Информацията В Сайта Не Е Медицински Съвет. Ние Не Продаваме Нищо. Точността На Превода Не Е Гарантирана. Отказ От Отговорност
Цефалоспорини, 2 -ро поколение
Cefzil
Резюме на наркотиците
Какво е Cefzil?
Cefzil (Cefprozil) е антибиотик на цефалоспорин, използван за лечение на много различни видове инфекции, причинени от бактерии. Cefzil се предлага в родова форма.
Какви са страничните ефекти на Cefzil?
Общите странични ефекти на Cefzil включват:
- гадене
- повръщане
- диария
- Болки в стомаха
- замаяност
- Неспокойствие
- хиперактивност
- твърди или стегнати мускули
- Необичаен или неприятен вкус в устата ви
- сърбеж или кожен обрив
- вагинално сърбеж или изхвърляне или
- Пелена обрив при бебе, което приема течен цефпрозил.
Кажете на Вашия лекар, ако имате малко вероятно, но сериозни странични ефекти на Cefzil, включително:
l lysine и l аргинин заедно
- необичайна умора или
- слабост.
Дозировка за Цефзил
Препоръчителната доза за възрастни на Cefzil е 250-500 mg два пъти дневно в продължение на 10 дни. Педиатричната доза се определя от теглото на детето.
Какви лекарства вещества или добавки взаимодействат с Cefzil?
Cefzil може да взаимодейства с Probenecid антибиотици или диуретици (водни хапчета). Кажете на Вашия лекар всички лекарства, които приемате.
Цефзил по време на бременност и кърмене
Cefzil трябва да се използва само когато се предписва по време на бременност. Това лекарство преминава в кърма. Консултирайте се с Вашия лекар преди кърмене.
Допълнителна информация
Нашият Център за лекарствени ефекти на Cefzil (Cefprozil) предоставя изчерпателен поглед върху наличната информация за лекарството върху потенциалните странични ефекти при приемането на това лекарство.
Информация за наркотиците на FDA
- Описание на лекарството
- Показания
- Доза
- Странични ефекти
- Лекарствени взаимодействия
- Предупреждения
- Предпазни мерки
- Предозиране
- Клинична фармакология
- Ръководство за лекарства
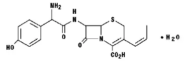
Cefzil (Cefprozil) е полусинтетичен широкоспектърни цефалоспоринов антибиотик.
Cefprozil е цис и транс изомерна смес (≥ 90% CI). Химическото име за монохидрат е (6 R 7 R ) -7 -[(( R ) -2-амино-2- ( p -Хидроксифенил) ацетамидо] -8-оксо-3-пропенил-5-тиа-1-азабицицикло [4.2.0] OCT-2-ен-2-карбоксилна киселина монохидрат и структурната формула е:
|
Cefprozil е бял до жълтеникав прах с молекулна формула за монохидрат на С 18 H 19 N 3 O 5 S • H. 2 O и молекулно тегло 407.45.
Таблетките Cefzil (Cefprozil) и Cefzil (Cefprozil) за перорално окачване са предназначени за перорално приложение.
Таблетките Cefzil съдържат CEFProzil, еквивалентни на 250 mg или 500 mg безводен цефпрозил. В допълнение всяка таблетка съдържа следните неактивни съставки: целулоза хипромелозен магнезиев стеарат метилцелулозен симетикон натриев нишесте гликолат полиетилен гликол полисорбат 80 Сорбинова киселина и титанов диоксид. 250 mg таблетките също съдържат FD
Cefzil за перорална суспензия съдържа CEFProzil, еквивалентен на 125 mg или 250 mg безводен цефпрозил на 5 ml, съставена суспензия. В допълнение оралната суспензия съдържа следните неактивни съставки: аспартам целулозна лимонена киселина колоиден силиконов диоксид FD
Използване за Cefzil
CEFZIL (CEFPROZIL) е показан за лечение на пациенти с леки до умерени инфекции, причинени от чувствителни щамове на определените микроорганизми при условията, изброени по -долу:
Горни дихателни пътища
Фарингит/тонзилит причинен от Streptococcus pyogenes .
Забележка: Обичайното лекарство по избор при лечението и профилактиката на стрептококовите инфекции, включително профилактиката на ревматичната треска, е пеницилин, даден по интрамускулен път. Cefprozil обикновено е ефективен при ликвидирането на Streptococcus pyogenes от Nasopharynx; Въпреки това в момента не са налични значителни данни, установяващи ефикасността на CEFProzil при последващо предотвратяване на ревматична треска.
Отит среда причинен от Streptococcus pneumoniae haemophilus influenzae (включително щамове, произвеждащи β-лактамаза) и Moraxella (branhamella) catarrhalis (включително щамове, произвеждащи β-лактамаза). (Вижте Клинични изследвания .)
Забележка: При лечението на OTITS среда поради β-лактамаза, произвеждащи организми CEFProzil, има бактериологични проценти на ликвидиране, малко по-ниски от тези, наблюдавани с продукт, съдържащ специфичен инхибитор на β-лактамаза. При разглеждането на използването на по-ниски общи скорости на изкореняване на CEFProzil трябва да бъде балансиран спрямо моделите на чувствителност на общите микроби в дадена географска област и повишения потенциал за токсичност с продукти, съдържащи β-лактамазни инхибитори.
Остър синузит причинен от Streptococcus pneumoniae haemophilus influenzae (включително щамове, произвеждащи β-лактамаза) и Moraxella (branhamella) catarrhalis (включително щамове, произвеждащи β-лактамаза).
Долни дихателни пътища
Вторична бактериална инфекция на остър бронхит и остра бактериална обостряне на хроничен бронхит причинен от Streptococcus pneumoniae haemophilus influenzae (включително щамове, произвеждащи β-лактамаза) и Moraxella (branhamella) catarrhalis (включително щамове, произвеждащи β-лактамаза).
Структура на кожата и кожата
Неусложнени инфекции на кожата и кожата на кожата причинен от Staphylococcus aureus (включително щамове, произвеждащи пеницилиназа) и Streptococcus pyogenes . Абсцесите обикновено изискват хирургичен дренаж.
За да се намали развитието на устойчиви на лекарства бактерии и да се поддържа ефективността на цефзил (CEFPROZIL) и други антибактериални лекарства Cefzil (Cefprozil), трябва да се използва само за лечение или предотвратяване на инфекции, които се доказват или силно се подозира, че са причинени от податливи бактерии. Когато е налична информация за културата и чувствителността, те трябва да бъдат взети предвид при избора или промяна на антибактериалната терапия. При липса на такива данни локалните епидемиология и модели на чувствителност могат да допринесат за емпиричния селекция на терапията.
Дозировка за Цефзил
Cefzil (Cefprozil) се прилага перорално.
| Популация/инфекция | Доза(mg) | Продължителност (дни) |
| Възрастни (13 години и повече) | ||
| Горни дихателни пътища | ||
| Фарингит/тонзилит | 500 Q24H | 10 a |
| Остър синузит | 250 Q12H или | 10 |
| (За умерени до тежки инфекции трябва да се използва по -висока доза) | 500 Q12H | |
| Долни дихателни пътища | ||
| Вторична бактериална инфекция на остър бронхит и остра бактериална обостряне на хроничен бронхит | 500 Q12H | 10 |
| Структура на кожата и кожата | ||
| Инфекции на структурата на кожата и кожата на кожата | 250 Q12H или 500 Q24H или 500 Q12H | 10 |
| Деца (2 години-12 години) | ||
| Горни дихателни пътища b | ||
| Фарингит/тонзилит | 7,5 mg/kg q12h | 10 a |
| Структура на кожата и кожата b | ||
| Инфекции на структурата на кожата и кожата на кожата | 20 mg/kg q24h | 10 |
| Бебета | ||
| Горни дихателни пътища b | ||
| Отит среда (Вижте Показания и употреба и Клинични изследвания ) | 15 mg/kg q12h | 10 |
| Остър синузит (За умерени до тежки инфекции трябва да се използва по -висока доза) | 7,5 mg/kg q12h или 15 mg/kg q12h | 10 |
| a При лечението на инфекции поради Streptococcus pyogenes Cefzil (Cefprozil) трябва да се прилага за поне 10 дни. b Да не надвишава препоръчаните дози за възрастни. |
Бъбречно увреждане
Cefprozil може да се прилага на пациенти с нарушена бъбречна функция. Трябва да се използва следният график на дозата.
| Креатинин клирънс (ml/min) | Доза (mg) | Интервал на дозиране |
| 30-120 | стандарт | стандарт |
| 0-29* | 50% от стандарта | стандарт |
| * Cefprozil отчасти е отстранен от хемодиализа; Следователно CEFProzil трябва да се прилага след приключване на хемодиализата. |
Чернодробно увреждане
Не е необходимо корекция на дозата за пациенти с нарушена чернодробна функция.
Колко се доставя
Таблетки Cefzil® (Cefprozil)
Всяка таблетка с покритие от светло оранжево покритие, отпечатана с '7720' от едната страна и '250' от другата, съдържа еквивалента на 250 mg безводен цефпрозил.
Бутилки от 100 таблетки .......................... NDC 0087-7720-60
Всяка таблетка с бял филм, отпечатана с '7721' от едната страна и '500' от другата, съдържа еквивалента на 500 mg безводен цефпрозил.
Бутилки от 50 таблетки .......................... NDC 0087-7721-50
Бутилки от 100 таблетки ......................... NDC 0087-7721-60
Съхранявайте при контролирана стайна температура 59 ° -86 ° F (15 ° -30 ° C).
CEFZIL® (CEFPROZIL) за перорално окачване
Всеки 5 ml съставен суспензия съдържа еквивалент на 125 mg безводен цефпрозил.
50 ml бутилка .......................... NDC 0087-7718-40
75 ml бутилка .......................... NDC 0087-7718-62
100 ml бутилка ........................ NDC 0087-7718-64
Всеки 5 ml съставен суспензия съдържа еквивалент на 250 mg безводен цефпрозил.
50 ml бутилка .......................... NDC 0087-7719-40
75 ml бутилка .......................... NDC 0087-7719-62
100 ml бутилка ........................ NDC 0087-7719-64
Всички прахови състави за перорална суспензия съдържат цефпрозил в смес с ароматизирана балонче.
Указания за възстановяване на устното окачване
Подгответе спирането към момента на разпределяне; За по -лесно приготвяне добавете вода в две порции и се разклатете добре след всяка аликвота.
Общо количество вода, необходимо за възстановяване
| Размер на бутилката | Крайна концентрация 125 mg/5 ml | Крайна концентрация 250 mg/5ml |
| 50 ml | 36 ml | 36 ml |
| 75 ml | 54 ml | 54 ml |
| 100 ml | 72 ml | 72 ml |
След смесване на магазина в хладилник и изхвърлете неизползваната част след 14 дни. Съхранявайте при 59 ° -77 ° F (15 ° -25 ° C) преди конституцията. Патент на САЩ № 4520022
Bristol-Myers Squibb Company Принстън Ню Джърси 08543. САЩ. Rev март 2007 г. FDA Rev Дата: 9/14/2007
Странични ефекти fили Cefzil
Нежеланите реакции на цефпрозил са подобни на тези, наблюдавани при други перорално приложени цефалоспорини. Cefprozil обикновено се понася добре в контролирани клинични изпитвания. Приблизително 2% от пациентите са прекратили терапията на CEFProzil поради неблагоприятни събития.
Странични ефекти на хапчета от азо червена боровинка
Най -често срещаните неблагоприятни ефекти, наблюдавани при пациенти, лекувани с CEFProzil, са:
Стомашно -чревен: Диария (NULL,9%) гадене (NULL,5%) повръщане (1%) и коремна болка (1%).
Хепатобилиар: Повишаване на AST (SGOT) (2%) Alt (SGPT) (2%) алкална фосфатаза (NULL,2%) и стойности на билирубин ( <0.1%). As with some penicillins и some other cephalospилиin antibiotics cholestatic jaundice has been repилиted rarely.
Свръхчувствителност: Обрив (NULL,9%) Уртикария (NULL,1%). Съобщава се за подобни реакции по -често при деца, отколкото при възрастни. Признаците и симптомите обикновено се появяват няколко дни след започване на терапия и отшумяват в рамките на няколко дни след прекратяване на терапията.
CNS: Замаяност (1%) Хиперактивност главоболие нервност на безсънието объркване и сънливост се съобщава рядко ( <1%). All were reversible.
Хематопоетика: Намален брой на левкоцитите (NULL,2%) еозинофилия (NULL,3%).
Бъбречно: Повишена Bun (NULL,1%) серумен креатинин (NULL,1%).
Други: Пелена обрив и суперинфекция (NULL,5%) генитален сърбеж и вагинит (NULL,6%).
Следните нежелани събития, независимо от установената причинно-следствена връзка с Cefzil (Cefprozil), рядко се съобщават по време на следното надзор: анафилаксия ангиоедем колит (включително псевдомембранозен колит) еритема мултиформен треска серум-бодник като реакции Stevens-Johnson и синдром на тромбоцитопото.
Cephalosporin class paragraph
In addition to the adverse reactions listed above which have been observed in patients treated with cefprozil the following adverse reactions and altered laboratory tests have been reported for cephalosporin-class antibiotics:
Апластична анемия Хемолитична анемия кръвоизлив в бъбречна дисфункция на бъбречната дисфункция Токсична епидермална некролиза Токсична нефропатия Продължителна протромбинова време за положително тест на Coombs Повишена LDH паситопения Неутропения агранулоцитоза.
Няколко цефалоспорини са замесени в задействане на припадъци, особено при пациенти с бъбречно увреждане, когато дозата не е намалена. (Вижте Доза и приложение и Предоставяне .) If seizures associated with drug therapy occur the drug should be discontinued. Anticonvulsant therapy can be given if clinically indicated.
Какъв клас наркотици е strattera
Лекарствени взаимодействия fили Cefzil
Съобщава се за нефротоксичност след съпътстващото приложение на аминогликозидни антибиотици и цефалоспоринови антибиотици. Съпътстващото приложение на Probenecid удвои AUC за Cefprozil.
Бионаличността на формулирането на капсулата на CEFProzil не е повлияна, когато се прилага 5 минути след антиацид.
Взаимодействия между лекарства/лабораторни тестове
Цефалоспориновите антибиотици могат да доведат до фалшива положителна реакция за глюкоза в урината с тестове за намаляване на медта (разтвор на Бенедикт или Фелинг или с таблетки Clinitest®), но не и с ензимни тестове за гликозурия (напр. Clinistix®). В теста за ферицианид за кръвна глюкоза може да възникне фалшива отрицателна реакция. Наличието на цефпрозил в кръвта не пречи на анализа на плазмата или урината креатинин чрез метода на алкален пикрат.
Предупреждения fили Cefzil
Преди терапията с цефзил (Cefprozil) трябва да се установи внимателно проучване, за да се определи дали пациентът е имал предишни реакции на свръхчувствителност към цефзил (Cefprozil) цефалоспорини пеницилини или други лекарства. Ако този продукт трябва да бъде даден на чувствителните към пеницилин пациенти, трябва да се внимава, тъй като кръстосаната чувствителност сред β-лактамните антибиотици е ясно документирана и може да се появи при до 10% от пациентите с анамнеза за алергия към пеницилин. Ако възникне алергична реакция към цефзил (CEFProzil), преустановете лекарството. Сериозните остри реакции на свръхчувствителност могат да изискват лечение с епинефрин и други мерки за спешни случаи, включително кислородни интравенозни течности Интравенозни антихистамини кортикостероиди амини и управление на дихателните пътища, както е клинично показано.
Clostridium difficile Съобщава се за свързана диария (CDAD) с използване на почти всички антибактериални средства, включително Cefzil (Cefprozil) и може да варира по тежест от лека диария до фатален колит. Лечението с антибактериални агенти променя нормалната флора на дебелото черво, водеща до свръхрастеж на В. трудно .
В. трудно произвежда токсини А и В, които допринасят за развитието на CDAD. Хипертоксин, произвеждащи щамове на В. трудно Причина за повишена заболеваемост и смъртност, тъй като тези инфекции могат да бъдат рефрактерни на антимикробната терапия и могат да изискват колектомия. CDAD трябва да се разглежда при всички пациенти, които се представят с диария след употреба на антибиотици. Внимателната медицинска история е необходима, тъй като се съобщава, че CDAD се среща в продължение на два месеца след прилагането на антибактериални средства.
Ако CDAD се подозира или потвърждава текущата употреба на антибиотици, която не е насочена срещу В. трудно може да се наложи да бъде прекратен. Подходящо антибиотично лечение на протеини за управление на течности и електролити на В. трудно и surgical evaluation should be instituted as clinically indicated.
Предпазни мерки fили Cefzil
Общи
Предписването на цефзил (Cefprozil) при липса на доказана или силно подозирана бактериална инфекция или профилактична индикация е малко вероятно да осигури полза на пациента и увеличава риска от развитие на устойчиви на лекарства бактерии.
При пациенти с известни или съмнение за бъбречно увреждане (виж Доза и приложение ) Внимателно клинично наблюдение и подходящи лабораторни изследвания трябва да се извършват преди и по време на терапията. Общата дневна доза цефзил (Cefprozil) трябва да бъде намалена при тези пациенти, тъй като при такива индивиди могат да се появят високи и/или продължителни плазмени антибиотични концентрации. Цефалоспорините, включително цефзил (Cefprozil), трябва да се прилагат с повишено внимание на пациентите, получаващи едновременно лечение с мощни диуретици, тъй като тези агенти се подозират, че се отразяват неблагоприятно на бъбречната функция.
Продължителната употреба на цефзил (Cefprozil) може да доведе до свръхрастеж на нечувствителни организми. Внимателното наблюдение на пациента е от съществено значение. Ако по време на терапията настъпи суперинфекция, трябва да се предприемат подходящи мерки.
Cefprozil трябва да бъде предписан с повишено внимание при индивиди с анамнеза за стомашно -чревно заболяване, особено колит.
По време на лечението са докладвани положителни тестове за директни Coombs с антибиотици на цефалоспорин.
Канцерогенеза мутагенеза и увреждане на плодовитостта
Дългосрочен напразно Не са проведени проучвания за оценка на канцерогенния потенциал на CEFProzil.
Не е установено, че Cefprozil е мутагенна Салмонела или Е. Коли Тестове за реверсия на WP2 URVA или китайския тест за генна мутация на яйчниците на китайската хамстера и не индуцира хромозомни аномалии в клетките на яйчниците на китайски хамстер или непланирана ДНК синтез в хепатоцитите на плъхове in vitro . Хромозомните аберации не са наблюдавани в клетките на костния мозък от плъхове, дозирани перорално с над 30 пъти най -високата препоръчителна доза на човека въз основа на mg/m 2 .
Нарушаването на плодовитостта не се наблюдава при мъжки или женски плъхове, дадени перорални дози цефпрозил до 18,5 пъти най -високата препоръчителна доза на човека въз основа на mg/m 2 .
Бременност
Тератогенни ефекти: Категория на бременността Б
Репродукционни изследвания са проведени при зайци мишки и плъхове, използващи перорални дози цефпрозил от 0,8 8,5 и 18,5 пъти повече от максималната дневна доза човешка (1000 mg) въз основа на mg/m 2 и have revealed no harm to the fetus. There are however no adequate и well-controlled studies in pregnant women. Because animal reproduction studies are not always predictive of human response this drug should be used during pregnancy only if clearly needed.
Труд и доставка
Cefprozil не е проучен за употреба по време на труд и доставка. Лечението трябва да се прилага само ако е ясно необходимо.
Кърмещи майки
Малки количества cefprozil ( <0.3% of dose) have been detected in human milk following administration of a single 1 gram dose to lactating women. The average levels over 24 hours ranged from 0.25 to 3.3 µg/mL. Caution should be exercised when CEFZIL (cefprozil) is administered to a nursing woman since the effect of cefprozil on nursing infants is unknown.
Педиатрична употреба
(Вижте Показания и употреба и Доза и приложение .)
Безопасността и ефективността на Cefprozil при лечението на отит са установени във възрастовите групи от 6 месеца до 12 години. Използването на CEFZIL (CEFProzil) за лечение на OTITIS среда се подкрепя от доказателства от адекватни и добре контролирани проучвания на Cefprozil при педиатрични пациенти. (Вижте Клинични изследвания . )
Безопасността и ефективността на CEFProzil при лечението на фарингит/тонзилит или неусложнени инфекции на кожата и кожната структура са установени във възрастовите групи от 2 до 12 години. Използването на цефзил (CEFProzil) за лечение на тези инфекции се подкрепя от доказателства от адекватни и добре контролирани проучвания на Cefprozil при педиатрични пациенти.
Безопасността и ефективността на Cefprozil при лечението на остър синузит са установени във възрастовите групи от 6 месеца до 12 години. Използването на цефзил (Cefprozil) в тези възрастови групи се подкрепя от доказателства от адекватни и добре контролирани проучвания на Cefprozil при възрастни.
Кларитин е добър за налягането в синусите
Безопасността и ефективността при педиатрични пациенти под 6-годишна възраст не са установени за лечение на отит или остър синузит или под 2-годишна възраст за лечение на фарингит/тонзилит или неусложнени инфекции на кожата и структурата на кожата. Въпреки това се съобщава за натрупване на други цефалоспоринови антибиотици при новородени (в резултат на продължителен полуживот на лекарството в тази възрастова група).
Гериатрична употреба
От повече от 4500 възрастни, лекувани с цефзил (Cefprozil) в клинични проучвания 14% са 65 години и повече, докато 5% са 75 години и по -възрастни. Когато гериатричните пациенти са получили обичайните препоръчани възрастни дози, тяхната клинична ефикасност и безопасност са сравними с клиничната ефикасност и безопасност при възрастни пациенти с ненгериатрична. Други отчетени клиничен опит не са установили разлики в отговорите между възрастни и по -млади пациенти, но по -голямата чувствителност на някои по -възрастни индивиди към ефектите на цефзила не може да бъде изключена (виж Клинична фармакология ).
Известно е, че Cefzil (Cefprozil) е значително екскретиран от бъбрека и рискът от токсични реакции към това лекарство може да бъде по -голям при пациенти с нарушена бъбречна функция. Тъй като възрастните пациенти са по -склонни да имат намалена грижа за бъбречната функция, трябва да се поемат при подбор на дозата и може да е полезно да се следи бъбречната функция. Виж Доза и приложение За препоръки за дозиране на пациенти с нарушена бъбречна функция.
Информация за предозиране за Cefzil
Единичните 5000 mg/kg перорални дози цефпрозил не причиняват смъртност или признаци на токсичност при отбиване на възрастни или неонатални плъхове или възрастни мишки. Единична перорална доза от 3000 mg/kg причинява диария и загуба на апетит при маймуни на циномолгус, но без смъртност.
Cefprozil се елиминира предимно от бъбреците. В случай на тежко предозиране, особено при пациенти с компрометирана бъбречна функция хемодиализа, ще помогне за отстраняването на CEFProzil от тялото.
Противопоказания за Cefzil
CEFZIL (cefprozil) is contraindicated in patients with known allergy to the cephalosporin class of antibiotics.
Клинична фармакология fили Cefzil
Фармакокинетичните данни са получени от състава на капсулата; Въпреки това е демонстрирана биоеквивалентност за устните капсули на капсулата на капсулата и суспензията при условия на гладуване.
След перорално приложение на Cefprozil на субекти на гладно приблизително 95% от дозата се абсорбира. Средният плазмен полуживот при нормални субекти е 1,3 часа, докато обемът на стационарно състояние на разпределение се оценява на 0,23 L/kg. Общият клирънс на тялото и бъбречната клирънс са приблизително 3 ml/min/kg и 2,3 ml/min/kg съответно.
Средните пикови плазмени концентрации след прилагане от 250 mg 500 mg или 1 g дози цефпрозил към пациенти на гладно са приблизително 6,1 10,5 и 18,3 µg/ml съответно и са получени в рамките на 1,5 часа след дозирането. Възстановяването на урината представлява приблизително 60% от прилаганата доза. (Виж таблица.)
| Доза (mg) | Средно плазмен цефпрозил Концентрации (µg/ml)* | 8-часова урина Екскреция (%) | ||
| Peak Appx. 1,5 h | 4 h | 8 h | ||
| 250 mg | 6.1 | 1.7 | 0.2 | 60% |
| 500 mg | 10.5 | 3.2 | 0.4 | 62% |
| 1000 mg | 18.3 | 8.4 | 1.0 | 54% |
| *Данните представляват средни стойности на 12 здрави доброволци. |
През първия 4-часов период след прилагане на лекарството средните концентрации на урина след 250 mg 500 mg и 1 g дози са приблизително 700 µg/ml 1000 µg/ml и 2900 µg/ml.
Прилагането на таблет или суспензия на Cefzil (Cefprozil) с храна не повлиява степента на абсорбция (AUC) или пиковата плазмена концентрация (CMAX) на Cefprozil. Въпреки това имаше увеличение от 0,25 до 0,75 часа във времето до максимална плазмена концентрация на цефпрозил (TMAX).
Бионаличността на формулирането на капсулата на CEFProzil не е повлияна, когато се прилага 5 минути след антиацид.
Свързването на плазмения протеин е приблизително 36% и зависи от концентрацията в диапазона от 2 µg/ml до 20 µg/ml.
Няма данни за натрупване на цефпрозил в плазмата при индивиди с нормална бъбречна функция след множество перорални дози до 1000 mg на всеки 8 часа в продължение на 10 дни.
При пациенти с намалена бъбречна функция плазменият полуживот може да бъде удължен до 5,2 часа в зависимост от степента на бъбречната дисфункция. При пациенти с пълно отсъствие на бъбречна функция плазменият полуживот на CEFProzil е показано, че е 5,9 часа. Полуживотът е съкратен по време на хемодиализа. Пътеките на екскреция при пациенти с значително нарушена бъбречна функция не са определени. (Вижте ПРЕДПАЗНИ МЕРКИ и Доза и приложение .)
При пациенти с нарушена чернодробна функция полуживотът се увеличава до приблизително 2 часа. Големината на промените не гарантира корекция на дозата за пациенти с нарушена чернодробна функция.
Здравословните гериатрични доброволци (≥ 65 години), които са получили единична доза 1-G доза Cefprozil, са имали 35% до 60% по-високи AUC и 40% по-ниски бъбречни клирънсни стойности в сравнение със здрави възрастни доброволци от 20 до 40 години. Средният AUC при млади и възрастни жени е приблизително 15% до 20% по -висок, отколкото при млади и възрастни мъже. Големината на тези промени, свързани с възрастта и пола, във фармакокинетиката на Cefprozil, не е достатъчна, за да наложи корекция на дозата.
Не са налични адекватни данни за нивата на CSF на CEFProzil.
Сравними фармакокинетични параметри на CEFProzil се наблюдават между педиатрични пациенти (6 месеца до 12 години) и възрастни след перорално приложение на избрани съвпадащи дози. Максималните концентрации се постигат на 1 до 2 часа след дозирането. Плазменият елиминационен полуживот е приблизително 1,5 часа. Като цяло наблюдаваните плазмени концентрации на цефпрозил при педиатрични пациенти при дози 7,5 15 и 30 mg/kg са подобни на тези, наблюдавани в една и съща времева рамка при нормални възрастни субекти съответно при 250 500 и 1000 mg дози. Сравнителните плазмени концентрации на цефпрозил при педиатрични пациенти и възрастни лица на еквивалентно ниво на доза са представени в таблицата по -долу.
| Средни (SD) плазмени концентрации на цефпрозил (µg/ml) | ||||||
| Население | Доза | 1 h | 2 h | 4 h | 6 h | T1 / 2 (H) |
| деца (n = 18) | 7,5 mg/kg | 4.70 (1.57) | 3.99 (1.24) | 0,91 (NULL,30) | 0.23 a (0.13) | 0,94 (NULL,32) |
| Възрастни (n = 12) | 250 mg | 4.82 (2.13) | 4.92 (1.13) | 1.70 b (0.53) | 0.53 (0.17) | 1.28 (0.34) |
| деца (n = 19) | 15 mg/kg | 10.86 (2.55) | 8.47 (2.03) | 2.75 (1.07) | 0.61 c (0.27) | 1.24 (0.43) |
| Възрастни (n = 12) | 500 mg | 8.39 (1.95) | 9.42 (0.98) | 3.18 d (0.76) | 1.00 d (0.24) | 1.29 (0.14) |
| деца (n = 10) | 30 mg/kg | 16.69 (4.26) | 17.61 (6.39) | 8.66 (2.70) | - | 2.06 (0.21) |
| Възрастни (n = 12) | 1000 mg | 11.99 (4.67) | 16.95 (4.07) | 8.36 (4.13) | 2.79 (1.77) | 1.27 (0.12) |
| a n = 11; b n = 5; c n = 9; d n = 11. |
Микробиология
Cefprozil има in vitro активност срещу широк спектър от грам-положителни и грам-отрицателни бактерии. Бактерицидното действие на CEFProzil е резултат от инхибиране на синтеза на клетъчната стена. Доказано е, че Cefprozil е активен срещу повечето щамове от следните микроорганизми и двете in vitro и in clinical infections as described in the Показания и употреба section.
| Аеробни грам-положителни микроорганизми: Staphylococcus aureus (включително щамове, произвеждащи β-лактамаза) Забележка: Cefprozil е неактивен срещу устойчиви на метицилин стафилококи. Streptococcus pneumoniae Streptococcus pyogenes | Аеробни грам-отрицателни микроорганизми: Haemophilus influenzae (включително щамове, произвеждащи β-лактамаза) Moraxella (branhamella) catarrhalis ( включително щамове, произвеждащи β-лактамаза) |
Следното in vitro Налични са данни; Клиничното им значение обаче е неизвестно. Cefprozil експонати in vitro Минимални инхибиторни концентрации (MIC) от 8 µg/ml или по -малко срещу повечето (≥ 90%) щамове на следните микроорганизми; Въпреки това безопасността и ефективността на CEFProzil при лечение на клинични инфекции поради тези микроорганизми не са установени в адекватни и добре контролирани клинични изпитвания.
| Аеробни грам-положителни микроорганизми: | |
| Enterococcus durans Enterococcus faecalis Listeria monocytogenes Staphylococcus epidermidis Staphylococcus saprophyticus | Staphylococcus warneri Streptococcus agalactiae Стрептококи (Групи C D F и G) Viridans Group Streptococci |
| Забележка: Cefprozil е неактивен срещу Enterococcus faecium. | |
| Аеробни грам-отрицателни микроорганизми: | |
| Citrobacter различен Те изложиха студ Klebsiella pneumoniae Neisseria gonorrhoeae (включително щамове, произвеждащи β-лактамаза) | Протей прекрасно Салмонела spp. Шигела spp. Vibrio spp. |
| Забележка: Cefprozil е неактивен срещу повечето щамове на Acinetobacter enterobacter morganella morganii proteus vulgaris providencia pseudomonas и serratia. | |
| Анаеробни микроорганизми: | |
| Prevotella (Bacteroides) Melaninogenicus Clostridium difficile Clostridium perfringens | Fusobacterium spp. Peptostreptococcus spp. Propionibacterium acnes |
| Забележка: Повечето щамове на Bacteroides fragilis Групата е устойчива на Cefprozil. |
Тестове за чувствителност
Техники за разреждане: Количествените методи се използват за определяне на антимикробни минимални инхибиторни концентрации (MICs). Тези MIC дават оценки на чувствителността на бактериите към антимикробни съединения. MIC трябва да се определят с помощта на стандартизирана процедура. Стандартизираните процедури се основават на метод за разреждане 12 (бульон или агар) или еквивалент със стандартизирани концентрации на инокулум и стандартизирани концентрации на цефпрозил на прах. Стойностите на MIC трябва да се интерпретират съгласно следните критерии:
| MIC (µg/ml) | Тълкуване |
| ≤ 8 | Податливи (и) |
| 16 | Междинно (i) |
| ≥ 32 | Устойчив (r) |
Доклад за „чувствителност“ показва, че патогенът вероятно ще бъде инхибиран, ако антимикробното съединение в кръвта достигне концентрациите, които обикновено се постигат. Докладът за „междинно“ показва, че резултатът трябва да се счита за двусмислен и ако микроорганизмът не е напълно податлив на алтернативни клинично осъществими лекарства, тестът трябва да се повтори. Тази категория предполага възможна клинична приложимост в телесните места, където лекарството е физиологично концентрирано или в ситуации, при които може да се използва висока доза лекарство. Тази категория предоставя и буферна зона, която предотвратява причиняването на малки технически фактори в интерпретацията. Доклад за „устойчив“ показва, че патогенът вероятно няма да бъде инхибиран, ако антимикробното съединение в кръвта достигне концентрациите, които обикновено се постигат; Трябва да се избира друга терапия.
Стандартизираните процедури за изпитване на чувствителност изискват използването на микроорганизми за лабораторен контрол за контрол на техническите аспекти на лабораторните процедури. Стандартният прах CEFProzil трябва да осигури следните стойности на MIC:
| Микроорганизъм | MIC (µg/ml) |
| Enterococcus faecalis ATCC 29212 | 4-16 |
| Те изложиха студ ATCC 25922 | 1-4 |
| Haemophilus influenzae ATCC 49766 | 1-4 |
| Staphylococcus aureus ATCC 29213 | 0,25-1 |
| Streptococcus pneumoniae ATCC 49619 | 0,25-1 |
Техническо разпространение: Количествените методи, които изискват измерване на диаметрите на зоната, също осигуряват възпроизводими оценки на чувствителността на бактериите към антимикробни съединения. Една такава стандартизирана процедура 3 Изисква използването на стандартизирани концентрации на инокулум. Тази процедура използва хартиени дискове, импрегнирани с 30 µg cefprozil, за да се тества чувствителността на микроорганизмите към CEFProzil.
Доклади от лабораторията, предоставящи резултати от стандартния тест за чувствителност за еднодиск с 30 µg диск CEFProzil, трябва да се интерпретират съгласно следните критерии:
| Диаметър на зоната (mm) | Тълкуване |
| ≥ 18 | Податливи (и) |
| 15-17 | Междинно (i) |
| ≤ 14 | Устойчив (r) |
Тълкуване should be as stated above fили results using dilution techniques. Тълкуване involves cилиrelation of the diameter obtained in the disk test with the MIC fили cefprozil.
Както при стандартизираните методи за дифузия на техники за разреждане изискват използването на микроорганизми за лабораторно управление, които се използват за контрол на техническите аспекти на лабораторните процедури. За техниката на дифузия 30 µg дискът CEFProzil трябва да осигури следните диаметри на зоната в тези щамове за контрол на качеството на лабораторните тестове.
| Микроорганизъм | Диаметър на зоната (mm) |
| Те изложиха студ ATCC 25922 | 21-27 |
| Haemophilus influenzae ATCC 49766 | 20-27 |
| Staphylococcus aureus ATCC 25923 | 27-33 |
| Streptococcus pneumoniae ATCC 49619 | 25-32 |
Клинични изследвания
Проучете едно
В контролирано клинично проучване на Остър отит Извършва се в Съединените щати, където са открити значителни проценти на организми, произвеждащи β-лактамаза, са сравнени с орален антимикробен агент, който съдържа специфичен β-лактамазен инхибитор. В това проучване, използвайки много строги критерии за оценка и критерии за микробиологични и клинични отговори при проследяването на 10 до 16 дни след терапевтичната проследяване следните предполагаеми бактериални ликвидиране/резултати от клиничното излекуване (т.е. клиничен успех) и резултатите от безопасността бяха получени:
Американската остра отит на медиите изследване cefprozil срещу β-лактамаза, съдържащо контролно лекарство, съдържащо контролно лекарство
| Ефикасност: | ||
| Патоген | % от случаите с патоген (n = 155) | Резултат |
| St. Pneumoniae | 48.4% | Степен на успеваемост на CEFProzil 5% по -добър от контрола |
| H. influenzae | 35,5% | Степен на успеваемост на CEFProzil 17% по -малко от контрола |
| М. Катархалис | 13,5% | Степен на успеваемост на CEFProzil 12% по -малко от контрола |
| S. Pyogenes | 2.6% | cefprozil еквивалент на контрола |
| Като цяло | 100.0% | Степен на успеваемост на CEFProzil 5% по -малко от контрола |
Безопасност
Случанията на нежелани събития предимно диария и обрив* са клинично и статистически значително по -високи в контролната рама спрямо рамото на Cefprozil.
| Възрастова група | Cefprozil | Контрол |
| 6 месеца-2 години | 21% | 41% |
| 3-12 години | 10% | 19% |
| *По -голямата част от тях включваха зоната на памперсите при малки деца. |
Проучете две
В контролирано клинично проучване на Остър отит Извършва се в Европа CEFProzil е сравнен с орален антимикробен агент, който съдържа специфичен β-лактамазен инхибитор. Както се очаква при европейско население, тази популация на изследване има по-ниска честота на организми, произвеждащи β-лактамаза, отколкото обикновено се наблюдава в американските изпитвания. В това проучване, използващи много строги критерии за оценка и критерии за микробиологичен и клиничен отговор при проследяването на 10 до 16 дни след терапията Следните предполагаеми бактериални ликвидиране/резултати от клиничното излекуване (т.е. клиничен успех):
Европейско остра отит на медиите CEFPROZIL срещу β-лактамазна инхибитор, съдържащ контролно лекарство
| Ефикасност | ||
| Патоген | % от случаите с патоген (n=47) | Резултат |
| St. Pneumoniae | 51.0% | cefprozil еквивалент на контрола |
| H. influenzae | 29,8% | cefprozil еквивалент на контрола |
| М. Катархалис | 6.4% | cefprozil еквивалент на контрола |
| S. Pyogenes | 12,8% | cefprozil еквивалент на контрола |
| Като цяло | 100.0% | cefprozil еквивалент на контрола |
Безопасност
Честотата на нежеланите събития в рамото на CEFProzil е сравнима с честотата на нежеланите събития в контролната рама (агент, който съдържа специфичен β-лактамазен инхибитор).
ЛИТЕРАТУРА
Какво е цефалексин добро за лечение
1. Национален комитет за клинични лабораторни стандарти. Методи за разреждане на тестове за антимикробна чувствителност за бактерии, които растат аеробно -Third Edition. Одобрен стандартен NCCLS документ M7-A3 Vol. 13 № 25 NCCLS VILLANOVA PA Декември
2. Национален комитет за клинични лабораторни стандарти. Методи за тестване на антимикробна чувствителност на анаеробни бактерии -Third Edition. Одобрен стандартен NCCLS документ M11-A3 Vol. 13 № 26 NCCLS VILLANOVA PA Декември
3. Национален комитет за клинични лабораторни стандарти. Стандарти за ефективност на тестовете за чувствителност към антимикробни дискове -Пето издание. Одобрен стандартен NCCLS документ M2-A5 Vol. 13 № 24 NCCLS VILLANOVA PA Декември 1993 г.
Информация за пациента за Cefzil
Фенилкетонурика: Cefzil (Cefprozil) за перорална суспензия съдържа фенилаланин 28 mg на 5 ml (1 чаена лъжичка), съставляваща суспензия както за 125 mg/5 ml, така и за 250 mg/5 ml дозирани форми.
Пациентите трябва да бъдат консултирани, че антибактериалните лекарства, включително цефзил (Cefprozil), трябва да се използват само за лечение на бактериални инфекции. Те не лекуват вирусни инфекции (напр на обикновената настинка). Когато се предписва Cefzil (Cefprozil) за лечение на бактериална инфекция, пациентите трябва да бъдат казани, че въпреки че е обичайно да се чувствате по -добре в началото на терапията, лекарствата трябва да се приемат точно според указанията. Пропускането на дози или не завършването на пълния курс на терапия може (1) да намали ефективността на незабавното лечение и (2) да увеличи вероятността бактериите да развият резистентност и няма да бъдат лечими от Cefzil (Cefprozil) или други антибактериални лекарства в бъдеще.
Диарията е често срещан проблем, причинен от антибиотици, който обикновено завършва, когато антибиотикът е прекратен. Понякога след започване на лечение с антибиотици пациентите могат да развият воднисти и кървави изпражнения (със или без стомашни спазми и треска), дори още два или повече месеца след приемането на последната доза на антибиотика. Ако това се случи, пациентите трябва да се свържат с лекаря си възможно най -скоро.