Информацията В Сайта Не Е Медицински Съвет. Ние Не Продаваме Нищо. Точността На Превода Не Е Гарантирана. Отказ От Отговорност



Lotrel

Резюме на наркотиците

Какво е Lotrel?

Lotrel ( амлодипин бесилат и Benazepril хидрохлорид) е комбинация от инхибитор на ангиотензин -конвертиращ ензим (ACE) и a блокер на калциевия канал Използва се за лечение на високо кръвно налягане (хипертония), което е устойчиво на лечение или само от амилодипин или бензаприл. Lotrel се използва обикновено, след като едно от другите лекарства не успя да контролира хипертонията на пациента. Lotrel е достъпен в генеричен форма.

Какви са страничните ефекти на Lotrel?

Общите странични ефекти на LotRel включват:



  • кашлица
  • замаяност
  • Лекоглавия
  • главоболие и
  • Подуване на ръцете/глезените/краката.

Сериозните странични ефекти на LotRel включват:



  • обрив
  • Нова или влошена болка в гърдите
  • пожълтяваща кожа или очи ( жълтеница )
  • гадене
  • Болка на горния стомах
  • сърбеж
  • необичайна слабост или уморено чувство
  • Бързо наддаване на тегло
  • треска
  • втрисане
  • възпалено гърло
  • Болки в тялото
  • Симптоми на грип
  • Висока калий (бавна сърдечна честота слаба импулсна мускулна слабост на чувството) или
  • Ангиоедем (подуване). Ангиоедем, ако тежкото може да причини език и Larynx подуване, което инхибира или блокира дихателните пътища; Това аварийно състояние се нуждае от незабавно лечение.

Потърсете медицинска помощ или се обадете на 911 наведнъж, ако имате следните сериозни странични ефекти:

  • Сериозни симптоми на очите, като например внезапна загуба на зрение, замъглено зрение Тунел Виждане болка в очите или подуване или виждане на ореоли около светлините;
  • Сериозни сърдечни симптоми като бързи нередовни или ударни сърдечни удари; трептене в гърдите ви; задух; и внезапна замаяност лекомисленост или раздаване;
  • Тежка главоболие объркване затънала речева ръка или крак слабост проблем за ходене на загуба на координация, чувствайки се нестабилни много твърди мускули висока треска обилно изпотяване или тремор.

Този документ не съдържа всички възможни странични ефекти, а други могат да възникнат. Консултирайте се с вашия лекар за допълнителна информация за страничните ефекти.



Дозировка за Lotrel

Lotrel (амлодипин/Benazepril) capsules are available in the following combinations: 2.5/10 mg 5/10 mg 5/20 mg 5/40 mg 10/20 mg и 10/40 mg. Initial treatments usually begin with the 2.5/10 mg tablet once a day.

Какви лекарства вещества или добавки взаимодействат с Lotrel?

Lotrel може да взаимодейства със заместители на сол или калий добавя алкохолни златни инжекции снимки за алергия към пчелна ужила Литий Симвастатин Нестероидни противовъзпалителни лекарства (НСПВС) или диуретици (водни хапчета). Кажете на Вашия лекар всички лекарства и добавки, които използвате.

Lotrel по време на бременност и кърмене

Амлодипинът и беназеприл могат да преминат в кърма и могат да навредят на кърмещо бебе. Кърменето по време на използването на Lotrel не се препоръчва. Lotrel не е одобрен за употреба в педиатричната популация.

Допълнителна информация

Нашият лекарствен център за странични ефекти на Lotrel предоставя изчерпателен поглед върху наличната информация за лекарството върху потенциалните странични ефекти при приемането на това лекарство.

Информация за наркотиците на FDA

Предупреждение

Фетална токсичност

Когато се открие бременността, преустановете Lotrel възможно най -скоро.

Лекарствата, които действат директно върху системата Renin-Angiotensin (RAS), могат да причинят нараняване и смърт на развиващия се плод

Описание за Lotrel

Lotrel е комбинация от амлодипин бесилат и беназеприл хидрохлорид.

Беназеприл хидрохлорид е бял до бели кристален прах, разтворим (по-голям от 100 mg/ml) във вода

Емпиричната му формула е c 24 H 28 N 2 O 5 • HCl и молекулното му тегло е 460,96.

Benazeprilat Активният метаболит на Benazepril е ненулфхидрил ангиотензин-конвертиращ ензим (ACE) инхибитор. Benazepril се превръща в Benazeprilat чрез чернодробно разцепване на групата на естер.

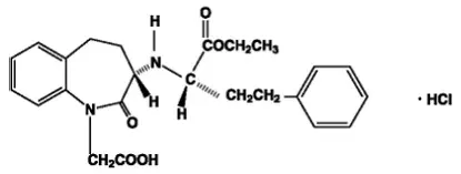
Амлодипинът бесилат е бял до бледожълт кристален прах, леко разтворим във вода и пестеливо разтворим в етанол. Химическото му наименование е (Rs) 3-етил-5-метил-2- (2-аминоетоксиметил) -4- (2-хлорофенил) -14-дихидро-6-метил-35-пиридинекарбоксилатен бензенсулфонат; Структурната му формула е:

Емпиричната му формула е c 20 H 25 Cln 2 O 5 • C. 6 H 6 O 3 S и молекулното му тегло е 567.1.

Амлодипин безилат е бесилатната сол на амлодипин дихидропиридин калциев канал блокер.

Lotrel capsules are formulated in 6 different strengths for oral administration with a combination of amlodipine besylate equivalent to 2.5 mg 5 mg or 10 mg of amlodipine with 10 mg 20 mg or 40 mg of benazepril hydrochloride providing for the following available combinations: 2.5/10 mg 5/10 mg 5/20 mg 5/40 mg 10/20 mg and 10/40 mg.

Неактивните съставки на капсулите са калциево фосфатни целулозни съединения колоидни силициеви диоксид crospovidone желатиново хидрогенирано рициново масло (не присъстващи в 5/40 mg или 10/40 mg сила) Железни оксиди лактоза монохидрат магнезиев стеаран по полисорбат 80 силиконов диоксид на содаурий лактоза на диоксий лактоза на содаурий содиум (железни оксиди) лактозен монохидрат магнезиев стеаран по полисорбат 80 силикони диоксиди на содариев содорбат 80 силикони диоксиев содорбат 9 -те силикони диоксиеви содорбат (железни оксиди) лактозен магнезиев стаж) 80 -те силикони на диоксиев содорбат 80 -те силикони диоксиеви содорбат (не е Glycolate нишесте (царевица) талк и титанов диоксид.

Използва за Lotrel

Хипертония

LotRel е показан за лечение на хипертония при пациенти, които не са адекватно контролирани при монотерапия с нито един агент.

Дозировка за Lotrel

Общи съображения

Препоръчителната първоначална доза LotRel е 1 капсула на амлодипин 2,5 mg/benazepril 10 mg перорално веднъж дневно.

Започнете терапията с LotRel само след като пациентът има (а) не е постигнал желания антихипертензивен ефект с монотерапия на амлодипин или беназеприл или (В) демонстрира неспособност да се постигне адекватен антихипертензивен ефект с амлодипинова терапия без развитие на оток.

Антихипертензивният ефект на Lotrel до голяма степен се постига в рамките на 2 седмици. Ако кръвното налягане остане неконтролирано, дозата може да бъде титрирана до амлодипин 10 mg/benazepril 40 mg веднъж дневно. Дозирането трябва да бъде индивидуализирано и коригирано според клиничния отговор на пациента.

При клинични изпитвания на комбинирана терапия с амлодипин/беназеприл с помощта на дози от амлодипин от 2,5 до 10 mg и беназеприл дози от 10 до 40 mg антихипертензивните ефекти се увеличават с увеличаване на дозата на амлодипин във всички групи пациенти и ефектите се увеличават с увеличаване на дозата беназеприл в групи без грешки.

Заместителна терапия

Lotrel може да бъде заменен с титруваните компоненти.

Колко се доставя

Дозирани форми и силни страни

Lotrel (амлодипин/Benazepril) capsules are available as follows: 2.5/10 mg 5/10 mg 5/20 mg 5/40 mg 10/20 mg и 10/40 mg.

Съхранение и обработка

LotRel се предлага като капсули, съдържащи амлодипин безилат, еквивалентен на 2,5 mg 5 mg или 10 mg амлодипин с 10 mg 20 mg или 40 mg беназеприл хидрохлорид, осигуряващи следните налични комбинации: 2.5/10 mg 5/10 mg 5/20 mg 5/40 mg 10/20 mg и 10/40 mg. Всички 6 силни страни са опаковани в бутилки от 100 капсули.

Капсулите се отпечатват с Lotrel и подходящ код.

Доза Цвят/код на капсула NDC код
Бутилка от 100
2.5/10 mg Бяло с 2 златни ленти/2255 NDC 0078-0404-05
5/10 mg Светло кафяво с 2 бели ленти/2260 NDC 0078-0405-05
5/20 mg розово с 2 бели ленти/2265 NDC 0078-0406-05
5/40 mg Светло синьо с 2 бели ленти/0384 NDC 0078-0384-05
10/20 mg лилаво (аметист) с 2 бели ленти/0364 NDC 0078-0364-05
10/40 mg Тъмно синьо с 2 бели ленти/0379 NDC 0078-0379-05
Съхранение

Съхранявайте при 25 ° C (77 ° F); Екскурзии, разрешени до 15 ° C - 30 ° C (59 ° F - 86 ° F). [Вижте USP контролирана стайна температура.] Защитете от влага. Разпределете в тесен контейнер (USP).

Разпространено от: Novartis Pharmaceuticals Corporation Източен Хановер Ню Джърси 07936. Ревизирана: февруари 2020 г.

Странични ефекти for Lotrel

Опит с клинични изпитвания

Тъй като клиничните изпитвания се провеждат при широко различни състояния, нежелани реакционни проценти, наблюдавани при клиничните изпитвания на лекарство, не могат да бъдат пряко сравнени със проценти в клиничните изпитвания на друго лекарство и може да не отразяват процентите, наблюдавани на практика. Информацията за нежеланата реакция от клинични изпитвания обаче дава основа за идентифициране на нежеланите събития, които изглежда са свързани с употребата на лекарства и за приблизителните проценти.

Lotrel е оценен за безопасност при над 2991 пациенти с хипертония; Над 500 от тези пациенти са лекувани най -малко 6 месеца, а над 400 са лекувани повече от 1 година.

При обединен анализ на 5 плацебо-контролирани изпитвания, включващи дози LotRel до 5/20, отчетените странични ефекти обикновено са леки и преходни и няма връзка между страничните ефекти и възрастовата полова раса или продължителността на терапията. Необходимо е прекратяване на терапията поради нежелани реакции при приблизително 4% от пациентите, лекувани с LotRel, и при 3% от пациентите, лекувани с плацебо.

Най -честите причини за прекратяване на терапията с LotRel в тези проучвания са кашлица и оток (включително ангиоедем).

Периферният оток, свързан с употребата на амлодипин, зависи от дозата. Когато беназеприл се добави към режим на амлодипин, честотата на отока е значително намалена.

Добавянето на беназеприл към режим на амлодипин не трябва да се очаква да осигури допълнителен антихипертензивен ефект при афро-американците. Въпреки това всички групи пациенти се възползват от намаляването на отока, индуциран от амлодипин.

Страничните ефекти, считани за евентуално или вероятно свързани с изследваното лекарство, възникнали в тези изпитвания при повече от 1% от пациентите, лекувани с LotRel, са показани в таблицата по -долу. Кашлицата беше единственото неблагоприятно събитие с поне възможна връзка с лечението, което беше по -често при лота (NULL,3%), отколкото при плацебо (NULL,2%).

Процентна честота в контролираните от САЩ плацебо изпитвания

Benazepril/ Amlodipine Benazepril Амлодипин Плацебо
N = 760 N = 554 N = 475 N = 408
Кашлица 3.3 1.8 0.4 0.2
Главоболие 2.2 3.8 2.9 5.6
Замаяност 1.3 1.6 2.3 1.5
Оток* 2.1 0.9 5.1 2.2
*Отокът се отнася до всички оток като зависим оток Ангиоедем за лице на лице.

Честотата на отока е по -голяма при пациенти, лекувани с монотерапия на амлодипин (NULL,1%), отколкото при пациенти, лекувани с лот (NULL,1%) или плацебо (NULL,2%). Други странични ефекти, считани за евентуално или вероятно свързани с изследване на лекарството, възникнали в американските плацебо-контролирани изпитвания на пациенти, лекувани с Lotrel или в опит в постпармиране, са следните:

Тяло като цяло: Астения и умора.

CNS: Безсъние нервност тревожност Тремор и намалено либидо.

Дерматологичен: Промиване горещи проблясъци обрив skin nodule и dermatitis.

Храносмилане: Сухота в устата гадене на корема Диспепсия и езофагит.

Хематологичен: Неутропения

Musculeskeletal: спазми и мускулни крампи.

Урогенитален: Сексуални проблеми като импотентност и полиурия.

Монотерапиите на беназеприл и амлодипин са оценени за безопасност при клинични изпитвания съответно при над 6000 и 11000 пациенти. Наблюдаваните нежелани реакции на монотерапиите в тези изпитвания бяха подобни на тези, наблюдавани в изпитвания на Lotrel.

Опит за постмаркетиране

Тъй като тези реакции се отчитат доброволно от популация с несигурен размер, не винаги е възможно надеждно да се оцени тяхната честота или да се установи причинно -следствена връзка с експозицията на лекарства.

In postmarketing experience with benazepril there have been rare reports of Stevens-Johnson syndrome pancreatitis hemolytic anemia pemphigus thrombocytopenia paresthesia dysgeusia orthostatic symptoms and hypotension angina pectoris and arrhythmia pruritus photosensitivity reaction arthralgia arthritis myalgia blood urea nitrogen (BUN) increase serum Креатинин увеличават зрението на зрението на зрението на зрението Агранулоцитоза Неутропения.

Редки доклади във връзка с използването на амлодипин: гингивална хиперплазия тахикардия жълтеница and hepatic enzyme elevations (mostly consistent with cholestasis severe enough to require hospitalization) leukocytopenia allergic reaction hyperglycemia dysgeusia hypoesthesia paresthesia syncope peripheral neuropathy hypertonia visual impairment diplopia hypotension vasculitis rhinitis gastritis hyperhidrosis pruritus skin discoloration urticaria erythema Многообразни мускулни спазми Артралгия МИКТУРИЦИЯ Разстройство Nocturia еректилна дисфункция Намаляване на теглото или печалбата.

Други потенциално важни неблагоприятни преживявания, приписвани на други АСЕ инхибитори и блокери на калциевите канали, включват: еозинофилен пневмонит (АСЕ инхибитори) и гинекомастия (CCB).

Лекарствени взаимодействия for Lotrel

Взаимодействия между лекарства/лекарства

Амлодипин

Симвастатин

Коадминацията на симвастатин с амлодипин увеличава системната експозиция на симвастатин. Ограничете дозата на симвастатин при пациенти на амлодипин до 20 mg дневно.

CYP3A4 инхибитори

Коадминацията с CYP3A инхибитори (умерена и силна) води до повишена системна експозиция на амлодипин и може да изисква намаляване на дозата. Монитор за симптоми на хипотония и оток, когато амлодипинът е съвместно с CYP3A4 инхибитори, за да се определи необходимостта от коригиране на дозата.

CYP3A4 индуктори

Няма информация за количествените ефекти на индукторите на CYP3A4 върху амлодипин. Кръвното налягане трябва да се наблюдава, когато амлодипинът е съвместно с индукторите на CYP3A4 (например рифампицин Сейнт Джон за кантарион).

Benazepril

Добавки с калий и диуретици с калий

Benazepril can attenuate potassium loss caused by thiazide diuretics. Potassium-sparing diuretics (spironolactone amiloride triamterene и others) or potassium supplements can increase the risk of hyperkalemia. If concomitant use of such agents is indicated the patient’s serum potassium should be monitored frequently.

Литий

Съобщава се за повишени нива на литий и симптоми на литиева токсичност при пациенти, получаващи АСЕ инхибитори по време на терапия с литий. Когато се препоръчва съвместно събиране на лотрел и литий често наблюдение на нивата на серумния литий.

Злато

Съобщава се, че нитритоидните реакции (симптомите включват промиване на измиване на лицето и хипотония) рядко при пациенти на терапия с инжекционно злато (натриев ауротиомалат) и съпътстваща терапия с инхибитор на АСЕ.

Нестероидни противовъзпалителни лекарства (НСПВС), включително селективни циклооксигеназа-2 инхибитори (COX-2 инхибитори)

При пациенти, които са изчерпани с обем в напреднала възраст (включително тези на диуретична терапия) или с компрометирана бъбречна функция съвместно приложение на НСПВС, включително селективни COX-2 инхибитори с АСЕ инхибитори, включително Benazepril остра бъбречна недостатъчност . Тези ефекти обикновено са обратими. Следете периодично бъбречната функция при пациенти, получаващи Benazepril и NSAID терапия.

Антихипертензивният ефект на АСЕ инхибитори, включително Benazepril, може да бъде атенюиран от НСПВС.

Антидиабетни средства

В редки случаи пациентите с диабет, получаващи АСЕ инхибитор (включително Benazepril) едновременно с инсулин или перорален антидиабетици, могат да се развият Хипогликемия . Следователно такива пациенти трябва да бъдат посъветвани за възможността за хипогликемични реакции и трябва да бъдат наблюдавани съответно.

Целта на бозайниците на инхибиторите на рапамицин (mTOR)

Рискът от ангиоедем може да бъде увеличен при пациенти, получаващи съвместно приложение на АСЕ инхибитори и mTOR инхибитори (например Temsirolimus sirolimus everolimus).

Двойна блокада на системата Renin-Angiotensin (RAS)

Двойната блокада на RAS с блокери на ангиотензин рецептори ACE инхибитори или Aliskiren е свързан с повишен риск от хиперкалиемия на хипотония и промени в бъбречната функция (включително остра бъбречна недостатъчност) в сравнение с монотерапията. Повечето пациенти, получаващи комбинация от два Ras инхибитори, не получават допълнителна полза в сравнение с монотерапията. Като цяло избягвайте комбинираната употреба на RAS инхибитори. Отблизо следете бъбречната функция на кръвното налягане и електролитите при пациенти на Lotrel и други средства, които блокират RAS.

Не съвпадайте с алискирен с Lotrel при пациенти с диабет. Избягвайте използването на aliskiren с лотрел при пациенти с бъбречно увреждане [скорост на гломерулна филтрация (GFR) <60 mL/min].

Нерилисин инхибитор

Пациентите, приемащи съпътстващи нерилисинови инхибитори, могат да бъдат изложени на повишен риск от ангиоедем [виж ПредупреждениеS AND PRECAUTIONS ].

Предупреждения за Lotrel

Включени като част от 'ПРЕДПАЗНИ МЕРКИ' Раздел

Предпазни мерки за Lotrel

Фетална токсичност

Lotrel може да причини вреда на плода, когато се прилага на бременна жена. Използването на лекарства, които действат върху системата Renin-Angiotensin през втория и третия триместър на бременността, намаляват бъбречната функция на плода и увеличава феталната и неонаталната заболеваемост и смъртта. В резултат на това олигохидрамнио може да бъде свързан с хипоплазия на белите дробове и скелетните деформации. Потенциалните неонатални неблагоприятни ефекти включват хипоплазия на черепа Анурия Хипотония на хипотония на бъбречната недостатъчност и смъртта. Когато бъде открита бременността, преустановете Lotrel възможно най -скоро [виж Използване в конкретни популации ].

Ангиоедем и анафилактоидни реакции

Ангиоедем на главата и шията

Ангиоедем на лицевите крайници устни език Глотис и Larynx е съобщено при пациенти, лекувани с беназеприл. Това може да се случи по всяко време по време на лечението. Ангиоедем, свързан с оток на езика на ларинкса или глотиса, може да компрометира дихателните пътища и да бъде фатален. Ако ларингеалният стридор или ангиоедем на лицевия език или глотис се появи, преустановете лечението с лотрел и лекувайте незабавно. Когато участието на езика Glottis или Larynx изглежда вероятно ще причини запушване на дихателните пътища подходяща терапия, напр. Администрирайте подкожното инжектиране на епинефрин 1: 1000 (NULL,3 до 0,5 ml) незабавно [виж Нежелани реакции ].

Пациентите с анамнеза за ангиоедем могат да бъдат изложени на повишен риск от ангиоедем, докато получават лот. Черните пациенти, получаващи АСЕ инхибитори, имат по -голяма честота на ангиоедем в сравнение с неблакове.

Пациентите, получаващи съвместно приложение на АСЕ инхибитор и mTOR (мишена на бозайници на рапамицин) инхибитор (напр. Тесиролимус сиролимус еверолимус) терапия или нерилисинов инхибитор могат да бъдат изложени на повишен риск от ангиоедем [виж Лекарствени взаимодействия ].

Чревна ангиоедем

Съобщава се за чревни ангиоедем при пациенти, лекувани с АСЕ инхибитори. Тези пациенти са представени с коремна болка (със или без гадене или повръщане); В някои случаи не е имало предишна анамнеза за нивата на ангиоедем на лицето и С-1 е нормална. Ангиоедемът е диагностициран чрез процедури, включително коремна CT сканиране или ултразвук или при операция и симптоми, разрешени след спиране на инхибитора на АСЕ. Чревната ангиоедем трябва да бъде включена в диференциалната диагноза на пациентите върху АСЕ инхибитори, представящи коремната болка.

Анафилактоидни реакции по време на десенсибилизация

Двама пациенти, подложени на десенсибилизиращо лечение с отрова Hymenoptera (WASP), докато получават АСЕ инхибитори, поддържат животозастрашаващи анафилактоидни реакции.

Анафилактоидни реакции по време на излагане на мембрана

Съобщава се за анафилактоидни реакции при пациенти, диализирани с мембрани с висок поток и лекувани едновременно с АСЕ инхибитор. Съобщава се и за анафилактоидни реакции при пациенти, подложени на липопротеинова афереза ​​с ниска плътност с абсорбция на декстран сулфат.

Повишена ангина и/или инфаркт на миокарда

Влошаването на ангина и остър инфаркт на миокарда може да се развие след започване или увеличаване на дозата на амлодипин, особено при пациенти с тежка обструктивна болест на коронарната артерия.

Хипотония

LotRel може да причини симптоматична хипотония, понякога усложнена от олигурия прогресираща азотемия остра бъбречна недостатъчност или смърт. Най -вероятно е симптоматичната хипотония при пациенти, които имат тежка аортна или митрална стеноза, преструктивна хипертрофична кардиомиопатия или са били обемни или сол, изчерпани в резултат на диетична терапия Диетична диетична диализа диария или повръщане. Правилен обем и изчерпване на солта, преди да започнете терапия с Benazepril. Ако възникне хипотония, поставете пациента в легнало положение и дайте физиологичен физиологичен разтвор интравенозно, ако е необходимо. Продължете лечението с Benazepril, след като кръвното налягане и обемът се върнат към нормалното.

При пациенти с застойна сърдечна недостатъчност Стартиране на терапия с лотрел под тесен медицински надзор; Следвайте отблизо първите 2 седмици лечение и винаги, когато дозата на компонента Benazepril се увеличи или се добави диуретик или дозата му се увеличи.

При пациенти, подложени на операция или по време на анестезия с агенти, които произвеждат хипотония benazepril, ще блокира образуването на ангиотензин II, която иначе би могла да се появи вторично за компенсаторно освобождаване на ренин. Хипотонията, която възниква в резултат на този механизъм, може да бъде коригирана чрез разширяване на обема.

Нарушена бъбречна функция

Следете периодично бъбречната функция при пациенти, лекувани с Lotrel. Промените в бъбречната функция, включително остра бъбречна недостатъчност, могат да бъдат причинени от лекарства, които засягат RAS. Пациентите, чиято бъбречна функция може да зависи отчасти от активността на RAS (например пациенти със стеноза на бъбречната артерия тежка сърдечна недостатъчност след миокарда или изчерпване на обема) или които са върху НСПВС или ARB, могат да бъдат изложени на особен риск от развитие на остра бъбречна недостатъчност при лота. Помислете за задържане или прекратяване на терапията при пациенти, които развиват клинично значимо намаление на бъбречната функция на Lotrel.

Хиперкалиемия

Следете периодично серумния калий при пациенти, получаващи лот. Лекарствата, които засягат RAS, могат да причинят хиперкалиемия. Рисковите фактори за развитието на хиперкалиемия включват бъбречна недостатъчност Диабет захарен и съпътстващото използване на запазени от калий диуретици добавки с калий и/или съдържащи сол заместители на калий. В американските плацебо-контролирани изпитвания на хиперкалиемия на Lotrel [серумен калий най-малко 0,5 mEq/L по-голяма от горната граница на нормалното (ULN)], която не е налице в изходното ниво, се наблюдава при приблизително 1,5% от хипертоничните пациенти, получаващи лота. Увеличаването на серумния калий обикновено е обратимо.

Хепатит и чернодробна недостатъчност

Има редки съобщения за предимно холестатичен хепатит и изолирани случаи на остра чернодробна недостатъчност, която някои от тях са фатални при пациенти с АСЕ инхибитори. Механизмът не се разбира. Пациентите, получаващи АСЕ инхибитори, които развиват жълтеница или значително повишаване на чернодробните ензими, трябва да преустановят инхибитора на АСЕ и да се държат под медицинско наблюдение.

Информация за консултирането на пациентите

Посъветвайте се на пациента да прочете одобреното от FDA етикетиране на пациента ( Информация за пациента ).

Бременност

Консултирайте женски пациенти на детеродна възраст за последствията от излагането на Lotrel по време на бременност. Обсъдете възможностите за лечение с жени, които планират да забременеят. Помолете пациентите да съобщават за бременности на своите лекари възможно най -скоро [виж ПредупреждениеS AND PRECAUTIONS и Използване в конкретни популации ].

Симптоматична хипотония

Посъветвайте се с пациентите, че лекотата може да се появи особено през първите дни на терапията и че тя трябва да бъде докладвана на техния доставчик на здравни грижи. Кажете на пациентите, че ако се появи синкоп, за да прекрати Lotrel, докато лекарят не бъде консултиран. Внимание Всички пациенти, които неадекватният прием на течности прекомерно изпотяване диария или повръщане могат да доведат до прекомерно падане на кръвното налягане със същите последици от лекотата и възможния синкоп [виж ПредупреждениеS AND PRECAUTIONS ].

Хиперкалиемия

Посъветвайте пациентите да не използват заместители на солта, без да се консултират със своя доставчик на здравни грижи [виж Лекарствени взаимодействия ].

Странични ефекти от ваксината Hep B

Неклинична токсикология

Канцерогенеза мутагенеза Нарушаване на плодовитостта

С тази комбинация не са проведени канцерогенност и мутагенност. Тези проучвания обаче са проведени само с амлодипин и беназеприл (виж по -долу). Не са възникнали неблагоприятни ефекти върху плодовитостта, когато комбинацията Benazepril: амлодипин е дадена перорално на плъхове от двата пола при дози до 15: 7,5 mg (беназеприл: амлодипин)/kg/ден преди чифтосването и по време на гестацията.

Benazepril

Не са открити доказателства за канцерогенност, когато беназеприл се прилага на плъхове и мишки до 2 години при дози до 150 mg/kg/ден. В сравнение с базата на повърхността на тялото тази доза е 18 и 9 пъти (плъхове и мишки съответно) максималната препоръчителна доза човешка (MRHD) (изчисленията предполагат тегло на пациента от 60 kg). Не е открита мутагенна активност в теста на AMES в бактерии в AN in vitro Тест за мутации напред в култивирани клетки на бозайници или в тест за аномалия на ядрото. При дози от 50 до 500 mg/kg/ден (6 до 60 пъти повече от MRHD на базата на телесна повърхност) Benazepril няма неблагоприятен ефект върху репродуктивните показатели на мъжки и женски плъхове.

Амлодипин

Плъхове и мишки, лекувани с малеат на амлодипин в диетата до 2 години при концентрации, изчислени за осигуряване на дневни нива на доза от 0,5 1,25 и 2,5 mg амлодипин/kg/ден, не показват данни за канцерогенен ефект на лекарството. За мишката най -високата доза е била на площ на телесната повърхност, подобна на MRHD от 10 mg амлодипин/ден. За плъховете най -високата доза е била на площ на телесната повърхност около две и половина пъти по -голямо от MRHD. (Изчисления въз основа на пациент с 60 kg.) Изследвания на мутагенност, проведени с малеат на амлодипин, не разкриват никакви ефекти, свързани с лекарството, нито на нивото на гена, нито на хромозомата. Няма ефект върху плодовитостта на плъховете, лекувани перорално с амлодипин малеат (мъже в продължение на 64 дни и жени в продължение на 14 дни преди чифтосване) при дози до 10 mg амлодипин/kg/ден (около 10 пъти по -голям от MRHD от 10 mg/ден на базата на телесната повърхност).

Използване в конкретни популации

Бременност

Обобщение на риска

Lotrel може да причини вреда на плода, когато се прилага на бременна жена. Употребата на лекарства, които действат на RAS през втория и третия триместър на бременността, намаляват бъбречната функция на плода и увеличава феталната и неонаталната заболеваемост и смъртта. Повечето епидемиологични проучвания, изследващи аномалиите на плода след излагане на антихипертензивна употреба през първия триместър, не са отличавали лекарства, засягащи RAS от други антихипертензивни агенти.

Когато се открие бременността, преустановете Lotrel възможно най -скоро.

Прогнозният фонов риск от големи вродени дефекти и спонтанен аборт за посоченото население е неизвестен. Всички бременности имат основен риск от загуба на вроден дефект или други неблагоприятни резултати. В общата популация на САЩ прогнозният фонов риск от големи вродени дефекти и спонтанен аборт в клинично признатите бременности е съответно 2-4% и 1520%.

Клинични съображения

Свързан с болестта майчин и/или риск от ембриона/плод

Хипертония in pregnancy increases the maternal risk for pre-eclampsia gestational diabetes premature delivery и delivery complications (e.g. need for cesarean section и post-partum hemorrhage). Хипертония increases the fetal risk for intrauterine growth restriction и intrauterine death. Pregnant women with hypertension should be carefully monitored и managed accordingly.

Фетални/неонатални нежелани реакции

Олигохидрамнио при бременни жени, които употребяват лекарства, засягащи ренин-ангиотензиновата система през втория и третия триместър на бременността, могат да доведат до следното: намалена бъбречна функция на плода, водеща до анурия и бъбречна недостатъчност на феталната белодробна хипоплазия скелетни деформации, включително хипоплазия на черепа хипоплазия и смърт.

Извършвайте серийни ултразвукови прегледи, за да оцените вътрешноамниотичната среда. Тестването на плода може да бъде подходящо въз основа на седмицата на бременността. Пациентите и лекарите трябва да са наясно, че олигохидрамниите може да не се появят, докато плодът е получил необратимо нараняване. Ако се наблюдава олигохидрамнио, помислете за алтернативно лечение с лекарства. Наблюдавайте отблизо новородени с истории на В матката Излагане на Lotrel за хипотония олигурия и хиперкалиемия. При новородени с история на В матката Излагане на LotRel Ако олигурия или хипотония възникнат, подкрепят кръвното налягане и бъбречната перфузия. Обменните трансфузии или диализа могат да се изискват като средство за обръщане на хипотония и замяна на бъбречната функция.

Данни

Данни за животните

Benazepril и Амлодипин

Когато плъховете получават беназеприл: амлодипин при дози, вариращи от 5: 2,5 до 50:25 mg/kg/ден дистокия, се наблюдава при нарастваща честота, свързана с дозата при всички тествани дози. На основата на повърхността на тялото 2,5 mg/kg/ден дозата на амлодипин е два пъти по -голяма от дозата на амлодипин, доставена, когато максималната препоръчителна доза лот се дава на пациент с 60 kg. По същия начин дозата от 5 mg/kg/ден на беназеприл е приблизително еквивалентна на дозата Benazepril, доставена, когато максималната препоръчителна доза лотрел е дадена на пациент с 60 kg. Не са наблюдавани тератогенни ефекти, когато беназеприл и амлодипин се прилагат в комбинация с бременни плъхове или зайци. Плъховете получават дози до 50:25 mg (benazepril: амлодипин)/kg/ден (12 пъти по -голям от MRHD на база на телесната повърхност, като се предполага, че пациент от 60 kg). Зайците получават дози до 1,5: 0,75 mg/kg/ден (еквивалентна на максималната препоръчителна доза лота, дадена на пациент с 60 kg).

Лактация

Обобщение на риска

Минималните количества непроменени беназеприл и на Benazeprilat се отделят в кърмата на кърмещи жени, лекувани с беназеприл, така че новородено дете, поглъщащо нищо друго, освен кърмата, да получи по -малко от 0,1% от майчините дози беназеприл и беназеприлат. Ограничени налични данни от публикувано клинично проучване на лактация съобщават, че амлодипинът присъства в човешкото мляко при приблизителна средна относителна доза бебе от 4,2%. Не са наблюдавани неблагоприятни ефекти на амлодипин върху кърменото бебе. Няма налична информация за ефектите на амлодипин или беназеприл върху производството на мляко.

Педиатрична употреба

Безопасността и ефективността при педиатрични пациенти не са установени.

Гериатрична употреба

При гериатрични пациенти излагането на амлодипин се увеличава, така че помислете за по -ниски първоначални дози лот [виж Клинична фармакология ].

От общия брой на пациентите, които са получили лота в американските клинични проучвания на LOTREL над 19%, са били 65 или повече години, докато около 2% са били 75 или повече години. Общи разлики по ефективност или безопасност не са наблюдавани между тези пациенти и по -млади пациенти. Клиничният опит не е установил разлики в отговорите между възрастни и по -млади пациенти, но по -голяма чувствителност на някои по -възрастни индивиди не може да бъде изключена.

Чернодробно увреждане

Излагането на амлодипин се увеличава при пациенти с чернодробна недостатъчност, така че помислете за използване на по -ниски дози лотрел [виж Клинична фармакология ].

Бъбречно увреждане

При пациенти с severe renal impairment systemic exposure to Benazepril is increased. The recommended dose of Benazepril in this subgroup is 5 mg which is not an available strength with Lotrel. Lotrel is not recommended in patients with severe renal impairment. No dose adjustment of Lotrel is needed in patients with mild or moderate impairment of renal function [see Дозиране и администриране ПредупреждениеS AND PRECAUTIONS и Клинична фармакология ].

Информация за предозиране за Lotrel

Съобщава се само за няколко случая на предозиране с човешки с амлодипин. Един пациент беше безсимптомно след поглъщане на 250 mg; Друг, който комбинира 70 mg амлодипин с неизвестно голямо количество бензодиазепин, развива огнеупорен шок и умря.

Не се съобщават за човешки предозиране с всяка комбинация от амлодипин и беназеприл. В разпръснати съобщения за човешки предози с беназеприл и други АСЕ инхибитори няма съобщения за смърт.

Лечение

Пациентите трябва да бъдат приети в болница и като цяло трябва да се управляват в интензивна обстановка с непрекъснато наблюдение на сърдечните функции в кръвта и биохимията на кръвта. Ако е подходящо, трябва да се въвеждат аварийни мерки като изкуствена вентилация или сърдечен крачка.

В случай на потенциално животозастрашаваща орална предозиране, използвайте индукция на повръщане или стомашно промиване и/или активиран въглен за отстраняване на лекарството от стомашно-чревния тракт (само ако бъде представен в рамките на 1 час след поглъщане на лотрел).

Други клинични прояви на предозиране трябва да се управляват симптоматично въз основа на съвременните методи за интензивно лечение.

За да получите актуална информация за лечението на предозиране, добър ресурс е вашият сертифициран регионален център за контрол на отрови. Телефонните номера на сертифицирани центрове за контрол на отровата са изброени в референцията на бюрото на лекарите (PDR). При управлението на предозиране обмислете възможностите за многократно предозиране на лекарства за лекарства и необичайна кинетика на лекарството при вашия пациент.

Най -вероятният ефект на предозиране с лотал е вазодилатацията с последваща хипотония и тахикардия. Простото попълване на централния обем на течността (Trendelenburg Позициониране Инфузия на кристалоиди) може да бъде достатъчна терапия, но пресорни агенти (норепинефрин или висока доза допамин ) може да се изисква. С рязко връщане на предозиране на периферни съдови тонуси на други блокери на дихидропиридин калциеви канали понякога са прогресирали до белодробен оток и пациентите трябва да бъдат наблюдавани за това усложнение.

Анализи на телесни течности за концентрации на амлодипин беназеприл или техните метаболити не са широко достъпни. Такива анализи във всеки случай не са известни като на стойност в терапията или прогнозата.

Няма налични данни, които да предполагат физиологични маневри (например маневри за промяна на pH на урината), които могат да ускорят елиминирането на амлодипин беназеприл или техните метаболити. BenazePrilat е само леко диализиран; Опитът за клирънс на амлодипин от хемодиализа или хемо-перфузия не е съобщено, но високото свързване на протеини на амлодипин прави малко вероятно тези интервенции да бъдат от полза.

Ангиотензин II би могъл да служи като специфичен антагонист-антидот на Benazepril, но ангиотензин II по същество не е наличен извън разпръснатите изследователски лаборатории.

Противопоказания за Lotrel

  • Не съвместни алискири с алискирен с ангиотензин рецепторни блокери (ARBS) АСЕ инхибитори, включително LotRel при пациенти с диабет.
  • LotRel е противопоказан при пациенти с анамнеза за ангиоедем със или без предишно лечение на АСЕ инхибитор или пациенти, които са свръхчувствителни към Benazepril към друг АСЕ инхибитор на амлодипин или към някой от помощните вещества на LotRel.
  • LotRel е противопоказан в комбинация с нерилисинов инхибитор (например Sacubitril). Не администрирайте LotRel в рамките на 36 часа след преминаване към или от нерилисинов инхибитор, напр. sacubitril/valsartan [виж ПредупреждениеS AND PRECAUTIONS ].

Клинична фармакология for Lotrel

Механизъм на действие

Benazepril

Benazepril и Benazeprilat inhibit angiotensin-converting enzyme (ACE) in human subjects и in animals. ACE is a peptidyl dipeptidase that catalyzes the conversion of angiotensin I to the vasoconstrictor substance angiotensin II. Angiotensin II also stimulates aldosterone secretion by the adrenal cortex.

Инхибирането на ACE води до намалена плазмена ангиотензин II, което води до намалена вазопресорна активност и до намаляване на секрецията на алдостерон. Последното намаление може да доведе до малко увеличение на серумния калий. Хипертонични пациенти, лекувани с беназеприл и амлодипин до 56 седмици ПредупреждениеS AND PRECAUTIONS ].

Премахването на отрицателната обратна връзка на ангиотензин II за секрецията на ренин води до повишена плазмена активност на ренин. В проучвания на животни Benazepril няма инхибиторен ефект върху вазопресорния отговор на ангиотензин II и не пречи на хемодинамичните ефекти на автономните невротрансмитери ацетилхолин епинефрин и норепинефрин.

ACE е идентичен с кининазата ензим, който разгражда брадикинин. Дали повишените нива на брадикинин, мощният вазодепресорен пептид играе роля в терапевтичните ефекти на Lotrel, остава да бъде изяснено.

Докато механизмът, чрез който Benazepril понижава кръвното налягане, се смята, че потискането на предимно потискането на ренин-ангиотензин алдостеронната система Benazepril има антихипертензивен ефект дори при пациенти с хипертония с нискоремин.

Амлодипин

Амлодипин is a dihydropyridine calcium antagonist (calcium ion antagonist or slow channel blocker) that inhibits the transmembrane influx of calcium ions into vascular smooth muscle и cardiac muscle. Experimental data suggest that амлодипин binds to both dihydropyridine и nondihydropyridine binding sites. The contractile processes of cardiac muscle и vascular smooth muscle are dependent upon the movement of extracellular calcium ions into these cells through specific ion channels. Амлодипин inhibits calcium ion influx across cell membranes selectively with a greater effect on vascular smooth muscle cells than on cardiac muscle cells. Negative inotropic effects can be detected in vitro Но подобни ефекти не са наблюдавани при непокътнати животни при терапевтични дози. Серумната концентрация на калций не се влияе от амлодипин. В рамките на физиологичния диапазон на рН амлодипинът е йонизирано съединение (PKA = 8.6) и кинетичното му взаимодействие с рецептора на калциевия канал се характеризира с постепенна скорост на свързване и дисоциация с мястото на свързване на рецептора, което води до постепенно начало на ефекта.

Амлодипин is a peripheral arterial vasodilator that acts directly on vascular smooth muscle to cause a reduction in peripheral vascular resistance и reduction in blood pressure.

Фармакодинамика

Benazepril

Единичните и множество дози от 10 mg или повече беназеприл причиняват инхибиране на плазмената АСЕ активност с най -малко 80% до 90% за поне 24 часа след дозирането. В продължение на 4 часа след 10 mg реакции на пресор на доза на екзогенен ангиотензин I бяха инхибирани с 60% до 90%.

Прилагането на беназеприл при пациенти с лека до умерена хипертония води до намаляване както на легналостта, така и на стоящото кръвно налягане в еднаква степен без компенсаторна тахикардия. Симптоматичната постурална хипотония е рядка, въпреки че може да се появи при пациенти, които са изчерпани със сол и/или обем [виж ПредупреждениеS AND PRECAUTIONS ].

Антихипертензивните ефекти на беназеприл не се различават значително при пациенти, получаващи диети с висока или ниско съдържание на натрий.

В нормалните човешки доброволци единичните дози беназеприл причиняват увеличаване на бъбречния кръвен поток, но не оказват влияние върху скоростта на гломерулна филтрация.

Амлодипин

След прилагане на терапевтични дози на пациенти с хипертония амлодипин произвежда вазодилатация, което води до намаляване на легналото и стоящото кръвно налягане. Тези намаления на кръвното налягане не са придружени от значителна промяна в сърдечната честота или плазмата катехоламин нива с хронично дозиране.

С хроничната администрация на веднъж дневно антихипертензивната ефективност се поддържа поне 24 часа. Плазмените концентрации корелират с ефекта както при пациенти с млади, така и при възрастни хора. Големината на намаляване на кръвното налягане с амлодипин също е свързана с височината на повишаване на предварителното лечение; По този начин индивидите с умерена хипертония (диастолно налягане 105–114 mmHg) имат около 50% по -голям отговор от пациентите с лека хипертония (диастолно налягане 90–104 mmHg). Нормотензивните лица не са имали клинично значима промяна в кръвното налягане (1/-2 mmHg).

При хипертонични пациенти с нормална бъбречна функция терапевтичните дози на амлодипин водят до намаляване на бъбречната съдова резистентност и увеличаване на скоростта на гломерулна филтрация и ефективен бъбречен плазмен поток без промяна във фракцията на филтрация или протеинурия.

Както при други блокери на калциеви канали Хемодинамични измервания на сърдечната функция в покой и по време на тренировка (или крачка) при пациенти с нормална камерна функция, лекувани с амлодипин, обикновено демонстрират малко увеличение на сърдечния индекс без значително влияние върху DP/DT или върху диастолното налягане или обем на лявата камера. В хемодинамичните проучвания амлодипинът не е свързан с отрицателен инотропният ефект, когато се прилага в терапевтичния обхват на дозата, за да стои непокътнати животни и хора, дори когато се съчетава с бета блокери на хората.

Амлодипин does not change sinoatrial (SA) nodal function or atrioventricular (AV) conduction in intact animals or humans. In clinical studies in which амлодипин was administered in combination with beta blockers to patients with either hypertension or angina no adverse effects on electrocardiographic parameters were observed.

Амлодипин has demonstrated beneficial clinical effects in patients with chronic stable angina vasospastic angina и angiographically documented coronary artery disease.

Фармакокинетика

Скоростта и степента на абсорбция на беназеприл и амлодипин от Lotrel са същите като при администриране като отделните таблетки. Абсорбцията от отделните таблетки не се влияе от наличието на храна в стомашно -чревния тракт; Хранителните ефекти върху абсорбцията от LotRel не са проучени.

Абсорбция

След перорално приложение на пиковите плазмени концентрации на амлодипин се достигат за 6 до 12 часа. Абсолютната бионаличност е изчислена като между 64% и 90%. След перорално приложение на LotRel, пиковите плазмени концентрации на беназеприл се достигат за 0,5 до 2 часа. Разцепването на естерната група (предимно в черния дроб) превръща беназеприл в активния му метаболит Benazeprilat, който достига пикови плазмени концентрации за 1,5 до 4 часа. Степента на абсорбция на беназеприл е най -малко 37%. Амлодипин и беназеприл проявяват пропорционална фармакокинетика между терапевтичната доза от 2,5 и 10 mg и 10 и 20 mg съответно.

Разпределение

Очевидният обем на разпределение на амлодипин е около 21 L/kg. In vitro Проучванията показват, че приблизително 93% от циркулиращия амлодипин е обвързан с плазмените протеини при пациенти с хипертония. Очевидният обем на разпределение на беназеприлат е около 0,7 L/kg. Приблизително 93% от циркулиращия амлодипин е обвързан с плазмените протеини и свързаната фракция на беназеприлат е малко по -висока. Въз основа на in vitro Изследва степента на свързване на протеини на BenazePrilat не трябва да се повлиява по възраст чрез чернодробна дисфункция или - в диапазона на терапевтичната концентрация - чрез концентрация.

Метаболизъм

Амлодипин is extensively (approximately 90%) metabolized in the liver to inactive metabolites. Benazepril is extensively metabolized to form Benazeprilat as the main metabolite which occurs by enzymatic hydrolysis mainly in the liver. Two minor metabolites are the acyl glucuronide conjugates of Benazepril и Benazeprilat.

Елиминиране

Амлодипин elimination from plasma is biphasic with a terminal elimination half-life of approximately 30 to 50 hours. Steady-state plasma levels are reached after once-daily dosing for 7 to 8 days. Ten percent of unchanged drug и 60% of амлодипин metabolites are excreted in urine. Effective elimination half-life of амлодипин is 2 days. Benazepril is eliminated mainly by metabolic clearance. Benazeprilat is eliminated via the kidneys и the дори ; Бъбречната екскреция е основният път при пациенти с нормална бъбречна функция. В урината Benazepril представлява по -малко от 1 % и беназеприлат за около 20 % от оралната доза. Елиминирането на беназеприлат е двуфазно с първоначален полуживот от около 3 часа и терминалния полуживот от около 22 часа. Ефективният елиминационен полуживот на Benazeprilat е от 10 до 11 часа, докато този на амлодипин е около 2 дни, така че нивата на стационарно състояние на 2-те компонента се постигат след около седмица до дозиране веднъж дневно.

Специфични популации

Гериатрични пациенти

Не са проведени специфични клинични проучвания, за да се разбере въздействието на възрастта върху фармакокинетиката на амлодипин и беназеприл като комбинация от фиксирана доза. Тъй като индивидуалният компонент амлодипинът се метаболизира широко в черния дроб. При възрастния клирънс на амлодипин е намален с постигането на повишаване на пиковите плазмени нива елиминиране на полуживот и крива на плазмата-концентрация [виж [виж Използване в конкретни популации ].

Чернодробно увреждане

Пациентите с чернодробна недостатъчност имат намален клирънс на амлодипин с резултат на увеличаване на AUC от приблизително 40 до 60%. Фармакокинетиката на беназеприл не се влияе значително от чернодробното увреждане [виж Използване в конкретни популации ].

Бъбречно увреждане

Разполагането на беназеприл и беназеприлат при пациенти с лека до умерена бъбречна недостатъчност (CRCL по-голяма от 30 ml/min) е подобно на това при пациенти с нормална бъбречна функция. При пациенти с CRCL по-малко или равни на 30 ml/min пик нива на беназеприлат и ефективно увеличение на полуживота, което води до по-големи системни експозиции. Фармакокинетиката на амлодипина не се влияе значително от бъбречното увреждане [виж Доза и приложение Използване в конкретни популации и ПредупреждениеS AND PRECAUTIONS ].

Лекарствени взаимодействия

Амлодипин

In vitro Данните в човешката плазма показват, че амлодипинът няма ефект върху свързването на протеина на дигоксин фенитоин варфарин и индометацин.

Циметидин

Коадминацията на амлодипин с циметидин не променя фармакокинетиката на амлодипин.

Сок от грейпфрут

Коадминацията на 240 ml сок от грейпфрут с единична перорална доза амлодипин 10 mg при 20 здрави доброволци не оказва значително влияние върху фармакокинетиката на амлодипин.

Maalox ® (Антацид)

Коадминацията на антиацидния малокс с единична доза амлодипин няма значително влияние върху фармакокинетиката на амлодипин.

Силденафил

Единична доза 100 mg силденафил при лица с есенциална хипертония не оказва влияние върху фармакокинетичните параметри на амлодипин. Когато в комбинация се използват амлодипин и силденафил, всеки агент независимо упражнява собствения си понижаване на кръвното налягане.

Аторвастатин

Коадминацията на множество 10 mg дози амлодипин с 80 mg аторвастатин не доведе до значителна промяна в стационарните фармакокинетични параметри на аторвастатин.

Дигоксин

Коадминацията на амлодипин с дигоксин не промени серумните нива на дигоксин или бъбречен клирънс на дигоксин при нормални доброволци.

Етанол (алкохол)

Единичните и множествените 10 mg дози амлодипин нямат значително влияние върху фармакокинетиката на етанола.

Варфарин

Коадминацията на амлодипин с варфарин не промени времето за реакция на варфарин протромбин.

Симвастатин

Коадминацията на множество дози от 10 mg амлодипин с 80 mg симвастатин води до 77% увеличение на експозицията на симвастатин в сравнение само с симвастатин.

CYP3A инхибитори

Коадминацията на 180 mg дневна доза дилтиазем с 5 mg амлодипин при пациенти с хипертония в напреднала възраст доведе до 60% увеличение на системната експозиция на амлодипин. Еритромицинът съвместно приложение при здрави доброволци не промени значително системната експозиция на амлодипин. Въпреки това силните инхибитори на CYP3A4 (напр. Кетоконазол итраконазол ритонавир) могат да увеличат плазмените концентрации на амлодипин в по -голяма степен.

Benazepril

Фармакокинетичните свойства на беназеприл не се влияят от хидрохлоротиазид фуросемид хлорталидон дигоксин пропранолол атенолол нифедипин амлодипин напроксен ацетилсалицилова киселина или циметидин. По същия начин приложението на Benazepril не влияе съществено на фармакокинетиката на тези лекарства.

Клинични изследвания

Над 950 пациенти са получавали лотрел веднъж дневно в 6 двойно-слепи плацебо-контролирани проучвания. Антихипертензивният ефект на една доза продължава 24 часа с пикови намаления, постигнати от 2 до 8 часа след дозирането.

Дози веднъж дневно дози беназеприл/амлодипин, използвайки дози беназеприл от 10 до 20 mg и амлодипин дози от 2,5 до 10 mg, намалява седналото налягане (систолно/диастолно) 24 часа след дозиране с около 10–25/6–13 mmHg.

В 2 проучвания при пациенти, които не са адекватно контролирани нито само на Benazepril 40 mg (n = 329), или на амлодипин 10 mg самостоятелно (n = 812) дози веднъж дневно дози лотрел 10/40 mg допълнително намаляват кръвното налягане в сравнение със съответната монотерапия.

Комбинираната терапия е ефективна при чернокожи и неблакове. И двата компонента допринесоха за антихипертензивната ефикасност при неблакове, но почти целият антихипертензивен ефект в черните могат да бъдат приписани на компонента на амлодипина. Сред пациентите, които не са плацебо, контролирани с плацебо, сравняващи LOTREL с отделните компоненти, е показано, че понижаването на кръвното налягане на комбинацията е адитивна, а в някои случаи синергични.

По време на хронична терапия с лотрел максималното намаляване на кръвното налягане с всяка дадена доза обикновено се постига след 1 до 2 седмици. Антихипертензивните ефекти на Lotrel продължават по време на терапията поне 1 година. Рязкото изтегляне на Lotrel не е свързано с бързо повишаване на кръвното налягане.

Информация за пациента за Lotrel

Lotrel ®
(Ниско пътуване)
(амлодипин бесилат/беназеприл хидрохлорид) капсули

Прочетете тази информационна листовка на пациента, преди да започнете да приемате Lotrel и всеки път, когато получите зареждане. Може да има нова информация. Тази листовка не замества да говори с Вашия лекар. Ако имате някакви въпроси, попитайте Вашия лекар или фармацевт.

Цефалексин 500 mg доза за инфекция на синусите

Коя е най -важната информация, която трябва да знам за Lotrel?

  • Lotrel can cause harm or death to an unborn baby.
  • Говорете с Вашия лекар за други начини за понижаване на кръвното налягане, ако планирате да забременеете.
  • Ако забременеете, докато приемате Lotrel, кажете на вашия лекар веднага.

Какво е Lotrel?

Lotrel contains 2 prescription medicines that work together to lower blood pressure: амлодипин besylate a блокер на калциевия канал и Benazepril hydrochloride an ACE inhibitor. Your doctor will prescribe Lotrel only after other medicines haven’t worked.

Високо кръвно налягане (хипертония) . Кръвното налягане е силата на кръвта в кръвоносните ви съдове. Имате високо кръвно налягане, когато силата е твърде много. Lotrel може да помогне на кръвоносните ви съдове да се отпуснат, така че кръвното ви налягане да е по -ниско.

Lotrel has not been studied in children.

Кой не трябва да приема Lotrel?

Не приемайте Lotrel, ако сте алергични към някоя от съставките. В края на тази листовка има пълен списък.

Какво трябва да кажа на моя лекар, преди да приема Lotrel?

Кажете на Вашия лекар за всички ваши медицински състояния, включително ако:

  • Вие сте бременна или планирате да забременеете. Виж Коя е най -важната информация, която трябва да знам за Lotrel?
  • Кърмите. Lotrel is present in human milk. It is not known whether Lotrel affects your breastfed baby or milk production.
  • Имате сърдечно състояние
  • Имате проблеми с черния дроб
  • Имате проблеми с бъбреците
  • Предстои ви операция (включително стоматологична хирургия) или спешно лечение
  • Страдате от няколко епизода на повръщане или диария
  • Вие сте лекувани от хиперкалемия (твърде много калий в кръвта)

Поддържайте списък на лекарствата си с вас, включително витамини и естествени или билкови лекарства, за да покажете на Вашия лекар или фармацевт. Някои от другите ви лекарства и лотал могат да се повлияят взаимно, причинявайки сериозни странични ефекти. Кажете на Вашия лекар за всички ваши лекарства, особено:

  • Симвастатин (a medicine used to control elevated cholesterol)
  • Лекарства за високо кръвно налягане или сърдечна недостатъчност
  • Водни хапчета Допълнителен калий или заместител на солта
  • Литий
  • лекарства, съдържащи калий, съдържащи калиеви добавки или заместители на сол, съдържащи калий
  • Циклоспорин и имуносупресорно лекарство, използвано при трансплантирани пациенти, за да се намали рискът от отхвърляне на органите
  • Индометацин и други нестероидни противовъзпалителни лекарства (НСПВС) лекарства, използвани за облекчаване на болката и възпалението
  • Инсулин или орални антидиабетици лекарства, които помагат на човек с диабет да контролира нивото им на глюкоза (захар) в кръвта
  • Злато за лечение на ревматоиден артрит
  • probenecid лекарство, използвано за лечение подагра и hyperuricemia
  • Лекарства, използвани за предотвратяване и лечение на гъбични кожни инфекции (например кетоконазол итраконазол)
  • Лекарства, използвани за лечение на СПИН или ХИВ инфекции (напр. Ритонавир Индинавир)
  • Лекарства, използвани за лечение на бактериални инфекции (например кларитромицин)
  • Лекарства, използвани при получатели на трансплантация на органи или за лечение на някои ракови заболявания (например Temsirolimus sirolimus everolimus)

Избягвайте алкохола, докато не обсъдите въпроса с Вашия лекар. Алкохолът може да накара кръвното налягане да падне повече и/или да увеличи възможността за замаяност или припадък .

Как да взема Lotrel?

  • Вземете Lotrel точно както вашият лекар ви казва.
  • Вземете Lotrel по едно и също време всеки ден със или без храна.
  • Ако пропуснете доза, вземете я веднага щом си спомните. Ако е повече от 12 часа, просто вземете следващата си доза в редовното време.
  • Вашият лекар може да тества за проблеми с бъбреците или да провери нивото на калий в кръвта.
  • Ако вземете твърде много Lotrel, обадете се на Вашия лекар или център за контрол на отровата или отидете в спешното отделение.
  • Кажете на всички свои лекари или зъболекар, че приемате Lotrel, ако:
    • ще направят операция
    • получават алергични снимки за пчелни ужилвания
    • Отидете за диализа на бъбреците

Какви са възможните странични ефекти на Lotrel?

Lotrel can cause serious side effects including:

  • Сериозни алергични реакции, които могат да бъдат животозастрашаващи.

    Спрете Lotrel и получете аварийна помощ веднага, ако получите:

    • Подуване на вашите клепачи на лицето устни или гърло
    • Имайте проблеми с преглъщането
    • астма (хрипове) или други проблеми с дишането

    Тези алергични реакции са рядкост, но се случват повече пъти при хора, които са афро-американски.

  • Ниско кръвно налягане (хипотония). Най -вероятно е ниското кръвно налягане да се случи, ако приемате и хапчета за вода са на диета с ниска сол, получете диализни лечения имат сърдечни проблеми или се разболеете от повръщане или диария. Легнете, ако се чувствате слаби или замаяни.
  • Проблеми с черния дроб. Обадете се на Вашия лекар, ако:
    • Имате гадене
    • Чувствате ви се по -уморени или по -слаби от обикновено
    • Имате сърбеж
    • кожата или очите ви изглеждат жълти
    • Имате болка в горния десен стомах
    • Имате грипоподобни симптоми
  • Проблеми с бъбреците. Някои хора ще имат промени в кръвните тестове за функция на бъбреците и се нуждаят от по -ниска доза Lotrel. Обадете се на Вашия лекар, ако получите подуване в глезените или ръцете на краката или необяснимо наддаване на тегло.
  • Повече болка в гърдите и сърдечни пристъпи При хора, които вече имат тежки сърдечни проблеми. Получете аварийна помощ, ако се влошите в по -лоша болка в гърдите или болка в гърдите, които не отшумяват.

По -често срещаните странични ефекти на Lotrel са:

  • замаяност припадък on stиing up
  • кашлица (dry nonproductive mainly at night continuing)
  • Подуване на краката на глезените и ръцете

Ако някой от тях ви засяга сериозно, кажете на вашия лекар.

Това не са всички странични ефекти на Lotrel. За пълен списък попитайте Вашия лекар или фармацевт.

Как да съхранявам Lotrel?

  • Съхранявайте лота при стайна температура 59 ° F - 86 ° F (15 ° C - 30 ° C).
  • Дръжте Lotrel в затворен контейнер на сухо място.
  • Дръжте Lotrel и всички лекарства извън обсега на децата.

Обща информация за Lotrel

Лекарите могат също да използват медицина за състояние, което не е в листовката за информация за пациента. Вземете Lotrel по начина, по който вашият лекар ви казва. Не го споделяйте с други хора. Може да им навреди.

За повече информация попитайте Вашия лекар или фармацевт посещение www.lotrel.com в интернет или се обадете на 1-888669-6682.

Какви са съставките в Lotrel?

Активни съставки: Амлодипин безилат (активната съставка, намираща се в Норвас ® ) беназеприл хидрохлорид (лотенсин ® )

Inactive ingredients: calcium phosphate cellulose compounds colloidal silicon dioxide crospovidone gelatin hydrogenated castor oil (not present in 5/40 mg and 10/40 mg strengths) iron oxides lactose monohydrate magnesium stearate polysorbate 80 silicon dioxide sodium lauryl sulfate sodium starch ( potato ) glycolate starch (corn) Талк и титанов диоксид.