Информацията В Сайта Не Е Медицински Съвет. Ние Не Продаваме Нищо. Точността На Превода Не Е Гарантирана. Отказ От Отговорност
Лекарства
Старейшина
Резюме на наркотиците
Какво е Eldepryl?
Eldepryl (селегилин хидрохлорид) е инхибитор на моноамино оксидаза тип В (MAO-B), предписан за управление на симптомите на болестта на Паркинсон при пациенти, които вече приемат леводопа-карбидопа (също лекарство, предписано за лечение на болестта на Паркинсон).
Какви са страничните ефекти на Eldepryl?
Страничните ефекти на Eldepryl включват:
- припадък
- сухота в устата
- гадене
- повръщане
- киселини
- диария
- Газ
- запек
- замаяност
- слабост
- Проблеми със съня (безсъние)
- хрема или задушен нос
- Болки в гърба
- рани или язви на устата или
- Болка с преглъщане (докато използвате Zelapar)
Дозировка за Eldepryl
Eldepryl се предлага в 5mg капсули. Препоръчителният режим на администрацията Eldepryl е 10 mg на ден, прилаган като разделени дози от 5 mg, всеки от които е взет на закуска и обяд.
Какви лекарства вещества или добавки взаимодействат с Eldepryl?
Eldepryl може да взаимодейства с хапчета за диета с карбамазепин или студени лекарства, които съдържат ефедрин псевдоефедрин или фенилефрин нафцилин фенобарбитален рифампин или антидепресанти. Кажете на Вашия лекар всички лекарства и добавки, които използвате.
Eldepryl по време на бременност или кърмене
Няма адекватни и добре контролирани проучвания на Eldepryl при бременни жени или в педиатричната популация. Селегилинът трябва да се използва само по време на бременност е потенциалната полза оправдава потенциалния риск за плода. Не е известно селегилиновият хидрохлорид се отделя в човешкото мляко.
Допълнителна информация
Нашият лекарствен център Eldepryl (селегилин хидрохлорид) Центърът за лекарства предоставя изчерпателен поглед върху наличната информация за лекарството за потенциалните странични ефекти при приемането на това лекарство.
Информация за наркотиците на FDA
- Описание на лекарството
- Показания
- Доза
- Странични ефекти
- Лекарствени взаимодействия
- Предупреждения
- Предпазни мерки
- Предозиране
- Клинична фармакология
- Ръководство за лекарства
Описание за Eldepryl
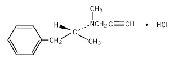
Eldepryl (селегилинов хидрохлорид) е леворотаторен ацетилен производно на фенетиламин. Обикновено се нарича в клиничната и фармакологичната литература като L-депренил.
Химическото наименование е: (R)-(-)-N2-диметил-N-2-пропинилфетиламин хидрохлорид. Той е бял до почти бял кристален прах, свободно разтворим във воден хлороформ и метанол и има молекулно тегло 223,75. Структурната формула е следната:
|
Всяка аква синя капсула е отпечатана с логото на Somerset на капачката и „Eldepryl (селегилин HCl) 5 mg“ върху тялото. Всяка капсула съдържа 5 mg селегилин хидрохлорид. Неактивните съставки са лактозна магнезиев стеарат с лимонена киселина и микрокристална целулоза.
Използва за Eldepryl
Eldepryl (селегилин HCl) е посочен като допълнение при лечението на пациенти с паркинсония, които се лекуват с леводопа/карбидопа, които проявяват влошаване на качеството на отговора си на тази терапия. Няма доказателства от контролирани проучвания, че селегилинът има някакъв благоприятен ефект при липса на едновременна терапия с леводопа.
Доказателства, подкрепящи това твърдение, са получени при рандомизирани контролирани клинични изследвания, които сравняват ефектите на добавен селегилин или плацебо при пациенти, получаващи леводопа/Карбидопа. Селегилинът е значително по-добър от плацебо при трите използвани основни мерки за резултат: Промяна от изходното ниво в ежедневната доза на Леводопа/Карбидопа количеството на „изключено“ време и самооценка на пациента на успеха на лечението. Полезни ефекти са наблюдавани и върху други мерки за успех на лечението (например мерки за намален край на дозата акинезия Намаляване на тремор и сиалорея подобриха способността за реч и обличане и подобряват общата инвалидност, както се оценява чрез ходене и сравнение с предишно състояние).
Дозировка за Eldepryl
Eldepryl (селегилин HCl) е предназначен за администриране на пациенти с паркинсони, получаващи терапия с леводопа/карбидопа, които демонстрират влошаващ се отговор на това лечение. Препоръчителният режим за прилагане на Eldepryl (селегилин HCl) е 10 mg на ден, прилаган като разделени дози от 5 mg, всеки от които се приема на закуска и обяд. Няма доказателства, че ще бъде получена допълнителна полза от прилагането на по -високи дози. Освен това по -високите дози обикновено трябва да се избягват поради повишения риск от странични ефекти.
След два до три дни лечение с селегилин може да се направи опит за намаляване на дозата леводопа/карбидопа. Намаляване от 10 до 30% беше постигнато с типичния участник в домашните плацебо контролирани изпитвания, които бяха назначени за лечение с селегилин. По -нататъшното намаляване на леводопа/Карбидопа може да бъде възможно по време на продължаване на терапията с селегилин.
Колко се доставя
Предлагат се Eldepryl (селегилин HCl) капсули, съдържащи 5 mg селегилин хидрохлорид. Всяка аква синя капсула е отпечатана с логото на Somerset на капачката и „Eldepryl (селегилин HCl) 5 mg“ върху тялото.
Те са достъпни като:
NDC 39506-022-60 бутилки от 60 капсули.
NDC 39506-022-30 бутилки от 300 капсули.
Съхранявайте при контролирана стайна температура от 59 ° до 86 ° F (15 ° до 30 ° C).
Somerset Pharmaceuticals Inc. Tampa FL 33607. Литература, издадена юли 1998 г. FDA Rev Дата: 2/15/2001
Странични ефекти for Eldepryl
Въведение
Броят на пациентите, които са получили селегилин в проспективно наблюдавани проучвания преди маркетинг, е ограничен. Докато са налични други източници на информация за използването на селегилин (например доклади за литература чужди доклади след маркетинг и т.н.), те не предоставят вида информация, необходима за оценка на честотата на нежеланите събития. По този начин не могат да бъдат осигурени общи цифри на честотата за нежелани реакции, свързани с използването на селегилин. Много от наблюдаваните нежелани реакции също се съобщават като симптоми на излишък от допамин.
Освен това значението и тежестта на различните реакции, отчетени често, не може да се установи. Един от индекса от относително значение обаче е дали реакцията е причинила прекратяване на лечението или не. В проспективните предварителни проучвания следните събития доведоха до намаляващ ред на честотата до прекратяване на лечението със селегилин: гадене халюцинации объркване на депресия Загуба на баланс Безсъние Ортостатична хипотония повишава акинетичните неволни движения Агитация Аритмия Бридикинезия Хорея Заблуда на хипертония Артитмия Бридикинезия Хорея Заблудания Хипертония Нова или повишена ангина и синация. Събития, докладвани само веднъж като причина за прекратяване, са сънливостта на оток на глезена на глезена/запек на устата/летаргия Дистония Излишването на изпотяване Повишено замръзване на стомашно -чревния кървящ косопад увеличава слабостта на нервността на тремор и загубата на тегло.
Опитът с Eldepryl (селегилин HCl), получен в паралелни плацебо контролирани рандомизирани проучвания, осигурява само ограничена основа за оценки на нежеланите реакции. Следните реакции, възникнали с по -голяма честота сред 49 пациенти, назначени на селегилин в сравнение с 50 -те пациенти, назначени на плацебо в единственото паралелно плацебо контролирано проучване, проведено при пациенти с болест на Паркинсон, са показани в следващата таблица. Нито една от тези нежелани реакции не доведе до прекратяване на лечението.
Честота на неблагоприятни преживявания в лечението в плацебо-контролираното клинично изпитване
хумулин n бързо или бавно действие
| Нежелано събитие | Брой пациенти, отчитащи събития | |
| селегилин хидрохлорид N = 49 | плацебо N = 50 | |
| Гадене | 10 | 3 |
| Замаяност/лекота с уплътнени/припаднали | 7 | 1 |
| Коремна болка | 4 | 2 |
| Объркване | 3 | 0 |
| Халюцинации | 3 | 1 |
| Сухота в устата | 3 | 1 |
| Ярки сънища | 2 | 0 |
| Дискинезии | 2 | 5 |
| Главоболие | 2 | 1 |
| Следните събития са докладвани веднъж в една или и двете групи | ||
| Болки обобщени | 1 | 0 |
| Тревожност/напрежение | 1 | 1 |
| Анемия | 0 | 1 |
| Диария | 1 | 0 |
| Загуба на коса | 0 | 1 |
| Безсъние | 1 | 1 |
| Летаргия | 1 | 0 |
| Болка в краката | 1 | 0 |
| Болки в долната част на гърба | 1 | 0 |
| Маллайз | 0 | 1 |
| Сърцебиене | 1 | 0 |
| Задържане на урина | 1 | 0 |
| Загуба на тегло | 1 | 0 |
Във всички проспективно наблюдавани клинични изследвания, записващи приблизително 920 пациенти, са съобщени следните нежелани събития, класифицирани по телесна система.
Централна нервна система
Двигател/координация/екстрапирамидална
Повишена тремор хорея Загуба на баланс неспокойствие Блефароспазъм Повишена брадикинезия Лица на лице Падане, падащо на тежка мускула на краката* Миоклонични шутове* Стимен шиен Тардив Дискинезия Дистонски симптоми Дискинезия Необходими движения Замразяване Повишена Акраксия мускулни крампи.
Психичен статус/поведенчески/психиатрични
халюцинации замаяност объркване на тревожност депресия сънливост поведение/промяна на настроението сънища/кошмари умора заблуди дезориентация на лекота, нарушена памет* Повишена енергия* преходна висока* куха чувство на летаргия/неразположение Апатия свръхстимулация вертиго личност Промяна на съня нарушение на неспокойствието слабост на преходността.
Болка/променено усещане
главоболие в гърба болка болка в крак в ушите мигрена мигрена супраорбитална болка гърло изгаряне на обобщени болки втрисане изтръпване на пръстите на краката/пръстите вкус.
Автономна нервна система
сухота в устата blurred vision sexual dysfunction.
Сърдечно -съдов
Ортостатична хипотония Хипертония аритмия Палпитации Нови или повишена ангина пекторис Хипотония тахикардия Периферна оток Синус Брадикардия Синкоп.
Стомашно -чревен
гадене/повръщане запек weight loss anorexia poor appetite dysphagia диария киселини rectal bleeding bruxism* Газtrointestinal bleeding (exacerbation of preexisting ulcer disease).
Генорина/гинекологична/ендокринна
Бавно уриниране преходна аноргасма* Nocturia простатна хипертрофия урина за колебание на урината Намаляване на урината Намаляване на пениса* Честота на урината.
Кожа и придатъци
Повишена изпотяване на диафореза лицева коса на косата на косата на косата на косата
Разни
Засегнала реч за дишане на астма.
Доклади за поща
Следните преживявания бяха описани в спонтанните доклади след маркетинг. Тези доклади не предоставят достатъчно информация за установяване на ясна причинно -следствена връзка с използването на Eldepryl (селегилин HCl).
CNS
Припадък при диализиран пациент с хронична бъбречна недостатъчност на съпътстващи лекарства.
* Показва събития, отчетени само при дози, по -големи от 10 mg/ден.
Лекарствени взаимодействия for Eldepryl
Съобщава се за появата на ступора за мускулна твърдост и повишена температура при някои пациенти, получаващи комбинация от селегилин и меперидин. Симптомите обикновено се разрешават в продължение на дни, когато комбинацията е прекратена. Това е характерно за взаимодействието на меперидин и маои. При пациенти са съобщени други сериозни реакции (включително тежка халюцинация на възбуда и смърт) Противопоказания ). Съобщава се и за тежка токсичност при пациенти, получаващи комбинация от трициклични антидепресанти и Eldepryl (селегилин HCl) и селективни инхибитори на обратното захващане на серотонин и Eldepryl. (Вижте Предупреждения за подробности. ) Съобщава се за един случай на хипертонична криза при пациент, приемащ препоръчителните дози селегилин и симпатомиметично лекарство (ефедрин).
Какво е бентил 20 mg таблетки
Предупреждения for Eldepryl
Селегилинът не трябва да се използва в дневни дози, надвишаващи препоръчаните (10 mg/ден) поради рисковете, свързани с неселективно инхибиране на MAO. (Вижте Клинична фармакология .)
Селективността на селегилин за Мао В може да не е абсолютна дори при препоръчителната дневна доза от 10 mg на ден. Съобщава се за редки случаи на хипертонични реакции, свързани с поглъщане на храни, съдържащи тирамин, при пациенти, приемащи препоръчителната дневна доза селегилин. Селективността допълнително намалява с увеличаване на дневните дози. Прецизната доза, при която селегилинът се превръща в неселективен инхибитор на всички Мао, е неизвестен, но може да бъде в диапазона от 30 до 40 mg на ден.
Съобщава се за тежка токсичност на ЦНС, свързана с хиперпирексия и смърт, с комбинацията от трициклични антидепресанти и неселективни MAOI (Nardil Parnate). Подобна реакция се съобщава за пациент на амитриптилин и Eldepryl (селегилин HCl). Друг пациент, получавал изпъкналост и Eldepryl (селегилин HCl), развива тремор възбуда и неспокойствие, последвано от неотговорност и смърт две седмици след като е добавен Eldepryl (селегилин HCl). Свързани нежелани събития, включително хипертония синкоп асистол диафореза припадъци в поведенчески и психичен статус и мускулна твърдост, също са съобщени при някои пациенти, получаващи Eldepryl (селегилин HCl) и различни трициклични антидепресанти.
Съобщава се за сериозни понякога фатални реакции с признаци и симптоми, които могат да включват хипертермия твърдост миоклонус автономна нестабилност с бързи колебания на жизнените признаци и промените в психичния статус, които включват екстремна възбуда в делириум и COMA, са съобщени при пациенти, получаващи комбинация от флуоксетин. Подобни признаци са съобщени при някои пациенти в комбинацията от Eldepryl (селегилин HCl) (10 mg на ден) и селективни инхибитори на обратното захващане на серотонин, включително флуоксетин сертралин и пароксетин.
Тъй като механизмите на тези реакции не са напълно разбрани, изглежда, че като цяло изглежда разумно, за да се избегне тази комбинация от Eldepryl (селегилин HCl) и трициклични антидепресанти, както и Eldepryl (селегилин HCl) и селективни инхибитори на повторното задействане на серотонин. Най -малко 14 дни трябва да изтекат между прекратяването на Eldepryl (селегилин HCl) и започване на лечение с трицикличен антидепресант или селективни инхибитори на обратното захващане на серотонин. Поради дългия полуживот на флуоксетин и неговия активен метаболит най-малко пет седмици (може би по-дълго, особено ако флуксетинът е предписан хронично и/или при по-високи дози) трябва да изтече между прекратяването на флуоксетин и започване на лечение с елеприл (селегилин HCl).
Предпазни мерки for Eldepryl
Общи
Някои пациенти, дадени селегилин, могат да изпитат обостряне на страничните ефекти, свързани с леводопа, вероятно се дължи на увеличените количества реакция на допамин със супер чувствителни постсинаптични рецептори. Тези ефекти често могат да бъдат смекчени чрез намаляване на дозата на леводопа/карбидопа с приблизително 10 до 30%.
Решението за предписване на селегилин трябва да се вземе предвид, че системата на ензимите MAO е сложна и непълно разбрана и има само ограничено количество внимателно документиран клиничен опит със селегилин. Следователно пълният спектър от възможни отговори на селегилин може да не е наблюдаван при предварителна оценка на лекарството. Следователно е препоръчително да се наблюдават внимателно пациентите за нетипични отговори.
Лабораторни тестове: Никакви специфични лабораторни тестове се считат за важни за лечението на пациентите на Eldepryl (селегилин HCl). Периодичната рутинна оценка на всички пациенти обаче е подходяща.
Канцерогенеза мутагенеза и увреждане на плодовитостта
Оценката на канцерогенния потенциал на селегилин при мишки и плъхове продължава.
Селегилин не индуцира мутации или хромозомно увреждане, когато се тества в тест за бактериална мутация в тифимурий на Salmonella и в A AN напразно Хромозомен анализ на аберация. Въпреки че тези проучвания осигуряват известно уверение, че селегилинът не е мутагенен или кластогенен, те не са окончателни поради методологичните ограничения. Няма окончателно in vitro хромозомна аберация или in vitro Проведени са анализи на генни мутации на бозайници.
Ефектът на селегилин върху плодовитостта не е адекватно оценен.
Бременност
Бременност Category C: Не са наблюдавани тератогенни ефекти при изследване на развитието на ембрио-фетално при плъхове Sprague-Dawley при перорални дози 4 12 и 36 mg/kg или 4 12 и 35 пъти повече от човешката терапевтична доза върху mg/m 2 Основа. Не са наблюдавани тератогенни ефекти при изследване на развитието на ембрио-феталното в Нова Зеландия бели зайци при перорални дози от 5 25 и 50 mg/kg или 10 48 и 95 пъти повече от човешката терапевтична доза върху mg/m 2 основа; Въпреки това в това проучване броят на носителите, произведени при двете по -високи дози, е по -малък от препоръчителния за оценка на тератогенния потенциал. В проучването на плъховете се наблюдава намаляване на телесното тегло на плода при най -високата тествана доза. В проучването на Заек се увеличава в общите резорби и % загуба след имплантация и намаляване на броя на живите плодове на язовир се наблюдава при най-високата тествана доза. В проучване за пери- и следродилно развитие при плъхове Sprague-Dawley (перорални дози от 4 16 и 64 mg/kg или 4 15 и 62 пъти повече от човешката терапевтична доза върху mg/m 2 Основа) Увеличаване на броя на мъртвородените и намаляване на броя на малките за оцеляване на PUP на язовир и телесното тегло на PUP (при раждане и през целия период на лактация) се наблюдава при двете най -високи дози. При най -високата доза тествани не кученца, родени живи, оцеляват до 4 -ти ден след раждането. Следродилното развитие при най -високата доза, тествана в язовирите, не може да бъде оценено поради липсата на оцелели кученца. Репродуктивното представяне на нелекуваното потомство не е оценено.
Няма адекватни и добре контролирани проучвания при бременни жени. Селегилинът трябва да се използва по време на бременност само ако потенциалната полза оправдае потенциалния риск за плода.
Кърмещи майки
Не е известно дали селегилинов хидрохлорид е екскретен в човешкото мляко. Тъй като много лекарства се отделят при разглеждане на човешкото мляко, трябва да се обмислят за прекратяване на употребата на всички, но абсолютно основни лекарствени лечения при сестрински жени.
Педиатрична употреба
Ефектите на селегилиновия хидрохлорид при деца не са оценени.
Информация за предозиране за Eldepryl
Селегилин
Не е налична специфична информация за клинично значими предозиби с Eldepryl (селегилин HCl). Въпреки това опитът, придобит по време на развитието на селегилин, разкрива, че някои индивиди, изложени на дози от 600 mg DL-селегилин, са претърпели тежка хипотония и психомоторна възбуда.
Тъй като селективното инхибиране на MAO B от селегилинов хидрохлорид се постига само при дози в обхвата, препоръчани за лечение на болестта на Паркинсон (например 10 mg/ден), предозиране могат да причинят значително инхибиране както на Мао А, така и на Мао Б. Следователно признаците и симптомите на предоставяне могат да приличат на тези, които се наблюдават с пазара на пазара на неселективни MAO инхибитори [E.G. ТРАНИЛКИПОМИН (ПАРНАТА) Изокарбоксазид (Марплан) и Фенелзин (Нардил)].
Предозиране с неселективно MAO инхибиране
Забележка: Този раздел е предоставен за справка; Той не описва събития, които всъщност са наблюдавани при селегилин при предозиране.
Характерно знаци и симптоми на неселективно предозиране на Маои може да не се появи незабавно. Могат да възникнат закъснения до 12 часа между поглъщането на лекарството и появата на знаци. Важното е, че пиковата интензивност на синдрома не може да бъде достигната за един ден след предозиране. Съобщава се за смърт след предозиране. Следователно непосредствената хоспитализация с непрекъснато наблюдение и наблюдение на пациента за период от поне два дни след поглъщането на такива лекарства при предозиране силно се препоръчва.
Клиничната картина на предозиране на Маой варира значително; Тежестта му може да е функция от количеството консумирания лекарство. Централните нервни и сърдечно -съдови системи участват на видно място.
Признаците и симптомите на предозиране могат да включват самостоятелно или в комбинация някое от следните: сънливостта замаяност приятност Раздразност хиперактивност Агитация на тежко главоболие халюцинации trismus opisthotonos convulsions и кома; Бърза и неправилна импулсна хипертония хипотония и съдов срив; Предкордиална болка Дихателна депресия и недостатъчност Хиперпирексия диафореза и хладна лепкава кожа.
Предложения за лечение за предозиране
Забележка: Because there is no recorded experience with selegiline overdose the following suggestions are offered based upon the assumption that selegiline overdose may be modeled by non-selective MAOI poisoning. In any case up-to-date information about the treatment of overdose can often be obtained from a certified Regional Poison Control Center. Telephone numbers of certified Poison Control Centers are listed in the Physicians' Desk Reference (PDR).
Лечението на предозиране с неселективен MAOI е симптоматично и поддържащо. Индуцирането на емезис или стомашно промиване с всаждане на суспензия на дървени въглища може да бъде полезно при ранното отравяне, при условие че дихателните пътища са защитени срещу аспирация. Признаците и симптомите на стимулирането на централната нервна система, включително конвулсиите, трябва да се лекуват с диазепам, даден бавно интравенозно. Трябва да се избягват фенотиазинови производни и стимуланти на централната нервна система. Хипотонията и съдовият срив трябва да се лекуват с интравенозни течности и ако е необходимо титруване на кръвно налягане с интравенозна инфузия на разреден пресор. Трябва да се отбележи, че адренергичните агенти могат да доведат до значително повишен отговор на пресока.
Дишането трябва да бъде подкрепено чрез подходящи мерки, включително управление на използването на дихателните пътища на допълнителен кислород и механична вентилационна помощ, както се изисква.
Телесната температура трябва да се следи отблизо. Може да се наложи интензивно управление на хиперпирексия. Поддържането на баланс на течности и електролити е от съществено значение.
Противопоказания за Eldepryl
Eldepryl (селегилин HCl) е противопоказано при пациенти с известна свръхчувствителност към това лекарство.
Eldepryl (селегилин HCl) е противопоказано за употреба с меперидин (демерол Лекарствени взаимодействия . )
Клинична фармакология for Eldepryl
Механизмите, отчитащи полезните допълнителни действия на Selegiline при лечението на болестта на Паркинсон, не са напълно разбрани. Инхибирането на активността на моноамино оксидаза тип В обикновено се счита за основно значение; Освен това има доказателства, че селегилинът може да действа чрез други механизми за увеличаване на допаминергичната активност.
Селегилин is best known as an irreversible inhibitor of monoamine oxidase (MAO) an intracellular enzyme associated with the outer membrane of mitochondria. Селегилин inhibits MAO by acting as a 'suicide' substrate for the enzyme; that is it is converted by MAO to an active moiety which combines irreversibly with the active site и/or the enzyme's essential FAD cofactor. Because selegiline has greater affinity for type B rather than for type A active sites it can serve as a selective inhibitor of MAO type B if it is administered at the recommended dose.
MAOS са широко разпространени в цялото тяло; Концентрацията им е особено висока в чернодробната бъбречна стомашна чревна стена и мозък. В момента MAOS са подкласифицирани в два типа А и В, които се различават по тяхната специфичност на субстрата и разпределението на тъканите. При хората чревният мао е предимно тип А, докато по -голямата част от това в мозъка е тип Б.
В CNS невроните MAO играе важна роля в катаболизма на катехоламини ( допамин норепинефрин и епинефрин) и серотонин. MAOS са важни и за катаболизма на различни екзогенни амини, открити в различни храни и лекарства. Смята се, че MAO в GI тракта и черния дроб (предимно тип A) осигурява жизненоважна защита от екзогенни амини (например тирамин), които имат капацитет, ако са абсорбирани непокътнати, за да причинят „хипертонична криза“ така наречената „реакция на сирене“. (Ако големи количества определени екзогенни амини получават достъп до системната циркулация - например от ферментирало сирене Червено вино за херинга без рецепта/студени лекарства и т.н. - те се поемат от адренергични неврони и изместват норепинефрин от местата за съхранение в мембранните гранични везикули. Последващо освобождаване на изместеното налягане на изместените места за съхранение в мембранните гранични везикули. Последващо освобождаване на изместеното налягане на изместените места за съхранение в мембранните граничи.
На теория, тъй като MAO A на червата не се инхибира пациентите, лекувани със селегилин в доза от 10 mg на ден, трябва да може да приема лекарства, съдържащи фармакологично активни амини и да консумира храни, съдържащи тирамин, без риск от неконтролирана хипертония. Въпреки че са редки няколко съобщения за хипертонични реакции при пациенти, получаващи Eldepryl (селегилин HCl) при препоръчителната доза с храни, съдържащи тирамин. В допълнение се съобщава за един случай на хипертонична криза при пациент, приемащ препоръчителната доза селегилин и симпатомиметично лекарство. Патофизиологията на „реакцията на сиренето“ е сложна и в допълнение към способността му да инхибира относителната свобода на Мао В селегилин от тази реакция се приписва на способността да се предотвратява тирамин и други косвени действащи симпатомиметици от изместване на норепинефрин от адрергични неврони. Въпреки това, докато патофизиологията на реакцията на сиренето не бъде по -напълно разбрана, изглежда разумно да се предполага, че селегилинът може обикновено да се използва само безопасно без диетични ограничения в дози, където по презумпция селективно инхибира MAO B (например 10 mg/ден).
най-яките хостели в париж
На кратко внимание към дозата, зависима от дозата на селегилиновата селективност, е от решаващо значение, ако трябва да се използва без сложни ограничения върху диетата и съпътстващата употреба на лекарства, въпреки че, както е отбелязано по -горе, са съобщени за няколко случая на хипертонични реакции в препоръчителната доза. (Вижте Предупреждения и ПРЕДПАЗНИ МЕРКИ .)
Важно е да се знае, че селегилинът може да има фармакологични ефекти, несвързани с инхибирането на MAO B. Както бе отбелязано по-горе, има някои доказателства, че той може да увеличи допаминергичната активност чрез други механизми, включително намеса в допамин повторно поглъщане при синапса. Ефектите в резултат на приложението на селегилин също могат да бъдат медиирани чрез неговите метаболити. Два от трите му основни метаболита амфетамин и метамфетамин имат свои фармакологични действия; Те пречат на усвояването на невроните и засилват освобождаването на няколко невротрансмитери (например норепинефрин допамин серотонин). Въпреки това степента, в която тези метаболити допринасят за ефектите на селегилин, са неизвестни.
Обосновка за използването на селективен инхибитор на моноамин оксидаза тип В при болестта на Паркинсон
Много от видните симптоми на болестта на Паркинсон се дължат на дефицит на стриатален допамин, който е следствие от прогресираща дегенерация и загуба на популация от допаминергични неврони, които произхождат от субстанцията нигра на средния мозък и проект за базалната ганглия или стриатум. В началото на болестта на Паркинсон дефицитът в способността на тези неврони да синтезират допамин може да бъде преодолян чрез прилагане на екзогенна леводопа, обикновено даден в комбинация с периферна декарбоксилазна инхибитор (Карбидопа).
С течение на времето поради прогресирането на заболяването и/или ефекта от продължително лечение ефикасността и качеството на терапевтичния отговор на леводопа намалява. По този начин след няколко години лечение на леводопа отговорът за дадена доза леводопа е по-кратък, има по-малко предвидимо начало и компенсиране (т.е. има „износване“) и често е придружен от странични ефекти (напр. Дискинезия Акинезиас замразяване на явления и т.н.).
Този влошаващ се отговор понастоящем се тълкува като проява на неспособността на непрекъснато намаляващата популация на непокътнати нигростриатални неврони да синтезират и освобождават адекватни количества допамин.
Инхибирането на MAO B може да бъде полезно в тази обстановка, тъй като чрез блокиране на катаболизма на допамин ще увеличи нетното количество допамин (т.е. ще увеличи пула на допамин). Дали този механизъм или алтернатива всъщност отчита наблюдаваните полезни ефекти на допълнителния селегилин, не е известно.
Селегилин's benefit in Parkinson's disease has only been documented as an adjunct to levodopa/carbidopa. Whether or not it might be effective as a sole treatment is unknown but past attempts to treat Parkinson's disease with non-selective MAOI monotherapy are reported to have been unsuccessful. It is important to note that attempts to treat Parkinsonian patients with combinations of levodopa и currently marketed non-selective MAO inhibitors were abиoned because of multiple side effects including hypertension increase in involuntary movement и toxic delirium.
Фармакокинетична информация (метаболизъм на разпределение на абсорбцията и елиминиране-ADME)
Абсолютната бионаличност на селегилин след перорално дозиране не е известна; Въпреки това селегилинът претърпява обширен метаболизъм (вероятно се дължи на пресистемния клирънс в червата и черния дроб). Основните плазмени метаболити са N-десметилселегилин L-амфетамин и L-метамфетамин. Само N-десметилселегилин има инхибираща MAO-B активност. Пиковите плазмени нива на тези метаболити след единична перорална доза 10 mg са от 4 до почти 20 пъти по -големи от тези на максималната плазмена концентрация на селегилин [1 ng/ml]. Максималните концентрации на амфетамин и метамфетамин обаче са далеч под тези, които обикновено се очаква да доведат до клинично важни ефекти.
Изследванията за единична перорална доза обаче не прогнозират кинетика на множество дози. При стабилно състояние пиковото плазмено ниво на селегилин е 4 пъти, получени след една доза. Концентрациите на метаболит се увеличават в по -малка степен средно 2 пъти, които се наблюдават след една доза.
Бионаличността на селегилин се увеличава от 3 до 4 пъти, когато се приема с храна.
Степента на системно излагане на селегилин при дадена доза варира значително сред индивидите. Не са налични оценки на системния клирънс на селегилин. След единична устна доза средната елиминация полуживот на селегилин е два часа. При стабилни условия елиминиращият полуживот се увеличава до десет часа.
Тъй като инхибирането на MAO-B на Selegiline е необратимо, е невъзможно да се предвиди степента на инхибиране на MAO-B от нивата на плазмата в стационарно състояние. По същата причина не е възможно да се предвиди скоростта на възстановяване на активността на MAO-B като функция на плазмените нива. Възстановяването на MAO-B активността е функция на синтеза на протеини De Novo; Въпреки това информацията за скоростта на синтеза на протеин De Novo все още не е налична. Въпреки че тромбоцитната MAO-B активност се връща в нормалния диапазон в рамките на 5 до 7 дни след прекратяването на селегилин, връзката между тромбоцитната и мозъчната MAO-B инхибиране не е напълно разбрана, нито връзката на инхибирането на MAO-B с клиничния ефект е установена (вж. Клинична фармакология ).
Специални популации
Бъбречно увреждане
Не е налична фармакокинетична информация за селегилин или неговите метаболити при субекти, увредени с бъбреци.
Чернодробно увреждане
Не е налична фармакокинетична информация на селегилин или неговите метаболити при хълмово увредени лица.
Възраст
Въпреки че общото заключение за въздействието на възрастта върху фармакокинетиката на селегилин не е оправдано поради размера на оценката на пробата (12 лица на възраст над 60 години на възраст 12 на възраст между 18 до 30) системна експозиция е била около два пъти по -голяма при по -възрастни в сравнение с по -млада популация, която е била една орална доза от 10 mg.
Пол
Няма информация за ефектите на пола върху фармакокинетиката на селегилин.
Информация за пациента за Eldepryl
Пациентите трябва да бъдат посъветвани за възможната необходимост от намаляване на дозата на леводопа след започване на терапия на Eldepryl (селегилин HCl).
Пациентите (или техните семейства, ако пациентът е некомпетентен) трябва да се препоръчва да не надвишава ежедневната препоръчителна доза от 10 mg. Трябва да се обясни рискът от използване на по -високи дневни дози селегилин и е предоставено кратко описание на „реакцията на сирене“. Съобщава се за редки хипертонични реакции със селегилин при препоръчителни дози, свързани с диетични влияния.
Следователно може да е полезно да се информират пациентите (или техните семейства) за признаците и симптомите, свързани с хипертонични реакции, предизвикани от MAOI. По -специално пациентите трябва да бъдат призовани да съобщават незабавно всяко тежко главоболие или други нетипични или необичайни симптоми, които не са имали преди това.