Информацията В Сайта Не Е Медицински Съвет. Ние Не Продаваме Нищо. Точността На Превода Не Е Гарантирана. Отказ От Отговорност
Антибактериални, локални
Крем за бакробан
Резюме на наркотиците
Какво е крем Bactroban?
Кремът Bactroban (Mupirocin Calcium Cream) е антибиотик, използван за лечение на инфекции на кожата като импетиго. Някои формулировки на Bactroban се предлагат в родова форма.
Какви са страничните ефекти на сметана Bactroban?
Кремът Bactroban може да причини сериозни странични ефекти, включително:
- силна стомашна болка
- диария, която е водниста или кървава
- тежък сърбеж
- обрив
- дразнене на лекувана кожа
- необичайно мехури на кожата или обелването и
- Признаци за нова кожна инфекция
Получете медицинска помощ веднага, ако имате изброени по -горе симптоми.
Общите странични ефекти на крем Bactroban включват:
- изгаряне
- ужилване
- Сърбеж или болка в началото, докато тялото ви се приспособява към него.
Кажете на Вашия лекар, ако опитате:
- необичаен мехур
- сърбеж
- зачервяване
- отлепване
- сухота или
- дразнене на кожата.
Потърсете медицинска помощ или се обадете на 911 наведнъж, ако имате следните сериозни странични ефекти:
Странични ефекти за контрол на раждаемостта на Nexplanon
- Сериозни симптоми на очите, като например внезапна загуба на зрение, замъглено зрение Тунел Виждане болка в очите или подуване или виждане на ореоли около светлините;
- Сериозни сърдечни симптоми като бързи нередовни или ударни сърдечни удари; трептене в гърдите ви; задух; и внезапна замаяност замаяност или раздаване;
- Тежка главоболие объркване затънала речева ръка или крак слабост проблем за ходене на загуба на координация, чувствайки се нестабилни много твърди мускули висока треска обилно изпотяване или тремор.
Този документ не съдържа всички възможни странични ефекти, а други могат да възникнат. Консултирайте се с вашия лекар за допълнителна информация за страничните ефекти.
Дозировка за крем Бактробан
Дозиране: Малко количество крем Бактробан трябва да се прилага върху засегнатата зона три пъти дневно в продължение на 10 дни.
Какви лекарства вещества или добавки взаимодействат с крем Bactroban?
Други локални лекарства могат да променят начина, по който кожата ви абсорбира бактробански крем локален. Избягвайте да използвате други продукти в същата зона едновременно, освен ако не бъде насочено към това от Вашия лекар. Кажете на Вашия лекар всички лекарства, които приемате.
Бакробанов крем по време на бременност и кърмене
По време на бременността кремът Bactroban е малко вероятно да навреди на плода. Говорете с Вашия лекар, ако сте бременна, за да обсъдите рисковете и ползите. Това лекарство преминава в кърма и може да повлияе на кърмаче за кърмене. Консултирайте се с Вашия лекар, ако кърмите.
Допълнителна информация
Нашият крем Bactroban (Mupirocin Calcium Cream) Център за лекарства за странични ефекти предоставя изчерпателен поглед върху наличната информация за лекарството за потенциалните странични ефекти при приемането на това лекарство.
Информация за наркотиците на FDA
- Описание на лекарството
- Показания
- Странични ефекти
- Предупреждения
- Предозиране
- Клинична фармакология
- Ръководство за лекарства
Описание за Bactroban Cream
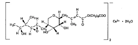
Кремът Bactroban (Mupirocin Calcium) 2% съдържа дихидратния кристален калциев хеми-сол на инхибитора на RNA синтетаза антибактериален мупироцин. Chemically it is (αE2S3R4R5S)-5-[(2S3S4S5S)-23-epoxy-5-hydroxy-4-methylhexyl]tetrahydro-34-dihydroxy-β-methyl-2H-pyran-2-crotonic acid ester with 9-hydroxynonanoic acid calcium salt (2:1) dihydrate.
Молекулярната формула на мупироцин калция е (С 26 H 43 O 9 ) 2 CA • 2H 2 O и молекулното тегло е 1075.3. Молекулното тегло на киселина без мупироцин е 500,6. Структурната формула на мупироцин калций е:
Фигура 1: Структура на калция на мупироцин
|
Кремът Bactroban е бял крем, който съдържа 2,15% w/w mupirocin калций (еквивалентен на 2% киселина без мупироцин) в емулсия на маслена и водна основа. Неактивните съставки са бензилов алкохол цетомакрогол 1000 цетил алкохол минерално масло феноксиетанол воден стеарил алкохол и ксантанова дъвка.
Използване за крем Bactroban
Bactroban® Cream е показан за лечение на вторично заразени травматични кожни лезии (до 10 cm с дължина или 100 cm² в площ) поради чувствителни изолати на Staphylococcus aureus (S. aureus) и Streptococcus pyogenes (S. pyogenes) .
Дозировка за крем Бактробан
- Само за актуална употреба.
- Нанесете малко количество крем Bactroban с памучен тампон или марля върху засегнатата зона 3 пъти дневно в продължение на 10 дни.
- Покрийте обработената зона с марля превръзка, ако желаете.
- Преоценка на пациентите, които не показват клиничен отговор в рамките на 3 до 5 дни.
- Кремът Bactroban не е за интраназална офталмологична или друга употреба на лигавица [виж Предупреждения и ПРЕДПАЗНИ МЕРКИ ].
- Не прилагайте крем Bactroban едновременно с други лосионни кремове или мехлеми [виж Клинична фармакология ].
Колко се доставя
Дозирани форми и силни страни
Bactroban Cream е бял крем, който съдържа 2,15% w/w mupirocin калций (еквивалентен на 2% киселина без мупироцин) в емулсия на маслена и водна основа, доставена в 15-грамови и 30-грамови тръби.
Съхранение и обработка
Bactroban Cream 2% се доставя в 15-грамови и 30-грамови тръби.
Bactroban Кремът е бял крем, който съдържа 2,15% w/w mupirocin калций (еквивалентна на 2% киселина без мупироцин) в емулсия на маслена и водна основа.
NDC 0029-1527-22 (15-грама тръба)
NDC 0029-1527-25 (30-грама тръба)
Съхранявайте на или под 25 ° C (77 ° F). Не замръзвайте.
GlaxoSmithKline Research Triangle Park NC 27709. Ревизиран: декември 2015 г.
Странични ефекти за крем Bactroban
Следните нежелани реакции са разгледани по -подробно в други раздели на етикетирането:
- Тежки алергични реакции [виж Предупреждения и ПРЕДПАЗНИ МЕРКИ ]
- Дразнене на очите [виж Предупреждения и ПРЕДПАЗНИ МЕРКИ ]
- Местно дразнене [виж Предупреждения и ПРЕДПАЗНИ МЕРКИ ]
- Clostridium difficile -Сасоцирана диария [виж Предупреждения и ПРЕДПАЗНИ МЕРКИ ]
Опит с клинични изпитвания
Тъй като клиничните изпитвания се провеждат при широко различни състояния, нежелани реакционни проценти, наблюдавани при клиничните изпитвания на лекарство, не могат да бъдат пряко сравнени със проценти в клиничните изпитвания на друго лекарство и може да не отразяват процентите, наблюдавани на практика.
В 2 рандомизирани двойно-сляпо двойно манекенски проучвания 339 лица са лекувани с локален крем Bactroban плюс орален плацебо. Нежеланите реакции са възникнали при 28 (NULL,3%) лица. Следните нежелани реакции са докладвани от най -малко 1%от субектите във връзка с използването на крем Bactroban в клинични изпитвания: главоболие (NULL,7%) обрив (NULL,1%) и гадене (NULL,1%).
Други нежелани реакции, които се появяват при по -малко от 1% от лицата, са: изгаряне на корема на корема при приложението Целулит дерматит замаяност Прюрит вторична инфекция на раната и улцерозен стоматит.
Какво прави Permethrin за краста
В подкрепящо изпитване при лечението на вторично заразени екзема 82 лица бяха лекувани с крем Bactroban. Честотата на нежеланите реакции беше следната: гадене (NULL,9%) главоболие и изгаряне на мястото на приложение (NULL,6%всеки) сърбеж (NULL,4%) и 1 съобщават за всеки от коремната болка, кървейки вторично от болката на екзема, вторична спрямо екзема кошерите суха кожа и обрив.
Опит за постмаркетиране
В допълнение към нежеланите реакции, докладвани от клинични изпитвания, са идентифицирани следните реакции по време на постмаркетинговата употреба на Bactroban Cream. Тъй като те се отчитат доброволно от популация с неизвестни оценки на размера на честотата не може да се направи. Тези реакции са избрани за включване поради комбинация от тяхната честота на сериозността на отчитане или потенциална причинно -следствена връзка с крем Bactroban.
Нарушения в имунната система
Системни алергични реакции, включително анафилаксия urticaria angioedema и генерализиран обрив [виж Предупреждения и ПРЕДПАЗНИ МЕРКИ ].
Лекарствени взаимодействия за крем Бактробан
Не е предоставена информация.
Предупреждения за крем Бактробан
Включени като част от ПРЕДПАЗНИ МЕРКИ раздел.
Предпазни мерки за крем Бактробан
Тежки алергични реакции
Съобщава се за системни алергични реакции, включително анафилаксия urticaria angioedema и генерализиран обрив, лекувани с състави на Bactroban, включително Bactroban Cream [виж Нежелани реакции ].
Дразнене на очите
Избягвайте контакт с очите. В случай на случайно контактно изплакване добре с вода.
Местно дразнене
В случай на сенсибилизация или тежко локално дразнене от използването на крем Bactroban трябва да бъде прекратено и подходяща алтернативна терапия за инфекцията.
Clostridium difficile-асоциирана диария
Clostridium difficile -асоциирана диария (CDAD) е съобщена с използване на почти всички антибактериални средства и може да варира по тежест от лека диария до фатален колит. Лечението с антибактериални агенти променя нормалната флора на дебелото черво, водеща до свръхрастеж на В. трудно .
В. трудно произвежда токсини А и В, които допринасят за развитието на CDAD. Хипертоксин, произвеждащи щамове на В. трудно Причина за повишена заболеваемост и смъртност, тъй като тези инфекции могат да бъдат рефрактерни на антимикробната терапия и могат да изискват колектомия. CDAD трябва да се разглежда при всички пациенти, които се представят с диария след употреба на антибактериални лекарства. Внимателната медицинска история е необходима, тъй като се съобщава, че CDAD се среща над 2 месеца след прилагането на антибактериални средства.
Ако CDAD се подозира или потвърждава текущата употреба на антибактериални лекарства, която не е насочена срещу В. трудно може да се наложи да бъде прекратен. Подходящо антибактериално лечение на протеина за управление на течности и електролити на течности на В. трудно и surgical evaluation should be instituted as clinically indicated.
Потенциал за микробен свръхрастеж
Както при други антибактериални продукти, продължителна употреба на бактробен крем може да доведе до свръхрастеж на нечувствителни микроорганизми, включително гъбички [виж Доза и приложение ].
Риск, свързан с употребата на лигавицата
Bactroban cream is not formulated for use on mucosal surfaces. A separate formulation Bactroban® (Мупироцин калций) nasal ointment is available for intranasal use.
Информация за консултирането на пациентите
Посъветвайте се на пациента да прочете одобреното от FDA етикетиране на пациента ( Информация за пациента ).
Посъветвайте се на пациента да прилага Bactroban Cream, както следва:
- Използвайте крем Bactroban само според указанията на доставчика на здравни грижи. Той е само за външна употреба. Избягвайте контакт на крем Bactroban с очите. Ако Bactroban Cream влезе в очите, изплакнете старателно с вода.
- Не използвайте Bactroban Cream в носа.
- Измийте ръцете си преди и след нанасяне на Bactroban Cream.
- Използвайте марля подложка или памучен тампон, за да нанесете малко количество крем Bactroban върху засегнатата зона. Обработената площ може да бъде покрита от марля превръзка, ако желаете.
- Докладвайте на доставчика на здравни грижи всякакви признаци на местни нежелани реакции. Кремът Bactroban трябва да бъде спрян и доставчикът на здравни грижи се свързва, ако се появи дразнещ сърбеж или обрив.
- Докладвайте на доставчика на здравни грижи или отидете в най -близкото спешно отделение, ако се появят тежки алергични реакции, като подуване на устните или език или хрипове [виж Предупреждения и ПРЕДПАЗНИ МЕРКИ ].
- Ако не се наблюдава подобрение за 3 до 5 дни, свържете се с доставчика на здравни грижи.
Неклинична токсикология
Канцерогенеза мутагенеза Нарушаване на плодовитостта
Дългосрочните проучвания при животни за оценка на канцерогенния потенциал на мупироцин калций не са проведени.
Резултати от следните проучвания, проведени с мупироцин калций или мупироцин натрий in vitro и напразно не показва потенциал за генотоксичност: първичен хепатоцитен хепатоцитен неплатоцитен непланиран ДНК синтез анализ на седимент за разкъсване на нишката на ДНК Салмонела Тест за реверсия (AMES) Те изложиха студ Мутационен анализ на метафазен анализ на човешки лимфоцити миши лимфомен анализ и анализ на микронуклеи от костния мозък при мишки.
Изследванията за репродукция се провеждат с мупироцин, прилаган подкожно на мъжки и женски плъхове при дози до 100 mg на kg на ден, което е 14 пъти по -голяма от човешката локална доза (приблизително 60 mg мупироцин на ден) въз основа на телесната повърхност. Не са наблюдавани нито доказателства за нарушена плодовитост, нито нарушени репродуктивни показатели, които се дължат на мупироцин.
Използване в конкретни популации
Бременност
Бременност Category B
Няма адекватни и добре контролирани проучвания на крем Bactroban (съдържа еквивалент на 2% киселина без мупироцин) при бременни жени. Тъй като проучванията за възпроизвеждане на животни не винаги предсказват човешки отговор, това лекарство трябва да се използва по време на бременност, само ако е ясно необходимо.
Проучванията за токсичност за развитие са проведени с мупироцин, прилаган подкожно на плъхове и зайци при дози до 160 mg на kg на ден и при двата вида. Тази доза е съответно 22 и 43 пъти човешката локална доза (приблизително 60 mg мупироцин на ден) въз основа на повърхността на тялото. Няма данни за вреда на плода поради мупироцин.
Кърмещи майки
Не е известно дали това лекарство се отделя в човешкото мляко. Тъй като много лекарства се отделят в предпазливостта на човешкото мляко, трябва да се упражняват, когато кремът Bactroban се прилага на медицинска сестра.
Педиатрична употреба
Безопасността и ефективността на крем Bactroban са установени във възрастовите групи 3 месеца до 16 години. Използването на крем Bactroban в тези възрастови групи се подкрепя от доказателства от адекватни и добре контролирани изпитвания на Bactroban Cream при възрастни с допълнителни данни от 93 педиатрични лица, изследвани като част от основните изпитвания при възрастни [виж Клинични изследвания ].
Гериатрична употреба
В 2 адекватни и добре контролирани изпитвания 30 лица, по-възрастни от 65 години, са били лекувани с крем Bactroban. При тази популация на пациентите не се наблюдава обща разлика в ефикасността или безопасността на крем Bactroban в сравнение с тази, наблюдавана при по -млади пациенти.
Половин живот на амлодипин 5 mg
Информация за предозиране за крем Bactroban
Не е предоставена информация.
Противопоказания за крем Bactroban
Bactroban cream is contraindicated in patients with known hypersensitivity to mupirocin or any of the excipients of Bactroban cream.
Клинична фармакология for Bactroban Cream
Механизъм на действие
Мупироцин е антибактериал на инхибитора на РНК синтетаза [виж Микробиология ].
Фармакокинетика
Абсорбция
Системната абсорбция на мупироцин чрез непокътната човешка кожа е минимална. Системната абсорбция на мупироцин се изследва след прилагане на крем Bactroban 3 пъти дневно в продължение на 5 дни на различни кожни лезии с дължина по -голяма от 10 cm или 100 cm² в 16 възрастни (на възраст от 29 до 60 години) и 10 деца (на възраст от 3 до 12 години). Известна системна абсорбция се наблюдава, както се доказва от откриването на метаболитната монатна киселина в урината. Данните от това изпитване показват по -често срещана поява на перкутанна абсорбция при деца (90% от субектите) в сравнение с възрастни (44% от субектите); Въпреки това наблюдаваните концентрации на урина при деца (NULL,07 до 1,3 mcg на ml [1 педиатричен субект нямат откриваемо ниво]) са в наблюдавания диапазон (NULL,08 до 10,03 mcg на ml [9 възрастни нямаха откриваемо ниво]) в възрастната популация. Като цяло степента на перкутанна абсорбция след множествено дозиране изглежда минимална при възрастни и деца.
Ефектът от едновременното приложение на крем Bactroban с други локални продукти не е проучен [виж Доза и приложение ].
Елиминиране
В изпитване, проведено при 7 здрави възрастни мъже, елиминиращият полуживот след интравенозно приложение на мупироцин е от 20 до 40 минути за мупироцин и 30 до 80 минути за монинова киселина.
Метаболизъм : След интравенозно или перорално приложение мупироцинът бързо се метаболизира. Основната метаболитна монинова киселина не демонстрира антибактериална активност.
Екскреция : Мониновата киселина се елиминира предимно чрез бъбречна екскреция.
Специални популации
Бъбречно увреждане : Фармакокинетиката на мупироцин не е проучена при индивиди с бъбречна недостатъчност.
Микробиология
Мупироцин е антибактериал на инхибитора на РНК синтетаза, произведен чрез ферментация, използвайки организма Pseudomonas fluorescens .
Механизъм на действие
Мупироцинът инхибира синтеза на бактериалния протеин чрез обратимо и специфично свързване към бактериална изолецил-трансферна РНК (TRNA) синтетаза.
Мупироцинът е бактерициден при концентрации, постигнати чрез локално приложение. Мупироцинът е свързан силно с протеини (по -голям от 97%) и ефектът на секретите на раната върху минималните инхибиторни концентрации (MIC) на мупироцин не е определен.
фентермин и топамакс за отслабване
Механизъм на съпротивление
Когато се появи резистентност към мупироцин, тя е резултат от производството на модифицирана изолецил-тРНК синтетаза или придобиване на генетичен трансфер плазмид, медииращ нова изолецил-тРНК синтетаза. Съобщава се за високо ниво на плазмид-медиирана резистентност (MIC ≥ 512 mcg/ml) при увеличаване на броя на изолатите на S. Aureus и with higher frequency in coagulase-negative staphylococci. Mupirocin resistance occurs with greater frequency in methicillin-resistant than methicillin-susceptible staphylococci.
Кръстосана съпротива
Поради начина си на действие Мупироцинът не демонстрира кръстосана резистентност с други класове антимикробни средства.
Антимикробна активност
Показано е, че мупироцинът е активен срещу чувствителни изолати на S. Aureus и S. Pyogenes и двете in vitro и in clinical trials [see Показания и употреба ]. The following in vitro Данните са налични, но тяхното клинично значение е неизвестно. Мупироцинът е активен срещу повечето изолати на Staphylococcus epidermidis .
Тестване на чувствителност
Мупироциновата резистентност на високо ниво (≥ 512 mcg/ml) може да се определи с помощта на стандартна дифузия на диска или тестове за микроразрушаване на бульона. 12 Поради появата на резистентност към мупироцин при устойчив на метицилин S. Aureus (MRSA) Подходящо е да се тестват популациите на MRSA за чувствителност към Mupirocin преди използването на mupirocin, използвайки стандартизиран метод. 345
Клинични изследвания
Ефикасността на локалния крем Бактробан за лечение на вторично заразени травматични кожни лезии (напр. Разкъсвания зашити рани и ожулвания с дължина повече от 10 см или 100 см в общата площ), се сравнява с тази на пероралния цефалексин в 2 рандомизирани двойни слепи двойни клинични проучвания. Степента на клинична ефикасност при проследяване при популациите на протокол (включени възрастни и педиатрични лица) е 96,1% за крем Бактробан (n = 231) и 93,1% за перорален цефалексин (n = 219). Степента на ликвидиране на патогени при проследяване в популациите на протокол е 100% както за бакробанов крем, така и за перорален цефалексин.
Педиатрия
Имаше 93 педиатрични лица на възраст от 2 седмици до 16 години, записани на протокол във вторично заразените изпитания за кожна лезия, въпреки че само 3 са били по -млади от 2 -годишна възраст в популацията, лекувани с крем Bactroban. Субектите бяха рандомизирани или на 10 дни на локален крем Bactroban 3 пъти дневно или 10 дни перорален цефалексин (250 mg 4 пъти дневно за лица, по -големи от 40 kg или 25 mg на kg на ден перорална суспензия в 4 разделени дози за лица, по -малко от или равни на 40 kg). Клиничната ефикасност при проследяване (7 до 12 дни след терапия) в популациите на протокол е 97,7% (43 от 44) за крем Бактробан и 93,9% (46 от 49) за цефалексин.
ЛИТЕРАТУРА
1. Институт за клинични и лабораторни стандарти (CLSI). Стандарти за ефективност за тестване на антимикробна чувствителност; Двадесет и пета информационна добавка. CLSI документ M100-S25. Институт за клинични и лабораторни стандарти 950 West Valley Rd. Suite 2500 Wayne PA 19087 USA 2015.
2. Patel J Gorwitz RJ et al. Мупироцинова резистентност. Клинични инфекциозни заболявания. 2009; 49 (6): 935-41.
3. Институт за клинични и лабораторни стандарти (CLSI). Методи за разреждане на антимикробни тестове за чувствителност за бактерии, които растат аеробно; Одобрен стандарт - Десето издание. CLSI документ M07-A10. Институт за клинични и лабораторни стандарти 950 West Valley Road Suite 2500 Wayne Pennsylvania 19087 USA 2015.
4. Институт за клинични и лабораторни стандарти (CLSI). Стандарти за ефективност за тестове за чувствителност към дифузия на антимикробни дискове; Одобрен стандарт - Дванадесето издание. CLSI документ M02-A12. Институт за клинични и лабораторни стандарти 950 West Valley Road Suite 2500 Wayne Pennsylvania 19087 USA 2015.
5. Finlay Je Miller La Poupard JA. Тълкуващи критерии за тестване на чувствителност на стафилококи към мупироцин. Антимикробни агенти Chemother 1997; 41 (5): 1137-1139.
Информация за пациента за Bactroban Cream
Bactroban®
(Back-troh-ban)
(Mupirocin калций) Крем
Какво е крем Bactroban?
Bactroban cream is a prescription medicine used on the skin (topical use) to treat certain skin infections caused by bacteria called Staphylococcus aureus и Streptococcus pyogenes.
Не е известно дали кремът Bactroban е безопасен и ефективен при деца под 3 -месечна възраст.
Кой не трябва да използва Bactroban Cream?
Странични ефекти на Celebrex Дългосрочна употреба
Не използвайте Bactroban Cream, ако:
- Вие сте алергични към мупироцин или някоя от съставките в крем Bactroban. Вижте края на тази информационна листовка за пациент за пълен списък на съставките в крем Bactroban.
Какво трябва да кажа на моя доставчик на здравни услуги, преди да използвам крем Bactroban?
Преди да използвате крем Bactroban, кажете на вашия доставчик на здравни грижи за всички ваши медицински състояния, включително ако вие:
- са бременни или планират да забременеят. Не е известно дали Bactroban Cream ще навреди на вашето неродено бебе.
- са кърмещи или планират да кърмят. Не е известно дали Bactroban Cream преминава в кърмата ви. Вие и вашият доставчик на здравни грижи трябва да решите дали можете да използвате крем Bactroban, докато кърмите.
Кажете на вашия доставчик на здравни грижи за всички лекарства, които приемате включително лекарства за рецепта и лекарства без рецепта витамини и билкови добавки. Не смесвайте сметана Bactroban с други лосиони кремове или мехлеми.
Как трябва да използвам Bactroban Cream?
- Bactroban cream is for use on the skin (topical). Не получавайте сметана Bactroban в очите на носа или вагината (лигавичните повърхности).
- Използвайте крем Bactroban точно както вашият доставчик на здравни грижи ви казва да го използвате.
- Нанесете малко количество сметана Bactroban с памучен тампон или марля върху засегнатата зона 3 пъти всеки ден. Нанесете Bactroban Cream за 10 дни.
- Важно е да поемете пълния курс на крем Bactroban. Не спирайте рано, защото симптомите ви могат да изчезнат, преди инфекцията да бъде напълно изчистена.
- Мийте ръцете си преди и след Нанасяне на крем Bactroban.
- След като нанесете Bactroban Cream, можете да покриете обработената зона с чиста марля подложка, освен ако вашият доставчик на здравни грижи не ви е казал да го оставите непокрит.
- Говорете с вашия доставчик на здравни грижи, ако кожата ви не се подобри след 3 до 5 дни лечение с крем Bactroban.
Какви са възможните странични ефекти на крем Bactroban?
Bactroban cream may cause serious side effects including:
- тежки алергични реакции. Спрете да използвате крем Bactroban и се обадете на вашия доставчик на здравни грижи или отидете веднага в най -близкото спешно отделение, ако имате някое от следните признаци или симптоми на тежка алергична реакция:
- кошери
- Подуване на лицето ви устни уста или език
- обрив над цялото ви тяло
- Проблем с дишането или хрипове
- замаяност Бързо сърцебиене или удряне в гърдите ви
- дразнене на очите. Не получавайте сметана Bactroban в очите си. Ако Bactroban Cream влезе в очите ви, изплакнете добре очите ви с вода.
- Използва се дразнене в зоната Bactroban Cream. След използването на крем Bactroban може да се появи обрив и може да бъде тежък. Спрете да използвате крем Bactroban и се обадете на вашия доставчик на здравни грижи, ако развиете дразнещ сърбеж или обрив, докато използвате Bactroban Cream.
- вид диария, наречена Clostridium difficile -Сасоциирана диария (CDAD). CDAD може да се случи при хора, които използват или са използвали лекарства за лечение на бактериални инфекции. Тежестта на CDAD може да варира от лека диария до тежка диария, която може да причини смърт (фатален колит). Обадете се на вашия доставчик на здравни грижи или отидете веднага в най -близкото спешно отделение, ако имате диария, докато използвате или след като спрете да използвате крем Bactroban.
Най -често срещаните странични ефекти на Bactroban Cream включват:
- главоболие
- обрив
- гадене
Това не са всички възможни странични ефекти на Bactroban Cream. Обадете се на Вашия лекар за медицински съвети относно страничните ефекти. Можете да отчитате странични ефекти на FDA на 1-800-FDA-1088.
Как трябва да съхранявам крем Bactroban?
- Съхранявайте крем Bactroban при стайна температура между 68 ° F до 77 ° F (20 ° C до 25 ° C).
- Не замразявайте крем Бактробан.
- Дръжте Bactroban Cream и всички лекарства извън обсега на децата.
Обща информация за безопасното и ефективно използване на крем Bactroban.
Лекарствата понякога се предписват за цели, различни от тези, изброени в информационна листовка за пациент. Не използвайте Bactroban Cream за състояние, за което той не е бил предписан. Не давайте Bactroban Cream на други хора, дори ако те имат същите симптоми, които имате. Може да им навреди. Можете да попитате вашия фармацевт или доставчик на здравни грижи за информация за Bactroban Cream, който е написан за здравни специалисти.
Какви са съставките в крем Bactroban?
Активна съставка: Мупироцин калций
Неактивни съставки: бензил алкохол цетомакрогол 1000 цетил алкохол минерално масло феноксиетанол пречистен воден стеарил алкохол и ксантанова дъвка