Информацията В Сайта Не Е Медицински Съвет. Ние Не Продаваме Нищо. Точността На Превода Не Е Гарантирана. Отказ От Отговорност



Автобусна двойка

Резюме на наркотиците

Какво е Buspar?

Buspar (Busprione) е агент за антианксичност, предписан за лечение на тревожност. Buspar се предлага като генерично лекарство.

Какви са страничните ефекти на Buspar?

Общите странични ефекти на BUSPAR включват:



  • замаяност
  • гадене
  • главоболие
  • нервност
  • Лекоглавия
  • сънливост
  • Чувствам се уморен
  • замъглено зрение
  • Неспокойствие
  • сухота в устата
  • разстроен стомах
  • задушен нос
  • възпалено гърло
  • звънене в ушите
  • вълнение и
  • проблеми със съня (безсъние или странни сънища).

Дозировка за Buspar

BUSPAR обичайната начална доза за възрастни е 10-30 mg дневно в 2-3 разделени дози до максимум 60 mg на ден.



Какви лекарства вещества или добавки взаимодействат с Buspar?

Често срещаните лекарствени взаимодействия на BUSPAR включват инхибитори на моноаминооксидаза (MAO) (например изокарбоксазид [Marphan]) тразодон (Desyrel) варфарин (кумадин) еритромицин итраконазол (споранокс) нефазодон (Serzone) и Rifampin.

Buspar по време на бременност и кърмене

При бременните жени няма адекватни проучвания на Buspar и не е известно дали Buspar е секретиран в човешкото кърма. Използването по време на бременност не се препоръчва, освен ако потенциалната полза надвишава потенциалния неизвестен риск за плода. Не е известно дали Буспар преминава в кърма или може да навреди на кърмещото бебе. Консултирайте се с Вашия лекар преди кърмене.



Допълнителна информация

Нашият център за лекарствени ефекти на Buspar предоставя изчерпателен поглед върху наличната информация за лекарството за потенциалните странични ефекти при приемането на това лекарство.

Информация за наркотиците на FDA

Описание за Buspar

Таблетките на буспирон хидрохлорид USP са антианксиална агенция, която не е химически или фармакологично свързана с барбитурата на бензодиазепините или други седативни/анксиолитични лекарства.

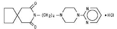
Buspiron Hydrochloride USP е бял кристален прах. Той е много разтворим във вода; свободно разтворим в метанол и в метилен хлорид; пестеливо разтворим в етанол и в ацетонитрил; Много леко разтворим в етилацетат и практически неразтворим при хексани. Молекулното му тегло е 422. Химически буспирон хидрохлоридът е 8- [4- [4- (2-пиримидинил) -1-пиперазинил] бутил] -8-азаспиро [4.5] декан-79-дионен монохидрохлорид. Молекулярната формула С 21 H 31 N 5 O 2 • HCl е представен от следната структурна формула:

Всяка таблетка на буспирон хидрохлорид, предназначена за перорално приложение, съдържа 5 mg или 10 mg или 15 mg или 30 mg буспирон хидрохлорид (еквивалентно на 4,6 mg 9,1 mg 13,7 mg и 27,4 mg основа без буспирон). В допълнение всяка таблетка съдържа следните неактивни съставки: колоиден силициев диоксид лактоза монохидрат магнезиев стеарен микрокристална целулоза и натриев нишесте гликолат. Таблетките от 5 mg и 10 mg се оценяват, така че да могат да бъдат разделени. По този начин таблетът с 5 mg може също да осигури доза 2,5 mg, а таблетът от 10 mg може да осигури доза 5 mg. Таблетките от 15 mg и 30 mg се оценяват, така че те могат да бъдат или разгледани или трисектирани. По този начин единична таблетка от 15 mg може да осигури следните дози: 15 mg (цяла таблетка) 10 mg (две трети от таблет) 7,5 mg (една половина на таблет) или 5 mg (една трета от таблет). Единична таблетка от 30 mg може да осигури следните дози: 30 mg (цяла таблетка) 20 mg (две трети от таблет) 15 mg (една половина от таблет) или 10 mg (една трета от таблет).

Използване за Buspar

Таблетките за хидрохлорид на буспирон са показани за управление на тревожни разстройства или краткосрочно облекчаване на симптомите на тревожност. Тревожността или напрежението, свързани със стреса от ежедневието, обикновено не изискват лечение с анксиолитично.

Ефикасността на таблетките с буспирон хидрохлорид е демонстрирана в контролирани клинични изпитвания на амбулаторни пациенти, чиято диагноза грубо съответства на генерализирано тревожно разстройство (GAD). Много от пациентите, записани в тези проучвания, също са имали съвместно депресивни симптоми и таблетки с буспирон хидрохлорид облекчиха тревожността при наличие на тези съвместни депресивни симптоми. Пациентите, оценени в тези проучвания, са имали симптоми за периоди от 1 месец до над 1 година преди изследването със средна продължителност на симптомите от 6 месеца. Генерализирано тревожно разстройство (300.02) е описано в диагностичното и статистическото ръководство на Американската психиатрична асоциация III1, както следва:

Генерализирана персистираща тревожност (от най -малко 1 -месечна непрекъсната продължителност), проявена чрез симптоми от три от четирите следващи категории:

Напрежение на двигателя

Треперещ трептящ скок треперещ напрежение мускул болки в умора неспособност да се отпусне клепач, който се намръщи, натъпкано, обтегнато лице, придвижване на неспокойствието лесно стрес.

Автономна хиперактивност

Изпотяване на сърцето или състезателни студени дрънкащи ръце сухота в устата замаяност на устата Лежаща глава Парестезии (изтръпване в ръце или крака) разстрои стомаха горещи или студени магии често уриниране диария дискомфорт в ямата на бучката на стомаха в гърлото промиване на силата с висок пулс за почивка и дишане.

Опасени очаквания

Тревожност се притеснявайте страхът и очакването на нещастието на себе си или другите.

Бдителност и сканиране

Хиперативност, водеща до затруднение на разсейване при концентриране на безсъние, усещане за „на ръба“.

Горните симптоми не биха се дължили на друго психическо разстройство, като депресивно разстройство или шизофрения. Въпреки това леките депресивни симптоми са често срещани при GAD.

Дали Баклофен ви кара да наддавате на тегло

Ефективността на таблетките с буспирон хидрохлорид при дългосрочна употреба, която е повече от 3 до 4 седмици, не е демонстрирана в контролирани изпитвания. Няма налични доказателства, които систематично се занимават с подходящата продължителност на лечението на GAD. Въпреки това в проучване на дългосрочна употреба 264 пациенти са били лекувани с таблетки от хидрохлорид на буспирон в продължение на 1 година без лоши ефект. Следователно лекарят, който избира да използва таблетки от хидрохлорид Buspirone за продължителни периоди, трябва периодично да преоценява полезността на лекарството за отделния пациент.

Дозировка за Buspar

Препоръчителната първоначална доза е 15 mg дневно (NULL,5 mg B.I.D.). За да се постигне оптимален терапевтичен отговор на интервали от 2 до 3 дни, дозата може да бъде увеличена 5 mg на ден, ако е необходимо. Максималната дневна доза не трябва да надвишава 60 mg на ден. В клинични изпитвания, позволяващи титруване на дозата, разделени дози от 20 mg до 30 mg на ден, обикновено се използват.

Бионаличността на буспирон се увеличава, когато се дава с храна в сравнение със състоянието на гладно (виж Клинична фармакология ). Следователно пациентите трябва да приемат буспирон последователно по отношение на сроковете на дозиране; Или винаги с или винаги без храна.

Когато трябва да се дава буспирон с мощен инхибитор на CYP3A4 препоръките за дозата, описани в Лекарствени взаимодействия секцията трябва да се следва.

Колко се доставя

Таблетки за хидрохлорид Buspirone USP 5 mg са бели до бели капсули с форма на капсула с форма на скосени крайни таблетки, разрушени с бисект от едната страна; Едната страна на бисекта е обезсърчена с „ze“, а друга се разрушава с „36“, а другата страна е обикновена

Подробности за производителя: N/A. Ревизиран: май 2016 г.

Странични ефекти за Buspar

Не е предоставена информация.

Дали strattera идва в течна форма

Лекарствени взаимодействия за Buspar

Психотропни агенти

MAO инхибитори

Препоръчва се таблетките с буспирон хидрохлорид да не се използват едновременно с МАО инхибитори (виж Предупреждения ).

Амитриптилин

След добавяне на буспирон към режима на дозата на амитриптилин NO се наблюдават статистически значими разлики в стационарните фармакокинетични параметри (CMAX AUC и CMIN) на амитриптилин или неговия метаболитен нортриптилин.

Диазепам

След добавяне на буспирон към режима на дозата на диазепам, не са наблюдавани статистически значими разлики в стационарните фармакокинетични параметри (CMAX AUC и CMIN) за диазепам, но се наблюдават увеличение на около 15% за нордиазепам и се наблюдават незначителни нежелани клинични ефекти (замаяност главоболие и наея).

Халоперидол

В проучване при нормални доброволци, съпътстващо приложение на буспирон и халоперидол, доведе до повишени концентрации на халоперидол в серум. Клиничното значение на тази констатация не е ясно.

Нефазодон

[Вижте Инхибитори и индуктори на цитохром Р450 3A4 (CYP3A4) ].

Траздон

Има един доклад, който предполага, че едновременното използване на Desirel®

Триазолам/флуразепам

Коадминацията на буспирон или с триазолам или флуразепам не изглежда удължава или интензифицира седативните ефекти на бензодиазепин.

Други психотропи

Тъй като ефектите на съпътстващото приложение на буспирон с повечето други психотропни лекарства не са проучени, трябва да се подхожда съпътстващата употреба на буспирон с други лекарства с АНС-активни лекарства.

Инхибитори и индуктори на цитохром Р450 3A4 (CYP3A4)

Показано е буспирон in vitro да се метаболизира от CYP3A4. Тази констатация е в съответствие с напразно Взаимодействия, наблюдавани между буспирон и следното:

Diltiazem и Verapamil

In a study of nine healthy volunteers coadministration of buspirone (10 mg as a single dose) with verapamil (80 mg t.i.d.) or diltiazem (60 mg t.i.d.) increased plasma buspirone concentrations (verapamil increased AUC and Cmax of buspirone 3.4-fold while diltiazem increased AUC and Cmax 5.5-fold and 4-fold respectively.) Нежеланите събития, дължащи се на буспирон, могат да бъдат по -вероятни по време на съпътстващото приложение с Diltiazem или верапамил. Следващото коригиране на дозата може да е необходимо и трябва да се основава на клинична оценка.

Еритромицин

В проучване на здрави доброволци съвместно приложение на буспирон (10 mg като единична доза) с еритромицин (NULL,5 g/ден в продължение на 4 дни) повишава плазмените концентрации на буспирон (5-кратно увеличение на CMAX и 6-кратно увеличение на AUC). Тези фармакокинетични взаимодействия бяха придружени от повишена честота на странични ефекти, дължащи се на буспирон. Ако двете лекарства трябва да се използват в комбинация, се препоръчва ниска доза буспирон (например 2,5 mg B.I.D.). Следващото коригиране на дозата на всяко лекарство трябва да се основава на клинична оценка.

Сок от грейпфрут

В проучване на здрави доброволци съвместно приложение на буспирон (10 mg като единична доза) със сок от грейпфрут (200 ml T.I.D. с двойна сила 200 ml в продължение на 2 дни) повишава плазмените концентрации на буспирон (4.3-кратно увеличение на CMAX; 9,2 пъти увеличаване на AUC). Пациентите, получаващи буспирон, трябва да бъдат посъветвани да избягват да пият толкова големи количества сок от грейпфрут.

Итраконазол

В проучване на здрави доброволци съвместно приложение на буспирон (10 mg като единична доза) с итраконазол (200 mg/ден в продължение на 4 дни) повишава плазмените концентрации на буспирон (13-кратно увеличение на CMAX и 19-кратно увеличение на AUC). Тези фармакокинетични взаимодействия бяха придружени от повишена честота на странични ефекти, дължащи се на буспирон. Ако двете лекарства трябва да се използват в комбинация, се препоръчва ниска доза буспирон (например 2,5 mg Q.D.). Следващото коригиране на дозата на всяко лекарство трябва да се основава на клинична оценка.

Нефазодон

In a study of steady-state pharmacokinetics in healthy volunteers coadministration of buspirone (2.5 or 5 mg b.i.d.) with nefazodone (250 mg b.i.d.) resulted in marked increases in plasma buspirone concentrations (increases up to 20-fold in Cmax and up to 50-fold in AUC) and statistically significant decreases (about 50%) in plasma concentrations of the Метаболит на Busprione 1-PP. С 5 mg B.I.D. Дози от буспирон леко увеличение на AUC са наблюдавани за нефазодон (23%) и неговите метаболити хидроксинефазододон (HO-NEF) (17%) и мета-хлорофенилпиперазин (9%). Наблюдава се леко увеличение на CMAX за нефазодон (8%) и неговия метаболит HO-NEF (11%).

Субекти, получаващи буспирон 5 mg B.I.D. и Nefazodone 250 mg B.I.D Опитен замаяност на замаяността на атения и нежелани събития на сънливостта също се наблюдават само при всяко лекарство. Ако двете лекарства трябва да се използват в комбинация, се препоръчва ниска доза буспирон (например 2,5 mg Q.D.). Следващото коригиране на дозата на всяко лекарство трябва да се основава на клинична оценка.

Рифампин

В проучване на здрави доброволци съвместно приложение на буспирон (30 mg като единична доза) с рифампин (600 mg/ден в продължение на 5 дни) намалява плазмените концентрации (NULL,7% намаляване на CMAX; 89,6% намаление на AUC) и фармакодинамичните ефекти на буспирон. Ако двете лекарства трябва да се използват в комбинация, дозата на буспирон може да се нуждае от регулиране, за да се поддържа анксиолитичен ефект.

Други инхибитори и индуктори на CYP3A4

Веществата, които инхибират CYP3A4 като кетоконазол или ритонавир, могат да инхибират метаболизма на буспирон и да увеличат плазмените концентрации на буспирон, докато вещества, които индуцират CYP3A4 като дексаметазон или определени антиконвулсанти (фенобарбитан фенобарбитан (фенобарбитан фенобарбитан (фенобарбитан фенобарбитан (фенобарбитан на бузовена). Ако пациентът е титриран до стабилна доза на буспирон, може да се наложи корекция на дозата на буспирон, за да се избегнат неблагоприятни събития, дължащи се на буспирон или намалена анксиолитична активност. Следователно, когато се прилага с мощен инхибитор на CYP3A4, се препоръчва ниска доза буспирон, използван предпазливо. Когато се използва в комбинация с мощен индуктор на CYP3A4, дозата на буспирон може да се нуждае от регулиране, за да поддържа анксиолитичен ефект.

Други лекарства

Циметидин

Установено е, че съвместното приложение на буспирон с циметидин увеличава CMAX (40%) и TMAX (2 -пъти), но има минимални ефекти върху AUC на буспирон.

Свързване на протеин

In vitro Busprione не измества плътно обвързаните лекарства като фенитоин пропранолол и варфарин от серумните протеини. Въпреки това има един доклад за продължително време на протромбин, когато буспиронът е добавен към режима на пациент, лекуван с варфарин. Пациентът също хронично приема фенитоин фенобарбитален дигоксин и Synthroid®*. In vitro Busprione може да измести по -малко здраво обвързани лекарства като дигоксин. Клиничното значение на това свойство е неизвестно.

Терапевтични нива на аспирин дезипрамин диазепам флуразепам ибупрофен пропранолол тиоридазин и толбутамид имат само ограничен ефект върху степента на свързване на буспирон с плазмените протеини (виж Клинична фармакология ).

Взаимодействия между лекарства/лабораторни тестове

Бусспирон хидрохлорид може да попречи на ананефрин/ катехоламин в урина. Погрешно е четено като метанефрин по време на рутинно изследване на анализа за феохромоцитом, което води до фалшив положителен лабораторен резултат. Следователно хидрохлоридът на буспирон трябва да бъде прекратен в продължение на най -малко 48 часа преди да се подложи на събиране на урина за катехоламини.

Злоупотреба с наркотици и зависимост

Клас на контролирани вещества

Бусспирон хидрохлоридът не е контролирано вещество.

Физическа и психологическа зависимост

При изследвания на хора и животни, които Буспирон не показва потенциал за злоупотреба или отклонение и няма доказателства, че той причинява толерантност или физическа или психологическа зависимост. Човешките доброволци с анамнеза за употреба на наркотици или алкохол са проучени в две клинични изследвания с двойни грешки. Нито един от субектите не успя да прави разлика между таблетки от хидрохлорид на буспирон и плацебо. За разлика от тях субектите показаха статистически значимо предпочитание към метаквалони и диазепам. Проучванията при маймуни мишки и плъхове показват, че буспиронът няма потенциал за злоупотреба. След хронично приложение при рязкото оттегляне на буспирон на плъх не доведе до загуба на телесно тегло, често наблюдавано при вещества, които причиняват физическа зависимост.

Можете ли да вземете холин през нощта

Въпреки че няма директни доказателства, че таблетките за хидрохлорид на буспирон причиняват физическа зависимост или поведение, търсещо наркотици, е трудно да се предвиди от експериментите до степента, в която лекарството, активно на ЦНС, ще бъде злоупотребявано и/или злоупотребява, след като бъде пуснат на пазара. Следователно лекарите трябва внимателно да оценяват пациентите за анамнеза за злоупотреба с наркотици и да следват такива пациенти, които ги наблюдават внимателно за признаци на злоупотреба или злоупотреба с таблетки от хидрохлорид на буспирон (напр. Развитие на повишаване на толерантността на поведението за търсене на наркотици).

Клас на контролирани вещества

Бусспирон хидрохлоридът не е контролирано вещество.

Физическа и психологическа зависимост

При изследвания на хора и животни, които Буспирон не показва потенциал за злоупотреба или отклонение и няма доказателства, че той причинява толерантност или физическа или психологическа зависимост. Човешките доброволци с анамнеза за употреба на наркотици или алкохол са проучени в две клинични изследвания с двойни грешки. Нито един от субектите не успя да прави разлика между таблетки от хидрохлорид на буспирон и плацебо. За разлика от тях субектите показаха статистически значимо предпочитание към метаквалони и диазепам. Проучванията при маймуни мишки и плъхове показват, че буспиронът няма потенциал за злоупотреба. След хронично приложение при рязкото оттегляне на буспирон на плъх не доведе до загуба на телесно тегло, често наблюдавано при вещества, които причиняват физическа зависимост.

Въпреки че няма директни доказателства, че таблетките за хидрохлорид на буспирон причиняват физическа зависимост или поведение, търсещо наркотици, е трудно да се предвиди от експериментите до степента, в която лекарството, активно на ЦНС, ще бъде злоупотребявано и/или злоупотребява, след като бъде пуснат на пазара. Следователно лекарите трябва внимателно да оценяват пациентите за анамнеза за злоупотреба с наркотици и да следват такива пациенти, които ги наблюдават внимателно за признаци на злоупотреба или злоупотреба с таблетки от хидрохлорид на буспирон (напр. Развитие на повишаване на толерантността на поведението за търсене на наркотици).

Предупреждения за Buspar

Прилагането на таблетки с буспирон хидрохлорид на пациент, приемащ инхибитор на моноамин оксидаза (MAOI), може да представлява опасност. Има съобщения за появата на повишено кръвно налягане, когато таблетките за хидрохлорид на буспирон са добавени към режим, включително MAOI. Затова се препоръчва таблетките за хидрохлорид на буспирон да не се използват едновременно с MAOI.

Тъй като таблетките с буспирон хидрохлорид нямат установена антипсихотична активност, той не трябва да се използва вместо подходящо антипсихотично лечение.

Предпазни мерки за Buspar

Общи

Намеса в когнитивните и двигателните показатели

Проучванията показват, че таблетките с хидрохлорид на буспирон са по -малко успокояващи от другите анксиолитици и че не създават значително функционално увреждане. Въпреки това неговите ЦНС ефекти при всеки отделен пациент може да не са предвидими. Следователно пациентите трябва да бъдат предупредени за експлоатация на автомобил или използване на сложни машини, докато не са сигурни, че лечението с буспирон не ги влияе неблагоприятно.

Докато официалните проучвания на взаимодействието на буспирон хидрохлорид с алкохол показват, че буспиронът не увеличава нарушението на алкохол в двигателните и психичните показатели, е разумно да се избегне едновременната употреба на алкохол и буспирон.

Потенциал за реакции на изтегляне при седативни/хипнотични/анксиолитични лекарствени пациенти

Тъй като таблетките за хидрохлорид на буспирон не проявяват кръстосана толерантност с бензодиазепини и други общи седативни/хипнотични лекарства, той няма да блокира синдрома на изтегляне, често наблюдавани с прекратяване на терапията с тези лекарства. Следователно, преди да започнете терапия с таблетки с буспирон хидрохлорид, препоръчително е да се оттеглят постепенно пациентите, особено пациентите, които са употребявали лекарство с ЦНС-депресант хронично от предишното си лечение. Симптомите на отскок или оттегляне могат да възникнат през различни периоди от време в зависимост от отчасти вида на лекарството и неговия в сила полуживот на елиминиране.

Синдромът на оттегляне от седативни/хипнотични/анксиолитични лекарства може да се появи като всяка комбинация от раздразнителност Агитация на тревожност безсъние на безсъние Тремор Коремните спазми Мускулни крампи, повръщащи потите грип-подобни симптоми без треска и от време на време дори като припадъци.

Възможни опасения, свързани със свързването на Buspirone с допаминовите рецептори

Тъй като буспиронът може да се свърже с централните допаминови рецептори, е повдигнат въпрос относно потенциала му да причини остри и хронични промени в неврологичната функция, медиирана от допамин (напр. Дистония псевдопаркинсизъм Акатизия и тардивна дискинезия). Клиничният опит в контролирани изпитвания не успява да идентифицира значителна невролептично-подобна активност; Съобщава се обаче синдром на неспокойствие, появяващ се малко след започване на лечение при някаква малка част от пациентите, третирани с буспирон. Синдромът може да се обясни по няколко начина. Например буспиронът може да увеличи централния норадренергичен активност; Алтернативно ефектът може да се дължи на допаминергичните ефекти (т.е. представляват акатизия). Виж Нежелани реакции : Опит за постмаркетиране .

Информация за пациенти

За да се гарантира безопасно и ефективно използване на таблетки за хидрохлорид на буспирон, на пациентите трябва да се предоставят следната информация и инструкции:

Информирайте лекаря си за лекарства за рецепта или алкохол или лекарства без рецепта, които сега приемате или планирате да приемате по време на лечението си с таблетки от хидрохлорид Buspirone.

Информирайте лекаря си дали сте бременна или ако планирате да забременеете или ако забременеете, докато приемате таблетки за хидрохлорид на буспирон.

Информирайте вашия лекар, ако кърмите бебе.

Докато не изпитате как това лекарство се отразява, не шофирате кола или не работете с потенциално опасни машини.

Трябва да приемате бойспирон хидрохлорид последователно или винаги с или винаги без храна.

Изображение, Zyclara)

По време на лечението си с таблетки с буспирон хидрохлорид избягват да пият големи количества сок от грейпфрут.

Лабораторни тестове

Не се препоръчват конкретни лабораторни тестове.

Канцерогенеза мутагенеза Нарушаване на плодовитостта

Не са наблюдавани доказателства за канцерогенен потенциал при плъхове по време на 24 -месечно проучване на приблизително 133 пъти повече от максималната препоръчителна човешка устна доза; или при мишки по време на 18 -месечно проучване на приблизително 167 пъти повече от максималната препоръчителна човешка устна доза.

Със или без метаболитен активиране буспиронът не предизвиква точкови мутации в пет щама Salmonella typhimurium (AMES тест) или миши лимфом L5178YTK клетъчни култури, нито увреждане на ДНК се наблюдава при буспирон в WI-38 човешки клетки. Хромозомните аберации или аномалии не се срещат в клетките на костния мозък на мишки, дадени една или пет дневни дози буспирон.

Бременност

Тератогенни ефекти

Бременност Categилиy B

Не е наблюдавано увреждане на плодовитостта или увреждане на плода при репродукционни проучвания, извършени при плъхове и зайци при дози от буспирон от приблизително 30 пъти по -голяма от максималната препоръчителна доза човешка. При хората обаче не са проведени адекватни и добре контролирани проучвания по време на бременност. Тъй като проучванията за възпроизвеждане на животни не винаги предсказват човешки отговор, това лекарство трябва да се използва по време на бременност, само ако е ясно необходимо.

Труд и доставка

Ефектът от хидрохлорид на буспирон върху труда и раждането при жени не е известен. Не са отбелязани неблагоприятни ефекти при репродукционни проучвания при плъхове.

Кърмещи майки

Степента на екскреция в човешкото мляко на буспирон или неговите метаболити не е известна. При плъхове обаче буспирон и неговите метаболити се отделят в млякото. Администрацията на таблетки за хидрохлорид на буспирон трябва да се избягва, ако е клинично възможно.

Педиатрична употреба

Безопасността и ефективността на буспирона бяха оценени в две плацебо контролирани 6 седмични проучвания, включващи общо 559 педиатрични пациенти (вариращи от 6 до 17 години) с GAD. Изследваните дози са 7,5 mg до 30 mg B.I.D. (15 до 60 mg/ден). Няма значителни разлики между буспирон и плацебо по отношение на симптомите на GAD след дози, препоръчани за лечение на GAD при възрастни. Фармакокинетичните изследвания показват, че за идентични дози плазмени излагане на буспирон и неговия активен метаболит 1-PP са равни или по-високи при педиатрични пациенти, отколкото възрастните. В тези изпитвания не са свързани неочаквани констатации за безопасност с буспирон. В тази популация няма данни за дългосрочна безопасност или ефикасност.

Гериатрична употреба

В едно проучване на 6632 пациенти, които са получили буспирон за лечение на тревожност, 605 пациенти са на възраст ≥ 65 години, а 41 са на възраст ≥ 75 години; Профилите за безопасност и ефикасност за тези 605 пациенти в напреднала възраст (средна възраст = 70,8 години) са подобни на тези в по -младата популация (средна възраст = 43,3 години). Прегледът на спонтанно докладваните неблагоприятни клинични събития не е установил разлики между възрастни и по -млади пациенти, но не може да се изключи по -голяма чувствителност на някои по -възрастни пациенти.

Нямаше ефекти на възрастта върху фармакокинетиката на буспирон (виж Клинична фармакология Специални популации ).

Използване при пациенти с нарушена чернодробна или бъбречна функция

Буспиронът се метаболизира от черния дроб и се отделя от бъбреците. Фармакокинетично проучване при пациенти с нарушена чернодробна или бъбречна функция демонстрира повишени плазмени нива и удължен полуживот на буспирон. Следователно не може да се препоръча прилагане на таблетки с буспирон хидрохлорид на пациенти с тежко чернодробно или бъбречно увреждане (виж Клинична фармакология ).

Информация за предозиране за Buspar

Не е предоставена информация.

Противопоказания за Buspar

Таблетките на буспирон хидрохлорид са противопоказани при пациенти, свръхчувствителни към буспирон хидрохлорид.

Клинична фармакология fили Buspar

Механизмът на действие на буспирон не е известен. Busprione се различава от типичните бензодиазепинови анксиолитици, тъй като не упражнява антиконвулсантни или мускулни релаксантни ефекти. Също така му липсва видният седативен ефект, който е свързан с по -типични анксиолитици. In vitro Предклиничните проучвания показват, че буспиронът има висок афинитет към серотонин (5-HT1A) рецептори. Busprione няма значителен афинитет към рецепторите на бензодиазепин и не влияе на свързването на GABA in vitro или напразно Когато се тества в предклинични модели.

Busprione има умерен афинитет към мозъчните D2-допаминови рецептори. Някои проучвания предполагат, че буспиронът може да има косвени ефекти върху други невротрансмитерни системи.

Хидрохлоридът на буспирон бързо се абсорбира в човека и претърпява обширен метаболизъм от първи път. В радиомаркирано проучване непроменен буспирон в плазмата представлява само около 1% от радиоактивността в плазмата. След пероралното приложение плазмените концентрации на непроменен буспирон са много ниски и променливи между субектите. Наблюдавани са пикови плазмени нива от 1 ng/ml до 6 ng/ml 40 до 90 минути след единични перорални дози от 20 mg. Бионаличността на една доза на непроменен буспирон, когато се приема като таблет, е средно около 90% от еквивалентна доза разтвор, но има голяма променливост.

Ефектите на храната върху бионаличността на таблетките от хидрохлорид на буспирон са проучени при осем лица. На тях им се дава доза от 20 mg със и без храна; Площта под плазмената концентрация на кривата (AUC) и пиковата плазмена концентрация (CMAX) на непроменен буспирон се увеличава съответно с 84% и 116%, но общото количество имунореактивен материал на буспирон не се променя. Това предполага, че храната може да намали степента на пресистемичен клирънс на буспирон (виж Доза и приложение ).

Изследване с множество дози, проведено при 15 лица, предполага, че буспиронът има нелинейна фармакокинетика. По този начин се увеличава дозата и многократното дозиране може да доведе до малко по-високи нива на кръв на непроменен буспирон, отколкото би се прогнозирало от резултатите от проучвания с една доза.

An in vitro Протеиновото свързване на проучването показва, че приблизително 86% от буспирон е обвързан с плазмени протеини. Наблюдава се също, че аспиринът повишава плазмените нива на свободен буспирон с 23%, докато Flurazepam намалява плазмените нива на свободен буспирон с 20%. Не е известно обаче дали тези лекарства причиняват сходни ефекти върху плазмените нива на свободен буспирон напразно или whether such changes if they do occur cause clinically significant differences in treatment outcome. An in vitro Проучването показва, че буспиронът не измества висококачествените лекарства, свързани с протеин като фенитоин варфарин и пропранолол от плазмения протеин и този буспирон може да измести дигоксина.

Буспирон се метаболизира главно чрез окисляване, което in vitro е показано, че е медииран от цитохром Р450 3A4 (CYP3A4) (виж Лекарствени взаимодействия ). Several hydroxylated derivatives and a pharmacologically active metabolite 1-pyrimidinylpiperazine (1-PP) are produced. In animal models predictive of anxiolytic potential 1-PP has about one quarter of the activity of buspirone but is present in up to 20-fold greater amounts. However this is probably not impилиtant in humans: blood samples from humans chronically exposed to buspirone hydrochlилиide do not exhibit high levels of 1- PP; mean values are approximately 3 ng/mL and the highest human blood level recилиded among 108 chronically dosed patients was 17 ng/mL less than 1/200th of 1-PP levels found in animals given large doses of buspirone without signs of toxicity.

В еднократно проучване, използващо 14C белязан буспирон 29% до 63% от дозата, се отделя в урината в рамките на 24 часа предимно като метаболити; Фекалната екскреция представлява 18% до 38% от дозата. Средният елиминационен полуживот на непроменен буспирон след единични дози от 10 mg до 40 mg е около 2 до 3 часа.

Специални популации

Възраст на възрастта и пола

След единични или множество дози при възрастни не се наблюдават значителни разлики във фармакокинетиката на Busprione (AUC и CMAX) между възрастни и по -млади лица или между мъже и жени.

Чернодробно увреждане

След прилагане на множество дози на буспирон при пациенти с чернодробно увреждане AUC AUC на буспирон се увеличава 13 пъти в сравнение със здрави индивиди (виж ПРЕДПАЗНИ МЕРКИ ).

Бъбречно увреждане

След прилагане на многократна доза на буспирон до бъбречно нарушено (CLCR = 10 до 70 ml/min/1,73 m2) пациенти с стационарно състояние на буспирон се увеличава 4 пъти в сравнение със здрави (CLCR ≥ 80 ml/min/1,73 m2) субекти (виж субекти (виж здрави (CLCR ≥ 80 ml/min/1,73 m2) (виж субекти (виж субекти (виж субекти (вж. ПРЕДПАЗНИ МЕРКИ ).

Ефекти на расата

Ефектите от расата върху фармакокинетиката на буспирон не са проучени.

фентанил пластир 100 MCG улица цена

Информация за пациента за Buspar

Буспирон хидрохлорид
Таблетки USP
За 15 mg и 30 mg таблетки

Как да използвам

Реакцията на буспирон варира сред индивидите. Вашият лекар може да намери за необходимо да коригира дозата си, за да получите правилния отговор.

Всяка таблетка се оценява и може да бъде прекъсната точно.

За да счупите таблетката точно и лесно да държите таблета между палците си и индексните пръсти близо до подходящата оценка на таблета (Groove). След това с изправената оценка на таблета прилагате налягане и щракнете на таблетните сегменти отделно (сегментите, които се разпадат неправилно, не трябва да се използват).

Обадете се на Вашия лекар за медицински съвети относно страничните ефекти. Можете да отчитате странични ефекти на FDA на 1-800-FDA-1088.