (например чрез стадиометрия).

Проведено е 52-седмично многоцентрово двойно-сляпо рандомизирано плацебо-контролирано паралелно-групи за оценка на ефекта на перорално инхалатора на Цилонид върху скоростта на растеж при 609 педиатрични пациенти с лека устойчива астма на възраст от 5 до 8,5 години. Групите за лечение включват перорално инхалатор на Цилксьонид 40 MCG или 160 MCG или плацебо, дадени веднъж дневно. Растежът се измерва с височина на стадиометъра по време на основните периоди на третиране и проследяване. Основното сравнение беше разликата в темповете на растеж между Ciclesonide 40 MCG и 160 MCG и плацебо групи. Заключения не могат да бъдат направени от това проучване, тъй като спазването не може да бъде гарантирано. Няма разлика в мерките за ефикасност между плацебо и групите Алвеско. Нивата на кръвта на Цилънид също не са измерени през едногодишния период на лечение. Потенциалните ефекти на растеж на продължителното лечение с перорално инхалаторни кортикостероиди трябва да се претеглят спрямо получените клинични ползи и наличието на безопасни и ефективни алтернативи за лечение с некортикостероиди. За да се сведе до минимум системните ефекти на кортикостероидите с перорално инхалатор, включително Alvesco, всеки пациент трябва да бъде титриран до най -ниската му ефективна доза.

Гериатрична употреба

Клиничните проучвания на Алвеско не включват достатъчен брой пациенти на възраст 65 години и повече, за да се определи дали реагират по различен начин от по -младите пациенти. Други отчетени клиничен опит не са установили разлики в отговорите между възрастни и по -млади пациенти. Като цяло изборът на доза за възрастен пациент трябва да бъде предпазлив обикновено, като се започне от ниския край на обхвата на дозиране, отразяващ по -голямата честота на намалена чернодробна бъбречна или сърдечна функция и на съпътстваща болест или друга лекарствена терапия.

Информация за предозиране за Алвеско

Хроничното предозиране може да доведе до признаци/симптоми на хиперкортизъм [виж Предупреждения и предпазни мерки ].

Противопоказания за Алвеско

Алвеско is contraindicated in:

  • Основното третиране на състоянието астматик или други остри епизоди на астма, където са необходими интензивни мерки.
  • Пациенти с известна свръхчувствителност към Цилонид или някоя от съставките на Алвеско. Съобщават се за редки случаи на реакции на свръхчувствителност с прояви като ангиоедем с подуване на езика на устните и фаринкса.

Клинична фармакология for Alvesco

Механизъм на действие

Цикумонидът е пролекарник, който е ензимно хидролизиран до фармакологично активен метаболит С21-дезизиобутирил-цикулнид (Des-Ciclesonide или RM1) след перорална инхалация. Des-Ciclesonide има противовъзпалителна активност с афинитет към глюкокортикоидни рецептори, която е 120 пъти по-голяма от родителското съединение и 12 пъти по-голямо от дексаметазон. Клиничното значение на тези открития е неизвестно.

Точните механизми на действие на кортикостероида при астма са неизвестни. Възпалението се признава като важен компонент в патогенезата на астмата. Показано е, че кортикостероидите имат широк спектър от инхибиторни активности срещу множество типове клетки (например мастоцити еозинофили базофили лимфоцити макрофаги и неутрофили) и медиатори (напр. Хистамин ейкозаноиди левкотриени и цитокини), участващи в астматичния отговор. Тези противовъзпалителни действия на кортикостероидите могат да допринесат за тяхната ефикасност при астма. Макар и ефективни за лечение на астма кортикостероиди не влияят незабавно на симптомите на астма. Отделните пациенти ще изпитат променливо време за начало и степен на облекчаване на симптомите. Максималната полза не може да бъде постигната в продължение на четири седмици или повече след започване на лечение. Когато кортикостероидите се прекратяват, стабилността на астмата може да продължи няколко дни или повече.

Фармакодинамика

Ефектът на цикъльонида чрез перорално вдишване върху оста HPA се оценява при възрастни с лека астма в 29-дневно плацебо-контролирано проучване. Двадесет и четири часа кортизол без урина е оценен при общо 59 възрастни, които са рандомизирани на 320 MCG или 640 MCG Alvesco, кортикостероид или плацебо два пъти два пъти. В края на 29 дни от лечението средната (SE) промяната от изходното ниво в 24 -часов кортизол без урина е била -8,69 (5.6) MCG/ден -4.01 (5.03) MCG/ден и -8,84 (5.02) MCG/ден за плацебо Alvesco 640 mcg/ден и алвео Разликата от плацебо за промяната от изходното ниво в 24-часов кортизол без урина е 4,7 mcg/ден [95% CI: -10.58; 19.93] и -0.16 mcg/ден [95% CI: -15.20; 14.89] За 640 mcg/ден или 1280 mcg/ден лечение съответно. Ефектите, наблюдавани при кортикостероида на сравнител, валидират чувствителността на изследването, за да се оцени ефекта на цикъльонида върху оста HPA.

Фармакокинетика

Абсорбция

Цълконидът и Des-Ciclesonide имат незначителна орална бионаличност (и двете са по-малко от 1%) поради ниската стомашно-чревна абсорбция и високия метаболизъм от първа пропаст. Серумните концентрации на Цилксонид и Дес-Циллонид се измерват и сравняват след перорално вдишване на 1280 MCG Алвеско и интравенозно приложение от 800 mcg цикъльонид. Абсолютната бионаличност на Циллонид е 22%, а относителната системна експозиция на потомци на дестилкулцид е 63%. Средната CMAX за Des-Ciclesonide е 1,02 ng/ml (диапазон 0,6-1,5 ng/ml) при астматични пациенти след единична доза от 1280 mcg чрез перорална инхалация. Средната CMAX (NULL,369 ng/ml) и AUC0-∞ (2.18 ngâ · hr/ml) на Des-ciclesonide след прилагане на множество дози на цикълнид 320 mcg веднъж дневно се увеличава до 26% в сравнение с прилагането на единична доза.

Разпределение

След интравенозно приложение на 800 mcg цикълнид обемът на разпределение на Циллонид и Дес-Цилъчър е приблизително 2,9 L/kg и 12,1 L/kg съответно. Процентът на Цилъчсонид и Дес-Циллонид, свързани с човешки плазмени протеини, средно ≥ 99% всеки с ≤ 1% от несвързаното лекарство, открито в системната циркулация. Деклемонидът не е обвързан значително с човешкия транскортин.

Елиминиране

След интравенозно приложение на 800 mcg цикълнид клирънсът на Циллонид и Дес-Циллонид са високи (приблизително 152 L/H/HR и 228 L/HR съответно). 14 С-белязаният с цикълнид се отделя предимно чрез изпражненията след интравенозно приложение (66%), което показва, че екскрецията през жлъчката е основният път на елиминиране. Приблизително 20% или по-малко от Des-Ciclesonide се отделя в урината. Средният полуживот на Цилксонид и Дес-Циллонид е съответно 0,71 часа и 6 до 7 часа. Tmax на десцелетанид се появява на 1,04 часа след вдишване на Циллонид.

Метаболизъм

Цилъстонидът се хидролизира към биологично активен метаболит дес-цикулонид от естерази. Des-Ciclesonide претърпява по-нататъшен метаболизъм в черния дроб до допълнителни метаболити главно от цитохром P450 (CYP) 3A4 изозим и в по-малка степен от CYP 2D6. Пълният диапазон от потенциално активни метаболити на Циллонид не е характеризиран. След интравенозно приложение на 14 C-Ciclesonide 19,3% от получената радиоактивност в плазмата се отчита чрез цикълнид или des-ciclesonide; Остатъкът може да е резултат от други, все още неидентифицирани множество метаболити.

Специфични популации

Фармакокинетичният анализ на популацията показа, че характеристиките на дестикултонид след перорално вдишване на цикъльонид не са значително повлияни от различни характеристики на предмета, като възрастова раса на телесното тегло и пол.

Пациенти с бъбречно увреждане

Проучвания при пациенти с бъбречно увреждане не са проведени, тъй като бъбречната екскреция на Des-ciclesonide е незначителен път на елиминиране (≤ 20%).

Пациенти с чернодробно увреждане

В сравнение със здрави индивиди, системната експозиция на потокцилцилцид (CMAX и AUC) при пациенти с умерено до тежко увреждане на черния дроб се увеличава в диапазона от 1,4 до 2,7 пъти след 1280 mcg бивш акторатор цикълнид чрез перорално вдишване. Регулирането на дозата при пациенти с увреждане на черния дроб не е необходимо.

Проучвания за взаимодействие с лекарства

В изследване на лекарственото взаимодействие съвместно администрация на перорално инхалаторен цикълнид и перорален кетоконазол мощен инхибитор на цитохром Р450 3A4 повишава експозицията (AUC) на цитонид активен метаболит дес-цикулонид с приблизително 3.6 пъти в стационарно състояние, докато нивата на цикълнид остават без възпиране [виж [виж [виж [виж, докато се оставя безпроблемно, без да се пречиства на безпроблемен [AUC Лекарствени взаимодействия ].

В друго проучване на лекарственото взаимодействие с една доза съвместно прилагане на перорално инхалатор на цикъльонид и перорален еритромицин инхибитор на цитохром Р450 3A4 не оказва влияние върху фармакокинетиката на или цикъльонид и активния метаболит дес-цикълнид или еритромицин.

Въз основа на in vitro проучвания в човешки чернодробни микрозоми des-ciclesonide няма значителен потенциал да инхибира или индуцира метаболизма на други лекарства, метаболизирани от CYP450 ензими. Инхибиторният потенциал на цикълонид върху CYP450 изоензими не е проучен. Въз основа на in vitro човешки хепатоцитни изследвания Цълконид и де-цикулсид нямат потенциал да индуцират големи CYP450 изозими.

Изследванията in vitro показват, че свързването на плазмения протеин на Des-ciclesonide не е повлияно от варфарин или салицилова киселина, което показва, че не е потенциал за лекарствени взаимодействия на базата на протеин.

Дългосрочни странични ефекти на Neulasta

При фармакокинетичен анализ на популацията, включващ 98 субекта, съвместно администриране на Алвеско и Албутерол не оказва влияние върху фармакокинетиката на Des-Ciclesonide.

Съпътстващото приложение на Alvesco (640 MCG) и Formoterol (24 MCG) не промени фармакокинетиката или на Des-Ciclesonide, или на Formoterol.

Клинични изследвания

Астма

Възрастни и педиатрични пациенти на 12 години и по -възрастни

Ефикасността на Алвеско се оценява в шест рандомизирани двойно-слепи плацебо-контролирани клинични изпитвания с паралелна група при пациенти при възрастни и педиатрични на 12 години и по-възрастна с лека персистираща до тежка персистираща астма. Шестте изпитвания включват две проучвания, в които пациентите са били лекувани с Алвеско, прилаган веднъж дневно в продължение на 12 седмици две проучвания, в които пациентите са били лекувани с Алвеско два пъти дневно в продължение на 12 седмици и две изпитвания, в които пациентите са били лекувани с Алвеско, използвайки веднъж дневно и два пъти дневно режим на дозиране в продължение на 12 или 16 седмици. Тези изпитвания включват общо 2843 пациенти (1167 мъже и 1676 жени), от които 296 са педиатрични пациенти на възраст 12 до 17 години. Основната крайна точка на ефикасността в четири от шестте изпитания беше средната промяна от изходното ниво на FEV преди дозата 1 в Endpoint (последно наблюдение). Fev 1 се измерва преди сутрешната доза лекарства за изследване (в края на денонощния интервал на дозиране за веднъж дневно приложение и в края на 12-часовия интервал на дозиране за два пъти дневно приложение). В едно от шестте изпитания основната крайна точка беше промяната от изходното ниво на средната стойност на FEV преди дозата 1 На 12 и 16 седмици и в поредното намаление на изпитването на орална употреба на кортикостероиди беше основната крайна точка на ефикасността. Допълнителни променливи на ефикасността са симптоми на астма Използване на албутерол за спасяване AM PEF нощни пробуждания и оттегляне поради влошаване на астмата.

Двете веднъж дневни изпитвания за дозиране са идентично проектирани и са проведени за оценка на ефикасността на Alvesco 80 160 и 320 MCG, дадени веднъж на сутринта в продължение на 12 седмици при пациенти с лека до умерена астма, поддържана на инхалаторни бронходилатори и/или кортикостероиди. Резултатите от тези изпитвания заедно с други изпитвания, които изследват два пъти дневно дозиране, показват, че веднъж дневното дозиране не е оптималният режим на дозиране на Алвеско.

Четири проучвания са предназначени да оценят ефикасността на Алвеско, прилаган два пъти дневно при пациенти с астма, които преди това се поддържаха само на бронходилататори, които преди това се поддържаха на инхалаторни кортикостероиди и пациенти, които преди това се поддържаха на перорални кортикостероиди.

Пациентите, поддържани преди това само на бронходилататори

Ефикасността на Алвеско е изследвана в рандомизирано двойно-сляпо плацебо-контролирано изпитване при 691 пациенти с леко до умерена персистираща астма (среден базов процент прогнозира FEV 1 от 72%) преди това, използвайки терапия с облекчение (само бронходилататорна терапия). В това изпитване пациентите са лекувани с Alvesco 160 MCG веднъж дневно сутрин в продължение на 16 седмици Alvesco 80 MCG два пъти дневно в продължение на 16 седмици или Alvesco 80 MCG два пъти дневно в продължение на 4 седмици, последвани от Alvesco 160 MCG веднъж дневно сутрин в продължение на 12 седмици или плацебо в продължение на 16 седмици.

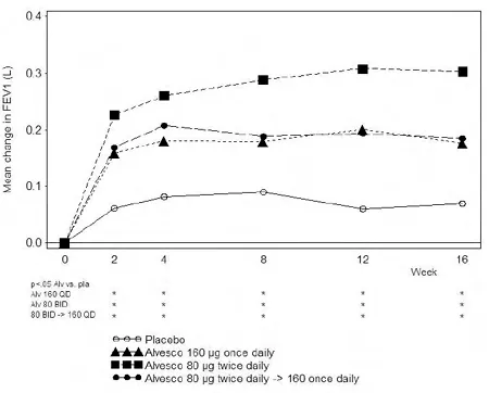
В сравнение с плацебо всички дози Alvesco показват статистически значимо подобрение при 16-та седмица в AM преди дозата FEV 1 . Увеличаването на AM преди дозата FEV 1 При пациентите, лекувани с Alvesco 80 MCG два пъти дневно, е значително по -голям от този, наблюдаван при пациенти, лекувани с Alvesco 160 MCG, прилагани веднъж дневно. В сравнение с плацебо увеличение на AM преди дозата FEV 1 са били 0,12 L или 5,0% за Alvesco 160 MCG веднъж дневно 0,24 L или 10,4% за Alvesco 80 MCG два пъти дневно 0,13 L или 5,0% за Alvesco 80 MCG два пъти дневно в продължение на 4 седмици, последвани от Alvesco 160 MCG веднъж дневно. Други мерки за контрол на астмата AM PEF и нуждата от спасяване на албутерол също се подобриха във всички групи за лечение на Alvesco в сравнение с плацебо, но подобрението беше най -голямо с Alvesco 80 MCG два пъти дневно рамо за лечение. Прекъсванията от проучването за липса на ефикасност са по -ниски в групите за лечение на Алвеско в сравнение с плацебо. По -малко пациенти, получаващи Алвеско, изпитват влошаване на астма, отколкото пациентите, получаващи плацебо. AM преди дозата FEV 1 Резултатите са показани на фигура 1 по -долу.

Фигура 1: 16-седмично двойно-сляпо клинично изпитване, оценяващо Алвеско, администрирано веднъж дневно два пъти дневно или два пъти дневно в продължение на 4 седмици, последвано от веднъж дневно в продължение на 12 седмици при пациенти с възрастни и педиатрии (12 години и повече) с лека до умерена астма, поддържана преди това само на бронходилататори

Пациентите, поддържани преди това на инхалаторни кортикостероиди

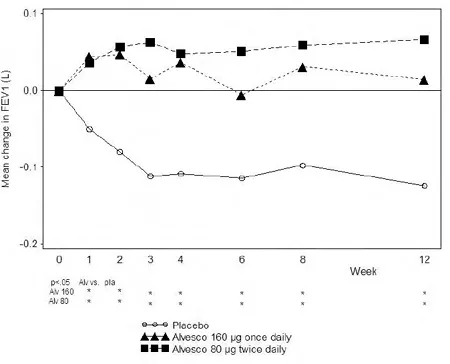
Ефикасността на Алвеско при пациенти с астма, поддържана преди това върху инхалаторни кортикостероиди, се оценява в две рандомизирани двойно-слепи плацебо-контролирани изпитвания с продължителност на лечението с 12 седмици. В едно изпитване на астматични пациенти с лека до умерена персистираща астма (среден базов процент прогнозира FEV 1 от 79%), поддържани по -рано на терапия на контролер (предимно инхалаторни кортикостероиди), се лекуват с Alvesco 160 MCG веднъж дневно сутринта Alvesco 80 MCG два пъти дневно или плацебо.

AM преди дозата FEV 1 Резултатите са показани на фигура 2 по -долу.

Фигура 2: 12-седмично двойно-сляпо клинично изпитване, оценяващо Алвеско, прилагано веднъж и два пъти дневно при пациенти с възрастни и педиатрични (12 години и повече) с лека до умерена астма, поддържана преди това върху инхалаторни кортикостероиди

Статистически значително повече увеличения на AM преди дозата FEV 1 В сравнение с плацебо се наблюдава на 12 седмици за Alvesco 160 MCG веднъж дневно (NULL,14 L или 5,7%) и Alvesco 80 MCG два пъти дневно (NULL,19 L или 7,5%). Резултатите от симптомите на астма са AM PEF и намалената нужда от спасяване на албутерол остават относително стабилни в групите за лечение на Алвеско в сравнение с лекото влошаване на плацебо. В сравнение с плацебо по -малко пациенти, получаващи Алвеско, изпитват влошаване на астмата.

В другото изпитване 257 пациенти с умерена до тежка персистираща астма (среден базов процент прогнозира FEV 1 от 54%) са лекувани с Alvesco 160 или 320 MCG два пъти дневно в продължение на 12 седмици. AM преди дозата FEV 1 Резултатите са показани на фигура 3 по -долу.

Фигура 3: 12-седмично двойно-сляпо клинично изпитване, оценяващо Алвеско, прилагано два пъти дневно при пациенти с възрастни и педиатрични (12 години и повече) с тежка астма

В сравнение с плацебо и двете дози Alvesco показват статистически значително повече подобрение на FEV преди дозата 1 (NULL,11 L или 8,6% и 0,18 L или 11,8%). Други мерки за контрол на астма AM симптомите на PEF и нуждата от спасяване на албутерол също показват подобрение в сравнение с плацебо. В сравнение с плацебо по -малко пациенти, лекувани с Алвеско, изпитват влошаване на астмата.

Пациентите, лекувани с Алвеско, също са по -малко склонни да преустановят участието на проучването поради влошаване на астмата.

Пациентите, поддържани преди това на перорални кортикостероиди

При 12-седмично двойно-сляпо клинично изпитване 140 пациенти с тежка персистираща астма (средна FEV 1 На базовата линия 53% прогнозирани), които са се провалили предишни усилия за елиминиране на устната употреба на преднизон и са установили най -ниската си ефективна доза преднизон, са рандомизирани на Алвеско, дадено чрез перорално вдишване в дози от 320 или 640 mcg два пъти дневно или плацебо. Средната доза преднизон в началото е приблизително 12 mg/ден. В сравнение с пациентите на плацебо, чиито изисквания за преднизон се увеличават с 4% от тези, лекувани с Alvesco 320 MCG и 640 MCG два пъти дневно, значително намаляват изискванията си за преднизон съответно с 47% и 62%. В същото време пациентите на Алвеско поддържат контрола на астмата, както се отразява от симптомите на белодробната функция и нуждата от спасяване на албутерол. Значително по -голям процент от пациентите на Алвеско са успели да намалят употребата на орален преднизон с 50% или повече в сравнение с плацебо (64% и 77% от пациентите, лекувани с 320 MCG и 640 MCG, съответно два пъти дневно в сравнение с 33% от пациентите при плацебо). Няма статистически значима разлика, наблюдавана при Alvesco 640 MCG два пъти дневно в сравнение с Alvesco 320 MCG два пъти дневно.

Информация за пациента за Алвеско

Алвеско®
[ael-€@koγ] (цикъл)

ЗАБЕЛЕЖКА: Само за перорално вдишване

Не Използвайте своя Alvesco близо до топлина или отворен пламък.

Прочетете тази информационна листовка на пациента, преди да започнете да използвате Alvesco и всеки път, когато получите зареждане. Може да има нова информация. Тази информация не заема мястото да разговаряте с вашия доставчик на здравни грижи за вашето медицинско състояние или вашето лечение. Ако имате въпроси относно Alvesco, попитайте вашия доставчик на здравни грижи или фармацевт.

Какво е Алвеско?

Алвеско is a prescription medicine used for the control и prevention of asthma in adults и children 12 years of age и older.

Алвеско contains Цикулонид which is a man-made (synthetic) corticosteroid. Corticosteroids are natural substances found in the body и reduce inflammation. When you inhale Алвеско it may help to control и prevent your symptoms of asthma by reducing your airway inflammation.

Алвеско is not for the relief of acute bronchospasm. Алвеско is not a bronchodilator и does not treat sudden symptoms of an asthma attack such as хрипове cough shortness of breath и chest болка or tightness. Винаги имайте бързодействащо лекарство за бронходилататор (спасителен инхалатор) със себе си, за да лекувате внезапни симптоми.

Не е известно дали Алвеско е безопасен и ефективен при деца на 11 и по -млади.

Кой не трябва да използва Алвеско?

Не use Алвеско:

  • за лечение на статус астматик или други внезапни симптоми на астма. Alvesco не е спасителен инхалатор и не трябва да се използва, за да ви даде бързо облекчение от вашата астматична атака. Винаги използвайте спасителен инхалатор като албутерол по време на внезапна атака на астма.
  • Ако сте алергични към Цилонид или някоя от съставките в Алвеско. Вижте края на тази информационна листовка за пациент за пълен списък на съставките в Алвеско.

Какво трябва да кажа на моя доставчик на здравни услуги, преди да използвам Alvesco?

Преди да използвате Alvesco, кажете на вашия доставчик на здравни грижи, ако:

Зелено хапче улична стойност 214
  • са имали или са имали проблеми с очите като повишена глаукома или катаракта на очното налягане.
  • имат инфекции, включително туберкулоза или очен херпес симплекс.
  • не са били или са били ваксинирани за варицела или морбили.
  • са бременни или планират да забременеят. Не е известно дали Алвеско ще навреди на вашето неродено бебе. Говорете с вашия доставчик на здравни грижи, ако сте бременна или планирате да забременеете.
  • са кърмещи или планират да кърмят. Не е известно дали Алвеско преминава в кърмата ви. Говорете с вашия доставчик на здравни грижи за най -добрия начин да нахраните бебето си, ако използвате Alvesco.

Кажете на вашия доставчик на здравни грижи за всички лекарства, които приемате включително лекарства за рецепта и не-рецепта витамини и билкови добавки.

Познайте лекарствата, които приемате. Поддържайте списък с тях, за да покажете на вашия доставчик на здравни услуги и фармацевт, когато получите ново лекарство.

Как трябва да използвам Alvesco?

  • Прочетете инструкциите за използване в края на тази листовка за конкретна информация за правилния начин за използване на Alvesco.
  • Използвайте Alvesco точно както вашият доставчик на здравни грижи ви казва да го използвате. Не приемайте повече от лекарството си или го приемайте по -често, отколкото ви казва вашият доставчик на здравни грижи.
  • Трябва да използвате Alvesco редовно. Може да отнеме 4 седмици или повече, след като започнете да използвате Alvesco за вашите симптоми на астма, за да се подобрите. Не stop using Алвеско even if you are feeling better unless your healthcare provider tells you to.
  • Ако симптомите ви не се подобряват или се влошават, обадете се на вашия доставчик на здравни грижи.
  • Вашият доставчик на здравни грижи може да предпише спасителен инхалатор за спешно облекчаване на внезапни атаки на астма. Обадете се на вашия доставчик на здравни грижи, ако имате:
    • Астматична атака, която не отговаря на вашия спасителен инхалатор или
    • Имате нужда от повече от вашия спасителен инхалатор от обикновено.
  • Ако използвате друго инхалаторно лекарство, помолете вашия доставчик на здравни грижи за инструкции как да го използвате, докато използвате Alvesco.

Какви са възможните странични ефекти на Алвеско?

Алвеско may cause serious side effects including:

  • Тродка (Candida) гъбична инфекция на устата или гърлото на носа ви. Кажете на вашия доставчик на здравни грижи, ако имате дискомфорт или болка в гърлото, имайте дрезгавост в гласа си или имате някакво зачервяване или бели оцветени петна в устата или гърлото. Изплакнете устата си, след като използвате своя Alvesco.
  • Проблеми с имунната система, които могат да увеличат риска от инфекции. По -вероятно е да получите инфекции, ако приемате лекарства, които могат да отслабят способността на тялото ви да се бори с инфекциите. Избягвайте контакт с хора, които имат заразни заболявания като варицела или морбили, докато използвате Alvesco. Симптомите на инфекция могат да включват:
    • треска
    • болка
    • болки
    • втрисане
    • Чувствам се уморен
    • гадене
    • повръщане
  • Надбъбречна недостатъчност. Надбъбречната недостатъчност е състояние, при което надбъбречните жлези не правят достатъчно стероидни хормони. Вашият доставчик на здравни услуги ще ви следва отблизо, ако приемате стероиди през устата и ги намаляват (заострени) или сте превключени в Alvesco. Хората са умрели, докато стероидите се намаляват и когато хората са преминали от стероиди през устата към инхалаторни стероиди като Алвеско. Ако сте подложени на стрес, като например при операция след операция или травма, може да се нуждаете отново от стероиди през устата.

Обадете се на вашия доставчик на здравни услуги веднага, ако имате следните симптоми на надбъбречна недостатъчност:

    • умора
    • слабост
    • замаяност
    • гадене that does not go away
    • повръщане that does not go away
  • Намалена костна маса (костна минерална плътност). Хората, които използват инхалаторни стероидни лекарства за дълго време, могат да имат повишен риск от намалена кост на костите, което може да повлияе на силата на костите. Говорете с вашия доставчик на здравни грижи за всякакви притеснения, които може да имате относно здравето на костите.
  • Забавен или забавен растеж на децата. Растежът на детето трябва да се проверява редовно, докато се използва Alvesco.
  • Проблеми с очите като глаукома и катаракта. Ако имате история на глаукома или катаракта или имате фамилна анамнеза за очни проблеми, трябва да имате редовни очни изпити, докато използвате Alvesco.
  • Повишеното хрипове (бронхоспазъм) може да се случи веднага след използването на Alvesco. Спрете да използвате Alvesco и използвайте инхалаторен бързодействащ бронходилататор (Rescue Indaler) веднага.

Кажете на вашия доставчик на здравни услуги веднага, за да може да бъде предписано ново лекарство за контрол на вашата астма.

Най -често срещаните странични ефекти с Alvesco включват:

  • главоболие
  • подуване на носа и гърлото (назофарингит)
  • Подуване на синусите (синузит)
  • болка в гърлото
  • Горна дихателна инфекция
  • Болки в ставите (arthralgia)
  • Назално задръстване
  • болка in arms legs и back

Кажете на вашия доставчик на здравни грижи за всеки страничен ефект, който ви притеснява или който не отшумява. Това не са всички възможни странични ефекти с Алвеско. За повече информация попитайте вашия доставчик на здравни грижи или фармацевт.

Обадете се на вашия доставчик на здравни грижи за медицински съвети относно страничните ефекти. Можете да отчитате странични ефекти на FDA на 1-800-FDA-1088.

Как трябва да съхранявам Alvesco?

  • Съхранявайте Алвеско при стайна температура между 59 ° F до 86 ° F (15 ° C до 30 ° C)
  • Не пробиване на кутията Алвеско
  • Не Съхранявайте кутията Alvesco близо до топлина или пламък. Температурите над 120 ° F (49 ° C) могат да доведат до спукване на кутията.
  • Не Хвърлете кутията на Алвеско в пожар или изгаряне.
  • Безопасно изхвърлете лекарството, което е остаряло или вече не е необходимо.
  • Дръжте Алвеско чист и сух по всяко време.

Дръжте Алвеско и всички лекарства извън обсега на децата.

Обща информация за безопасното и ефективно използване на Алвеско

Лекарствата понякога се предписват за цели, различни от тези, изброени в информационна листовка за пациент. Не използвайте Alvesco за условие, за което не е предписано. Не давайте Алвеско на други хора, дори ако те имат същите симптоми, които имате. Може да им навреди.

Тази информация за пациента обобщава най -важната информация за Алвеско. Ако искате повече информация, поговорете с вашия доставчик на здравни грижи. Можете да попитате вашия фармацевт или доставчик на здравни грижи за информация за Alvesco, която е написана за здравни специалисти. За повече информация отидете на www.alvesco.us/.

Какви са съставките в Алвеско?

Активна съставка: Цикулонид

Неактивни съставки: гориво HFA-134A и етанол

Инструкции за употреба

Алвеско®
[AEL-€ ̃ves- Koγ (цикъл)

Прочетете тези инструкции за използване на Alvesco, преди да започнете да го използвате и всеки път, когато получите зареждане. Може да има нова информация. Тази листовка не заема мястото да разговаряте с вашия доставчик на здравни грижи за вашето медицинско състояние или лечение.

ЗАБЕЛЕЖКА: Само за перорално вдишване

Не Използвайте своя Alvesco близо до топлина или отворен пламък.

Частите на вашия Алвеско

Алвеско comes as a canister that fits into an actuator with a dose indicator. Не use the actuator with a canister of medicine from any other inhaler. Не use Алвеско canister with an actuator from any other inhaler. (See Фигура a)

Фигура a

Грундиране your Алвеско for use

  • Извадете своя Alvesco от пакета му.
  • Преди да използвате Alvesco за първи път Или ако не сте използвали лекарството си в продължение на 10 дни подред, ще трябва да разгледате своето устройство Alvesco.
  • Извадете пластмасовата капачка. Погледнете индикатора на дозата отгоре на инхалатора. Уверете се, че показателят на прозореца на показателя на дозата е преди маркировката за инхалация 60, преди да използвате вашия Alvesco за първи път.
  • Дръжте задвижването изправен. Напръскайте 3 пъти във въздуха далеч от лицето, като натиснете напълно върху центъра на бутона за индикатор на дозата. (Вижте Фигура Б)
  • Проверете прозореца на дисплея на индикатора на дозата след спрея за грундиране и преди първата употреба, за да се уверите, че той показва, че има 60 спрея, останали във вашето устройство Alvesco. Ако във вашия Alvesco не са останали 60 спрея след първия употреба, го върнете в аптеката.
  • Уверете се, че кутията е здраво поставена в мундщука всеки път, когато използвате вашия Alvesco.
  • Не е необходимо да разклащате устройството си Alvesco, преди да го използвате.

Използване на вашия Alvesco

Стъпка 1. Извадете капачката от мундщука. (Вижте Фигура В)

Стъпка 2. Дръжте задвижването изправен между палеца на показалеца и средния пръст с мундщука, насочен към вас. (Вижте Фигура D)

Стъпка 3. Вдишайте възможно най -пълно, колкото можете удобно. Затворете устните си около мундщука, като държите езика си под него. (Вижте Фигура д)

Стъпка 4.

  • Докато дишате дълбоко и бавно натиснете надолу в центъра на индикатора на дозата с пръст. Натиснете напълно върху кутията, докато спре да се движи в задвижването, докато доставя дозата ви.
  • Когато сте приключили дишането в задръжте дъха си за около 10 секунди или толкова дълго, колкото е удобно.
  • Забележка: Нормално е да чуете меко щракване от индикатора, тъй като той отброява по време на употреба.

Стъпка 5.

Извадете пръста си напълно от центъра на индикатора на дозата и извадете инхалатора от устата си. Вдишайте нежно. (Вижте Фигура F)

Стъпка 6. Сменете капачката, за да поддържате мундщука чиста.

Стъпка 7 . Изплакнете устата си с вода и я изплюйте. Не поглъщайте.

Почистване на вашето устройство Alvesco

  • Почиствайте мундщука седмично с чиста суха тъкан както отвътре, така и отвън. (Вижте Фигура G)
  • Избършете предната част на малката дупка, където лекарството излиза със суха сгъната тъкан. (Вижте фигура Н)
  • Не wash or put any part of your Алвеско unit in water or any other liquids.

Как да разберете дали вашият канистър Alvesco е празен

  • Вашето устройство Alvesco е снабдено с дисплей на индикатор за доза, който ви показва колко от лекарството ви е останало след всяка употреба.
  • Всяка кутия на Alvesco съдържа достатъчно лекарства, за да напръскате лекарството си 60 пъти. Това не се брои първите спрейове, използвани за грундиране.
  • Дисплеят на индикатора на дозата отброява с 10 и ще премести всеки десети път, когато вземете пух (т.е. 60-50-40 и т.н.).
  • Прозорецът на дисплея на индикатора на дозата ще стане червен, когато са останали само 20 спрея. Това означава, че скоро трябва да замените инхалатора си.
  • Когато прозорецът на дисплея на индикатора на дозата чете 0, трябва да изхвърлите устройството си Alvesco. (Вижте фигура I)
  • Въпреки че вашето устройство Alvesco е оборудвано с дисплей на индикатор за доза, за да се определи броят на оставащите спрейове, трябва да следите броя на спрейовете, използвани от всяка кутия на вашия Alvesco Unit.

Тази PPI и инструкции за употреба са одобрени от Американската администрация по храните и лекарствата.