Информацията В Сайта Не Е Медицински Съвет. Ние Не Продаваме Нищо. Точността На Превода Не Е Гарантирана. Отказ От Отговорност
Моноклонални антитела
Aduhelm
Резюме на наркотиците
Какво е Aduhelm?
Aduhelm (Aducanumab-Avwa) е амилоидно бета-насочено антитяло, показано за лечение на болестта на Алцхаймер.
Какви са страничните ефекти на Aduhelm?
Aduhelm
- кошери
- затруднено дишане
- Подуване на лицето ви устни Език или гърло
- Временно подуване на мозъка
- Малки петна от кървене по мозъка
- главоболие
- замаяност
- гадене
- объркване
- Визията се променя
- обрив и
- сърбеж
Получете медицинска помощ веднага, ако имате изброени по -горе симптоми.
Страничните ефекти на Aduhelm включват:
- Амилоидни аномалии, свързани с изображения (ARIA) Задържане на течности (оток)
- главоболие
- Аномалии, свързани с изображения, свързани с амилоиди, поради микрохеморагиране на хемосидерин (ARIA-H)
- Ария-H повърхностна сидероза
- пада
- диария и
- объркване/ Делириум /Променено психично състояние/дезориентация.
Aduhelm може да причини сериозни странични ефекти, включително:
- Вижте по -горе Коя е най -важната информация, която трябва да знам за Aduhelm?
- Сериозни алергични реакции. Подуването на устните на лицето Устата или езика и кошерите са се случили по време на инфузия на Aduhelm. Кажете на вашия доставчик на здравни грижи, ако имате някой от симптомите на сериозна алергична реакция по време или след инфузия на Aduhelm.
Потърсете медицинска помощ или се обадете на 911 наведнъж, ако имате следните сериозни странични ефекти:
- Сериозни симптоми на очите, като например внезапна загуба на зрение, замъглено зрение Тунел Виждане болка в очите или подуване или виждане на ореоли около светлините;
- Сериозни сърдечни симптоми като бързи нередовни или ударни сърдечни удари; трептене в гърдите ви; задух; и внезапна замаяност лекомисленост или раздаване;
- Тежка главоболие объркване затънала речева ръка или крак слабост проблем за ходене на загуба на координация, чувствайки се нестабилни много твърди мускули висока треска обилно изпотяване или тремор.
Този документ не съдържа всички възможни странични ефекти, а други могат да възникнат. Консултирайте се с вашия лекар за допълнителна информация за страничните ефекти.
Дозировка за Aduhelm
Титруването е необходимо за започване на лечение. Препоръчителната доза за поддържане на Aduhelm е 10 mg/kg, прилагана като интравенозна инфузия за приблизително един час на всеки четири седмици.
Aduhelm при деца
Безопасността и ефективността на Aduhelm при педиатрични пациенти не са установени.
Какви лекарства вещества или добавки взаимодействат с Aduhelm?
Aduhelm може да взаимодейства с други лекарства.
Кажете на Вашия лекар всички лекарства и добавки, които използвате.
Какво е родовото за Paxil
Aduhelm по време на бременност и кърмене
Кажете на Вашия лекар, ако сте бременна или планирате да забременеете, преди да използвате Aduhelm; Не е известно как може да повлияе на плода. Не е известно дали Адухелм преминава в кърма или как може да повлияе на кърмаче за кърмене. Консултирайте се с Вашия лекар преди кърмене.
Допълнителна информация
Нашата инжекция на Aduhelm (Aducanumab-Avwa) за интравенозна употреба Странични ефекти Център за лекарства предоставя цялостен поглед върху наличната информация за лекарството върху потенциалните странични ефекти при приемането на това лекарство.
Това не е пълен списък на страничните ефекти и други могат да възникнат. Обадете се на Вашия лекар за медицински съвети относно страничните ефекти. Можете да отчитате странични ефекти на FDA на 1-800-FDA-1088.
Информация за наркотиците на FDA
- Описание на лекарството
- Показания
- Странични ефекти
- Предупреждения
- Предозиране
- Клинична фармакология
- Ръководство за лекарства
Описание за Aduhelm
Aducanumab-Avwa е рекомбинантно човешко имуноглобулин гама 1 (IgG1) моноклонално антитяло, насочено към агрегирано разтворими и неразтворими форми на амилоидна бета и се експресира в клетъчната линия на яйчника на китайски хамстер. Aducanumab-Avwa има приблизително молекулно тегло от 146 kDa.
Инжектирането на aduhelm (aducanumab-avwa) е стерилно без консервативно ясно до опалесцентно и безцветно до жълто разтвор за интравенозна инфузия след разреждане, доставена в флакони с една доза, налични в концентрации от 170 mg/1,7 mL (100 mg/ml) или 300 mg/3 ml (100 mg/ml) от aduhelm.
Всеки ml разтвор съдържа 100 mg aducanumab-avwa и l-аргинин хидрохлорид (31.60 mg) L-хистидин (NULL,60 mg) L-хистидин хидрохлорид монохидрат (3.39 mg) L-метионин (NULL,49 mg) полисорбат 80 (NULL,50 mg) и вода за инвгулиране на приблизително pole.5 5.5.
Използване за Aduhelm
Aduhelm е показан за лечение на болестта на Алцхаймер. Лечението с AduhelM трябва да се започне при пациенти с леко когнитивно увреждане или лек дементен стадий на заболяване, при което лечението е започнато в клинични изпитвания. Тази индикация е одобрена при ускорено одобрение въз основа на намаляване на амилоидните бета плаки, наблюдавани при пациенти, лекувани с aduhelm [виж Клинични изследвания ]. Продължаващото одобрение за тази индикация може да зависи от проверката на клиничната полза в потвърждаващо изпитване (и).
Дозировка за Aduhelm
Подбор на пациента
Потвърдете наличието на амилоидна бета патология преди започване на лечение [виж Клинична фармакология ].
Инструкции за дозиране
След първоначално титруване препоръчителната доза на Aduhelm е 10 mg/kg (виж таблица 1).
Aduhelm трябва да се разрежда и да се прилага като интравенозна инфузия за приблизително един час на всеки четири седмици.
Таблица 1: График на дозиране
| Интравенозна инфузия (На всеки 4 седмици) | Дозировка на Aduhelm (Администриран над приблизително един час) |
| Инфузия 1 и 2 | 1 mg/kg |
| Инфузия 3 и 4 | 3 mg/kg |
| Инфузия 5 и 6 | 6 mg/kg |
| Инфузия 7 и отвъд | 10 mg/kg |
Ако инфузията се пропусне прилагането на възобновяване при същата доза възможно най -скоро и поне 21 дни един от друг.
Мониторинг и дозиране на прекъсвания за аномалии, свързани с амилоиди, свързани с амилоиди
Aduhelm може да причини аномалии за изображения, свързани с амилоиди -edema (aria -e) и -hemosiderin отлагане (aria -h) [виж Предупреждения и предпазни мерки ].
Мониторинг за Ария
Получете скорошно мозъчно магнитно -резонансно изображение (ЯМР) преди започване на лечение с Aduhelm. Получете ЯМР преди 5 th инфузия (първа доза от 6 mg/kg) 7 th инфузия (първа доза от 10 mg/kg) 9 th инфузия (трета доза от 10 mg/kg) и 12 th инфузия (шеста доза от 10 mg/kg). Ако пациентът изпитва симптоми, предполагащи, трябва да се извърши клинична оценка на ARIA, включително ЯМР, ако е посочено.
Препоръки за дозиране на прекъсвания при пациенти с ARIA
Ако дозирането е възобновено след временно дозиране на суспензия, може да се възобнови при същата доза и график за титруване преди суспендирането на дозата. Ползите от достигането и поддържането на дозата от 10 mg/kg трябва да се вземат предвид при оценка на потенциалната доза суспензия.
Air-E
Препоръките за дозирани прекъсвания за пациенти с ARIA-E са дадени в таблица 2.
Таблица 2: Препоръки за дозиране на пациенти с ARIA-E
| Клинична тежест на симптомите 1 | Air-E Severity on MRI 3 | ||
| Лек | Умерен | Тежко | |
| Асимптоматичен | Може да продължи дозирането при текущата доза и график | Спиране на дозирането 2 | Спиране на дозирането 2 |
| Лек | Може да продължи дозирането въз основа на клиничната преценка | Спиране на дозирането 2 | |
| Умерен or Тежко | Спиране на дозирането 2 | ||
| 1 Лек: discomfort noticed but no disruption of normal daily activity. Умерен: discomfort sufficient to reduce or affect normal daily activity. Тежко: incapacitating with inability to work or to perform normal daily activity. 2 Суспендирайте, докато ЯМР демонстрира рентгенографска разделителна способност и симптоми, ако има решение; Помислете за последващ ЯМР за оценка на резолюция 2 до 4 месеца след първоначалната идентификация. Възобновяването на дозирането трябва да се ръководи от клиничната преценка. 3 Вижте таблица 4. |
Ария-Н
Препоръките за дозирани прекъсвания за пациенти с ARIA-H са дадени в таблица 3.
Таблица 3: Препоръки за дозиране на пациенти с Aria-H
| Клинична тежест на симптомите | Ария-Н Severity on MRI 3 | ||
| Лек | Умерен | Тежко | |
| Асимптоматичен | Може да продължи дозирането при текущата доза и график | Спиране на дозирането 1 | Спиране на дозирането 2 |
| Симптоматичен | Спиране на дозирането 1 | Спиране на дозирането 1 | |
| 1 Суспендиране, докато ЯМР не демонстрира рентгенографска стабилизация и симптоми, ако има решение; Възобновяването на дозирането трябва да се ръководи от клиничната преценка; Помислете за последващ ЯМР за оценка на стабилизация 2 до 4 месеца след първоначалната идентификация. 2 Суспендиране, докато ЯМР не демонстрира рентгенографска стабилизация и симптоми, ако има решение; Използвайте клинична преценка, като разгледате дали да продължите лечението или постоянно да преустановите Aduhelm. 3 Вижте таблица 4. |
При пациенти, които развиват интрацеребрален кръвоизлив, по -голям от 1 cm в диаметър по време на лечение с дозиране на Aduhelm, докато ЯМР не демонстрира рентгенографска стабилизация и симптоми, ако има решение. В проучвания 1 и 2 дозирането е постоянно преустановено при пациенти, които са развили интрацеребрален кръвоизлив, по -голям от 1 cm в диаметър. Използвайте клинична преценка, като разгледате дали да продължите лечението след рентгенографска стабилизиране и разрешаване на симптомите или постоянно преустановете Aduhelm.
Инструкции за разреждане
- Преди прилагането aduhelm трябва да се разрежда в 100 ml 0,9% инжектиране на натриев хлорид USP.
- Използвайте асептична техника при приготвяне на разреден разтвор на Aduhelm за интравенозна инфузия.
- Изчислете общия обем на дозата на необходимия разтвор на Aduhelm и броя на необходимите флакони въз основа на действителното телесно тегло на пациента. Всеки флакон съдържа концентрация на aduhelm от 100 mg на ml.
- Парентералните лекарствени продукти трябва да се проверяват визуално за прахови частици и обезцветяване преди прилагането, когато разтворът и контейнерът разреши. Проверете дали разтворът на Aduhelm е ясно до опалесцентни и безцветни до жълт разтвор. Не използвайте, ако присъстват обезцветяване на непрозрачни частици или други чужди частици.
- Извадете капачката на флип от флакона. Поставете иглата за спринцовка във флакона през центъра на гумената запушалка.
- Изтеглете необходимия обем на Aduhelm от флакона (ите) и добавете в инфузионна торбичка от 100 ml 0,9% инжекция на натриев хлорид USP. Не използвайте други интравенозни разредители, за да приготвите разреден разтвор на Aduhelm.
- Всеки флакон е само за една доза. Изхвърлете всяка неизползвана част.
- Внимателно обърнете инфузионната торбичка, съдържаща разреден разтвор на Aduhelm, за да се смеси напълно.
- Не се разклащайте.
- След разрешаване незабавна употреба се препоръчва. Ако не се прилага незабавно, съхранявайте разредения разтвор на Aduhelm в 0,9% инжектиране на натриев хлорид USP хладилник при 2 ° C до 8 ° C (36 ° F до 46 ° F) за до 3 дни или при стайна температура до 30 ° C (86 ° F) за до 12 часа. Не замръзвайте.
Инструкции за администриране
- Визуално проверете разредения разтвор на Aduhelm за частици или обезцветяване преди прилагането. Не използвайте, ако се виждат обезцветени или се виждат непрозрачни или чужди частици.
- Преди инфузия позволяват разредения разтвор на Aduhelm да се затопли до стайна температура.
- Инфузирайте Aduhelm разреден разтвор венозно над приблизително един час през интравенозна линия, съдържаща стерилен нископротеинов свързващ 0,2 или 0,22 филтър за микрон.
- Незабавно прекратете инфузията при първото наблюдение на признаци или симптоми, съответстващи на реакция на свръхчувствителност Предупреждения и предпазни мерки ].
Колко се доставя
Дозирани форми и силни страни
Aduhelm е ясен за опалесцентния и безцветен до жълт разтвор, наличен като:
- Инжектиране : 170 mg/1,7 ml (100 mg/ml) в еднократна флакон
- Инжектиране : 300 mg/3 ml (100 mg/ml) в еднократна флакон
Aduhelm (Aducanumab-Avwa) Инжектирането е стерилно без консервант, чист до опалесцентна и безцветна до жълт разтвор. Aduhelm се доставя по един флакон на кашон, както следва:
170 mg/1,7 ml (100 mg/ml) флакон с една доза (с червена флипна капачка) - NDC 64406-101-01
300 mg/3 ml (100 mg/ml) флакон с една доза (със синя флипна капачка) - NDC 64406-102-02
Съхранение и обработка
Неотворен флакон
- Съхранявайте в оригинална картонена опаковка до полза за предпазване от светлина.
- Съхранявайте в хладилник при 2 ° C до 8 ° C (36 ° F до 46 ° F).
- Не замръзвайте и не разклатете.
- Ако не е налично хладилник, Aduhelm може да се съхранява неотворено в оригиналната си картонена опаковка, за да се предпази от светлина при стайна температура до 25 ° C (77 ° F) за до 3 дни.
- Преди разреждането неотворените флакони на Aduhelm могат да бъдат отстранени и върнати в хладилника, ако е необходимо, когато се съхраняват в оригиналната картонена опаковка. Общото комбинирано време от охлаждане със защита от светлина не трябва да надвишава 24 часа при стайна температура до 25 ° C (77 ° F).
Произведено от: Biogen Inc. Cambridge MA 02142 US Revised: Aug 2023.
Странични ефекти за aduhelm
Следните клинично значими нежелани реакции са описани другаде в етикетирането:
- Амилоидни аномалии за изображения, свързани с амилоиди [виж Предупреждения и предпазни мерки ]
- Реакции на свръхчувствителност [виж Предупреждения и предпазни мерки ]
Опит с клинични изпитвания
Тъй като клиничните изпитвания се провеждат при широко различни състояния, нежелани реакционни проценти, наблюдавани при клинични изпитвания на лекарство, не могат да бъдат сравнени директно със скоростите в клиничните изпитвания на друго лекарство и може да не отразяват процентите, наблюдавани в клиничната практика.
Безопасността на Aduhelm е оценена при 3078 пациенти, които са получили поне една доза Aduhelm. В две плацебо-контролирани проучвания (проучвания 1 и 2) при пациенти с болест на Алцхаймер общо 1105 пациенти са получили Aduhelm 10 mg/kg [виж Клинични изследвания ]. Of these 1105 patients approximately 52% were female 76% were White 10% were Asian и 3% were of Hispanic or Latino ethnicity. The mean age at study entry was 70 years (range from 50 to 85).
В комбинираните плацебо контролирани и дългосрочни удължителни периоди на проучвания 1 и 2 834 пациенти получават поне една доза Aduhelm 10 mg/kg веднъж месечно за поне 6 месеца 551 пациенти за поне 12 месеца и 309 пациенти за поне 18 месеца. В комбинираните плацебо контролирани и дългосрочни периоди на удължаване 5% (66 от 1386) пациенти в групата на дозата от 10 mg/kg се оттеглиха от изследването поради нежелана реакция. Най-честата нежелана реакция, водеща до оттегляне на изследването в комбинираните плацебо-контролирани и дългосрочни удължителни периоди, е повърхностната сидероза Aria-H. Таблица 5 показва нежелани реакции, за които се съобщава при поне 2% от пациентите, лекувани с aduhelm и поне 2% по -често, отколкото при пациенти при плацебо.
Таблица 5: Нежелани реакции, отчетени при поне 2% от пациентите, лекувани с Aduhelm 10 mg/kg и поне 2% по -високи от плацебо в проучвания 1 и 2
| Нежелана реакция | Aduhelm 10 mg/kg N = 1105 % | Плацебо N = 1087 % |
| Air-E | 35 | 3 |
| Главоболие a | 21 | 16 |
| Ария-Н microhemorrhage | 19 | 7 |
| Ария-Н superficial siderosis | 15 | 2 |
| Падане | 15 | 12 |
| Диария b | 9 | 7 |
| Объркване/делириум/променен психичен статус/дезориентация c | 8 | 4 |
| a Главоболие includes the adverse reaction related terms главоболие head discomfort migraine migraine with aura и occipital neuralgia. b Диария includes the adverse reaction related terms диария и infectious diarrhea. c Объркване/делириум/променен психичен статус/дезориентация includes the adverse reaction related terms объркванеal state Делириум altered state of consciousness disorientation depressed level of consciousness disturbance in attention mental impairment mental status changes postoperative объркване и somnolence. |
Лекарствени взаимодействия за aduhelm
Не е предоставена информация
Предупреждения за Aduhelm
Включени като част от 'ПРЕДПАЗНИ МЕРКИ' Раздел
Предпазни мерки за Aduhelm
Амилоидни аномалии, свързани с изображения
Моноклоналните антитела, насочени срещу агрегирани форми на бета амилоид, включително Aduhelm, могат да причинят аномалии за изображения, свързани с амилоиди (ARIA), характеризиращи се като ария с оток (ARIA-E), които могат да бъдат наблюдавани върху ЯМР като мозъчен оток или султа ефузии и ария с хемосидерин от отлагане на Хемосидерин. Ария може да се появи спонтанно при пациенти с болест на Алцхаймер. Aria-H, свързани с моноклонални антитела, насочени срещу агрегирани форми на бета амилоид, обикновено се срещат във връзка с появата на ARIA-E. Aria-H от всяка причина и ariae може да се появи заедно.
ARIA обикновено се среща в началото на лечението и обикновено е безсимптомна, въпреки че рядко могат да се появят сериозни и жизнените събития, включително припадъци и епилептик на статуса. Когато настоящите съобщавани симптоми, свързани с ARIA, могат да включват объркване на главоболие, визуални промени замаяност гадене и трудност на походката. Може да се появи и фокусен неврологичен дефицит. Симптомите, свързани с ARIA, обикновено решават с течение на времето. Рискът от ария, включително симптоматична и сериозна ария, се увеличава при аполипопротеин E ε4 (ApoE ε4) хомозиготи. В допълнение към ария интрацеребрални кръвоизливи, по -големи от 1 см в диаметър, са възникнали при пациенти, лекувани с aduhelm.
Помислете за ползата от Aduhelm за лечение на болестта на Алцхаймер и потенциалния риск от сериозни нежелани събития, свързани с ARIA, когато решавате да започне лечение с Aduhelm.
Честота на ария
Симптоматичен ARIA occurred in 10% (110/1105) of patients treated with Aduhelm in Studies 1 и 2. Serious symptoms associated with ARIA were reported in 0.3% of patients treated with Aduhelm. Clinical symptoms associated with ARIA resolved in 88% of patients during the period of observation. Overall recurrent episodes of Air-E were less frequently symptomatic (12%) compared with initial episodes of Air-E (25%).
Включително асимптоматични рентгенографски събития ARIA се наблюдава при 41% (454/1105) от пациенти, лекувани с Aduhelm 10 mg/kg в сравнение с 10% (111/1087) от пациентите при плацебо в проучвания 1 и 2.
Air-E was observed in 35% (387/1105) of patients treated with Aduhelm 10 mg/kg compared with 3% (29/1087) of patients on placebo. Ария-Н was observed in 28% (312/1105) of patients treated with Aduhelm compared to 9% (94/1087) of patients on placebo. There was no increase in isolated Ария-Н (i.e. Ария-Н in patients who did not also experience Air-E) for Aduhelm compared to placebo.
Общата честота на припадъци, независима от ARIA, е 0,5% в групата от 10 mg/kg aduhelm и 0,8% в групата на плацебо в проучвания 1 и 2. При пациенти с ARIA в групата 10 mg/kg aduhelm честотата на припадък е 0,7%. Съобщава се за епилептик на състоянието в плацебо-контролирани и дългосрочни проучвания за разширение при пациенти, лекувани с Aduhelm.
Oxcarbazepine Други лекарства в същия клас
APOE ε4 статус на превозвача и риск от ARIA
Приблизително 15% от болестта на болестта на Алцхаймер са апое ε4 хомозиготи. В проучвания 1 и 2 сред пациенти с известен генотип на APOE ε4 17% (182/1103) от пациентите от групата на Aduhelm са APOE ε4 хомозиготи 51% (564/1103) са хетерозиготи и 32% (357/1103) са не -ножници. Честотата на симптоматичната ария е била по -висока при APOE ε4 хомозиготи (16%), отколкото при хетерозиготи (11%) и непоносители (5%) сред пациентите, лекувани с aduhelm. Въпреки това честотата на сериозни нежелани реакции с ARIA-E, включително риск от смърт, устойчив или значителна инвалидност или хоспитализация на неработоспособността или друго медицинско важно събитие, което може да изисква интервенция за предотвратяване на сериозни резултати, е сходна за APOE ε4 носители и не-ножници (2% в хомозиготите 1% в хетерозиготите 2% в не-ножиците). Препоръките за управление на ARIA не се различават между превозвачите на APOE ε4 и не -носачите [виж Доза и приложение ]. Testing for ApoE ε4 status should be performed prior to initiation of treatment to inform the risk of developing ARIA. Prior to testing prescribers should discuss with patients the risk of ARIA across genotypes и the implications of genetic testing results. Prescribers should inform patients that if genotype testing is not performed they can still be treated with Aduhelm; however it cannot be determined if they are ApoE ε4 homozygotes и at a higher risk for ARIA. An FDA-authorized test for detection of ApoE ε4 alleles to identify patients at risk of ARIA if treated with Aduhelm is not currently available. Currently available tests used to identify ApoE ε4 alleles may vary in accurary и design.
Рентгенографски находки
Рентгенографската тежест на ARIA, свързана с Aduhelm, беше класифицирана по критериите, показани в таблица 4.
Таблица 4: Критерии за класификация на ARIA MRI
| Тип ария | Рентгенографска тежест | ||
| Лек | Умерен | Тежко | |
| Air-E | Hyperintensitys на Flair, ограничен до Sulcus и или Cortex/Subcortical White Matter на едно място <5 cm | Hyperintensity на Flair 5 до 10 cm или повече от 1 сайт на засягане на всяко измерване <10 cm | Измерване на хиперинтензитета на Flair> 10 cm често със значително субкортикално бяло вещество и/или засягане на султа. Един или повече отделни сайтове за участие могат да бъдат обезпечени. |
| Ария-Н microhemorrhage | ≤ 4 Нови инцидентни микрохемораги | 5 до 9 нови инцидентни микрохемораги | 10 или повече нови инцидентни микрохемораги |
| Ария-Н superficial siderosis | 1 фокусна област на повърхностната сидероза | 2 Фокални области на повърхностната сидероза | > 2 Фокални области на повърхностната сидероза |
По-голямата част от рентгенографските събития на ARIA-E са се случили в началото на лечението (в рамките на първите 8 дози), въпреки че ARIA могат да се появят по всяко време и пациентите могат да имат повече от 1 епизод. Максималната рентгенографска тежест на ARIA-E при пациенти, лекувани с aduhelm, е лека при 10% (115/1105) от пациенти, умерени при 20% (223/1105) пациенти и тежки при 4% (49/1105) от пациентите. Резолюцията на ЯМР се наблюдава при 68% от пациентите с ARIA-E с 12 седмици 91% на 20 седмици и общо 98% след откриването. Максималната рентгенографска тежест на микрохеморагията на Aria-H при пациенти, лекувани с aduhelm, е лека при 14% (154/1105) от пациенти, умерени при 3% (29/1105) пациенти и тежки при 3% (29/1105) пациенти. Максималната рентгенографска тежест на повърхностната сидероза на Aria-H при пациенти, лекувани с AduhelM, е лека при 7% (79/1105) от пациенти, умерени при 4% (47/1105) от пациенти и тежки при 3% (36/1105) от пациентите. Сред пациентите, лекувани с aduhelm, честотата на тежки рентгенографски ARIA-E е най-висока при APOE ε4 хомозиготи 11% (20/182) в сравнение с хетерозиготи 4% (21/564) или не-карета 2% (8/357). Сред пациентите, лекувани с aduhelm, честотата на тежка рентгенографска ария-Н (микрохемораж или повърхностна сидероза) е била най-висока при APOE ε4 хомозиготи 20% (36/182) в сравнение с хетерозиготите 4% (21/564) или не-карета 2% (6/357).
Интрацеребрален кръвоизлив
Интрацеребрален кръвоизлив, по -голям от 1 см в диаметър, се съобщава при 0,5% (6/1105) от пациенти в проучвания 1 и 2 след лечението с Aduhelm в сравнение с 0,4% (4/1087) пациенти на плацебо. Наблюдавани са фатални събития на интрацеребрален кръвоизлив при пациенти, приемащи aduhelm.
Съпътстващи антитромботични лекарства
Пациентите са били изключени от записване в проучвания 1 и 2 за употреба на антитромбоцити или антикоагулантни лекарства, различни от 325 mg или по -малко дневно на аспирин. Въпреки че пациентите са били оставени да получават аспирин в дневни дози от 325 mg или по -малко някои пациенти поради взаимосвързани медицински събития, настъпили след записване и изискват лечение, получени аспирин в дози, по -големи от 325 mg други антипромбоматини или антикоагуланти по време на проучвания 1 и 2. Пациентите, които са получавали aduhelm и антитромботични медикаменти (аспирин. Риск от ария-Н или интрацеребрален кръвоизлив в сравнение с пациенти, които са получили плацебо и антитромботично лекарство. По -голямата част от експозициите на антитромботични лекарства са били на аспирин; Малко пациенти са били изложени на други антитромбоцитни лекарства или антикоагуланти, ограничаващи всякакви смислени заключения за риска от ария или интрацеребрален кръвоизлив при пациенти, приемащи други антипламбоцитни лекарства или антикоагуланти.
Тъй като при пациенти са наблюдавани интрацеребрални кръвоизливки, по -големи от 1 см в диаметър, при пациенти, които приемат Aduhelm, трябва да се внимава, когато се разглежда прилагането на антикоагуланти или тромболитично средство (например тъканна плазминогенна активатор) на пациент, който вече се лекува с aduhelm.
Други рискови фактори за интрацеребрален кръвоизлив
Пациентите бяха изключени от записване в проучвания 1 и 2 за открития за невровизуализация, които показват повишен риск от интрацеребрален кръвоизлив. Те включват открития, предполагащи церебрална амилоидна ангиопатия (предишен интрацеребрален кръвоизлив, по -голям от 1 см в диаметър повече от 4 микрохеморали повърхностна сидероза и анамнеза за дифузно заболяване на бялото вещество). Вазогенният оток също може да подсказва за церебрална амилоидна ангиопатия. Тези и други лезии (съдова малформация на аневризма) могат потенциално да увеличат риска от интрацеребрален кръвоизлив.
Наличието на алел APOE ε4 също е свързано с церебрална амилоидна ангиопатия, която има повишен риск от интрацеребрален кръвоизлив.
Трябва да се внимава при разглеждане на употребата на aduhelm при пациенти с фактори, които показват повишен риск от интрацеребрален кръвоизлив и по -специално за пациенти, които трябва да бъдат на антикоагулантна терапия.
колко магнезий трябва да се вземе
Насоки за наблюдение и управление на дозата
Препоръки за дозиране при пациенти с ARIA-E зависят от клиничните симптоми и рентгенографската тежест [виж Доза и приложение ]. Recommendations for dosing in patients with Ария-Н depend on the type of Ария-Н и radiographic severity [see Доза и приложение ]. Use clinical judgment in considering whether to continue dosing in patients with recurrent Air-E.
Препоръчва се базовата мозъчна ЯМР и периодичното наблюдение с ЯМР [виж Доза и приложение ]. Enhanced clinical vigilance for ARIA is recommended during the first 8 doses of treatment with Aduhelm particularly during titration. If a patient experiences symptoms suggestive of ARIA clinical evaluation should be performed including MRI if indicated. If ARIA is observed on MRI careful clinical evaluation should be performed prior to continuing treatment.
Има ограничен опит при пациенти, които продължават да дозират чрез симптоматичен ARIA-E или чрез безсимптомно умерено или тежко ARIA-E. Има ограничени данни при дозиране на пациенти, които са имали повтарящи се ARIA-E.
Мрежата на Алцхаймер за лечение и диагностика (ALZ-NET) е доброволен регистър на доставчика на пациенти, който събира информация за лечението на болестта на Алцхаймер, включително Aduhelm. Доставчиците могат да получат информация за регистъра на www.alz-net.org или да се свържат [Имейл .
Реакции на свръхчувствителност
Ангиоедем и уртикария са съобщени при един пациент в плацебо-контролиран период от проучвания 1 и 2 и се наблюдават по време на инфузията на Aduhelm. Незабавно прекратете инфузията при първото наблюдение на признаци или симптоми, съответстващи на реакцията на свръхчувствителност и инициирайте подходяща терапия.
Информация за консултирането на пациентите
Посъветвайте се на пациента и/или полагащото възпитание да прочете одобреното от FDA етикетиране на пациента ( Ръководство за лекарства ).
Амилоидни аномалии, свързани с изображения
Информирайте пациентите, че aduhelm могат да причинят аномалии за изображения, свързани с амилоиди или ария. ARIA най -често се представя като временно подуване в области на мозъка, който обикновено се разрешава с течение на времето. Някои хора също могат да имат малки петна от кървене във или на повърхността на мозъка. Информирайте пациентите, че повечето хора с подуване в области на мозъка не изпитват симптоми, но някои хора могат да изпитат симптоми като объркване на главоболие, визията на визията променя гадене афазия или припадък. Инструктирайте пациентите да уведомят своя доставчик на здравни грижи, ако се появят тези симптоми. Информирайте пациентите, че събитията от интрацеребрален кръвоизлив, по -голям от 1 cm в диаметър, са съобщени рядко при пациенти, приемащи aduhelm и че употребата на антикоагулантни или тромболитични лекарства, докато приемате aduhelm, може да увеличи риска от кървене в мозъка. Уведомете пациентите, че техният доставчик на здравни грижи ще извърши ЯМР сканиране, за да наблюдава за ARIA [виж Предупреждения и предпазни мерки ].
Информирайте пациентите, че въпреки че ARIA може да се появи при всеки пациент, лекуван с aduhelm, има повишен риск при пациенти, които са апое ε4 хомозиготи и че тестването за статус на APOE ε4 трябва да се извърши преди започване на лечение, за да се информира рискът от развитие на ARIA. Преди тестване обсъждайте с пациентите рискът от ARIA през генотипите и последиците от резултатите от генетичните тестове. Информирайте пациентите, че ако тестването не се извършва, той не може да се определи, ако те са APOE ε4 хомозиготи и с по -висок риск от ARIA.
Регистър на пациентите
Посъветвайте пациентите, че мрежата на Алцхаймер за лечение и диагностика (ALZ-NET) е доброволен регистър на пациентите, подложени на доброволен доставчик, който събира информация за лечението на болестта на Алцхаймер, включително Aduhelm. Насърчавайте пациентите да участват в регистъра на ALZ-NET [виж Предупреждения и предпазни мерки ].
Реакции на свръхчувствителност
Информирайте пациентите, че aduhelm могат да причинят реакции на свръхчувствителност, включително ангиоедем и уртикария, и да се свържат с техния доставчик на здравни грижи, ако се появят реакции на свръхчувствителност [виж Предупреждения и предпазни мерки ].
Неклинична токсикология
Канцерогенеза мутагенеза Нарушаване на плодовитостта
Карциногенеза
Проучванията за канцерогенност не са проведени.
Мутагенеза
Проучванията за генотоксичност не са проведени.
Увреждане на плодовитостта
Интравенозното приложение на aducanumab-avwa (0 100 300 или 1000 mg/kg/седмица) на мъжки и женски плъхове преди и по време на чифтосване и продължаване при жените до гестационен ден 7 не доведе до неблагоприятни ефекти върху плодовитостта или репродуктивната ефективност.
Уместността на тези данни за хората е ограничена, тъй като агрегираната амилоидна бета фармакологичната цел на aducanumab-avwa не присъства при плъхове.
Използване в конкретни популации
Бременност
Обобщение на риска
Няма адекватни данни за употребата на Aduhelm при бременни жени, за да се оцени за лекарство, свързано с лекарства от основни вродени дефекти, спонтанен аборт или други неблагоприятни резултати от майката или плода.
В общата популация на САЩ прогнозният фонов риск от големи вродени дефекти и спонтанен аборт в клинично признатите бременности е съответно от 2 до 4% и 15 до 20%. Основният риск от големи вродени дефекти и спонтанен аборт за посоченото население е неизвестен.
Данни
Данни за животните
Интравенозното приложение на aducanumab-avwa (0 100 300 или 1000 mg/kg/седмица) на женски плъхове чрез органогенеза не е имало неблагоприятно въздействие върху развитието на ембриофеталното развитие.
Интравенозното приложение на aducanumab-avwa (0 100 300 или 1000 mg/kg/седмица) на женски плъхове по време на бременността и лактацията няма неблагоприятни ефекти върху пред- или следродилното развитие.
Уместността на тези данни за хората е ограничена, тъй като агрегираната амилоидна бета фармакологичната цел на aducanumab-avwa не присъства при плъхове.
Лактация
Обобщение на риска
Няма данни за наличието на aducanumab-avwa в човешкото мляко ефектите върху кърменото кърмаче или ефектите на лекарството върху производството на мляко. Публикуваните данни от други моноклонални антитела обикновено показват ниско преминаване на моноклонални антитела в човешко мляко и ограничена системна експозиция при кърмалото бебе. Ефектите от тази ограничена експозиция са неизвестни. Ползите за развитие и здравето от кърменето трябва да се разглеждат заедно с клиничната нужда на майката от Aduhelm и всякакви потенциални неблагоприятни ефекти върху кърменото бебе от Aduhelm или от основното състояние на майката.
Педиатрична употреба
Безопасността и ефективността на Aduhelm при педиатрични пациенти не са установени.
Гериатрична употреба
В проучвания 1 и 2 възрастта на пациентите варира от 50 до 85 години със средна възраст 70 години; 79% са 65 и по -големи, а 32% са 75 и по -големи. Няма забележителни разлики в честотата на нежеланите реакции между тези възрастови групи и няма допълнителни проблеми за безопасността при пациенти на възраст 65 и повече години в сравнение с по -младите пациенти.
Информация за предозиране за aduhelm
Не е предоставена информация
Противопоказания за Aduhelm
Няма.
Клинична фармакология for Aduhelm
Механизъм на действие
Aducanumab-Avwa е човешки имуноглобулин гама 1 (IgG1) моноклонално антитяло, насочено към агрегирано разтворими и неразтворими форми на амилоидна бета. Натрупването на амилоидни бета плаки в мозъка е определяща патофизиологична характеристика на болестта на Алцхаймер.
Aduhelm reduces amyloid beta plaques as evaluated in Studies 1 2 и 3 [see Клинични изследвания ].
Фармакодинамика
Ефект на Aduhelm върху амилоидната бета патология
Aduhelm reduced amyloid beta plaque in a dose- и time-dependent manner in Проучване 1 Проучване 2 и Проучване 3 compared with placebo [see Доза и приложение и Клинични изследвания ].
Ефектът на aduhelm върху нивата на амилоидна бета плака в мозъка е оценен с помощта на PET изображения ( 18 F-Florbetapir Tracer). Сигналът на PET се определя количествено, използвайки метода на съотношението на стойността на поемането (SUVR) за оценка на мозъчните нива на амилоидна бета плака в композити от мозъчни области, които се очаква да бъдат широко повлияни от патологията на болестта на Алцхаймер (фронтална париетална странична темпорална сензомоторна и предна и задна цинголатна кора). SUVR също се изразява в Centiloid скалата.
В подудилите на проучване 1 и проучване 2 Aduhelm намаляват нивата на бета плака на амилоид в мозъка, произвеждащи намаляване на ниската доза на Aduhelm, така и при високите нива на дозата и при седмици 26 и 78 (P <0.0001) compared to placebo. The magnitude of reduction was time- и dose-dependent. In the long-term extension of Проучване 1 и Проучване 2 a continued decrease in brain amyloid beta plaque levels was observed at Week 132 in patients initially rиomized to Aduhelm.
In Study 3 ADUHELM reduced amyloid beta plaque levels in the brain producing statistically significant dose- and time-dependent reductions compared to placebo in the 3 mg/kg 6 mg/kg and 10 mg/kg ADUHELM treatment groups at Week 26 and in all ADUHELM treatment groups at Week 54. Among those dosed with ADUHELM during the placebo-controlled period in Study 3 amyloid beta Нивата на плаката в мозъка продължават да намаляват по начин и дозавиден начин в дългосрочния период на удължаване до седмица 222.
Ефект на Aduhelm върху патофизиологията на тау
Aduhelm reduced markers of tau pathophysiology (CSF p-Tau 181 plasma p-Tau 181 и Tau PET) и neurodegeneration (CSF t-Tau) in Проучване 1 и Проучване 2 [see Клинични изследвания ].
Aduhelm reduced CSF levels of p-Tau 181 in substudies conducted in Проучване 1 и Проучване 2. The adjusted mean change from baseline in CSF p-Tau 181 levels relative to placebo was in favor of the Aduhelm low (p <0.01) и high (p <0.001) dose groups at Week 78 in Проучване 1. Results in Проучване 2 numerically favored Aduhelm but were not statistically significant.
В проучване 1 и проучване 2 Aduhelm намалява плазмената P-Tau 181 нива, в сравнение с плацебо. В дългосрочното удължаване на проучване 1 и проучване 2 се наблюдава продължително намаляване на нивата на плазмения P-Tau 181 при високата доза през 128-та седмица при пациенти, първоначално рандомизирани в Aduhelm.
Aduhelm reduced CSF levels of t-Tau in substudies conducted in Проучване 1 и Проучване 2. The adjusted mean change from baseline in CSF t-Tau levels relative to placebo was in favor of the Aduhelm low (p <0.05) и high (p <0.01) dose groups at Week 78 in Проучване 1. Results in Проучване 2 numerically favored Aduhelm but were not statistically significant.
Поднудии са проведени както в проучване 1, така и в проучване 2, за да се оцени ефекта на Aduhelm върху неврофибриларните заплитания, съставени от тау протеин, използвайки PET изображения ( 18 F-MK6240 Tracer). Сигналът на PET се определя количествено по метода на SUVR за оценка на мозъчните нива на тау в мозъчните региони, които се очаква да бъдат повлияни от патологията на болестта на Алцхаймер (медиална времева временна фронтална цингулатна париетална и тилна кортика) в изследваната популация в сравнение с мозъчния регион, който се очаква да бъде спешен от такава патология (церебелум). Данните от подудиите бяха обединени, включващи 37 пациенти с надлъжно проследяване. Регулираната средна промяна от изходната линия в Tau PET SUVR спрямо плацебо при проследяване беше в полза на високата доза на Aduhelm в медиалния темпорален (P <0.001) temporal (p <0.05) и frontal (p <0.05) brain regions. No statistically significant differences were observed for the cingulate parietal or occipital cortices.
Връзки за реакция на експозиция
Анализите на базата на експозиция на експозиция за проучвания 1 и 2 показаха, че по-високите експозиции на ADUHELM са свързани с по-голямо намаляване на клиничния спад на CDR-SB ADASCOG13 и ADCS-ADL-MCI. В допълнение по-високите експозиции на Aduhelm са свързани с по-голямо намаляване на амилоидната бета плака в проучвания 1 и 2. Наблюдава се и връзка между намаляване на амилоидната бета плака и клиничния спад върху CDR-SB.
По-високите експозиции на Aduhelm са свързани с по-голямо намаляване на плазмения P-Tau 181.
Наблюдава се връзка между намаляването на плазмения P-Tau 181 и намаляването на амилоидния PET SUVR. Наблюдава се връзка между намаляване на плазмения P-Tau 181 и намален клиничен спад на CDR-SB ADAS-COG 13 и ADCS-ADL-MCI.
Фармакокинетика
Фармакокинетиката (PK) на AduhelM се характеризира с помощта на популационен PK анализ с данни за концентрация, събрани от 2961 лица с болест на Алцхаймер, които са получили Aduhelm в единични или множество дози.
Концентрациите на стационарно състояние на AduhelM са достигнати с 16 седмици многократна доза с на всеки 4-седмичен режим и системното натрупване е 1,7 пъти. Концентрацията на пиковата концентрация (CMAX) (CMIN) и площта под плазмената концентрация спрямо кривата на времето в стабилно състояние (AUCSS) на Aduhelm увеличава дозата пропорционално в диапазона на дозата от 1 до 10 mg/kg на всеки 4 седмици.
Разпределение
Средната стойност (95% CI) за обем на разпределение в стабилно състояние е 9,63 L (9.48 9.79).
Елиминиране
Aduhelm is expected to be degraded into small peptides и amino acids via catabolic pathways in the same manner as endogenous IgG. Aduhelm clearance (95% CI) is 0.0159 (0.0156 0.0161) L/hr. The terminal half-life is 24.8 (14.8 37.9) days.
Специфични популации
Установено е, че сексът и расата на телесното тегло влияят на излагането на Aduhelm. Въпреки това нито един от тези ковариати не е клинично значим.
Пациенти с бъбречно или чернодробно увреждане
Не са проведени проучвания за оценка на фармакокинетиката на Aduhelm при пациенти с бъбречно или чернодробно увреждане. Не се очаква Aduhelm да претърпи бъбречно елиминиране или метаболизъм чрез чернодробни ензими.
Имуногенност
Наблюдаваната честота на анти-лекарствените антитела е силно зависима от чувствителността и специфичността на анализа. Разликите в методите за анализ предотвратяват значимите сравнения на честотата на анти-лекарствените антитела в други проучвания, включително тези на Aducanumab-Avwa или на други продукти на Aducanumab.
Имуногенността на aduhelm е оценена с помощта на in vitro Анализ за откриване на свързващи анти-удуканумаб-AVWA антитела.
В до 41 месеца лечение в комбинираните плацебо-контролирани и дългосрочни удължителни периоди на проучвания 1 и 2 до 0,6% (15/2689) от пациентите, получаващи Aduhelm, веднъж месечно развиват анти-удуканумаб-AVWA антитела.
Въз основа на ограничения брой пациенти, които са тествали положително за анти-удуканумаб-AVWA антитела, не са направени наблюдения относно потенциален ефект от неутрализиращата активност на анти-удуканумаб-AVWA антитела върху експозицията или ефикасността; Наличните данни обаче са твърде ограничени, за да направят окончателни заключения относно ефекта върху безопасността на фармакокинетиката или ефикасността на Aduhelm. Количественото определяне на неутрализиращите анти-удуканумаб-AVWA антитела не е оценено.
Клинични изследвания
Ефикасността на Aduhelm е оценена в две двойно слепи рандомизирани плацебо-контролирани паралелни проучвания (проучване 1 NCT 02484547 и проучване 2 NCT 02477800) при пациенти с болест на Алцхаймер (пациенти с потвърдено присъствие на амилоидна патология и мека когнитивно нарушение или мек демен Стратифициран да включва 80% пациенти в етап 3 и 20% пациенти в етап 4). The effects of ADUHELM were also supported by a double-blind randomized placebo-controlled doseranging study (Study 3 NCT 01677572) in patients with Alzheimer’s disease (patients with confirmed presence of amyloid pathology and prodromal or mild dementia stage of disease consistent with Stage 3 and Stage 4 Alzheimer’s disease with an enrolled distribution of 43% Stage 3 patients and 57% пациенти на етап 4), последвани от незадължителен слеп от дозата дългосрочно удължаване.
В проучвания 1 и 2 пациенти са рандомизирани да получават Aduhelm ниска доза (3 или 6 mg/kg за носители на APOE ε4 и не-носачи)) Aduhelm висока доза (10 mg/kg) или плацебо на всеки 4 седмици в продължение на 18 месеца, последвано от незадължителен доза-сляпо дългосрочен период на удължаване.
Странични ефекти на Namenda при възрастни хора
И двете проучвания включват първоначален период на титруване до 6 месеца до максималната целева доза. В началото на изследването APOE ε4 носителите първоначално са титрирани до максимум 6 mg/kg в групата с високи дози, която по -късно е коригирана на 10 mg/kg.
В проучвания 1 и 2 пациенти са били записани с глобален резултат на клинична деменция (CDR) от 0,5 повтаряща се батерия за оценка на невропсихологичния статус (RBANS) Забавен оценката на индекса на паметта ≤ 85 и оценката на мини-психичния държавен преглед (MMSE) от 24-30. В проучване 3 пациентите са били записани с глобален резултат на CDR от 0,5 или 1,0 и MMSE резултат от 20-30. Пациентите са били записани с или без съпътстващи одобрени терапии (инхибитори на холинестераза и N-метил-D-аспартатен антагонист моменен) за болестта на Алцхаймер.
Проучвания 1 и 2 са прекратени преди планираното им завършване. Крайните точки на проучването бяха анализирани въз основа на предварително определения план за статистически анализ.
Проучване 1
В проучване 1 1638 Пациентите са рандомизирани 1: 1: 1, за да получат Aduhelm с ниска доза Aduhelm висока доза или плацебо. В началото средната възраст на пациентите е била 71 години с диапазон от 50 до 85 години.
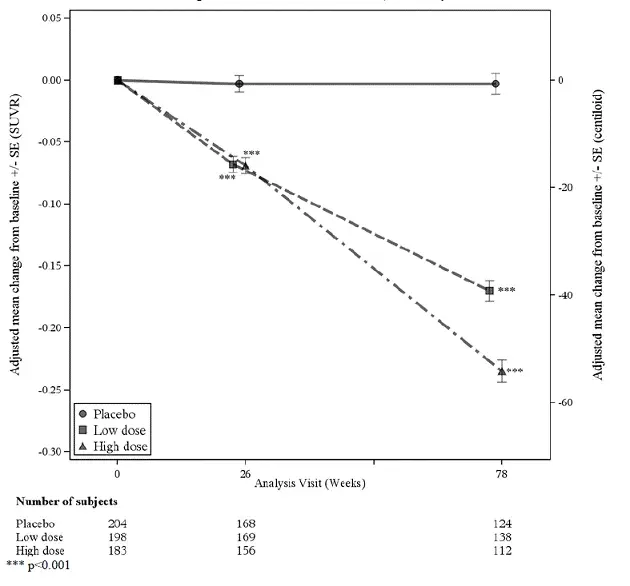
Подгрупа от 488 пациенти са били записани в амилоидната домашни любимци; От тях 302 са оценени на 78 -та седмица. Резултатите от амилоидната бета домашна PET субстудията са описани на фигура 1 и таблица 6. CSF и плазмените биомаркери са описани в таблица 6.
Фигура 1: Намаляване на мозъчната амилоидна бета плака (промяна от изходното ниво в амилоидната бета PET композитен SUVR и Centiloids) в проучване 1
|
| *** p <0.001 |
Таблица 6: Резултати от биомаркерите на Aduhelm в проучване 1
| Крайна точка на биомаркера на седмица 78 1 | Aduhelm Висока доза | Плацебо |
| Амилоиден бета домашен любимец SUVR | N = 170 | N = 159 |
| Mean baseline | 1.383 | 1.375 |
| Change from baseline Difference from placebo | -0.264 -0.278 с <0.0001 | 0.014 |
| Амилоиден бета домашен любимец centiloid | N = 170 | N = 159 |
| Mean baseline | 85.3 | 83.5 |
| Change from baseline (%) Difference from placebo | -60.8 (-71%) -64.2 стр <0.0001 | 3.4 |
| CSF P-Number 181 (PG / mL) | N = 17 | N = 28 |
| Mean baseline | 100.11 | 72.55 |
| Change from baseline Difference from placebo | -22.93 -22.44 p = 0.0005 | -0.49 |
| Плазмен P-Tau 181 (PG/mL) 2 | N = 294 | N = 294 |
| Mean baseline | 3.342 | 3.181 |
| Change from baseline Difference from placebo | -0.424 -0.669 стр <0.0001 | 0.245 |
| CSF T-номер (PG / mL) | N = 17 | N = 28 |
| Mean baseline | 686.65 | 484.00 |
| Change from baseline Difference from placebo | -112.44 -112.05 p = 0,0088 | -0.39 |
| 1 P-стойностите не са статистически контролирани за множество сравнения. 2 Резултатите от анализа на плазмения P-Tau 181 трябва да се тълкуват с повишено внимание поради несигурност, свързана със стабилността на съхраняваните проби. |
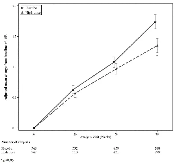
Основната крайна точка на ефикасността беше промяната от изходното ниво на CDR-сумата на кутиите (CDRSB) на седмица 78. В проучване 1 лечение с висока доза на Aduhelm демонстрира намален клиничен спад, както се доказва от статистически значим ефект на лечение върху промяната от изходното ниво на CDR-SB в сравнение с плацебото (-0.39 [-22%] p = 0,0120), както е показано на фигура 2 и таблица [-22%] P = 0,0120), както е показано на фигур 2 и таблица 7. Aduhelm във всички предварително определени подгрупи от интерес.
Фигура 2: График на линията на крайната точка на първичната ефикасност (промяна от изходното ниво в CDR сумата на кутиите) в проучване 1
|
| * p <0.05 |
Secondary efficacy endpoints included the change from baseline in MMSE score at Week 78 the change from baseline in the Alzheimer’s Disease Assessment Scale-Cognitive Subscale (13 items) (ADAS-Cog 13) at Week 78 and the change from baseline in the Alzheimer’s Disease Cooperative Study – Activities of Daily Living Inventory (Mild Cognitive Impairment version) (ADCS-ADL-MCI) score at Week 78. In Study 1 Статистически значими разлики от плацебо са наблюдавани в групата с високи дози на Aduhelm във всички оценени крайни крайни точки на вторичната ефикасност. Оценката на ефекта на лечение благоприятства Aduhelm в повечето предварително определени подгрупи от интерес за крайните крайни точки на вторичната ефикасност. Елементът на невропсихиатричния инвентар-10 (NPI-10) беше единствената третична крайна точка, която оценява ефикасността. Резултатите от групата с високи дози в сравнение с плацебо са представени в таблица 7.
Разликите от плацебо, наблюдавани в групата с ниски дози на Aduhelm, числено предпочитат Aduhelm, но не са статистически значими.
Таблица 7: Клинични резултати от Aduhelm в проучване 1
| Клинична крайна точка на 78 -та седмица | Aduhelm Висока доза (N = 547) | Плацебо (N = 548) |
| CDR-SB | ||
| Mean baseline | 2.51 | 2.47 |
| Change from baseline Difference from placebo (%) | 1.35 -0.39 (-22%) P = 0,0120 | 1.74 |
| MMSE | ||
| Mean baseline | 26.3 | 26.4 |
| Change from baseline Difference from placebo (%) | -2.7 0,6 (-18%) P = 0,0493 | -3.3 |
| ADAS-COG 13 | ||
| Mean baseline | 22.246 | 21.867 |
| Change from baseline Difference from placebo (%) | 3.763 -1.400 (-27%) P = 0,0097 | 5.162 |
| ADCS-ADL-MCI | ||
| Mean baseline | 42.5 | 42.6 |
| Change from baseline Difference from placebo (%) | -2.5 1.7 (-40%) P = 0,0006 | -4.3 |
| NPI-10 1 | ||
| Mean baseline | 4.5 | 4.3 |
| Change from baseline Difference from placebo (%) | 0.2 -1.3 (-87%) P = 0,0215 | 1.5 |
| 1 P-стойността не е статистически контролирана за множество сравнения. |
Проучване 2
В проучване 2 1647 пациентите са рандомизирани 1: 1: 1, за да получат Aduhelm с ниска доза Aduhelm висока доза или плацебо. В началото средната възраст на пациентите е била 71 години с диапазон от 50 до 85 години.
Подгрупа от 585 пациенти бяха записани в подгрупата на PET на амилоидите; От тях 374 са оценени на 78 -та седмица. Резултатите от амилоидната бета домашна PET подудията са описани на фигура 3 и таблица 8. CSF и плазмените биомаркери са описани в таблица 8.
Фигура 3: Намаляване на мозъчната амилоидна бета плака (промяна от изходното ниво в амилоидната бета PET композитен SUVR и Centiloids) в проучване 2
|
| *** p <0.001 |
Таблица 8: Резултати от биомаркерите на Aduhelm в проучване 2
| Крайна точка на биомаркера на седмица 78 1 | Aduhelm Висока доза | Плацебо |
| Амилоиден бета домашен любимец SUVR | N = 183 | N = 204 |
| Mean baseline | 1.407 | 1.376 |
| Change from baseline Difference from placebo | -0.235 -0.232 стр <0.0001 | -0.003 |
| Амилоиден бета домашен любимец centiloid | N = 183 | N = 204 |
| Mean baseline | 90.8 | 83.8 |
| Change from baseline (%) Difference from placebo | -54.0 (-59%) -53.5 p <0.0001 | -0.5 |
| CSF P-Number 181 (PG / mL) | N = 18 | N = 15 |
| Mean baseline | 121.81 | 94.53 |
| Change from baseline Difference from placebo | -13.19 -10.95 p = 0.3019 | -2.24 |
| Плазмен P-Tau 181 (PG/mL) 2 | N = 285 | N = 334 |
| Mean baseline | 3.131 | 3.180 |
| Change from baseline Difference from placebo | -0.484 -.0769 стр <0.0001 | 0.286 |
| CSF T-номер (PG / mL) | N = 16 | N = 14 |
| Mean baseline | 618.50 | 592.57 |
| Change from baseline Difference from placebo | -102.51 -69.25 p = 0,3098 | -33.26 |
| 1 P-стойностите не са статистически контролирани за множество сравнения. 2 Резултатите от анализа на плазмения P-Tau 181 трябва да се тълкуват с повишено внимание поради несигурност, свързана със стабилността на съхраняваните проби. |
Не са наблюдавани статистически значими разлики между лекуваните с Aduhelm и лекуваните с плацебо пациенти на основната крайна точка на ефикасността промяната от изходното ниво в CDR-SB резултат на 78 седмици.
Проучване 3
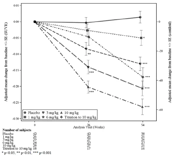
В проучване 3 197 пациенти са рандомизирани да получат фиксирана доза Aduhelm 1 mg/kg (n = 31) 3 mg/kg (n = 32) 6 mg/kg (n = 30) 10 mg/kg (n = 32) титруване на aduhelm до 10 mg/kg за 44 седмици (n = 23) или плацебо (n = 48) за 12 месеца. В началото средната възраст на пациентите е била 73 години с диапазон от 51-91 години.
Резултатите от амилоидната бета домашна поддръжка са описани на фигура 4 и таблица 9.
Фигура 4: Намаляване на мозъчната амилоидна бета плака (промяна от изходното ниво в амилоидната бета PET композитен SUVR и Centiloids) в проучване 3
|
| * p <0.05 ** p <0.01 *** p <0.001 |
Таблица 9: Резултати от биомаркерите на Aduhelm в проучване 3
| Крайна точка на биомаркера на 54 -та седмица 1 | Aduhelm 10 mg/kg | Плацебо |
| Амилоиден бета домашен любимец SUVR | N = 28 | N = 42 |
| Mean baseline | 1.432 | 1.441 |
| Change from baseline Difference from placebo | -0.263 -0.277 стр <0.0001 | 0.014 |
| Амилоиден бета домашен любимец centiloid | N = 28 | N = 42 |
| Mean baseline | 94.5 | 96.5 |
| Change from baseline (%) Difference from placebo | -58.0 (-61%) -61.1 стр <0.0001 | 3.1 |
| 1 P-стойностите не са статистически контролирани за множество сравнения. |
Клиничните оценки в проучване 3 бяха проучвателни. Резултатите за клиничните оценки бяха насочени по отношение на резултатите от проучване 1 с по-малка промяна от изходното ниво в CDR-SB и MMSE оценките на 1 година в групата Aduhelm 10 mg/kg с фиксирана доза, отколкото при пациенти на плацебо (CDR-SB: -1.26 95% CI [-2.356 -0.163]; MMSE: 1.9 95% CI [0,06 3.75];
Информация за пациента за aduhelm
Aduhelm ®
(Ad-yew-helm)
(aducanumab-avwa) инжекция за интравенозна употреба
Коя е най -важната информация, която трябва да знам за Aduhelm?
Aduhelm can cause serious side effects including:
- Амилоидни аномалии, свързани с изображения or ARIA. ARIA is a common side effect that does not usually cause any symptoms but can be serious. Най -често се разглежда като временно подуване в области на мозъка, което обикновено се разтваря с течение на времето. Някои хора също могат да имат малки петна от кървене във или на повърхността на мозъка и рядко по -големи области на кървене в мозъка могат да възникнат. Повечето хора с този тип подуване в мозъка не получават симптоми, но някои хора могат да имат симптоми като:
- главоболие
- гадене
- объркване
- трудност при ходене
- замаяност
- Визията се променя
- Припадъци
Някои хора имат генетичен рисков фактор (хомозиготни носители на аполипопротеин Е ген), който може да причини повишен риск от ария. Говорете с вашия доставчик на здравни грижи относно тестването, за да видите дали имате този рисков фактор.
Някои лекарства могат да увеличат риска от по -големи области на кървене в мозъка при пациенти, приемащи aduhelm. Говорете с вашия доставчик на здравни грижи, за да видите дали сте на лекарства, които увеличават този риск.
Вашият доставчик на здравни грижи ще направи сканиране на магнитни резонансни изображения (MRI) преди и по време на лечението ви с Aduhelm, за да ви провери за ARIA.
Обадете се на вашия доставчик на здравни услуги или отидете веднага в най -близката болнична спешна помощ, ако имате изброени по -горе симптоми.
Какво е Aduhelm?
Aduhelm is a prescription medicine used to treat people with Alzheimer’s disease.
Не е известно дали Aduhelm е безопасен и ефективен при децата.
Преди да получите Aduhelm, кажете на вашия доставчик на здравни грижи за всички ваши медицински състояния, включително ако вие:
- са бременни или планират да забременеят. Не е известно дали Aduhelm ще навреди на вашето неродено бебе. Кажете на вашия доставчик на здравни грижи, ако забременеете по време на лечението си с Aduhelm.
- са кърмещи или планират да кърмят. Не е известно дали aducanumab-avwa (активната съставка в aduhelm) преминава в кърмата ви. Говорете с вашия доставчик на здравни грижи за най -добрия начин да нахраните бебето си, докато получавате Aduhelm.
Кажете на вашия доставчик на здравни грижи за всички лекарства, които приемате включително лекарства с рецепта и прекомерно текущи витамини и билкови добавки.
Особено кажете на вашия доставчик на здравни грижи, ако приемате лекарства за намаляване на кръвните съсиреци от образуване (антитромботични лекарства, включително аспирин). Попитайте вашия доставчик на здравни услуги за списък на тези лекарства, ако не сте сигурни.
Познайте лекарствата, които приемате. Поддържайте списък с тях, за да покажете на вашия доставчик на здравни услуги и фармацевти, когато получите ново лекарство.
Как ще получа aduhelm?
- Aduhelm is given through a needle placed in your vein (intravenous (IV) infusion) in your arm.
- Aduhelm is given every 4 weeks. Each infusion will last about 1 hour.
Какви са възможните странични ефекти на Aduhelm?
Aduhelm can cause serious side effects including:
- Вижте по -горе Коя е най -важната информация, която трябва да знам за Aduhelm?
- Сериозни алергични реакции. Подуването на устните на лицето Устата или езика и кошерите са се случили по време на инфузия на Aduhelm. Кажете на вашия доставчик на здравни грижи, ако имате някой от симптомите на сериозна алергична реакция по време или след инфузия на Aduhelm.
Най -често срещаните странични ефекти на Aduhelm включват:
- Подуване в области на мозъка със или без малки петна от кървене в или върху повърхността на мозъка (ария)
- главоболие
- падане
Това не са всички възможни странични ефекти на Aduhelm. За повече информация попитайте вашия доставчик на здравни грижи или фармацевт.
Обадете се на Вашия лекар за медицински съвети относно страничните ефекти. Можете да отчитате странични ефекти на FDA на 1-800-FDA-1088.
Обща информация за безопасното и ефективно използване на Aduhelm.
Гарчиния Камбогия наистина работи
Лекарствата понякога се предписват за цели, различни от тези, изброени в това ръководство за лекарства. Можете да попитате вашия фармацевт или доставчик на здравни грижи за повече информация за Aduhelm, която е написана за здравни специалисти.
Има регистър, който събира информация за лечението на болестта на Алцхаймер. Регистърът е наречен ALZ-NET (мрежата на Алцхаймер за лечение и диагностика). Вашият доставчик на здравни услуги може да ви помогне да се записате в този регистър.
За повече информация отидете на www.aduhelm.com или се обадете на 1-833-425-9360.
Какви са съставките в Aduhelm?
Активна съставка: Ringanumab-Avwa
Неактивни съставки: L-аргинин хидрохлорид L-хистидин L-хистидин хидрохлорид монохидрат Lmethionine Polysorbate 80 и вода за инжектиране
Това ръководство за лекарства е одобрено от американската администрация по храните и лекарствата.