Информацията В Сайта Не Е Медицински Съвет. Ние Не Продаваме Нищо. Точността На Превода Не Е Гарантирана. Отказ От Отговорност
АминогликозидиДостатъчно
Резюме на наркотиците
Какво е Тоби?
Тоби (тобрамицин) е антибиотик, използван за лечение на белодробни инфекции при пациенти с кистозна фиброза .
Какви са страничните ефекти на TOBI?
Достатъчно
- кошери
- затруднено дишане
- Подуване на лицето ви устни Език или гърло
- нови или влошаващи проблеми с дишането
- хрипове
- кашлица
- стягане на гърдите
- Проблем с дишането
- Слухови проблеми
- звънене в ушите ви
- дрезгав глас
- Тежка замаяност
- сензация на въртене
- Проблеми с баланса
- слабо или плитко дишане
- мускулна слабост
- малко или никакво уриниране
- Подуване на краката или глезените
- умора и
- задух
Получете медицинска помощ веднага, ако имате изброени по -горе симптоми.
Общите странични ефекти на TOBI включват:
- дрезгавост
- промени в гласа или
- неприятен вкус или миризма на лекарствата.
Кажете на Вашия лекар, ако имате малко вероятно, но сериозни странични ефекти на TOBI включват:
- Признаци за увреждане на слуха (като звънене или ревящи звуци в ушите замаяност на загубата на слуха) или
- необичайно намаление на количеството урина.
Потърсете медицинска помощ или се обадете на 911 наведнъж, ако имате следните сериозни странични ефекти:
- Сериозни симптоми на очите, като например внезапна загуба на зрение, замъглено зрение Тунел Виждане болка в очите или подуване или виждане на ореоли около светлините;
- Сериозни сърдечни симптоми като бързи нередовни или ударни сърдечни удари; трептене в гърдите ви; задух; и внезапно замаяност Лекоглавия или раздаване;
- Тежка главоболие объркване затънала речева ръка или крак слабост проблем за ходене на загуба на координация, чувствайки се нестабилни много твърди мускули висока треска обилно изпотяване или тремор.
Този документ не съдържа всички възможни странични ефекти, а други могат да възникнат. Консултирайте се с вашия лекар за допълнителна информация за страничните ефекти.
Дозировка за Тоби
Препоръчителната доза на TOBI за възрастни и педиатрични пациенти на 6 и повече години е 1 ампула за еднократна употреба (300 mg), прилагана два пъти дневно в продължение на 28 дни. Дозите трябва да се приемат на разстояние 12 часа; Те не трябва да се приемат по -малко от 6 часа един от друг.
Ortho New 1/35 Generic
Какви лекарства вещества или добавки взаимодействат с TOBI?
TOBI може да взаимодейства с уросемид Ethacryinc киселина или манитол. Не смесвайте TOBI с Dornase Alfa в пулверизатора. Кажете на Вашия лекар всички лекарства и добавки без рецепта, които използвате.
Тоби по време на бременност или кърмене
TOBI не се препоръчва за употреба по време на бременност. Въпреки че има съобщения за вреда при бебета, родени от жени, които използват подобни лекарства, рискът от вреда може да не е същият с това лекарство. Консултирайте се с Вашия лекар. Не е известно дали инхалаторният тобрамицин преминава в кърма. Въпреки това други форми на това лекарство преминават в кърма в много малки количества и много лекари смятат кърменето безопасно, докато използват това лекарство. Консултирайте се с Вашия лекар преди кърмене.
Допълнителна информация
Нашият TOBI (Tobramycin) Странични ефекти в лекарствата предоставя изчерпателен поглед върху наличната информация за лекарството върху потенциалните странични ефекти при приемането на това лекарство.
Информация за наркотиците на FDA
- Описание на лекарството
- Показания
- Странични ефекти
- Предупреждения
- Предпазни мерки
- Предозиране
- Клинична фармакология
- Ръководство за лекарства
Описание за Тоби
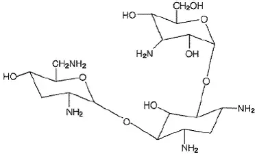
TOBI® е тобрамицин разтвор за вдишване. Това е стерилно ясно леко жълто непирогенен воден разтвор с рН и соленост, коригирани специално за прилагане чрез пулверизатор с многократна употреба на въздух. Химическата формула за тобрамицин е c 18 H 37 N 5 O 9 а молекулното тегло е 467,52. Тобрамицинът е O-3-амино-3-дезокси-α-D-глюкопиранозил- (1 → 4) -O- [26-диамино-236trideoxy-α-D-RiBo-хексопиранозил- (1 → 6)]-2-дезокси-L-стрептамин. Структурната формула за тобрамицин е:
|
Всяка 5-милиметрова ампула съдържа 300 mg тобрамицин и 11,25 mg натриев хлорид в стерилна вода за инжектиране. Прибавят се сярна киселина и натриев хидроксид, за да се регулира рН до 6,0. Азотът се използва за разпалване. Всички съставки отговарят на изискванията на USP. Формулирането не съдържа консерванти.
Използва за TOBI
TOBI е показан за управление на пациенти с муковисцидоза с P. aeruginosa .
Безопасността и ефикасността не са демонстрирани при пациенти на възраст под 6 години пациенти с принудителен експиратор за 1 секунда (FEV 1 ) <25% or> 75% прогнозирани или пациенти, колонизирани с Burkholderia Cepacia (Вижте Клинични изследвания ).
Дозировка за Тоби
Препоръчителната доза както за възрастни, така и за педиатрични пациенти на възраст 6 и повече години е 1 ампула за еднократна употреба (300 mg), прилагана за 28 дни. Дозировката не се регулира от теглото. Всички пациенти трябва да се прилагат 300 mg оферта. Дозите трябва да се приемат възможно най -близо до 12 часа; Те не трябва да се приемат по -малко от 6 часа един от друг.
Тоби се вдишва, докато пациентът седи или стои изправен и диша нормално през мундщука на пулверизатора. Носовите клипове могат да помогнат на пациента да диша през устата.
TOBI се прилага оферта в променливи периоди от 28 дни. След 28 дни терапия пациентите трябва да спрат терапията с TOBI за следващите 28 дни и след това да възобновят терапията за следващия 28 -дневен цикъл на свободна възраст.
TOBI се доставя като ампула за еднократна употреба и се прилага чрез вдишване, използвайки ръчен Pari LC Plus Plus за многократна употреба на пулмо-а-ай-айд компресор. TOBI не е за подкожно интравенозно или интратекално приложение.
Употреба
TOBI се прилага чрез вдишване на приблизително 15-минутен период, използвайки ръчен Pari LC плюс пулверизатор с многократна употреба с компресор на Devilbiss Pulmo-Aide. TOBI не трябва да се разрежда или смесва с Dornase alfa (Pulmozyme genentech) или други лекарства в пулверизатора.
По време на клиничните проучвания пациентите на множество терапии бяха инструктирани да ги приемат първо, следван от TOBI.
Колко се доставя
Големи 300 mg е достъпен, както следва:
NDC 0078-0494-71 5 ml еднократна ампула (картонена опаковка 56)
Съхранение
TOBI трябва да се съхранява под хладилник при 2 ° C - 8 ° C/36 ° F - 46 ° F. След отстраняване от хладилника или ако хладилникът не е наличен TOBI® торбички (отворени или неотворени), може да се съхранява при стайна температура (до 25 ° C/77 ° F) за до 28 дни. TOBI® не трябва да се използва извън датата на изтичане, подпечатано върху ампула, когато се съхранява под хладилник (2 ° C - 8 ° C/36 ° F - 46 ° F) или след 28 дни, когато се съхранява при стайна температура (25 ° C/77 ° F).
Ампулите на Tobi не трябва да бъдат изложени на интензивна светлина. Разтворът в ампула е леко жълт, но може да потъмнее с възрастта, ако не се съхранява в хладилника; Промяната на цвета обаче не показва промяна в качеството на продукта, стига да се съхранява в препоръчителните условия за съхранение.
Разпространено от: Novartis Pharmaceuticals Corporation East Hanover New Jersey 07936.
Странични ефекти за TOBI
TOBI като цяло се понася добре по време на две клинични проучвания в 258 кистозна фиброза Пациентите, вариращи на възраст от 6 до 48 години. Пациентите са получавали TOBI в променливи периоди от 28 дни на и 28 почивни лекарства в допълнение към стандартната си терапия с муковисцидоза за общо 24 седмици.
Промяната на гласа и шумът в ушите са единствените неблагоприятни преживявания, докладвани от значително повече пациенти, лекувани с TOBI. Тридесет и три пациенти (13%), лекувани с TOBI, се оплакват от промяна на гласа в сравнение със 17 (7%) пациенти с плацебо. Промяната на гласа беше по-често срещана в периодите на набиране.
Осем пациенти от групата на TOBI (3%) съобщават за ушите в сравнение с пациенти с плацебо. Всички епизоди бяха преходни разрешени без прекратяване на режима на лечение на TOBI и не бяха свързани със загуба на слуха в аудиограми. Тинитусът е един от симптомите на кохлеарната токсичност и пациентите с този симптом трябва да бъдат внимателно наблюдавани за високочестотна загуба на слуха. Броят на пациентите, отчитащи вестибуларни неблагоприятни преживявания като замаяност, е бил подобен в групите TOBI и плацебо.
Девет (3%) пациенти в групата на TOBI и девет (3%) пациенти в плацебо групата са увеличили серумния креатинин от поне 50%спрямо изходната стойност. При всичките девет пациенти в TOBI групата креатинин намалява при следващото посещение.
Таблица 1 изброява процента на пациентите с възникващи неблагоприятни преживявания (спонтанно докладвани и поискани), които са настъпили при> 5% от пациентите с TOBI по време на двете проучвания на фаза III.
Таблица 1: Процент от пациентите с лечение възникващи неблагоприятни преживявания, възникващи при> 5% от пациентите с TOBI
| Нежелано събитие | Достатъчно (n = 258) % | Плацебо (n = 262) % |
| Кашлицата се увеличи | 46.1 | 47.3 |
| Фарингит | 38.0 | 39.3 |
| Храчката се увеличава | 37.6 | 39.7 |
| Астения | 35.7 | 39.3 |
| Ринит | 34.5 | 33.6 |
| Диспнея | 33.7 | 38.5 |
| Треска 1 | 32.9 | 43.5 |
| Белодробно разстройство | 31.4 | 31.3 |
| Главоболие | 26.7 | 32.1 |
| Болки в гърдите | 26.0 | 29.8 |
| Обезцветяване на храчката | 21.3 | 19.8 |
| Хемоптиза | 19.4 | 23.7 |
| Анорексия | 18.6 | 27.9 |
| Функцията на белите дробове намалява 2 | 16.3 | 15.3 |
| Астма | 15.9 | 20.2 |
| Повръщане | 14.0 | 22.1 |
| Коремна болка | 12.8 | 23.7 |
| Промяна на гласа | 12.8 | 6.5 |
| Гадене | 11.2 | 16.0 |
| Загуба на тегло | 10.1 | 15.3 |
| Болка | 8.1 | 12.6 |
| Синузит | 8.1 | 9.2 |
| Болка в ушите | 7.4 | 8.8 |
| Болки в гърба | 7.0 | 8.0 |
| Епистаксис | 7.0 | 6.5 |
| Вкуса извращение | 6.6 | 6.9 |
| Диария | 6.2 | 10.3 |
| Маллайз | 6.2 | 5.3 |
| Инфекция на долните дихателни пътища | 5.8 | 8.0 |
| Замаяност | 5.8 | 7.6 |
| Хипервентилация | 5.4 | 9.9 |
| Обрив | 5.4 | 6.1 |
| 1 Включва субективни оплаквания от треска. 2 Включва отчетените намаления на тестовете за белодробна функция или намален обем на белите дробове върху рентгенографията на гръдния кош, свързан с взаимосвързаност или прилагане на лекарствени лекарства. |
Нежелани лекарствени реакции ( <5%) occurring more frequently with Достатъчно in the плацебо-controlled studies и assessed as drug-related in ≥ 1% of patients:
Разстройства на ушите и лабиринта
Тинитус (NULL,1% срещу 0% за плацебо)
Мускулно -скелетни и съединителни тъкани
Миалгия (NULL,7% срещу 2,7% за плацебо)
Инфекции и зарази
Ларингит (NULL,3% срещу 3,1% за плацебо)
Нежелани лекарствени реакции, получени от спонтанни доклади
Следните нежелани реакции са идентифицирани по време на използването на TOBI след прилагане. Тъй като тези реакции се отчитат доброволно от популация с несигурен размер, не винаги е възможно надеждно да се оцени тяхната честота или да се установи причинно -следствена връзка с експозицията на лекарства.
Разстройства на ушите и лабиринта
Загуба на слуха (виж Предупреждения – Елицедност )
Кожа и подкожни тъкани
Свръхчувствителност pruritus urticaria обрив
Нарушения на нервната система
Aphonia dygheusia
Дихателни гръдни и медиастинални разстройства
Бронхоспазъм (виж Предупреждения – Бронхоспазъм ) Орофарингеална болка
Метаболизъм и разстройства на храненето
Намален апетит
Лекарствени взаимодействия за TOBI
В клинични проучвания на пациенти с TOBI, приемащи TOBI едновременно с Dornase Alfa (Pulmozyme genentech) ß-агонисти, вдишват кортикостероиди, други анти-псевдомонални антибиотици или парентерални аминогликозиди демонстрират неблагоприятни профили на опит, подобни на изследваната популация като цяло.
Трябва да се избягва едновременната и/или последователната употреба на TOBI с други лекарства с невротоксична нефротоксична или ототоксична потенциал. Някои диуретици могат да засилят токсичността на аминогликозид чрез промяна на концентрациите на антибиотици в серум и тъкан. TOBI не трябва да се прилага едновременно с урея от етакринна киселина фуросемид или интравенозен манитол. Взаимодействието между инхалаторния манитол и TOBI не е оценено.
Предупреждения for Tobi
Трябва да се внимава при предписване на TOBI на пациенти с известна или подозрителна бъбречна слухова вестибуларна или нервно -мускулна дисфункция. Пациентите, получаващи съпътстваща парентерална аминогликозидна терапия, трябва да се наблюдават като клинично подходящо.
Аминогликозидите могат да причинят вреда на плода, когато се прилагат на бременна жена. Аминогликозидите преминават през плацентата и стрептомицинът са свързани с няколко съобщения за обща необратима двустранна вродена глухота при педиатрични пациенти, изложени във матката. Пациентите, които използват TOBI по време на бременност или забременяват, докато приемат TOBI, трябва да бъдат информирани за потенциалната опасност за плода.
Елицедност
Елицедност as measured by complaints of hearing loss or by audiometric evaluations did not occur with Достатъчно therapy during clinical studies. However transient tinnitus occurred in eight Достатъчно-treated patients versus no плацебо patients in the clinical studies. Tinnitus may be a sentinel symptom of ototoxicity и therefore the onset of this symptom warrants caution (Вижте Нежелани реакции ). Елицедност manifested as both auditory и vestibular toxicity has been reported with parenteral aminoglycosides. Vestibular toxicity may be manifested by vertigo ataxia or dizziness.
При опит в следпарбила пациентите, получаващи TOBI, съобщават за загуба на слуха. Някои от тези съобщения са възникнали при пациенти с предишно или съпътстващо лечение със системни аминогликозиди. Пациентите със загуба на слуха често съобщават в ушите.
Нефротоксичност
Нефротоксичност was not seen during Достатъчно clinical studies but has been associated with aminoglycosides as a class. If nephrotoxicity occurs in a patient receiving Достатъчно tobramycin therapy should be discontinued until serum concentrations fВсички below 2 mcg/mL.
Мускулни разстройства
Достатъчно should be used cautiously in patients with neuromuscular disorders such as myasthenia gravis or Parkinson's disease since aminoglycosides may aggravate мускулна слабост because of a potential curare-like effect on neuromuscular function.
Бронхоспазъм
Бронхоспазъм has been reported with inhalation of Достатъчно. In clinical studies of Достатъчно changes in FEV 1 Измерени след инхалаторната доза са сходни в групите Tobi и плацебо. Бронхоспазмът трябва да се третира като медицински подходящ.
Предпазни мерки for Tobi
Информация за пациенти
Забележка: В допълнение към информация, предоставена по -долу a Ръководство за лекарства за пациент Предоставянето на инструкции за правилното използване на TOBI се съдържа вътре в пакета.
Информация за безопасността
Достатъчно is in a class of antibiotics that have caused hearing loss dizziness kidney damage и harm to a fetus. Ringing in the ears и дрезгавост were two symptoms that were seen in more patients taking Достатъчно than плацебо in research studies. Patients with кистозна фиброза can have many symptoms. Some of these symptoms may be related to your medications. If you have new or worsening symptoms you should tell your doctor.
Слух: Трябва да кажете на вашия лекар, ако имате звънене в ушите замаяност или някакви промени в слуха.
Повреда на бъбреците: Информирайте Вашия лекар, ако имате някаква история на проблемите с бъбреците.
Бременност: Ако искате да забременеете или сте бременни, докато сте на Тоби, трябва да говорите с Вашия лекар за възможността Тоби да причини някаква вреда.
Кърмещи майки: Ако кърмите бебе, трябва да говорите с Вашия лекар, преди да използвате TOBI.
Достатъчно Packaging
Достатъчно comes in a single dose ready-to-use ampule containing 300 mg tobramycin. Each foil pouch contains 4 ampules for 2 days of Достатъчно therapy.
Доза
Дозата от 300 mg на TOBI е еднаква за пациентите, независимо от възрастта или теглото. Тоби не е проучен при пациенти на възраст под 6 години. Дозите трябва да се вдишват възможно най -близо до 12 часа и не по -малко от 6 часа един от друг.
Странични ефекти на вагиналния крем на Премарин
Не трябва да смесвате TOBI с Dornase Alfa (Pulmozyme® Genentech) в пулверизатора.
Ако приемате няколко лекарства, препоръчителният ред е следният: Бронходилататор първо последван от физиотерапия на гърдите, тогава други инхалаторни лекарства и накрая TOBI.
График на лечението
Трябва да приемате TOBI в многократни цикли от 28 дни на лекарство, последвано от 28 почивни лекарства. Трябва да приемате TOBI два пъти на ден през 28-дневния период на наркотици.
Как да администрира TOBI
Тази информация не е предназначена да замени консултациите с вашия лекар и екип за грижа за CF за правилно приемане на лекарства или използване на оборудване за инхалация.
Достатъчно is specificВсичкиy formulated for inhalation using a PARI LC PLUS™ Reusable Nebulizer и a DeVilbiss® Pulmo-Aide® air compressor. Достатъчно can be taken at home school or at work. The following are instructions on how to use the Air Compressor на Devilbiss Pulmo-Aide и Pari lc плюс пулверизатор за многократна употреба to administer Достатъчно.
Ще ви трябват следните доставки:
- Достатъчно plastic ampule (vial)
- Air Compressor на Devilbiss Pulmo-Aide
- Pari lc плюс пулверизатор за многократна употреба
- Тръби за свързване на пулверизатора и компресора
- Чиста хартия или кърпи за плат
- Носови клипове (по избор)
Важно е вашият пулверизатор и компресор да функционират правилно, преди да започнете терапията си с TOBI.
ЗАБЕЛЕЖКА: Моля, вижте грижите за грижата и инструкциите на производителите за важна информация.
Подготовка на вашия TOBI за вдишване
- Измийте добре ръцете си със сапун и вода.
- Достатъчно is packaged with 4 ampules per foil pouch.
- Отделете една ампула, като внимателно се дърпате в долните раздели. Съхранявайте всички останали ампули в хладилника според указанията.
- Поставете съдържанието на пакет за пулверизатор Pari LC плюс многократна употреба на чиста суха хартия или кърпа. Трябва да имате следните части:
- Моб
- Капачка на инспираторната клапа
- Мундщук с клапан
- Тръба
- Извадете горната част на пулверизатора от чашата на пулверизатора, като усукате пулверизатора отгоре обратно на часовниковата стрелка и след това повдигнете. Поставете горната част на пулверизатора върху чистата хартия или кърпа за плат. Застанете чашата на пулверизатора изправена на кърпата.
- Свържете единия край на тръбата към изхода на компресора. Тръбата трябва да се побере плътно. Включете вашия компресор към електрически изход.
- Отворете ампула на Tobi, като държите долния раздел с едната ръка и усуквате горната част на ампула с другата ръка. Внимавайте да не изтръгнете ампула, докато не сте готови да изпразнете съдържанието му в чашата на пулверизатора.
- Стиснете Всички Съдържанието на ампула в чашата на пулверизатора.
- Сменете горната част на пулверизатора. Забележка: За да поставите лобулизатора в чашата на пулверизатора, полукръгът наполовина надолу по стъблото на горната част на пулверизатора трябва да се изправи срещу изхода на пулверизатора.
- Прикрепете мундщука към изхода на пулверизатора. След това твърдо натиснете капачката на инспираторната клапа на мястото на плота на пулверизатора. ЗАБЕЛЕЖКА: Капачката на вдъхновяващата клапа ще се побере плътно.
- Свържете свободния край на тръбата от компресора към входа на въздуха в долната част на пулверизатора, като не забравяте да държите пулверизатора изправен. Натиснете здраво тръбата върху входа на въздуха.
Достатъчно Treatment
- Включете компресора.
- Проверете за стабилна мъгла от мундщука. Ако няма мъгла, проверете всички тръбни връзки и потвърдете, че компресорът работи правилно.
- Седнете или застанете в изправено положение, което ще ви позволи да дишате нормално.
- Поставете мундщука между зъбите и върху езика си и дишайте нормално само през устата си. Носовите клипове могат да ви помогнат да дишате през устата си, а не през носа си. Не блокирайте въздушния поток с езика си.
- Продължете лечението, докато всичките ви TOBI не си отидат и вече няма никаква мъгла. Може да чуете разпръскващ звук, когато чашата на пулверизаторите е празна. Цялото лечение на TOBI трябва да отнеме приблизително 15 минути. ЗАБЕЛЕЖКА: Ако сте прекъснати, трябва да кашляте или почивате по време на лечението си с TOBI, изключете компресора, за да запазите лекарствата си. Включете компресора отново, когато сте готови да възобновите терапията си.
- Следвайте инструкциите за почистване и дезинфекция на пулверизатора след завършване на терапията.
Почистване на вашия пулверизатор
За да намалите риска от болести на инфекция или нараняване от замърсяване, трябва старателно да почистите всички части на пулверизатора, както е указано след всяко лечение. Никога не използвайте пулверизатор със запушена дюза. Ако дюзата е запушена, не се произвежда аерозолна мъгла, която ще промени ефективността на лечението. Сменете пулверизатора, ако се случи запушване.
- Извадете тръбите от пулверизатора и разглобете части на пулверизатора.
- Измийте всички части (с изключение на тръбите) с топла вода и течен сапун за чинии.
- Изплакнете старателно с топла вода и разклатете вода.
- Въздух на въздух или ръчно сухи части на пулверизатора върху чиста кърпа без мъх. Повторно сглобете пулверизатор, когато е сух и съхранявайте.
- Можете също да измиете всички части на пулверизатора в съдомиялна машина (с изключение на тръбите). Поставете частите на пулверизатора в кошница за съдомиялна машина, след което поставете върху горния багажник на съдомиялната машина. Извадете и изсушете частите, когато цикълът е завършен.
Дезинфекция на вашия пулверизатор
Вашият пулверизатор е само за вашата употреба - не споделяйте пулверизатора си с други хора. Трябва редовно да дезинфекцирате пулверизатора. Ако не го направите, може да доведе до сериозни или фатални заболявания.
Почистете пулверизатора, както е описано по -горе. Всеки друг ден на лечение дезинфекцира частите на пулверизатора (с изключение на тръбите), като ги кипи във вода за цели 10 минути. Сухи части върху чиста кърпа без мъх.
Грижа и използване на вашия компресор Pulmo-Aide
Следвайте инструкциите на производителя за грижи и използване на вашия компресор.
Промяна на филтъра:
1. Филтрите за компресори на Devilbiss трябва да се променят на всеки шест месеца или по -рано, ако филтърът стане напълно сив на цвят.
Почистване на компресора:
- С превключвател на захранване в изключителна позиция Изключете захранващия кабел от изхода на стената.
- Избършете извън шкафа за компресор с чиста влажна кърпа на всеки няколко дни, за да поддържате праха без прах.
Внимание: Не потопяйте във вода; Това ще доведе до увреждане на компресора.
Съхранение Instructions
Трябва да съхранявате TOBI ампули в хладилник (2 ° C - 8 ° C или 36 ° F –46 ° F). Въпреки това, когато нямате наличен хладилник (например транспортиране на вашия TOBI), можете да съхранявате торбичките с фолио (отворени или неотворени) при стайна температура (до 25 ° C/77 ° F) за до 28 дни.
Избягвайте да излагате ампулите на Tobi на интензивна светлина.
Непреддържат тоби, който обикновено е леко жълт, може да потъмнее с възрастта; Промяната на цвета обаче не показва промяна в качеството на продукта.
Не трябва да използвате TOBI, ако е облачно, ако има частици в разтвора или ако е съхраняван при стайна температура повече от 28 дни. Не трябва да използвате TOBI отвъд датата на изтичане, подпечатана върху ампула.
Допълнителна информация
Пулверизатор: 1-800-327-8632
Компресор: 1-800-338-1988
Достатъчно: 1-888-вече-нова (1-888-669-6682)
Лабораторни тестове
Аудиограми
Клиничните проучвания на TOBI не идентифицират загуба на слуха с помощта на аудиометрични тестове, които оценяват слуха до 8000 Hz. Лекарите трябва да обмислят аудиограма за пациенти, които показват доказателства за слухова дисфункция или които са изложени на повишен риск от слухова дисфункция. Тинитусът може да бъде симптом на ототоксичност на Сентинел и следователно началото на този симптом гарантира предпазливост.
Серумни концентрации
При пациенти с нормална бъбречна функция, лекувани с концентрации на TOBI серум на тобрамицин, са приблизително 1 MCG/ml 1 час след прилагане на дозата и не се нуждаят от рутинно наблюдение. Серумните концентрации на тобрамицин при пациенти с бъбречна дисфункция или пациенти, лекувани със съпътстващ парентерален тобрамицин, трябва да се наблюдават по преценка на лекуващия лекар.
Серумната концентрация на тобрамицин трябва да се наблюдава само чрез венепунктура, а не проба на кръвта на пръста. Замърсяването на кожата на пръстите с тобрамицин може да доведе до фалшиво повишени измервания на серумните нива на лекарството. Това замърсяване не може да бъде напълно избегнато чрез измиване на ръцете преди тестване.
Бъбречна функция
Клиничните проучвания на TOBI не разкриват дисбаланс в процента на пациентите в групите TOBI и плацебо, които са имали поне 50% ръст на серумния креатинин от изходното ниво (виж Нежелани реакции ). Laboratory tests of urine и renal function should be conducted at the discretion of the treating physician.
Канцерогенеза мутагенеза Нарушаване на плодовитостта
Завършено е двугодишно проучване за токсикология за инхалация на плъхове за оценка на канцерогенния потенциал на TOBI. Плъховете бяха изложени на TOBI за до 1,5 часа на ден в продължение на 95 седмици. Клиничната формулировка на лекарството се използва за това канцерогенност. Серумните нива на тобрамицин до 35 mcg/ml бяха измерени при плъхове за разлика от средните 1 MCG/mL нива, наблюдавани при пациенти с муковисциброза при клинични изпитвания. Не е имало увеличение на честотата на честотата на всякакви разнообразие от тумор.
Освен това TOBI е оценен за генотоксичност в батерия от in vitro и напразно тестове. Тестът за реверсиране на бактериите на AMES, проведен с 5 тестерни щама, не успя да покаже значително увеличение на ревертанти със или без метаболитно активиране във всички щамове. Тобрамицинът е отрицателен в мутационния анализ на мишката на лимфома напред не индуцира хромозомни аберации в клетките на яйчниците на китайски хамстер и е отрицателен в теста за микронуклеус на мишката.
Подкожното приложение до 100 mg/kg тобрамицин не повлиява поведението на чифтосване или не причинява увреждане на плодовитостта при мъжки или женски плъхове.
Бременност
Тератогенни ефекти
Бременност Category D
(Вижте Предупреждения )
Не са проведени репродукционни изследвания за токсикология с TOBI. Въпреки това подкожното приложение на тобрамицин при дози от 100 или 20 mg/kg/ден по време на органогенезата не е тератогенно при плъхове или зайци. Дози тобрамицин ≥ 40 mg/kg/ден са тежко токсични за зайци и изключват оценката на тератогенността. Аминогликозидите могат да причинят вреда на плода (например вродена глухота), когато се прилагат на бременна жена. Ототоксичността не се оценява при потомство по време на неклинични изследвания за токсичност за репродукция с тобрамицин. Ако TOBI се използва по време на бременност или ако пациентът забременее по време на приемане на TOBI, пациентът трябва да бъде признат за потенциалната опасност за плода.
Кърмещи майки
Не е известно дали TOBI ще постигне достатъчни концентрации след прилагане чрез вдишване, за да бъде екскретиран в човешкото кърма. Поради потенциала за ототоксичност и нефротоксичност при кърмачета трябва да се вземе решение дали да се прекрати медицинската сестра или да се прекрати TOBI.
Педиатрична употреба
Безопасността и ефикасността на TOBI не са проучени при педиатрични пациенти под 6 години.
Гериатрична употреба
Клиничните проучвания на TOBI не включват пациенти на възраст 65 години и повече. Известно е, че тобрамицинът е значително екскретен от бъбрека и рискът от нежелани реакции към това лекарство може да бъде по -голям при пациенти с нарушена бъбречна функция. Тъй Предупреждения – Нефротоксичност ; ПРЕДПАЗНИ МЕРКИ – Серумни концентрации ).
Информация за предозиране за TOBI
Признаци и симптоми на остра токсичност от предозиране на интравенозна (IV) тобрамицин могат да включват загуба на замаяност тинитус вертиго загуба на високотокова слухова острота Дихателна недостатъчна недостатъчност невромускулна блокада и бъбречно увреждане. Прилагането чрез вдишване води до ниска системна бионаличност на тобрамицин. Тобрамицинът не се абсорбира значително след перорално приложение. Серумните концентрации на тобрамицин могат да бъдат полезни за наблюдение на предозиране.
Във всички случаи на заподозрени лекари на предозиране трябва да се свържат с Регионалния център за контрол на отровата за информация за ефективно лечение. В случай на прекомерно дозиране трябва да се вземе предвид възможността за взаимодействие с лекарства с промени в разположението на лекарствата.
Противопоказания за TOBI
Достатъчно is contraindicated in patients with a known hypersensitivity to any aminoglycoside.
Клинична фармакология for Tobi
Достатъчно is specificВсичкиy formulated for administration by inhalation. When inhaled tobramycin is concentrated in the airways.
Фармакокинетика
Достатъчно contains tobramycin a cationic polar molecule that does not readily cross epithelial membranes. 1 Бионаличността на TOBI може да варира поради индивидуалните различия в работата на пулверизаторите и патологията на дихателните пътища. 2 След прилагането на Тоби Тобрамицин остава концентриран предимно в дихателните пътища.
Концентрации на храчки
Десет минути след вдишване на първата доза от 300 mg от TOBI средната концентрация на тобрамицин е 1237 mcg/g (варираща от 35 до 7417 mcg/g) в храчката. Тобрамицинът не се натрупва в храчки; След 20 седмици терапия с режима на TOBI средната концентрация на тобрамицин в десет минути след вдишването е 1154 mcg/g (варираща от 39 до 8085 mcg/g) в храчката. Наблюдава се висока променливост на концентрацията на тобрамицин в храчката. Два часа след инхалационните концентрации на храчки намаляват до приблизително 14% от нивата на тобрамицин за десет минути след вдишването.
Серумни концентрации
Средната серумна концентрация на тобрамицин един час след вдишване на единична 300-mg доза TOBI от пациенти с муковисцидоза е 0,95 mcg/ml. След 20 седмици терапия върху режима на TOBI средната концентрация на серум на тобрамицин един час след дозирането е 1,05 mcg/ml.
Елиминиране
Елиминационният полуживот на тобрамицин от серума е приблизително 2 часа след интравенозно (IV) приложение. Ако приемем, че абсорбираният тобрамицин след инхалация се държи подобно на тобрамицин след прилагането на IV системно абсорбира тобрамицин, се елиминира главно чрез гломерулна филтрация. Небсорбиран тобрамицин след прилагането на TOBI вероятно е елиминиран предимно в отхрачващия се храчки.
Микробиология
Тобрамицинът е аминогликозиден антибиотик, произведен от Streptomyces Tenebrarius. 1 Той действа предимно чрез нарушаване на синтеза на протеини, водещо до променена клетъчна мембрана пропускливост прогресивно нарушаване на клетъчната обвивка и евентуалната клетъчна смърт. 3
Тобрамицин има in vitro активност срещу широк спектър от грам-отрицателни организми, включително Pseudomonas aeruginosa . Той е бактерициден при концентрации, равни или малко по -големи от инхибиторните концентрации.
Тестване на чувствителност
Единична проба от храчки от пациент с муковисцидоза може да съдържа множество морфотипове на Pseudomonas aeruginosa и each morphotype may have a different level of in vitro чувствителност към тобрамицин. Лечението в продължение на 6 месеца с TOBI в две клинични проучвания не повлиява чувствителността на по -голямата част от P. aeruginosa тествани изолати; Въпреки това при някои пациенти обаче са забелязани повишени минимални инхибиторни концентрации (MIC). Клиничното значение на тази информация не е ясно установено при лечението на P. aeruginosa При пациенти с муковисцидоза. За допълнителна информация относно ефектите на TOBI върху P. aeruginosa Стойности на MIC и плътност на бактериалната храчка, моля, вижте раздела за клиничните изследвания.
The in vitro Антимикробни методи за изпитване на чувствителност, използвани за парентерална терапия с тобрамицин, могат да се използват за наблюдение на чувствителността на P. aeruginosa изолирани от пациенти с муковисцидоза. Ако се отбележи намалена чувствителност, резултатите трябва да бъдат докладвани на клиничния лекар.
Точките на прекъсване на чувствителността, установени за парентерално приложение на тобрамицин, не се прилагат за аерозолизирано приложение на TOBI. Връзката между in vitro Резултатите от тестовете за чувствителност и клиничният резултат с терапията на TOBI не са ясни.
Клинични изследвания
Две идентично разработени двойно-сляпо рандомизирани плацебо-контролирани паралелни групи 24-седмични клинични проучвания (проучване 1 и проучване 2) при общо 69-кистозна фиброзна центъра в Съединените щати са проведени при пациенти с муковисцидоза с пациенти с муковисцидоза с пациенти P. aeruginosa . Субектите, които са били на възраст под 6 години, са имали базов креатинин от> 2 mg/dL или са били изключени Burkholderia cepacia, изолирани от храчки. Всички субекти са имали изходна линия FEV 1 % прогнозира между 25% и 75%. В тези клинични проучвания 258 пациенти са получили TOBI терапия на амбулаторна основа (виж таблица 2), използвайки ръчен Pari LC Plus за многократна употреба с многократна употреба с компресор на Devilbiss Pulmo-Aide.
Таблица 2: Режим на дозиране в клиничните проучвания
| Цикъл 1 | Цикъл 2 | Цикъл 3 | ||||
| 28 дни | 28 дни | 28 дни | 28 дни | 28 дни | 28 дни | |
| Достатъчно regimen n = 258 | Достатъчно | Без лекарство | Достатъчно | Без лекарство | Достатъчно | Без лекарство |
| 300 mg | 300 mg | 300 mg | ||||
| Оферта | Оферта | Оферта | ||||
| Плацебо regimen n = 262 | плацебо | Без лекарство | плацебо | Без лекарство | плацебо | Без лекарство |
| Оферта | Оферта | Оферта |
Всички пациенти са получавали или TOBI, или плацебо (физиологичен разтвор с 1,25 mg хинин за ароматизация) в допълнение към стандартно лечение, препоръчано за пациенти с муковисцидоза, които включват перорални и парентерални антипседомонални терапия β2-агонисти Cromolyn в инхалаторни стероиди и техники за разчистване на дихателните пътища. В допълнение приблизително 77% от пациентите са били едновременно лекувани с Dornase Alfa (Pulmozyme genentech).
Миконазол 1 ден лечение Странични ефекти
Във всяко проучване пациентите, лекувани с TOBI, изпитват значително подобрение на белодробната функция. Подобрението беше демонстрирано в групата на TOBI в проучване 1 чрез средно увеличение на FEV 1 % прогнозира за около 11% спрямо изходното ниво (седмица 0) през 24 седмици в сравнение със средна промяна при пациенти с плацебо. В проучване 2 пациенти с TOBI имат средно увеличение с около 7% в сравнение със средно намаление с около 1% при пациенти с плацебо. Фигура 1 показва средната относителна промяна в FEV 1 % прогнозира за 24 седмици и за двете проучвания.
Фигура 1: Относителна промяна от изходното ниво във FEV 1 % Прогнозирано
|
Във всяко проучване TOBI терапията доведе до значително намаляване на броя на P. aeruginosa Колонии, образуващи единици (CFU) в храчките през периодите на навреждане на лекарства. Бактериалната плътност на храчката се връща в изходната линия през периодите на извън лекарството. Намаляването на бактериалната плътност на храчката е по -малка във всеки последователен цикъл (виж фигура 2).
Фигура 2: Абсолютна промяна от изходното ниво в log10 cfus
|
Пациентите, лекувани с TOBI, са хоспитализирани средно 5,1 дни в сравнение с 8,1 дни за пациенти с плацебо. Пациентите, лекувани с TOBI, се нуждаят от средно 9,6 дни парентерално антипседомонално лечение с антибиотици в сравнение с 14,1 дни за пациенти с плацебо. По време на 6 -месечното лечение 40% от пациентите с TOBI и 53% от пациентите с плацебо са били лекувани с парентерални антипседомонални антибиотици.
The relationship between in vitro Резултатите от тестовете за чувствителност и клиничният резултат с терапията на TOBI не са ясни. However 4 Достатъчно patients who began the clinical trial with P. aeruginosa Изолатите със стойности на MIC ≥ 128 mcg/ml не изпитват подобрение на FEV 1 или намаляване на бактериалната плътност на храчката.
Лечението с TOBI не повлия на чувствителността на по -голямата част от P. aeruginosa изолати по време на 6-месечните проучвания. Въпреки това някои P. aeruginosa Изолатите проявяват повишени тобрамицинови микрофони. Процентът на пациентите с P. aeruginosa Изолатите с тобрамицинови микрофони ≥ 16 mcg/ml са 13% в началото и 23% в края на 6 месеца от режима на TOBI.
ЛИТЕРАТУРА
1. Neu HC. Тобрамицин: Преглед. [Преглед]. J заразяват dis 1976; Suppl 134: S3-19.
2. Weber A Smith A Williams-Warren J et al. Подаване на пулверизатор на тобрамицин към долния дихателен тракт. Pediatr Pulmonol 1994; 17 (5): 331-9.
3. Брайън Льо. Аминогликозидна резистентност. Брайън Льо Ед. Антимикробна резистентност на лекарството. Orlando FL: Academic Press 1984: 241-77.
Информация за пациента за TOBI
Не е предоставена информация. Моля, вижте Предупреждения и ПРЕДПАЗНИ МЕРКИ секции.