Информацията В Сайта Не Е Медицински Съвет. Ние Не Продаваме Нищо. Точността На Превода Не Е Гарантирана. Отказ От Отговорност
Антибактериални, локални
Bactroban Nasal
Резюме на наркотиците
Какво е бактробан нос?
Bactroban Nasal (Mupirocin калций) мехлем 2% е антибиотик, използван за предотвратяване на тежки стафилокови инфекции при пациенти и здравни работници, които могат да бъдат изложени на риск от инфекция по време на огнище в болница или друга здравна обстановка.
Какви са страничните ефекти на носа на Bactroban?
Общите странични ефекти на носа на Bactroban включват
- главоболие
- хрема или задушен нос
- възпалено гърло
- сухота или лош вкус в устата
- изгаряне/ужилване на носа
- кашлица
- болка в ушите
- гадене
- диария
- сърбеж или
- Лек кожен обрив.
Кажете на Вашия лекар, ако изпитвате сериозни странични ефекти на носа на Bactroban, включително кръвотечение от носа или тежко изгаряне или ужилване на носа ви.
Доза за нос на Бактробан
Дозата на носа на Bactroban за възрастни (12-годишна възраст и по-възрастна) е приблизително половината от мехлема от епруветката за еднократна употреба, прилагана в 1 ноздра, а другата половина в другата ноздра два пъти дневно (сутрин и вечер) в продължение на 5 дни според указанията.
припадъци, които започват с t
Какви лекарства вещества или добавки взаимодействат с носа на Bactroban?
Бактробан нос може да взаимодейства с други лекарства. Кажете на Вашия лекар всички лекарства и добавки, които използвате.
Бактробан нос по време на бременност и кърмене
Назалът Bactroban трябва да се използва само когато е предписан по време на бременност. Не е известно дали това лекарство преминава в кърма. Консултирайте се с Вашия лекар преди кърмене
Допълнителна информация
Нашият лекарствен център Bactroban Nasal (Mupirocin Calcium) предоставя цялостен поглед върху наличната информация за лекарството за потенциалните странични ефекти при приемането на това лекарство.
Информация за наркотиците на FDA
- Описание на лекарството
- Показания
- Странични ефекти
- Предупреждения
- Предозиране
- Клинична фармакология
- Ръководство за лекарства
Описание за носа на Bactroban
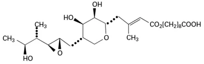
Bactroban (Mupirocin Calcium) Назален мехлем 2% съдържа дихидратския кристален калциев хеми-сол на антибактериалния лекарства мупироцин. Chemically it is (αE2S3R4R5S)-5-[(2S3S4S5S)-23-epoxy-5-hydroxy-4-methylhexyl]tetrahydro-34-dihydroxy-β-methyl-2H-pyran-2-crotonic acid ester with 9-hydroxynonanoic acid calcium salt (2:1) dihydrate.
Молекулярната формула на мупироцин калция е (С 26 H 43 O 9 ) 2ca • 2h 2 O и молекулното тегло е 1075.3. Молекулното тегло на киселина без мупироцин е 500,6. Структурната формула на мупироцин калций е:
|
Бактробан носният мехлем е бял до бял мехлем, който съдържа 2,15% w/w mupirocin калций (еквивалентен на 2% киселина без мупироцин) в мека бяла мехлема. Неактивните съставки са парафин и смес от глицеринови естери (Softisan® 649).
Използване за носния бактробан
Bactroban® Nasal Mointment е показан за ликвидиране на носната колонизация с метицилин-устойчив Staphylococcus aureus (MRSA) при пациенти с възрастни и педиатрични (на възраст 12 години и повече години) и здравни работници като част от цялостна програма за контрол на инфекцията, за да се намали рискът от инфекция сред пациентите с висок риск от инфекция на МРСА по време на институционални огнища на инфекции с този микроорганизъм.
Ограничения на употребата
- Понастоящем няма достатъчно данни, за да се установи, че този продукт е безопасен и ефективен като част от интервенционна програма за предотвратяване на автоинфекция на пациенти с висок риск от собствената им колонизация на носа с Staphylococcus aureus ( S. Aureus ).
- Понастоящем няма достатъчно данни, които да препоръчат използването на бактробански носен мехлем за обща профилактика на всяка инфекция при всяка популация на пациентите.
Доза за нос на Бактробан
- Само за интраназална употреба.
- Нанесете приблизително половината от мехлема от тръбата за еднократна употреба в 1 ноздра, а другата половина в другата ноздра два пъти дневно (сутрин и вечер) в продължение на 5 дни.
- След приложението затворете ноздрите, като натиснете заедно и пускате страните на носа повтарящи се за приблизително 1 минута. Това ще разпространи мехлема в Nares.
- Не прилагайте еднократно бактробан носен мехлем с други интраназални продукти [виж Клинична фармакология ].
- 1-грамовата тръба с еднократна употреба ще достави общо приблизително 0,5 грама мехлем (приблизително 0,25 грама на ноздра).
- Изхвърлете тръбата след употреба. Не използвайте повторно.
Колко се доставя
Дозирани форми и силни страни
Бактробанският нос мехлем е бял до бял мехлем, който съдържа 2,15% w/w mupirocin калций (еквивалентен на 2% киселина без мупироцин) в мека база от бял мехлем, доставена в еднократна 1-грамна тръба.
Съхранение и обработка
Bactroban Nasal Mointment 2% се доставя в еднократни 1-грамни тръби.
Бактробан носен мехлем е бял до бял мехлем, който съдържа мупироцин калций (еквивалент на 2% киселина без мупироцин).
NDC 0029-1526-03 ЕДИН-ГРАМ ТУБА В ПАКЕТ 10: NDC 0029-1526-11.
Съхранявайте между 20 ° C и 25 ° C (68 ° F и 77 ° F); Екскурзии, разрешени до 15 ° C до 30 ° C (59 ° F до 86 ° F). Не се охлаждайте.
Произведено от: GlaxoSmithKline Research Triangle Park NC 27709. Ревизиран септември 2015 г.
Странични ефекти за носа на Bactroban
Следните нежелани реакции са разгледани по -подробно в други раздели на етикетирането:
- Системни алергични реакции [виж Предупреждения и ПРЕДПАЗНИ МЕРКИ ]
- Дразнене на очите [виж Предупреждения и ПРЕДПАЗНИ МЕРКИ ]
- Местно дразнене [виж Предупреждения и ПРЕДПАЗНИ МЕРКИ ]
- Clostridium difficile -Сасоцирана диария [виж Предупреждения и ПРЕДПАЗНИ МЕРКИ ]
Опит с клинични изпитвания
Тъй като клиничните изпитвания се провеждат при широко различни състояния, нежелани реакционни проценти, наблюдавани при клиничните изпитвания на лекарство, не могат да бъдат пряко сравнени със проценти в клиничните изпитвания на друго лекарство и може да не отразяват процентите, наблюдавани на практика.
В клинични изпитвания 210 вътрешни (САЩ) и 2130 чуждестранни възрастни субекти са получили бакробанов нос мехлем. По -малко от 1% от вътрешните или чуждестранните субекти в клиничните изпитвания са изтеглени поради нежелани реакции.
Най -често съобщаваните нежелани реакции в чуждестранни клинични изпитвания са ринит (1%) вкус извращение (NULL,8%) и фарингит (NULL,5%).
При вътрешни клинични изпитвания 17% (36 от 210) от възрастни, лекувани с бактробански носен мехлем, съобщават за нежелани реакции, за които се смята, че е вероятно евентуално свързана с лекарството. Таблица 1 показва честотата на нежеланите реакции, които са докладвани при поне 1% от възрастните, записани в клинични изпитвания, проведени в САЩ.
Таблица 1: Нежелани реакции (≥ 1% честота) - Възрастни в изпитвания в САЩ
l Аргинин плюс екстракт от борова кора
| Нежелани реакции | % от субектите, които изпитват реакции Bactroban Nasal Mointment (n = 210) |
| Главоболие | 9% |
| Ринит | 6% |
| Респираторно разстройство, включително задръствания на горните дихателни пътища | 5% |
| Фарингит | 4% |
| Вкуса извращение | 3% |
| Изгаряне/ужилване | 2% |
| Кашлица | 2% |
| Сърбеж | 1% |
Следните нежелани реакции, които вероятно са свързани с лекарството, са съобщени при по -малко от 1% от възрастните, записани в домашни клинични изпитвания: блефарит диария сухота в устата на ухото епистаксис гадене и обрив.
Опит за постмаркетиране
В допълнение към нежеланите реакции, докладвани от клинични изпитвания, са идентифицирани следните реакции по време на постмармейнската употреба на бакробанов мехлем. Тъй като те се отчитат доброволно от популация с неизвестни оценки на размера на честотата не може да се направи. Тези реакции са избрани за включване поради комбинация от тяхната честота на сериозността на отчитане или потенциална причинно -следствена връзка с бактробанския мехлем.
Нарушения в имунната система
Системни алергични реакции, включително анафилаксия urticaria angioedema и генерализиран обрив [виж Предупреждения и ПРЕДПАЗНИ МЕРКИ ].
Лекарствени взаимодействия за носния бактробан
Не е предоставена информация.
Предупреждения за носа на Bactroban
Включени като част от ПРЕДПАЗНИ МЕРКИ раздел.
Предпазни мерки за носа на Bactroban
Тежки алергични реакции
Съобщава се за системни алергични реакции, включително анафилаксия urticaria angioedema и генерализиран обрив при пациенти, лекувани с състави на Bactroban [виж Нежелани реакции ].
Дразнене на очите
Избягвайте контакт с очите. В случай на случайно контактно изплакване добре с вода. Прилагането на бактробан нос мехлем към окото при условия на тестване е причинило тежки симптоми като изгаряне и разкъсване. Тези симптоми се разрешават в рамките на дни до седмици след прекратяване на мехлема.
Местно дразнене
В случай на сенсибилизация или тежко локално дразнене от използването на мехлем на носния мехлем Bactroban трябва да бъде прекратено.
Clostridium difficile-асоциирана диария
Clostridium difficile -Асоциирана диария (CDAD) е съобщена с използване на почти всички антибактериални агенти, включително бакробанов мехлем и може да варира по тежест от лека диария до фатален колит. Лечението с антибактериални агенти променя нормалната флора на дебелото черво, водеща до свръхрастеж на В. трудно .
В. трудно произвежда токсини А и В, които допринасят за развитието на CDAD. Хипертоксин, произвеждащи щамове на В. трудно Причина за повишена заболеваемост и смъртност, тъй като тези инфекции могат да бъдат рефрактерни на антимикробната терапия и могат да изискват колектомия. CDAD трябва да се разглежда при всички пациенти, които се представят с диария след употреба на антибактериални лекарства. Внимателната медицинска история е необходима, тъй като се съобщава, че CDAD се среща над 2 месеца след прилагането на антибактериални средства.
Ако CDAD се подозира или потвърждава текущата употреба на антибактериални лекарства, която не е насочена срещу В. трудно може да се наложи да бъде прекратен. Подходящо антибактериално лечение на протеина за управление на течности и електролити на течности на В. трудно и хирургическата оценка трябва да бъде въведена, както е посочено клинично.
Потенциал за микробен свръхрастеж
Както при други антибактериални продукти, продължителна употреба на бакробанов носен мехлем може да доведе до свръхрастеж на нечувствителни микроорганизми, включително гъбички [виж Доза и приложение ].
Информация за консултирането на пациентите
Посъветвайте се на пациента да прочете одобреното от FDA етикетиране на пациента ( Информация за пациента ).
Посъветвайте се на пациента да прилага бактробански носен мехлем, както следва:
- Нанесете приблизително половината от мехлема от тръбата за еднократна употреба директно в 1 ноздра, а другата половина в другата ноздра.
- Натиснете страните на носа заедно и леко масажирайте след нанасяне, за да разпространите мехлема във вътрешността на ноздрите.
- Избягвайте контакт с лекарствата с очите; Ако Bactroban носният мехлем влезе или близо до очите, изплакнете старателно с вода.
- Изхвърлете тръбата след използване. Не използвайте повторно.
- Преустановете използването на лекарствата и се обадете на медицинския практикуващ, ако настъпи сенсибилизация или тежко местно дразнене.
- Важно е да поемете пълния курс на носния мехлем Bactroban. Не спирайте рано, защото количеството бактерии в носа ви може да не се намалява.
Неклинична токсикология
Канцерогенеза мутагенеза Нарушаване на плодовитостта
Дългосрочните проучвания при животни за оценка на канцерогенния потенциал на мупироцин не са проведени.
Резултати от следните проучвания, проведени с мупироцин калций или мупироцин натрий in vitro и напразно не показва потенциал за генотоксичност: първичен хепатоцитен хепатоцитен неплатоцитен непланиран ДНК синтез анализ на седимент за тест за реверсия на салмонела на ДНК (AMES) Те изложиха студ Мутационен анализ на метафазен анализ на човешки лимфоцити миши лимфомен анализ и анализ на микронуклеи от костния мозък при мишки.
Страничен ефект на аторвастатин 10 mg
Изследванията за репродукция се провеждат с мупироцин, прилаган подкожно на мъжки и женски плъхове при дози до 40 пъти повече от човешката интраназална доза (приблизително 20 mg мупироцин на ден) на базата на повърхността на тялото. Не са наблюдавани нито доказателства за нарушена плодовитост, нито нарушени репродуктивни показатели, които се дължат на мупироцин.
Използване в конкретни популации
Бременност
Бременност Category B
Няма адекватни и добре контролирани проучвания на носния мехлем от бактробан (съдържа еквивалент на 2% киселина без мупироцин) при бременни жени. Тъй като проучванията за възпроизвеждане на животни не винаги предсказват човешки отговор, това лекарство трябва да се използва по време на бременност, само ако е ясно необходимо.
Проучванията за токсичност за развитие са проведени с мупироцин, прилаган подкожно на плъхове и зайци при дози до 65 и 130 пъти съответно човешката интраназална доза (приблизително 20 mg мупироцин на ден) на базата на повърхността на тялото. Няма данни за вреда на плода поради мупироцин.
Кърмещи майки
Не е известно дали това лекарство се отделя в човешкото мляко. Тъй като много лекарства се отделят в предпазливостта на човешкото мляко, трябва да се упражняват, когато на бактробанския носен мехлем се прилага на медицинска сестра.
Педиатрична употреба
Безопасността и ефикасността при деца, по -млади от 12 години, не са установени [виж Клинична фармакология ].
Фармакокинетичните данни при новородени и недоносени бебета показват, че за разлика от възрастните значителни системни абсорбции, възникнали след интраназално приложение на бакробанов мехлем на носа при тази популация.
Информация за предозиране за носния бактробан
След единични или повтарящи се интраназални приложения на бакробанов носен мехлем на възрастни не са получени доказателства за системна абсорбция на мупироцин. Няма информация относно локалното предозиране на бакробанов носен мехлем или относно оралното поглъщане на формулировката на носния мехлем.
Противопоказания за носа на Bactroban
Бактробан носен мехлем is contraindicated in patients with known hypersensitivity to mupirocin or any of the excipients of Бактробан носен мехлем.
Клинична фармакология for Bactroban Nasal
Механизъм на действие
Мупироцинът е антибактериално лекарство [виж Микробиология ].
Фармакокинетика
Абсорбция
След единични или повтарящи се интраназални приложения от 0,2 грама бакробанов носен мехлем 3 пъти дневно в продължение на 3 дни до 5 здрави възрастни субекти не са доказани данни за системна абсорбция на мупироцин. Режимът на доза, използван в това изпитване, е само за фармакокинетична характеристика; виж Доза и приложение За подходяща информация за клиничната дозиране.
В това изпитване концентрациите на мупироцин в урината и мониновата киселина в урината и серума са под границата на определяне на анализа до 72 часа след приложенията. Най -ниските нива на определяне на използвания анализ са 50 ng/ml мупироцин в урина 75 ng/ml монинова киселина в урина и 10 ng/ml монинова киселина в серума. Въз основа на откриваемата граница на анализа на урината за монинова киселина може да се екстраполира, че средната стойност от 3,3% (диапазон: 1,2% до 5,1%) от приложената доза може да се абсорбира системно от носната лигавица на възрастни.
Ефектът от едновременното прилагане на бактробанския мехлем с други интраназални продукти не е проучен [виж Доза и приложение ].
Елиминиране
В изпитване, проведено при 7 здрави възрастни мъже, елиминиращият полуживот след интравенозно приложение на мупироцин е от 20 до 40 минути за мупироцин и 30 до 80 минути за монинова киселина.
Метаболизъм : След интравенозно или перорално приложение мупироцинът бързо се метаболизира. Основната метаболитна монинова киселина не демонстрира антибактериална активност.
Екскреция : Мониновата киселина се елиминира предимно чрез бъбречна екскреция.
Специални популации
Педиатрия :
Бъбречно увреждане : Фармакокинетиката на мупироцин не е проучена при индивиди с бъбречна недостатъчност.
Микробиология
Мупироцинът е антибактериален агент, произведен чрез ферментация, използвайки организма Pseudomonas fluorescens.
Механизъм на действие
Мупироцинът инхибира синтеза на бактериалния протеин чрез обратимо и специфично свързване към бактериална изолецил-трансферна РНК (TRNA) синтетаза.
Мупироцинът е бактерициден при концентрации, постигнати чрез локално интраназално приложение. Мупироцинът е свързан силно с протеини (> 97%) и ефектът на носните секрети върху минималните инхибиторни концентрации (MIC) на интраназално приложен мупироцин не е определен.
Механизъм на съпротивление
Когато се появи резистентност към мупироцин, тя е резултат от производството на модифицирана изолецил-тРНК синтетаза или придобиване на генетичен трансфер плазмид, медииращ нова изолецил-тРНК синтетаза. Съобщава се за високо ниво на плазмид-медиирана резистентност (MIC ≥ 512 mcg/ml) при увеличаване на броя на изолатите на S. aureus и с по-висока честота в коагулазно-отрицателни стафилококи. Мупироциновата резистентност се осъществява с по-голяма честота при устойчиви на метицилин от метицилин-чувствителни стафилококи.
Кръстосана съпротива
Поради начина си на действие Мупироцинът не демонстрира кръстосана резистентност с други класове антимикробни средства.
Тестване на чувствителност
Мупироциновата резистентност на високо ниво (≥ 512 mcg/ml) може да се определи с помощта на стандартна дифузия на диска или тестове за микроразлагане на бульон 12 . Значението на тези резултати по отношение на режимите на деколонизация трябва да бъде оценено на всяко медицинско заведение във връзка с лабораторния медицински и инфекционен контрол.
Корелация на носния мехлем от Бактробан in vitro Активността и деколонизацията на носната нана на MRSA е демонстрирана в клинични изпитвания [виж Клинични изследвания ].
Клинични изследвания
Всички адекватни и добре контролирани изпитвания на този продукт бяха контролирани от превозни средства; Следователно няма данни от директни сравнения на главата с други продукти. Безопасността и ефективността на приложенията на това лекарство за повече от 5 дни не са установени. Няма човешки клинични или предклинични данни за животни, които да подкрепят използването на този продукт по хроничен начин или в маниери, различни от описаните в тази информация за предписване.
В клинични изпитвания 210 вътрешни (САЩ) и 2130 чуждестранни възрастни субекти са получили бакробанов нос мехлем. По -големи от 90% от пациентите в клиничните изпитвания са премахнали назалната колонизация от 2 до 4 дни след приключване на терапията. Приблизително 30% реконструкция е отчетена при 1 домашно изпитване в рамките на 4 седмици след приключване на терапията. Тези проценти на ликвидиране бяха клинично и статистически по-добри от тези, докладвани при субекти в третираните с превозни средства оръжия на адекватните и добре контролирани изпитвания. Тези, лекувани с превозно средство, са имали проценти на ликвидиране от 5% до 30% при 2 до 4 дни след терапията с 85% до 100% рекулонизация в рамките на 4 седмици.
ЛИТЕРАТУРА
1. Институт за клинични и лабораторни стандарти (CLSI). Стандарти за ефективност за тестване на антимикробна чувствителност; 25 -та информационна добавка. CLSI документ M100-S22. CLSI 950 West Valley Rd. Suite 2500 Wayne PA 19087 2015.
2. Patel J Gorwitz RJ et al. Мупироцинова резистентност. Клинични инфекциозни заболявания. 2009; 49 (6); 935-41.
SMZ TMP DS 800 160 използва
Информация за пациента за бактробан нос
Bactroban®
(Back-troh-ban)
(Мупироцин калций) Назален мехлем
Само за интраназална употреба
Прочетете тази информационна листовка на пациента, преди да започнете да използвате носния мехлем Bactroban и всеки път, когато получите зареждане. Може да има нова информация. Тази информация не заема мястото да разговаряте с вашия доставчик на здравни грижи за вашето медицинско състояние или за вашето лечение.
Какво е бактробан носен мехлем?
Бактробан носен мехлем is an antibiotic . It is used to reduce the amount of bacteria in your nose.
Кой не трябва да използва мехлем от нос Bactroban?
Не използвайте Bactroban Nasal Mointment, ако:
За какво се използва маслото от Sassafras
- Вие сте алергични към мупироцин или някоя от съставките в носния мехлем на Bactroban.
Преди да използвате Bactroban Nasal Mointment, кажете на вашия доставчик на здравни грижи за вашите медицински състояния и лекарства, които приемате, включително ако вие:
- са бременни или планират да забременеят. Не е известно дали бактробанският носен мехлем ще навреди на вашето неродено бебе.
- са кърмещи или планират да кърмят. Не е известно дали бактробан носен мехлем преминава в кърмата ви.
- приемат лекарства с рецепта или лекарства без рецепта или билкови добавки. Не смесвайте Bactroban носен мехлем с други интраназални продукти.
Как трябва да използвам Bactroban Nasal Mointment?
- Винаги използвайте Bactroban Nasal Mointment точно както вашият доставчик на здравни грижи ви казва да го използвате.
- Важно е да поемете пълния курс на носния мехлем Bactroban. Не спирайте рано, защото количеството бактерии в носа ви може да не се намалява.
- Измийте ръцете си преди и след нанасяне на мехлем за нос на Bactroban.
- Нанесете приблизително половината от мехлема от епруветка за еднократна употреба към вътрешната повърхност в предната част на всяка ноздра 2 пъти на ден в продължение на 5 дни.
- Натиснете страните на носа си заедно и внимателно разтрийте между пръста и палеца си за около 1 минута. Това разпространява мехлема около носа.
- Дръжте бактробанския носен мехлем далеч от очите си. Ако мехлемът ви влезе в очите случайно ги измийте старателно с вода.
Какви са възможните странични ефекти на носния мехлем Bactroban?
Бактробан носен мехлем may cause serious side effects including:
- алергични реакции. Спрете да използвате носния мехлем Bactroban и да получите медицинска помощ веднага, ако имате някакви симптоми на алергична реакция, включително повдигнат и сърбящ обрив или подуване понякога на лицето или устата, причинявайки затруднено дишане.
- Възпаление на дебелото черво (колит). Спрете да използвате Bactroban Nasal Mointment и се обадете веднага на вашия доставчик на здравни грижи, ако имате тежка водниста диария или кървава диария.
- дразнене на кожата. Ако получите кожна реакция, спрете да използвате мехлем от нос Bactroban. Извадете всеки мехлем и кажете на Вашия лекар възможно най -скоро.
Общите странични ефекти на носния мехлем Bactroban могат да включват главоболие runny nose congestion възпалено гърло distorted sense of taste burning и/or stinging кашлица и itching.
Това не са всички възможни странични ефекти на бактробанския носен мехлем. Обадете се на вашия доставчик на здравни грижи за медицински съвети относно страничните ефекти. Можете да отчитате странични ефекти на FDA на 1-800-FDA-1088.
Как трябва да съхранявам бактробански носен мехлем?
- Съхранявайте Bactroban носния мехлем при стайна температура до 25 ° C (77 ° F). Не се охлаждайте.
Обща информация за безопасното и ефективно използване на бактробанския носен мехлем.
Лекарствата понякога се предписват за цели, различни от тези, изброени в информационна листовка за пациент. Можете да поискате от вашия фармацевт или доставчик на здравни грижи за информация за носния мехлем Bactroban, който е написан за здравни специалисти. Не използвайте Bactroban Nasal Mointment за условие, за което той не е предписан. Не давайте бактробан носен мехлем на други хора, дори ако те имат същите симптоми, които имате. Може да им навреди.
Какви са съставките в носния мехлем Bactroban?
Активна съставка: Мупироцин калций
Неактивни съставки: Парафин и Softisan® 649
За повече информация се обадете на 1-888-825-5249.
Тази информация за пациента е одобрена от американската администрация по храните и лекарствата.