Информацията В Сайта Не Е Медицински Съвет. Ние Не Продаваме Нищо. Точността На Превода Не Е Гарантирана. Отказ От Отговорност



Istalol

Резюме на наркотиците

Какво е Исталол?

Исталол (тимолол малеат) Офталмологичен разтвор 0,5% е бета-блокер, използван за лечение на глаукома с отворен ъгъл и други причини за високо налягане вътре в окото.

Какви са страничните ефекти на Исталол?

Istalol



  • кошери
  • затруднено дишане
  • Подуване на лицето ви устни Език или гърло
  • хрипове
  • Болки в гърдите
  • Бавни сърдечни удари
  • Лекоглавия
  • мускулна слабост
  • депресирано настроение
  • объркване
  • халюцинации
  • необичайни мисли или поведение
  • изтръпване или студено усещане в ръцете и краката ви
  • тежко ужилване или изгаряне след използване на капки за очи
  • Оток на очите
  • зачервяване на окото
  • тежък дискомфорт
  • корупка или дренаж на окото
  • замъглено зрение
  • Тунелно зрение
  • болка в очите и
  • Виждайки ореоли около светлините

Получете медицинска помощ веднага, ако имате изброени по -горе симптоми.



Общите странични ефекти на Исталол включват:

  • замъглено зрение
  • Двойно зрение
  • увиснали клепачи
  • изгаряне или ужилване в окото ви
  • сърбящи очи
  • главоболие
  • слабост
  • сънливост
  • изтръпване
  • изтръпване или студено усещане в ръцете или краката ви
  • звънене в ушите ви
  • сухота в устата
  • гадене
  • диария
  • загуба на апетит
  • разстроен стомах
  • Кожен обрив или влошаване на псориазис
  • Проблеми със съня (безсъние)
  • кашлица
  • задушен нос или
  • Повишена чувствителност на очите към светлината

Потърсете медицинска помощ или се обадете на 911 наведнъж, ако имате следните сериозни странични ефекти:



  • Сериозни симптоми на очите, като например внезапна загуба на зрение, замъглено зрение Тунел Виждане болка в очите или подуване или виждане на ореоли около светлините;
  • Сериозни сърдечни симптоми като бързи нередовни или ударни сърдечни удари; трептене в гърдите ви; задух; и внезапна замаяност лекомисленост или раздаване;
  • Тежка главоболие объркване затънала речева ръка или крак слабост проблем за ходене на загуба на координация, чувствайки се нестабилни много твърди мускули висока треска обилно изпотяване или тремор.

Този документ не съдържа всички възможни странични ефекти, а други могат да възникнат. Консултирайте се с вашия лекар за допълнителна информация за страничните ефекти.

Dosage for Istalol

Началната доза е един спад от 0. 5 процента исталол офталмологичен разтвор в засегнатото око (и) веднъж на ден сутрин.

Какви лекарства вещества или добавки взаимодействат с Исталол?

Istalol може да взаимодейства с клонидин quinidine reserpine digitalis ацетазоламид Дихлорфенамид метазоламид перорален тимолол Други бета-блокери блокери на калциеви канали или антидепресанти. Кажете на Вашия лекар всички лекарства и добавки, които използвате.

Исталол по време на бременност или кърмене

По време на бременност Исталол трябва да се използва само ако е предписано. Кажете на Вашия лекар, ако сте бременна или планирате да забременеете по време на лечението. Исталол преминава в кърма и може да навреди на кърмещото бебе. Консултирайте се с Вашия лекар преди кърмене.

Допълнителна информация

Нашият Istalol (Timolol Maleate) Офталмологичен разтвор 0. 5% Странични ефекти Центърът за лекарства предоставя цялостен поглед върху наличната информация за лекарството върху потенциалните странични ефекти при приемането на това лекарство.

Информация за наркотиците на FDA

Описание за Исталол

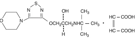
ISTALOL® (тимолол малеат офталмологичен разтвор) 0,5% е неселективен бета-адренергичен блокиращ рецептор. Химическото му име е (-)-1- ( Терт -Butylamino) -3- [(4-morpholino125-thiadiazol-3-ил) окси] -2-пропанол малеат (1: 1) (сол). Тимолол малеат притежава асиметричен въглероден атом в своята структура и се осигурява като лево-изомер.

Молекулната му формула е c 13 H 24 N 4 O 3 S-C 4 H 4 O 4 И структурната му формула е:

Тимолол малеат има молекулно тегло 432.49. Това е бял кристален прах без миризма, който е разтворим във вода метанол и алкохол. Istalol® е стабилен при стайна температура. Istalol® офталмологичен разтвор се доставя като стерилен изотонен буфериран воден разтвор на тимолол малеат в една якост. Той има рН 6,5-7,5 и осмолалност от 275-330 mosm/kg.

Всеки ml istalol® съдържа активната съставка 5 mg тимолол (NULL,8 mg тимолол малеат) с неактивните съставки бензалкониев хлорид (NULL,05 mg/ml) монобичен натриев фосфат монохидрат калий сорбат 0,47% натриев хлорд натриев хидроксид.

какъв вид лекарство е ritalin

Използване за istalol

Istalol® (тимолол малеатен офталмологичен разтвор) 0,5% е неселективен бета-адренергичен блокиращ рецептор, посочен при лечение на повишено вътреочно налягане при пациенти с очна хипертония или отворен ъгъл глаукома .

Dosage for Istalol

Една капка istalol 0,5% трябва да се прилага в засегнатото око (и) веднъж на ден в AM.

Колко се доставя

Дозирани форми и силни страни

Локален офталмологичен разтвор, съдържащ 5 mg/ml тимолол (NULL,8 mg/ml тимолол малеат).

Съхранение и обработка

ISTALOL (Тимолол малеат офталмологичен разтвор) 0,5% се доставя в бели LDPE бутилки с 15 mm pp жълти капачки и 15 mm LLDPE бели съвети за капкомер, както следва:

NDC 24208-004-03 5 ml в 10 ml контейнер
NDC 24208-004-01 2,5 ml в контейнер 7,5 ml

Съхранение

Съхранявайте при 15 ° C до 25 ° C (59 ° F до 77 ° F).

Разпространено от: Бауш

Странични ефекти for Istalol

Опит с клинични изпитвания

Тъй като клиничните изпитвания се провеждат при широко различни състояния, нежелани реакционни проценти, наблюдавани при клиничните изпитвания на лекарство, не могат да бъдат пряко сравнени със проценти в клиничните изпитвания на друго лекарство и може да не отразяват процентите, наблюдавани на практика.

Най -често съобщаваните нежелани реакции са изгаряли и ужилват при инстилация при 38% от пациентите, лекувани с Исталол. Допълнителни реакции, отчетени с исталол с честота от 4 до 10%, включват: замъглено виждане катаракта конюнктивално инжектиране на главоболие Сърдиране на инфекция на хипертония и намалена зрителна острота.

Следните допълнителни нежелани реакции се съобщават по -рядко с очно прилагане на този или други форми на тимолол малеат.

Тимолол (Очна администрация)

Тяло като цяло: Астения/умора и болка в гърдите; Сърдечно -съдов: Брейдикардия Аритмия Хипотония синкоп сърдечен блок мозъчен съдова катастрофа Церебрална исхемия Сърдечна недостатъчност Влошаване на ангина Пикторис Палпиране Сърдечно спиране Белодробен оток Оток Клаудикация на феномена на Рейно и студени ръце; Храносмилане: Гадене диария диспепсия анорексия и сухота в устата; Имунологичен: Системен лупус еритематозус; Нервна система/психиатрична: Замаяност Увеличаване на признаците и симптомите на миастения гравис парестезия Сомноленство безсъние кошмари Промени в поведението и психически смущения, включително депресия объркване халюцинации Дезориентация на нервност и загуба на памет; Кожа: Алопеция и псориазиформен обрив или обостряне на псориазис; Свръхчувствителност: Признаци и симптоми на системни алергични реакции, включително ангиоедем уртикария и локализиран и генерализиран обрив; Дихателни: Бронхоспазъм (предимно при пациенти с съществуващо бронхоспастично заболяване) дихателна недостатъчност диспнея назална кашлица и инфекции на горните дихателни пътища; Ендокрин: Маскирани симптоми на Хипогликемия при пациенти с диабет [виж Предупреждения и предпазни мерки ]; Специални сетива: Признаци и симптоми на очно дразнене, включително конюнктивит блефарит кератит очна болка изхвърляне на болка (напр. Круст), сърбеж на чуждо тяло, сърбеж и разкъсване и сухи очи; Птозата намалява чувствителността към роговицата; цистоиден макулен оток; визуални смущения, включително промени в пречупване и диплопия; псевдопемфигоид; хороидален отряд след операция на филтрация [виж Предупреждения и предпазни мерки ]; Урогенитален: Ретроперитонеална фиброза намалява либидото импотентност и болестта на Пейрони.

Опит за постмаркетиране

Орални тимолол/перорални бета-блокери

Следните допълнителни неблагоприятни ефекти са докладвани при клиничен опит с орален тимолол малеат или други устни бета блокиращи агенти и могат да се считат за потенциални ефекти на офталмологичния тимолол малеат: Алергични: Еритематозна обривска треска, комбинирана с болки и възпалено гърло ларингоспазъм с респираторен дистрес; Тяло като цяло: Болката на крайниците намалява загубата на тегло от тегло; Сърдечно -съдов: Влошаване на вазодилатацията на артериалната недостатъчност; Храносмилане: Стомашно -чревна болка хепатомегалия повръща мезентериална артериална тромбоза исхемична колит; Хематологичен: Нетромбоцитопенична пурпура; тромбоцитопенична пурпура агранулоцитоза; Ендокрин: Хипергликемия хипогликемия; Кожа: Перрит дразнене на кожата Повишено изпотяване на пигментацията; Musculeskeletal: Артралгия; Нервна система/психиатрична: Локалната слабост на световъртеж намалява концентрацията, обратима психична депресия, прогресираща към кататония, остър обратим синдром, характеризиращ се с дезориентация за време и поставете емоционална личност леко замъглена сензориума и намалена ефективност на невропсихометрията; Дихателни: Bronchial запушване на Rales; Урогенитален: Затруднения в уринирането.

Лекарствени взаимодействия for Istalol

Бета-адренергични блокиращи агенти

Пациентите, които получават бета-адренергичен блокиращ агент орално и исталол, трябва да се наблюдават за потенциални адитивни ефекти на бета-блокада както системно, така и върху вътреочно налягане. Не се препоръчва едновременното използване на две локални бета-адренергични блокиращи агента.

Калциеви антагонисти

Трябва да се използва предпазливост при съвместно администриране на бета-адренергични блокиращи агенти като исталол и орален или интравенозен калциев антагонисти поради възможни атриовентрикуларни нарушения на проводимостта на лявата камера и хипотония. При пациенти с нарушена сърдечна функция трябва да се избягва.

Лекарства, изчерпващи катехоламин

Препоръчва се внимателно наблюдение на пациента, когато бета-блокер се прилага на пациенти, които получават катехоламин -Покуращи лекарства като Reserpine поради възможни адитивни ефекти и производство на хипотония и/или маркирана брадикардия, които могат да доведат до синкоп на световъртеж или постурална хипотония.

Дигиталиси и калциеви антагонисти

Едновременното използване на бета-адренергични блокиращи агенти с дигиталис и антагонисти на калций може да има адитивни ефекти при удължаване на атриовентрикуларното време на проводимост.

CYP2D6 инхибитори

По време на комбинирано лечение с CYP2D6 инхибитори (например хинидин) и тимолол се съобщава за потенциран бета-блокада (напр. Инхибитори на намалена сърдечна честота) и тимолол.

Клонидин

Устните бета-адренергични блокиращи агенти могат да изострят хипертонията на отскока, която може да последва оттеглянето на клонидин. Няма съобщения за обостряне на хипертония на отскок с офталмологичен тимолол малеат.

Предупреждения за Исталол

Включени като част от ПРЕДПАЗНИ МЕРКИ раздел.

Предпазни мерки за Исталол

Потенциониране на респираторните реакции, включително астма

ISTALOL contains timolol maleate; and although administered topically it can be absorbed systemically. Therefore the same adverse reactions found with systemic administration of beta-adrenergic blocking agents may occur with topical administration. For example severe respiratory reactions and cardiac reactions including death due to bronchospasm in patients with asthma and rarely death in association with cardiac failure have been reported following systemic or ophthalmic administration of timolol maleate [see Противопоказания ].

Сърдечна недостатъчност

Симпатичната стимулация може да бъде от съществено значение за подкрепата на циркулацията при индивиди с намалена контрактилност на миокарда и неговото инхибиране на бета-адренергичната рецепторна блокада може да ускори по-тежка недостатъчност.

При пациенти без анамнеза за сърдечна недостатъчност продължителната депресия на миокарда с бета блокиращи агенти за определен период от време в някои случаи може да доведе до сърдечна недостатъчност. При първия знак или симптом на сърдечна недостатъчност Исталол трябва да бъде прекратен [виж Противопоказания ].

Обструктивна белодробна болест

Пациентите с хронична обструктивна белодробна болест (напр. Хроничен бронхит емфизем) на лека или умерена тежест Бронхоспастична болест или анамнеза за бронхоспастична болест [освен бронхиална астма или анамнеза за бронхиална астма, в която Исталол е противопоказано] трябва да не получават обща не-блокиращи агенти, включително исталол Противопоказания ].

Повишена реактивност към алергените

Докато приемането на пациенти с бета-блокери с анамнеза за атопия или анамнеза за тежки анафилактични реакции към различни алергени може да бъде по-реактивен на многократно случайно диагностично или терапевтично предизвикателство с такива алергени. Такива пациенти могат да не реагират на обичайните дози епинефрин, използвани за лечение на анафилактични реакции.

Генитално лечение на херпес на тезгяха

Потенциониране на мускулната слабост

Съобщава се, че бета-адренергичната блокада засилва мускулната слабост, съответстваща на определени миастенични симптоми (например диплопия птоза и генерализирана слабост). Съобщава се, че тимолол рядко увеличава мускулната слабост при някои пациенти с миастения гравис или миастенични симптоми.

най-добрият квартал за отсядане в Прага

Маскиране на хипогликемични симптоми при пациенти със захарен диабет

Бета-адренергичните блокиращи агенти трябва да се прилагат с повишено внимание при пациенти, подложени на спонтанна хипогликемия или на пациенти с диабет (особено тези с лабилен диабет), които получават инсулин или орални хипогликемични средства. Бето-адренергичните блокиращи рецептори могат да маскират признаците и симптомите на остра хипогликемия.

Маскиране на тиреотоксикоза

Бета-адренергичните блокиращи агенти могат да маскират определени клинични признаци (например тахикардия) на хипертиреоидизъм. Пациентите, заподозрени в развитие на тиреотоксикоза, трябва да се управляват внимателно, за да се избегне рязко изтегляне на бета-адренергични блокиращи средства, които могат да ускорят бурята на щитовидната жлеза.

Замърсяване на локални офталмологични продукти след употреба

Има съобщения за бактериален кератит, свързан с използването на мултидозни контейнери с локални офталмологични продукти. Тези контейнери са били по невнимание замърсени от пациенти, които в повечето случаи са имали едновременна роговична болест или прекъсване на очната епителна повърхност [виж Информация за консултирането на пациентите ].

Увреждане на бета-адренергично медиираните рефлекси по време на операция

Необходимостта или желанието на оттеглянето на бета-адренергичните блокиращи агенти преди голяма операция е противоречива. Блокадата на бета-адренергичните рецептори нарушава способността на сърцето да реагира на бета-адренергично медиирани рефлекторни стимули. Това може да увеличи риска от обща анестезия при хирургични процедури. Някои пациенти, получаващи бета-адренергични блокиращи рецептори, са имали продължителна тежка хипотония по време на анестезия. Съобщава се и за трудност при рестартиране и поддържане на сърдечния ритъм. Поради тези причини при пациенти, подложени на избирателна хирургия, някои органи препоръчват постепенно оттегляне на бета-адренергични рецептори блокиращи средства. Ако е необходимо по време на операцията, ефектите на бета-адренергичните блокиращи средства могат да бъдат обърнати от достатъчни дози адренергични агонисти.

Глаукома за затваряне на ъгъл

При пациенти с глаукома за затваряне на ъгъла непосредствената цел на лечението е да се отвори отново ъгъла. Това може да изисква свиване на ученика. Тимолол малеат има малък или никакъв ефект върху ученика. Исталолът не трябва да се използва самостоятелно при лечение на глаукома на ъгъл-затваряне.

Цереброваскуларна недостатъчност

Поради потенциалните ефекти на бета-адренергичните блокиращи средства върху кръвното налягане и пулса тези средства трябва да се използват с повишено внимание при пациенти с мозъчно-съдова недостатъчност. Ако признаците или симптомите, предполагащи намален мозъчен кръвен поток, се развиват след започване на терапия с алтернативна терапия на Исталол.

Хороидален отряд

Съобщава се за хороидално отделяне след процедури за филтриране с прилагането на водна терапия с потискане (например тимолол).

Неклинична токсикология

Канцерогенеза мутагенеза Нарушаване на плодовитостта

В двугодишно проучване на тимолол малеат, прилаган перорално на плъхове, се наблюдава статистически значимо увеличение на честотата на надбъбречните феохромоцитоми при мъжки плъхове, прилагани от 300 mg/kg/ден (приблизително 42000 пъти по-голяма от системната експозиция след максимално препоръчаната човешка офталмична доза). Подобни разлики не са наблюдавани при плъхове, прилагани перорални дози, еквивалентни на приблизително 14000 пъти повече от максимално препоръчителната човешка офталмологична доза.

In a lifetime oral study in mice there were statistically significant increases in the incidence of benign and malignant pulmonary tumors benign uterine polyps and mammary adenocarcinomas in female mice at 500 mg/kg/day (approximately 71000 times the systemic exposure following the maximum recommended human ophthalmic dose) but not at 5 or 50 mg/kg/day (approximately 700 or 7000 съответно пъти системната експозиция след максимална препоръчителна човешка офталмологична доза). В последващо проучване при женски мишки, при които след смъртните изследвания са били ограничени до матката и белите дробове са наблюдавани статистически значими увеличение на честотата на белодробните тумори при 500 mg/kg/ден.

Повишената поява на аденокарциноми на млечната жлеза се свързва с повишаване на серумния пролактин, възникнал при женски мишки, прилагат перорален тимолол при 500 mg/kg/ден, но не и при дози 5 или 50 mg/kg/ден. Повишена честота на аденокарциномите на млечните жлези при гризачи е свързана с прилагане на няколко други терапевтични средства, които повишават серумния пролактин, но при хората не е установена връзка между нивата на серумния пролактин и млечните тумори. Освен това при възрастни жени от жени, които са получавали орални дози до 60 mg тимолол малеат (максимално препоръчаната доза на устната устна устна), няма клинично значими промени в серумния пролактин.

Тимолол малеат е лишен от мутагенна потенциал, когато е тестван in vivo (мишка) в теста на микронуклеуса и цитогенетичен анализ (дози до 800 mg/kg) и in vitro в анализ на трансформация на неопластични клетки (до 100 mCg/mL). При тестовете на AMES най -високите концентрации на тимолол, използвани 5000 или 10000 mcg/плоча, са свързани със статистически значими повишения на реверстантите, наблюдавани с тестер щам TA100 (в седем повторени анализа), но не и в останалите три щама. В анализите с щам на тестер TA100 не се наблюдава постоянна връзка на реакцията на дозата и съотношението на тест за контрол на реверсанти не достига 2. Съотношение 2 обикновено се счита за критерий за положителен тест на AMES.

Изследванията за възпроизвеждане и плодовитост при плъхове не показват неблагоприятен ефект върху плодовитостта на мъжете или жените при дози до 21000 пъти по -голяма от системната експозиция след максималната препоръчителна човешка офталмологична доза.

Използване в конкретни популации

Бременност

Тератогенни ефекти

Проучванията за тератогенност са проведени при животни.

Тератогенни изследвания с тимолол при мишки плъхове и зайци при перорални дози до 50 mg/kg/ден (7000 пъти повече от системната експозиция след максимално препоръчаната човешка офталмологична доза) не показват данни за фетални малформации. Въпреки че при тази доза при плъхове се наблюдава забавена костификация на плода, няма неблагоприятни ефекти върху следродилното развитие на потомството. Дози от 1000 mg/kg/ден (142000 пъти по -голяма от системната експозиция след максимално препоръчителната човешка офталмологична доза) са били материални при мишки и доведоха до увеличен брой фетални резорби. Повишените резорби на плода се наблюдават и при зайци в дози от 14000 пъти по -голяма от системната експозиция след максимално препоръчителната човешка офталмологична доза в този случай без видима матеротоксичност.

Няма адекватни и добре контролирани проучвания при бременни жени. Исталол трябва да се използва по време на бременност само ако потенциалната полза оправдае потенциалния риск за плода.

Кърмещи майки

Тимолол е открит в човешко мляко след орално и офталмологично лекарство. Поради потенциала за сериозни нежелани реакции от Исталол при кърмачета за медицински сестри трябва да се вземе решение дали да се преустанови кърменето или да се прекрати лекарството, като се вземе предвид значението на лекарството за майката.

Педиатрична употреба

Безопасността и ефективността при педиатрични пациенти не са установени.

Гериатрична употреба

Не са наблюдавани общи разлики в безопасността или ефективността между възрастни и по -млади пациенти.

Информация за предозиране за Исталол

Има съобщения за невнимателно предозиране с Исталол, което води до системни ефекти, подобни на тези, наблюдавани при системни бета-адренергични блокиращи агенти, като замаяност главоболие за дишане на бронхоспазма и спирането на сърдечния замаяност.

Проучване in vitro хемодиализа, използващо 14С тимолол, добавен към човешката плазма или пълна кръв, показа, че тимололът е лесно диализиран от тези течности; Изследване на пациенти с бъбречна недостатъчност обаче показа, че тимолол не се диалира лесно.

Противопоказания за Исталол

Астма ХОБД

ISTALOL is contraindicated in patients with bronchial asthma; a history of bronchial asthma; severe chronic obstructive pulmonary disease [see Предупреждения и предпазни мерки ].

Синус Bradycardia AV блок сърдечна недостатъчност Кардиогенен шок

ISTALOL is contraindicated in patients with sinus bradycardia; second or third degree atrioventricular block; overt cardiac failure; cardiogenic shock [see Предупреждения и предпазни мерки ].

Реакции на свръхчувствителност

ISTALOL is contraindicated in patients who have exhibited a hypersensitivity reaction to any component of this product in the past.

Клинична фармакология for Istalol

Механизъм на действие

Тимолол малеат е бета1 и бета2 (неселективен) адренергичен рецептор блокиращ агент, който няма значителна вътрешна симпатомиметична директна миокарда на депресант или локална анестетична (мембранна стабилизираща) активност.

Бета-адренергичната рецепторна блокада намалява сърдечната продукция както при здрави пациенти, така и при пациенти със сърдечни заболявания. При пациенти с тежко увреждане на блокадата на миокардната функция бета-адренергичен рецептор може да инхибира стимулиращия ефект на симпатиковата нервна система, необходима за поддържане на адекватна сърдечна функция.

Бета-адренергичните рецепторни блокада в бронхи и бронхиолите водят до повишена устойчивост на дихателните пътища от непредвидена парасимпатична активност. Такъв ефект при пациенти с астма или други бронхоспастични състояния е потенциално опасен.

ISTALOL ophthalmic solution when applied topically in the eye has the action of reducing elevated as well as normal intraocular pressure whether or not accompanied by глаукома. Elevated intraocular pressure is a major risk factor in the pathogenesis of глаукомаtous visual field loss. The higher the level of intraocular pressure the greater the likelihood of глаукомаtous visual field loss and optic nerve damage.

какви милиграми правят klonopin

Появата на намаляване на вътреочното налягане след прилагане на исталол обикновено може да бъде открито в рамките на половината час след една доза. Максималният ефект обикновено възниква за един до два часа и значително понижаване на вътреочното налягане може да се поддържа за периоди, докато 24 часа с една доза. Многократните наблюдения за период от една година показват, че вътреочното налягане понижава ефектът на исталола е добре поддържан.

Точният механизъм на очното хипотензивно действие на Исталол не е ясно установен понастоящем. Изследванията на тонография и флуорофотометрия при човека предполагат, че преобладаващото му действие може да бъде свързано с намалено водно образуване. Въпреки това в някои проучвания се наблюдава и леко увеличение на съоръжението за изтичане.

Фармакокинетика

В проучване на концентрацията на плазмените лекарства при 12 здрави лица системната експозиция на тимолол се определя след два пъти дневно прилагане на исталол (преувеличен режим) в продължение на осем дни. С Istalol средните плазмени концентрации на тимолол са 0,68 ng/ml и 0,88 ng/ml два часа след първата доза и дозата съответно на осмия ден.

Клинични изследвания

В контролирано двойно маскирано паралелно проучване при 332 пациенти с нелекувани вътреочни налягания от 22 mm Hg или по-голям исталол 0,5%, прилаган веднъж дневно (AM), е еквивалентен на тимолол малеат офталмологичен разтвор 0,5%, прилаган два пъти дневно. И в двете групи означават, че вътреочното налягане намалява от 25 mm Hg при изходно ниво до 18 mm Hg при пик и 19 mm Hg при корито. Исталол обикновено се понася добре и 3% от пациентите са прекратили лечението за нежелани събития, свързани с лечението. Имаше леко намаляване на сърдечно-съдовата функция, съответстваща на известната системна абсорбция на β-адренорецепторни антагонисти.

Информация за пациента за Исталол

Пациенти с бронхиална астма История на бронхиалната астма Тежка хронична обструктивна белодробна болест Синус брадикардия Втора или трета степен Атриовентрикуларна блок или сърдечна недостатъчност трябва да се посъветва да не приема този продукт [виж [виж Противопоказания ].

Пациентите също трябва да бъдат инструктирани, че очните разтвори, ако се обработват неправилно или ако върхът на контейнера за разпределяне контактите, окото или околните структури могат да се замърсят от обикновени бактерии, за които се знае, че причиняват очни инфекции. Сериозни увреждания на окото и последваща загуба на зрение може да бъде резултат от използване на замърсени решения [виж Предупреждения и предпазни мерки ].

Пациентите също трябва да бъдат посъветвани, че ако имат очна хирургия или развият междурелствено очно състояние (например травма или инфекция), те трябва незабавно да потърсят съветите на своя лекар относно продължаващата употреба на настоящия мултидозен контейнер.

Ако се използва повече от едно локално офталмологично лекарство, лекарствата трябва да се прилагат най -малко пет минути един от друг.

Пациентите трябва да бъдат посъветвани, че Istalol съдържа бензалкониев хлорид, който може да бъде абсорбиран от меки контактни лещи.

Контактните лещи трябва да бъдат премахнати преди прилагането на решението. Обективите могат да бъдат презаведени 15 минути след прилагането на Исталол.