Информацията В Сайта Не Е Медицински Съвет. Ние Не Продаваме Нищо. Точността На Превода Не Е Гарантирана. Отказ От Отговорност
Кортикостероиди, актуални
Че
Резюме на наркотиците
Какво е Desowen?
Desowen (Desonide) е локален (за кожата) стероид, използван за лечение на възпалението и сърбежа, причинени от редица кожни състояния, като алергични реакции, екзема и псориазис. Desowen се предлага в родова форма.
Какви са страничните ефекти на Desowen?
Често срещаните странични ефекти на Desowen включват изгаряне на ужилването на сърбеж на дразнене на сухо или зачервяване, когато Desowen се прилага за първи път върху кожата. Тези странични ефекти трябва да изчезнат след няколко дни, тъй като тялото ви се приспособи към Desowen. Други странични ефекти на Desowen включват:
- люспеста кожа
- Изтъняване или омекотяване на кожата ви
- Кожен обрив или дразнене около устата ви
- подути космени фоликули
- Промени в цвета на третираната кожа
- мехури
- пъпки
- корупка на лекувана кожа или
- Стритчиви.
Кажете на Вашия лекар, ако имате признаци на поглъщане на Desowen през кожата си, включително:
- замъглено зрение или виждане на ореоли около светлините
- промени в настроението
- Проблеми със съня (безсъние)
- наддаване на тегло
- подпухнало в лицето ви
- мускулна слабост или
- Чувствам се уморен.
Потърсете медицинска помощ или се обадете на 911 наведнъж, ако имате следните сериозни странични ефекти:
- Сериозни симптоми на очите, като например внезапна загуба на зрение, замъглено зрение Тунел Виждане болка в очите или подуване или виждане на ореоли около светлините;
- Сериозни сърдечни симптоми като бързи нередовни или ударни сърдечни удари; трептене в гърдите ви; задух; и внезапна замаяност лекомисленост или раздаване;
- Тежка главоболие объркване затънала речева ръка или крак слабост проблем за ходене на загуба на координация, чувствайки се нестабилни много твърди мускули висока треска обилно изпотяване или тремор.
Този документ не съдържа всички възможни странични ефекти, а други могат да възникнат. Консултирайте се с вашия лекар за допълнителна информация за страничните ефекти.
Дозировка за Desowen
Desowen Cream Mointment или лосион трябва да се прилага към засегнатите зони като тънък филм два или три пъти дневно в зависимост от тежестта на състоянието. Разклатете лосион добре преди да използвате.
Какви лекарства вещества или добавки взаимодействат с Desowen?
Не е вероятно други лекарства, които приемате перорално или инжектиране, да окажат влияние върху локалното приложено Desowen. Но много лекарства могат да си взаимодействат помежду си. Кажете на Вашия лекар за всичките ви лекарства и добавки без рецепта, които приемате. Не стартирайте ново лекарство, без да казвате на Вашия лекар.
Desowen по време на бременност и кърмене
Desowen трябва да се използва само когато е предписано по време на бременност. Не е известно дали това лекарство преминава в кърма, когато се прилага върху кожата. Подобни лекарства преминават в кърма, когато се приемат през устата. Консултирайте се с Вашия лекар преди кърмене.
Допълнителна информация
Нашата марка DeSowen (Desonide) Странични ефекти в лекарствата предоставя изчерпателен поглед върху наличната информация за лекарството върху потенциалните странични ефекти при приемането на това лекарство.
Информация за наркотиците на FDA
- Описание на лекарството
- Показания
- Странични ефекти
- Предупреждения
- Предозиране
- Клинична фармакология
- Ръководство за лекарства
Описание за Desowen
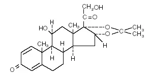
DesOwen® (desonide cream ointment and lotion) Cream 0.05% Ointment 0.05% and Lotion 0.05% contain desonide (Pregna-14-diene-320-dione1121-dihydroxy- 1617-[(1-methylethylidene)bis(oxy)]-(11 β 16 α )- a synthetic nonfluorinated corticosteroid for topical dermatologic use. The corticosteroids constitute a class of primarily synthetic steroids used topically as antiinflammatory and anti-pruritic agents.
Химически дезонидът е c 24 H 32 O 6 . Той има следната структурна формула:
какъв вид лекарство е лозартан
|
Desonide има молекулното тегло 416.51. Това е бял до бял прах без миризма, който е разтворим в метанол и практически неразтворим във вода.
Всеки грам крем Desowen® (Desonide Cream Mointment и лосион) съдържа 0,5 mg дезонид в основа от емулгираща восъчна киселина на лимонена киселина восък изопропил палмитат полисорбат 60 калиев сорбат пропил галат пропилен гликол пречистена вода натриев хидроксид сорбинова киселина и синтетична бус.
Всеки грам Desowen® (Desonide Cream Mointment и лосион) мехлем съдържа 0,5 mg дезонид в основа на минерално масло и полиетилен.
Всеки грам DeSowen® (Desonide Cream Mointment и лосион) лосион съдържа 0,5 mg дезонид в основа на цетил алкохол Edetate сотриев глицерил Stearate SE светло минерално масло метилпарабен пропилен гликол пропилпарабен пречистен натриев лаурил солфат сорбитен моностеарен и стеарен алкохол. Може да съдържа лимонена киселина и/или натриев хидроксид за регулиране на рН.
Използване за Desowen
Че ® Кремът и лосионът са кортикостероиди с ниска до средна потентност, посочени за облекчаване на възпалителните и сърбежните прояви на дерматози, реагиращи на кортикостероиди.
Дозировка за Desowen
Че ® Кремът или лосионът трябва да се прилагат върху засегнатите области като тънък филм два или три пъти дневно в зависимост от тежестта на състоянието. Разклатете лосион добре преди да използвате.
Както при други кортикостероиди терапията трябва да бъде прекратена при постигане на контрол. Ако може да се наблюдава подобрение в рамките на 2 седмици, може да се наложи преоценка на диагнозата.
Че ® Кремът и лосионът не трябва да се използват с оклузивни превръзки.
Колко се доставя
Че ® (Desonide Cream) Крем 0,05% се доставя в епруветка, съдържаща:
60 g NDC 0299-5770-60
15 g NDC 0299-5770-15
Че ® (Desonide лосион) Лосион 0,05% се доставя в бутилки, съдържащи:
2 fl oz NDC 0299-5765-02
4 fl oz NDC 0299-5765-04
Условия за съхранение
Съхранявайте между 2 ° и 30 ° C (36 ° и 86 ° F).
Пазано от: Galderma Laboratories L. P. Fort Worth Texas 76177 USA. Ревизиран: април 2017 г.
Странични ефекти за Desowen
При контролирани клинични изпитвания общата честота на нежеланите реакции, свързани с използването на дезонид, е приблизително 8%. Това бяха: ужилването и изгарянето на приблизително 3% Дерматит Контакт в влошено пилинг на кожната сърбеж интензивен преходен еритем и сухота/мащавност, всеки по -малко от 2%.
Следните допълнителни локални нежелани реакции са съобщени рядко с други локални кортикостероиди и те могат да се появяват по -често с използването на оклузивни превръзки, особено с кортикостероиди с по -висока потентност. Тези реакции са изброени в приблизително намаляващ ред на появата: фоликулит акнеформените изригвания хипопигментация перирален дерматит вторична инфекция с атрофия атрофия и милиария.
Лекарствени взаимодействия за Desowen
Не е предоставена информация
Предупреждения за Desowen
Не е предоставена информация
Предпазни мерки за Desowen
Общи
Системната абсорбция на локални кортикостероиди може да доведе до обратимо хипоталамо-хипофиза-надбъбречна (HPA) потискане на оста с потенциал за глюкокортикостероидна недостатъчност след оттегляне на лечението. Прояви на хипергликемия на синдрома на Кушинг и глюкозурия също могат да бъдат произведени при някои пациенти чрез системна абсорбция на локални кортикостероиди по време на лечение.
Пациентите, прилагащи локален стероид върху голяма повърхност или върху райони, които се оклузират, трябва да се оценяват периодично за доказателства за потискане на оста на HPA. Това може да стане чрез използване на ACTH стимулация A.M. Плазмен кортизол и тестове за кортизол без урина. Пациентите, получаващи суперпотентни кортикостероиди, не трябва да се лекуват повече от 2 седмици наведнъж и само малки области трябва да се лекуват по всяко време поради повишения риск от потискане на оста на HPA.
Дали flexeril причинява синдрома на неспокойния крак
Ако се отбележи потискането на оста на HPA, трябва да се направи опит за изтегляне на лекарството, за да се намали честотата на приложение или да се замени по -малко мощен кортикостероид. Възстановяването на функцията на оста на HPA обикновено е бързо и завършено при прекратяване на локалните кортикостероиди. Рядко признаци и симптоми на глюкокортикостероидна недостатъчност могат да възникнат, изискващи допълнителни системни кортикостероиди. За информация относно системната добавка вижте предписването на информация за тези продукти.
Педиатричните пациенти могат да бъдат по -податливи на системна токсичност от еквивалентни дози поради по -големите им съотношения на повърхността на кожата към телесната маса. (Вижте ПРЕДПАЗНИ МЕРКИ - Педиатрична употреба ).
Ако дразненето се развие Desowen ® Кремът или лосионът трябва да бъдат прекратени и да се въведе подходяща терапия. Алергичен контактен дерматит с кортикостероиди обикновено се диагностицира чрез наблюдение неуспех да се излекува Вместо да се отбележи клинично обостряне, както при повечето актуални продукти, които не съдържат кортикостероиди. Подобно наблюдение трябва да се потвърждава с подходящо диагностично тестване на пластира.
Ако трябва да се използват съпътстващи кожни инфекции или да развият подходящ противогъбичен или антибактериален агент. Ако благоприятен отговор не се появи незабавно, използвайте Desowen ® (Дезониден крем и лосион) Кремът или лосионът трябва да бъдат прекратени, докато инфекцията не бъде адекватно контролирана.
Лабораторни тестове
Следните тестове могат да бъдат полезни при оценката на пациентите за потискане на осите на HPA:
Тест за стимулиране на ACTH
A.M. Тест за плазмен кортизол
Тест за кортизол без урина
Какво е Phenergan, използван за лечение на
Канцерогенеза мутагенеза Нарушаване на плодовитостта
Дългосрочни проучвания върху животни не са проведени за оценка на канцерогенния потенциал или ефекта върху репродукцията с използването на Desowen ® Крем и лосион.
Бременност
Тератогенни ефекти
Бременност category C
Показано е, че кортикостероидите са тератогенни при лабораторни животни, когато се прилагат систематично при сравнително ниски нива на доза. Доказано е, че някои кортикостероиди са тератогенни след дермално приложение при лабораторни животни. Изследванията за възпроизвеждане на животни не са проведени с Desowen ® Крем или лосион. Също така не е известно дали Desowen ® Кремът или лосионът могат да причинят вреда на плода, когато се прилагат на бременна жена или могат да повлияят на капацитета за възпроизвеждане. Desowen ® Кремът и лосионът трябва да се дават на бременна жена, само ако е ясно необходимо.
Кърмещи майки
Систематично прилаганите кортикостероиди се появяват в човешкото мляко и могат да потиснат растежа, пречи на производството на ендогенно кортикостероиди или да причини други нежелани ефекти. Не е известно дали локалното приложение на кортикостероидите може да доведе до достатъчно системна абсорбция за получаване на откриваеми количества в човешкото мляко. Тъй като много лекарства се отделят в предпазливостта на човешкото мляко, трябва ® Кремът или лосионът се прилага на медицинска сестра.
Педиатрична употреба
Безопасността и ефективността при педиатрични пациенти не са установени. Поради по -високо съотношение на повърхността на кожата към педиатричните пациенти с телесна маса са изложени на по -голям риск от възрастните от потискане на оста на HPA, когато се лекуват с локални кортикостероиди. Следователно те също са изложени на по -голям риск от глюкокортикостероидна недостатъчност след оттегляне на лечението и синдрома на Кушинг по време на лечение. Съобщава се за неблагоприятни ефекти, включително STRIAE при неподходяща употреба на локални кортикостероиди при кърмачета и деца.
Синдромът на HPA оси потискане на синдрома на линейния растеж Забавяне на забавяне на теглото и вътречерепната хипертония са съобщени при деца, получаващи локални кортикостероиди. Проявите на потискането на надбъбречните надбъбреци при деца включват ниски нива на кортизол на плазмения кортизол и липса на реакция на стимулация на ACTH. Проявите на вътречерепната хипертония включват изпъкнало главоболие на фонтанели и двустранна папилема.
Информация за предозиране за Desowen
Локално приложен Desowen ® (Дезониден крем и лосион) Кремът и лосионът могат да се абсорбират в достатъчно количества, за да се получат системни ефекти (виж ПРЕДПАЗНИ МЕРКИ ).
Противопоказания за Desowen
Че ® Кремът и лосионът са противопоказани при тези пациенти с анамнеза за свръхчувствителност към някой от компонентите на препаратите.
Клинична фармакология for Че
Подобно на други локални кортикостероиди, десонидът има противовъзпалителни антитружни и вазоконстриктивни свойства. Механизмът на противовъзпалителната активност на локалните стероиди като цяло е неясен. Въпреки това се смята, че кортикостероидите действат чрез индуциране на фосфолипаза a 2 Инхибиторните протеини, наречени липокортини. Постулира се, че тези протеини контролират биосинтезата на мощните медиатори на възпалението като простагландини и левкотриени, като инхибират освобождаването на техния общ прекурсор арахидонова киселина. Арахидоновата киселина се освобождава от мембранната фосфолипиди чрез фосфолипаза А 2 .
Фармакокинетика
Степента на перкутанна абсорбция на локални кортикостероиди се определя от много фактори, включително превозното средство и целостта на епидермалната бариера. Оклузивните превръзки с хидрокортизон до 24 часа не са доказани, че увеличават проникването; Въпреки това оклузията на хидрокортизон за 96 часа значително повишава проникването. Локалните кортикостероиди могат да бъдат абсорбирани от нормалната непокътната кожа. Възпалението и/или други болестни процеси в кожата могат да увеличат перкутанната абсорбция.
Проучвания, извършвани с Desowen ® (Дезониден крем и лосион) Кремът и лосионът показват, че те са в нисък до среден диапазон на потентност в сравнение с други локални кортикостероиди.
Информация за пациента за Desowen
Пациентите, които използват локални кортикостероиди, трябва да получават следната информация и инструкции:
- Това лекарство трябва да се използва според указанията на лекаря. Той е само за външна употреба. Избягвайте контакт с очите.
- Това лекарство не трябва да се използва за някакво разстройство, различно от това, за което е предписано.
- Лекуваната зона на кожата не трябва да се превръща или обхваща по друг начин или обвита, така че да бъде оклузивна, освен ако не е указано от лекаря.
- Пациентите трябва да докладват на своя лекар всякакви признаци на локални нежелани реакции.