Информацията В Сайта Не Е Медицински Съвет. Ние Не Продаваме Нищо. Точността На Превода Не Е Гарантирана. Отказ От Отговорност
Акне агенти, актуални комбинации
Диак
Резюме на наркотиците
Какво е DUAC?
Diac ( Клиндамицин Фосфат и бензоил пероксид) Гелът е комбинация от антибиотик и антибактериал, който също има лек изсушаващ ефект, използван за лечение на акне.
Какви са страничните ефекти на DUAC?
Често срещаните странични ефекти на гел за DUAC включват суха кожа зачервяване, изгарящ сърбеж, ужилващ чувство за зачервяване или друго дразнене или отлепване на кожата. Кажете на Вашия лекар, ако имате сериозни странични ефекти на DUAC гел, включително:
- Тежка зачервяване
- изгаряне
- ужилване или
- Пилинг на лекувани кожни зони; или
- диария, която е водниста или кървава.
Потърсете медицинска помощ или се обадете на 911 наведнъж, ако имате следните сериозни странични ефекти:
- Сериозни симптоми на очите, като например внезапна загуба на зрение, замъглено зрение Тунел Виждане болка в очите или подуване или виждане на ореоли около светлините;
- Сериозни сърдечни симптоми като бързи нередовни или ударни сърдечни удари; трептене в гърдите ви; задух; и внезапна замаяност замаяност или раздаване;
- Тежка главоболие объркване затънала речева ръка или крак слабост проблем за ходене на загуба на координация, чувствайки се нестабилни много твърди мускули висока треска обилно изпотяване или тремор.
Този документ не съдържа всички възможни странични ефекти, а други могат да възникнат. Консултирайте се с вашия лекар за допълнителна информация за страничните ефекти.
Дозировка за DUAC
DUAC гел локален (за кожата) се прилага в веднъж дневна доза, както е указано от лекар към засегнати участъци, след като кожата се измие леко с топла вода и се потупва суха.
Какви лекарства вещества или добавки взаимодействат с DUAC?
DUAC може да взаимодейства с локален или перорален еритромицин. Други лекарства могат да взаимодействат с DUAC. Кажете на Вашия лекар за всички лекарства и добавки без рецепта, които използвате.
DUAC по време на бременност и кърмене
По време на бременност DUAC трябва да се използва само когато е предписано. Това лекарство може да премине в кърма и може да има нежелани ефекти върху кърмаче за кърмене. Консултирайте се с Вашия лекар преди кърмене.
Допълнителна информация
Нашият DUAC (клиндамицин фосфат и бензоил пероксид) Гел странични ефекти Център за лекарства предоставя цялостен поглед върху наличната информация за лекарството върху потенциалните странични ефекти при приемането на това лекарство.
Информация за наркотиците на FDA
- Описание на лекарството
- Показания
- Странични ефекти
- Лекарствени взаимодействия
- Предупреждения
- Предозиране
- Клинична фармакология
- Ръководство за лекарства
Описание за DUAC локален гел
DUAC (клиндамицин фосфат и бензоил пероксид) гел 1,2%/5% е фиксиран комбиниран продукт с две активни съставки в бял до леко жълт непрозрачен воден гел състав.
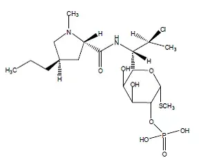
Клиндамицин фосфат е воден разтворим естер на полусинтетичния антибиотик, произведен от 7 (S) -хлоро-заместване на 7 (R) -хидроксилната група на родителския антибиотичен линкомицин.
Клиндамицин фосфат е c 18 H 34 Cln 2 O 8 Ps. Структурната формула за клиндамицин фосфат е представена по -долу:
|
Клиндамицин фосфат има молекулно тегло 504,97, а химическото му наименование е метил 7-хлоро-678-тридиокси-6- (1-метил- Транс -4-пропил-L-2-пиролидинекарбоксамидо) -1-тиол- посока -a-d- Галакто -опиранозид 2- (дихидроген фосфат).
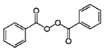
Бензоил пероксидът е c 14 H 10 O 4 . Той има следната структурна формула:
|
Бензоил пероксидът има молекулно тегло 242,23.
Странични ефекти на Butrans 10 mg
Each gram of DUAC Gel contains 10 mg (1%) clindamycin as clindamycin phosphate and 50 mg (5%) benzoyl peroxide in a base consisting of carbomer homopolymer (type C) dimethicone disodium lauryl sulfosuccinate edetate disodium glycerin methylparaben poloxamer 182 purified water silicon dioxide and sodium хидроксид.
Използване за локален гел DUAC
Индикация
DUAC® (клиндамицин фосфат и бензоил пероксид) Гел 1,2%/5% е показан за локално лечение на възпалително акне вулгарис при пациенти на 12 и повече години.
Ограничения на употребата
Не е доказано, че DUAC гелът има допълнителна полза в сравнение само с бензоил пероксид в един и същ носител, когато се използва за третиране на невъзпалително акне.
Дозировка за DUAC Topical Gel
Нанесете тънък слой DUAC гел върху лицето веднъж всеки ден вечер или според указанията на лекаря. Кожата трябва да се измие леко с топла вода и да се потупва, преди да се нанесе гел DUAC. Избягвайте лигавиците на устните на устните на очите или области на счупена кожа.
DUAC гелът не е за орална офталмологична или интравагинална употреба.
Колко се доставя
Дозирани форми и силни страни
Гел 1,2%/5%
DUAC гел е бял до леко жълт непрозрачен гел. Всеки грам DUAC гел съдържа 12 mg клиндамицин фосфат (еквивалентен на 10 mg клиндамицин) и 50 mg бензоил пероксид.
DUAC гел е бял до леко жълт непрозрачен гел. Доставя се, както следва:
45 грама тръба NDC 0145-2371-05
Съхранение и обработка
Фармацевт
- Преди разпределяне: Съхранявайте на студено място за предпочитане в хладилник между 2 ° C и 8 ° C (36 ° F и 46 ° F). Не замръзвайте.
Инструкции за разпределяне на фармацевта
- Разпределете гел DUAC с 60-дневна дата на изтичане.
- Посочете магазина при стайна температура до 25 ° C (77 ° F). Не замръзвайте.
- Дръжте тръбата плътно затворена.
- Пазете извън обсега на малките деца.
Stiefel Laboratories Inc. Изследователски триъгълник Park NC 27709. Декември 2013 г.
Странични ефекти for Duac Topical Gel
Следната нежелана реакция е описана по -подробно в Предупреждения и ПРЕДПАЗНИ МЕРКИ Раздел на етикета:
- Колит [виж Предупреждения и ПРЕДПАЗНИ МЕРКИ ].
Опит с клинични изпитвания
Тъй като клиничните изпитвания се провеждат при широко различни състояния, нежелани реакционни проценти, наблюдавани при клиничните изпитвания на лекарство, не могат да бъдат пряко сравнени със проценти в клиничните изпитвания на друго лекарство и може да не отразяват процентите, наблюдавани на практика.
По време на клинични изпитвания 397 лица използват DUAC гел веднъж дневно в продължение на 11 седмици за лечение на умерено до умерено тежко лице в акне на лицето. Всички субекти са класифицирани за местни кожни реакции на лицето (еритема отлепване и сухота) в следната скала: 0 = отсъстваща 1 = леко 2 = умерено и 3 = тежко. Процентът на субектите, които са имали симптоми, присъстващи преди лечението (в началото) и по време на лечението, е представен в таблица 1.
Таблица 1: Локални кожни реакции с използване на DUAC гел комбинирани резултати от пет изпитвания (n = 397)
| Симптом | % от субектите, използващи DUAC гел със симптом | |||||
| Преди лечение (базова линия) | По време на лечението | |||||
| Лек | Умерен | Тежко | Лек | Умерен | Тежко | |
| Еритема | 28% | 3% | 0 | 26% | 5% | 0 |
| Отлепване | 6% | <1% | 0 | 17% | 2% | 0 |
| Изгаряне | 3% | <1% | 0 | 5% | <1% | 0 |
| Сухота | 6% | <1% | 0 | 15% | 1% | 0 |
| (Проценти, получени по брой субекти, получаващи DUAC гел с оценка на симптомите/брой на записаните лица, получаващи DUAC гел). |
Опит за постмаркетиране
Следните нежелани реакции са идентифицирани по време на след одобрение използване на DUAC гел. Тъй като тези реакции се отчитат доброволно от популация с несигурен размер, не винаги е възможно надеждно да се оцени тяхната честота или да се установи причинно -следствена връзка с експозицията на лекарства.
Съобщава се за анафилаксия, както и алергични реакции, водещи до хоспитализация, при използването на постмаркета с DUAC гел.
Лекарствени взаимодействия for Duac Topical Gel
Еритромицин
Избягвайте да използвате DUAC гел в комбинация с продукти, съдържащи еритромицин поради неговия клиндамицин компонент. Изследванията in vitro показват антагонизъм между еритромицин и клиндамицин. Клиничното значение на това in vitro Антагонизмът не е известен.
Съпътстващи локални лекарства
Съпътстващите терапии за актуални акне трябва да се използват с повишено внимание, тъй като може да се появи възможен кумулативен ефект на дразнене, особено при използването на пилинг деслава или абразивни агенти. Ако се появи раздразнение или дерматит, намалете честотата на приложение или временно прекъснете лечението и възобновете, след като дразненето отшуми. Лечението трябва да бъде прекратено, ако дразненето продължава.
Невромускулни блокиращи средства
Показано е, че клиндамицин има нервно -мускулни блокиращи свойства, които могат да подобрят действието на други нервно -мускулни блокиращи средства. DUAC гел трябва да се използва с повишено внимание при пациенти, получаващи такива средства.
Предупреждения за локален гел DUAC
Включени като част от ПРЕДПАЗНИ МЕРКИ раздел.
Предпазни мерки за локален гел DUAC
Колит
Системната абсорбция на клиндамицин е демонстрирана след локално използване на клиндамицин. Съобщава се за диария и колит за диария (включително псевдомембранозен колит) с използването на локален и системен клиндамицин. Ако възникне значителна диария, DUAC гел трябва да бъде прекратен.
Тежко colitis has occurred following oral and parenteral administration of Клиндамицин with an onset of up to several weeks following cessation of therapy. Antiperistaltic agents such as opiates and diphenoxylate with atropine may prolong and/or worsen severe colitis. Тежко colitis may result in death.
Проучванията показват, че токсинът (ите), произведен от Clostridia, е една основна причина за свързания с антибиотици колит. Колитът обикновено се характеризира с тежка персистираща диария и тежки коремни спазми и може да бъде свързан с преминаването на кръв и слуз. Стоялни култури за Clostridium difficile и анализ на изпражненията за В. трудно Токсинът може да бъде полезен диагностично.
Ултравиолетова светлина и експозиция на околната среда
Бензоил пероксид Компонентът на DUAC гел може да причини повишена чувствителност към слънчева светлина. Минимизирайте излагането на слънце (включително използването на легла за тен или слънчеви лампи) след прилагане на лекарството. [Вижте Неклинична токсикология ] Пациентите, от които може да се наложи да имат значително излагане на слънце поради професия, а тези с присъща чувствителност към слънцето трябва да проявяват особено предпазливост.
Информация за консултирането на пациентите
Виж Одобрено от FDA етикетиране на пациенти ( Информация за пациента ).
- Пациентите, които развиват алергични реакции като тежко подуване или задух, трябва да прекратят употребата и да се свържат незабавно с техния лекар.
- DUAC гел may cause irritation such as erythema scaling itching or изгаряне especially when used in combination with other topical acne therapies.
- Прекомерното или продължителното излагане на слънчева светлина трябва да бъде ограничено. За да се сведе до минимум излагането на слънчева светлина, трябва да се носи шапка или друго облекло. Може да се използва и слънцезащитен крем.
- DUAC гел may bleach hair or colored fabric.
Неклинична токсикология
Канцерогенеза мутагенеза Нарушаване на плодовитостта
Показано е, че бензоил пероксидът е туморен промотор и агент за прогресия в редица проучвания на животни. Бензоил пероксид в ацетон при дози от 5 и 10 mg, прилагани два пъти седмично, индуцирани плоскоклетъчни тумори на кожата при трансгенни TGAC мишки в проучване, използвайки 20 седмици локално лечение. Клиничното значение на това е неизвестно.
В 2-годишно проучване на дермалната карциногенност при лечение с мишки с DUAC гел при дози до 8000 mg/kg/ден (16 пъти повече от най-високата препоръчителна доза при възрастни от 2,5 g DUAC гел на базата на mg/m²) не причинява увеличаване на туморите на кожата. Въпреки това локалното лечение с друга формулировка, съдържаща 1% клиндамицин и 5% бензоил пероксид при дози от 100 500 или 2000 mg/kg/ден, причинява дозозависимо увеличение на честотата на кератоакаантом при третираното място на кожата на мъжки плъхове в двугодишно изследване на карциногенността при плъхове.
В 52-седмично изследване на фотокарциногенността при мишки без косми (40 седмици лечение, последвано от 12 седмици наблюдение), средното време до появата на образуване на тумор на кожата намалява и броят на туморите на мишка се увеличава спрямо контролите след хронично едновременно локално лечение с DUAC гел и експозиция до ултравиолетово излъчване.
Сини светлинни лечение на акне странични ефекти
Проучванията за генотоксичност не са проведени с гел DUAC. Клиндамицин фосфат не е генотоксичен в Salmonella typhimurium или при тест за микронуклеус на плъхове. Установено е, че бензоил пероксид причинява разкъсвания на ДНК нишката в различни типове клетки на бозайници, които са мутагенни в Salmonella typhimurium Тестове от някои, но не всички изследователи и да предизвикат сестрински хроматидни обмени в клетките на яйчниците на китайски хамстер.
Не са проведени проучвания с DUAC гел или бензоил пероксид, за да се оцени ефектът върху плодовитостта. Изследванията на плодовитостта при плъхове, лекувани перорално с до 300 mg/kg/ден клиндамицин (приблизително 120 пъти повече от количеството на клиндамицин в най -високата препоръчителна доза при възрастни хора от 2,5 g DUAC гел въз основа на Mg/m²) не показват ефекти върху плодородието или чифтосването.
Използване в конкретни популации
Бременност
Бременност Category C
Няма адекватни и добре контролирани проучвания при бременни жени, лекувани с DUAC гел. DUAC гел трябва да се използва по време на бременност само ако потенциалната полза оправдае потенциалния риск за плода.
Developmental toxicity studies performed in rats and mice using oral doses of clindamycin up to 600 mg/kg/day (240 and 120 times the amount of clindamycin in the highest recommended adult human dose based on mg/m² respectively) or subcutaneous doses of clindamycin up to 250 mg/kg/day (100 and 50 times the amount of clindamycin in the highest Препоръчителната доза при възрастни хора въз основа на Mg/m²) не разкрива доказателства за тератогенност.
Кърмещи майки
Не е известно дали DUAC гелът се отделя в човешко мляко след актуално приложение. Съобщава се обаче, че прилаганият от орално и парентерално клиндамицин се появява в кърмата. Поради потенциала за сериозни нежелани реакции при кърмачета за медицински сестри трябва да се вземе решение дали да се преустанови кърменето или да се преустанови лекарството, като се вземе предвид значението на лекарството за майката. Тъй като много лекарства се отделят в предпазливостта на човешкото мляко, трябва да се упражняват, когато гелът на DUAC се прилага на медицинска сестра.
Педиатрична употреба
Безопасността и ефективността на DUAC гел при педиатрични пациенти под 12 -годишна възраст не са установени.
Гериатрична употреба
Клиничните проучвания на DUAC гел не включват достатъчен брой субекти на възраст 65 и повече години, за да се определи дали реагират различно от по -младите лица.
Информация за предозиране за DUAC локален гел
Не е предоставена информация.
Противопоказания за DUAC локален гел
Свръхчувствителност
DUAC гел is contraindicated in those individuals who have shown hypersensitivity to Клиндамицин benzoyl peroxide any components of the formulation or lincomycin. Съобщава се за анафилаксия, както и алергични реакции, водещи до хоспитализация, при използването на постмаркета с DUAC гел. [Виж Опит за постмаркетиране ]
Амлодипин безилат странични ефекти наддаване на тегло
Колит/Enteritis
DUAC гел is contraindicated in those individuals with a history of regional enteritis ulcerative colitis pseudomembranous colitis or antibiotic-associated colitis [see Предупреждения и ПРЕДПАЗНИ МЕРКИ ].
Клинична фармакология for Duac Topical Gel
Механизъм на действие
Клиндамицин
Клиндамицин is a lincosamide antibacterial [see Микробиология ]
Бензоил пероксид
Бензоил пероксидът е окислително средство с бактериоцидни и кератолитични ефекти, но точният механизъм на действие е неизвестен.
Фармакокинетика
Сравнително изпитване на фармакокинетиката на DUAC гел и 1% разтвор на клиндамицин само при 78 лица показва, че средните плазмени нива на клиндамицин през 4-седмичния период на дозиране са били <0.5 ng/mL for both treatment groups.
Доказано е, че бензоил пероксидът се абсорбира от кожата, където се превръща в бензоена киселина. По -малко от 2% от дозата навлиза в системна циркулация като бензоена киселина.
Микробиология
Клиндамицин binds to the 50S ribosomal subunits of susceptible bacteria and prevents elongation of peptide chains by interfering with peptidyl Трансfer thereby suppressing protein synthesis.
In vivo активност
В клиничните изпитвания с този продукт не са проведени изследвания на микробиология.
In vitro активност
Клиндамицинът и компонентите на бензоил пероксид поотделно са показали, че имат in vitro Активност срещу пропионибактерий acnes организъм, който е свързан с акне вулгарис; Клиничното значение на това обаче in vitro Дейността не е известна.
Лекарствена резистентност
Има съобщения за увеличаване на резистентността на P. acnes срещу клиндамицин при лечението на акне. При пациенти с P. acnes, резистентни към клиндамицин, компонентът на клиндамицин може да не осигури допълнителна полза отвъд бензоил пероксид.
Клинични изследвания
В пет рандомизирани двойно-слепи клинични изпитвания от 1319 лица 397 използват DUAC гел 396, използван бензоил пероксид 349, използва клиндамицин и 177 използван превозно средство. Субектите бяха инструктирани да измият лицето, изчакайте 10 до 20 минути и след това да прилагат лекарства върху цялото лице веднъж всеки ден вечерта, преди да се пенсионират. DUAC гел, прилаган веднъж дневно в продължение на 11 седмици, е значително по -ефективен от превозния бензоил пероксид и клиндамицин при лечението на възпалителни лезии с умерено до умерено тежко лице в лицето в три от петте изпитвания (изпитвания 1 2 и 5).
Субектите са оценени и лезиите на акне, преброени при всяко клинично посещение на 2 седмици 5 8 11. Основните мерки за ефикасност са броя на лезията и глобалната оценка на изследователя, оценена на 11 -та седмица. Процентните намаления на възпалителния брой на лезията след лечение в продължение на 11 седмици в тези 5 проучвания са показани в таблица 2.
Таблица 2: Средно процентно намаляване на броя на възпалителната лезия
| Лечение | Изпитване 1 (n = 120) | Изпитване 2 (n = 273) | Изпитване 3 (n = 280) | Изпитание 4 (n = 288) | Изпитание 5 (n = 358) |
| DUAC гел | 65% | 56% | 42% | 57% | 52% |
| Бензоил пероксид | 36% | 37% | 32% | 57% | 41% |
| Клиндамицин | 34% | 30% | 38% | 49% | 33% |
| Превозно средство | 19% | -0.40% | 29% | 29% |
Групата, третирана с DUAC гел, показа по -голямо цялостно подобрение на глобалната оценка на изследователя от клиндамицин от бензоил пероксид и групи за превозни средства в три от петте изпитвания (изпитвания 1 2 и 5).
Клиничните изпитвания не са демонстрирали адекватно ефективността на DUAC гел срещу бензоил пероксид самостоятелно при лечение на невъзпалителни лезии на акне.
Информация за пациента за DUAC локален гел
DUAC®
(Doo-ack)
(клиндамицин фосфат и бензоил пероксид) Гел 1,2%/5%
Важно: само за използване само върху кожата (локална употреба). Не вкарвайте дуак гел във вагината на очите си или на устните си.
Прочетете тази информация за пациента, преди да започнете да използвате DUAC гел и всеки път, когато получите зареждане. Може да има нова информация. Тази информация не заема мястото да разговаряте с вашия доставчик на здравни грижи за вашето медицинско състояние или вашето лечение.
Какво е DUAC гел?
DUAC гел is a prescription medicine used on the skin (topical) to treat inflamed acne in people 12 years and older.
Кой не трябва да използва DUAC гел?
Не използвайте DUAC гел, ако имате:
къде да отседнем във Ванкувър
- имаше алергична реакция към клиндамицин линкомицин бензоил пероксид или някоя от съставките в DUAC гел. Вижте края на тази листовка за пълен списък със съставки в DUAC гел.
- Болест на Крон или улцерозен колит.
- имаше възпаление на дебелото черво (колит) с минала употреба на антибиотици.
Какво трябва да кажа на моя доставчик на здравеопазване, преди да използвам DUAC гел? Преди да използвате DUAC гел, кажете на вашия доставчик на здравни грижи за всички ваши медицински състояния, включително ако вие:
- Планирайте да претърпите операция с обща анестезия.
- са чувствителни към слънчевата светлина.
- са бременни или планират да забременеят. Не е известно дали DUAC гел ще навреди на вашето неродено бебе.
- са кърмещи или планират да кърмят. Не е известно дали DUAC гел преминава в кърмата ви. Едно от лекарствата в DUAC гел е клиндамицин. Съобщава се, че клиндамицин, когато се приема през устата или чрез инжекция, се появява в кърмата. Вие и вашият доставчик на здравни грижи трябва да решите дали ще използвате DUAC гел, докато кърмите.
Кажете на вашия доставчик на здравни грижи за всички лекарства, които приемате включително лекарства без рецепта или лекарства без рецепта витамини билкови добавки и кожни продукти, които използвате. Използването на други актуални продукти за акне може да увеличи дразненето на кожата ви, когато се използва с DUAC гел.
- Особено кажете на вашия доставчик на здравни услуги, ако приемате лекарство, което съдържа еритромицин. DUAC гел не трябва да се използва с продукти, които съдържат еритромицин.
Как трябва да използвам DUAC гел?
- Използвайте DUAC гел точно както вашият доставчик на здравни грижи ви казва да го използвате.
- Преди да нанесете гел DUAC измийте внимателно лицето си с леко изплакване на сапун с топла вода и потупвайте кожата суха.
- Нанесете тънък слой DUAC гел върху лицето си по 1 път на ден вечер или според указанията на вашия доставчик на здравни услуги. Измийте ръцете си със сапун и вода, след като нанесете DUAC гел.
- Не вкарвайте дуак гел във вагината на носа на устата или на устните си. Не получавайте DUAC гел върху порязвания или отворени рани.
Какво трябва да избягвам, докато използвам DUAC гел?
- Ограничете времето си на слънчева светлина. Избягвайте да използвате легла за тен или слънчеви лампи. Ако трябва да сте на слънчева светлина, носете шапка с широка периферия или друго защитно облекло. Може да се използва и слънцезащитен крем.
- Говорете с вашия доставчик на здравни грижи, ако прекарвате много време на слънце.
- DUAC гел may bleach hair or colored fabric.
Какви са възможните странични ефекти с DUAC гел?
DUAC гел may cause serious side effects including:
- Възпаление на дебелото черво (колит). Спрете да използвате DUAC гел и се обадете веднага на вашия доставчик на здравеопазване, ако имате тежка водниста диария или кървава диария.
- Алергични реакции. Спрете да използвате DUAC гел и се обадете на вашия доставчик на здравни грижи или получете помощ веднага, ако имате някой от следните симптоми:
- тежък сърбеж
- Подуване на лицето ви очи устни Език или гърло
- Проблем с дишането
Най -често срещаните странични ефекти с гел DUAC are skin reactions and may include redness peeling dryness and burning. Това не са всички възможни странични ефекти с DUAC гел.
Обадете се на Вашия лекар за медицински съвети относно страничните ефекти. Можете да отчитате странични ефекти на FDA на 1-800-FDA-1088.
Как трябва да съхранявам DUAC гел?
- Съхранявайте DUAC гел при стайна температура до 25 ° C (77 ° F). Не замразявайте DUAC гел.
- Датата на изтичане на гел DUAC е 60 дни от датата, когато попълните рецептата си.
- Безопасно изхвърлете изтичащия DUAC гел.
- Дръжте тръбата плътно затворена.
Дръжте DUAC гел и всички лекарства извън обсега на децата.
Обща информация за DUAC гел
Лекарствата понякога се предписват за цели, различни от тези, изброени в информационна листовка за пациент. Не използвайте DUAC гел за условие, за което той не е бил предписан. Не давайте DUAC гел на други хора, дори ако имат същите симптоми, които имате. Може да им навреди.
Ако искате повече информация, поговорете с вашия доставчик на здравни грижи. Можете също така да попитате вашия фармацевт или доставчик на здравни грижи за информация за DUAC гел, който е написан за здравни специалисти.
За повече информация се обадете на 1-888-784-3335.
Какви са съставките в DUAC гел?
Активни съставки: Клиндамицин phosphate 1.2% and benzoyl peroxide 5%
Неактивни съставки: Карбомер Хомополимер (тип С) Диметикон Дизотриев лаурил сулфосукцинат Едетат Дизотриев глицерин Метилпарабен полоксамер 182 Пречистен силициев диоксид и натриев хидроксид.