Информацията В Сайта Не Е Медицински Съвет. Ние Не Продаваме Нищо. Точността На Превода Не Е Гарантирана. Отказ От Отговорност
Амониеви детоксиканти
Кристалос
Резюме на наркотиците
Какво е Кристалоза?
Кристалозата (лактулоза) за перорален разтвор е синтетичен дизахарид, показан за лечение на запек.
Какви са страничните ефекти на кристалозата?
Общите странични ефекти на кристалозата включват:
- коремни спазми
- диария
- загуба на течности
- Ниски нива на калий в кръвта (хипокалиемия)
- Високи нива на натрий в кръвта (хипернатриемия)
- гадене и
- повръщане
Доза за кристалоза
Обичайната доза за възрастни на кристалоза е 10 g до 20 g лактулоза дневно. Дозата на кристалозата може да се увеличава до 40 g, ако е необходимо. За производството на нормално движение на червата може да са необходими двадесет и четири до 48 часа.
Какви лекарства вещества или добавки взаимодействат с кристалозата?
Кристалозата може да взаимодейства с антиациди. Кажете на Вашия лекар всички лекарства и добавки, които използвате.
Кристалоза по време на бременност и кърмене
Кажете на Вашия лекар, ако сте бременна или забременеете, преди да използвате Kristalose. Не е известно дали Кристалоза преминава в кърма. Консултирайте се с Вашия лекар преди кърмене.
Допълнителна информация
Нашата кристалоза (лактулоза) за странични ефекти на перорални разтвори предоставя изчерпателен поглед върху наличната информация за лекарството върху потенциалните странични ефекти при приемането на това лекарство.
Информация за наркотиците на FDA
- Описание на лекарството
- Показания
- Странични ефекти
- Предупреждения
- Предозиране
- Клинична фармакология
- Ръководство за лекарства
Описание за Кристалоза
Kristalose® (лактулоза) е синтетичен дизахарид под формата на кристали за възстановяване преди използване за орално приложение. Всяка 10 g лактулоза съдържа по -малко от 0,3 g галактоза и лактоза като обща сума. Диапазонът на pH е от 3,0 до 7,0.
Лактулозата е колонична подвеност, която насърчава лаксацията.
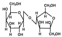
Химическото наименование за лактулоза е 4-0- (3-d-галактопиранозил-D-фруктофураноза. Той има следната структурна формула:
За какво се използва лекарствата за кефлекс
|
Молекулярната формула е c 12 H 22 0 11 . Молекулното тегло е 342.30. Той е свободно разтворим във вода.
Употреби за кристалоза
Kristalose® (лактулоза) за перорален разтвор е показано за лечение на запек. При пациенти с анамнеза за хроничен запек лактулозна терапия увеличава броя на движенията на червата на ден и броя на дните, в които се появяват движения на червата.
Доза за кристалоза
Обичайната доза за възрастни е 10 g до 20 g лактулоза дневно. Дозата може да се увеличава до 40 g, ако е необходимо. Може да се наложи двадесет и четири до 48 часа, за да се получи движение на нормално състояние.
За какво се използва atorvastatin?
Упътвания за подготовка
Разтворете съдържанието на пакет в половин чаша (4 унции) вода.
Когато лактулозата за перорален разтвор се разтвори във вода, полученият разтвор може да бъде безцветен до леко бледожълт цвят.
Колко се доставя
Kristalose® (лактулоза) за перорален разтвор се предлага в пакети с една доза от 10 g ( NDC 66220-719-01) и пакети с една доза от 20 g ( NDC 66220-729-01). Пакетите се доставят по следния начин:
NDC 66220-719-30 (Карт на тридесет пакета 10 g)
NDC 66220-729-30 (картонена опаковка от тридесет 20 g пакета)
Съхранявайте при стайна температура 15 ° -30 ° C (59 ° -86 ° F).
За да съобщите за нежелани събития, свързани с този продукт, моля обадете се на 1 -877-484-2700.
Разпространено от: Cumberland Pharmaceuticals Inc. Nashvilletn37203. Ревизиран: септември 2012 г.
Странични ефекти за кристалоза
Данните за прецизната честота не са налични.
Първоначалната доза може да доведе до метеоризъм и чревни спазми, които обикновено са преходни. Прекомерната доза може да доведе до диария с потенциални усложнения като загуба на течности хипокалиемия и хипернатриемия.
Съобщава се за гадене и повръщане.
Лекарствени взаимодействия за кристалоза
Резултатите от предварителните проучвания при хора и плъхове предполагат, че несъвместимите антиациди, придобиващи едновременно с лактулоза, могат да инхибират желания спад, индуциран от лактулоза в PH на дебелото черво. Следователно трябва да се вземе предвид възможната липса на желания ефект от лечението, преди такива лекарства да бъдат дадени едновременно с лактулоза.
Предупреждения за Кристалоза
Може да съществува теоретична опасност за пациенти, лекувани с лактулоза, от които може да се изисква да се подлагат на електрокатерия по време на проктоскопия или колоноскопия. Натрупване на h 2 Газът в значителна концентрация в присъствието на електрическа искра може да доведе до експлозивна реакция. Въпреки че това усложнение не е съобщено при пациенти с лактулоза на лактулозна терапия, подложени на такива процедури, трябва да има задълбочено почистване на червата с неферментируем разтвор. Инсуфлация на C0 2 Тъй като може да се преследва допълнителна защита, но се счита за излишна мярка.
Предпазни мерки за Кристалоза
Общи
Тъй като Kristalose® (лактулоза) за перорален разтвор съдържа галактоза и лактоза (по -малко от 0,3 g/10 g като обща сума), той трябва да се използва с повишено внимание при диабетици.
Странични ефекти на магнезий IV капка
Лабораторни тестове
Възрастните инвалидирани пациенти, които получават лактулоза повече от шест месеца, трябва да имат серумни електролити (калиев хлорид въглероден диоксид) периодично.
Канцерогенеза мутагенеза Нарушаване на плодовитостта
Няма известни човешки данни за дългосрочен потенциал за мутагенност на канцерогенността или нарушаване на плодовитостта.
Няма известни данни за животни за дългосрочен потенциал за мутагенност.
Прилагането на лактулозен сироп в диетата на мишки в продължение на 18 месеца в концентрации от 3 и 10 процента (V/W) не дава никакви доказателства за канцерогенност.
В проучвания при мишки плъхове и зайци дози лактулозен сироп до 6 или 12 ml/kg/ден не предизвикват вредни ефекти при размножаването на концепцията или раждането.
Бременност
Тератогенни ефекти
Бременност Category B
Изследванията за репродукция са проведени при мишки плъхове и зайци при дози до 3 или 6 пъти по -голяма от обичайната човешка устна доза и не са разкрили доказателства за нарушена плодовитост или вреда на плода поради лактулоза. Въпреки това няма адекватни и добре контролирани проучвания при бременни жени. Тъй като проучванията за възпроизвеждане на животни не винаги предсказват човешки отговор, това лекарство трябва да се използва по време на бременност, само ако е ясно необходимо.
Кърмещи майки
Не е известно дали това лекарство се отделя в човешкото мляко. Тъй като много лекарства се отделят в предпазливостта на човешкото мляко, трябва да се упражняват, когато ладулозата се прилага на медицинска сестра.
Педиатрична употреба
Безопасността и ефективността при педиатрични пациенти не са установени.
Информация за предозиране за Кристалоза
Признаци и симптоми
Не е имало съобщения за случайно предозиране. В случай на предозиране се очаква диарията и коремните спазми да бъдат основните симптоми. Лекарствата трябва да бъдат прекратени.
Странични ефекти на Премарин 625 mg
Орален ld 50
Острата орална LD 50 от лекарството е 48,8 ml/kg при мишки и по -голяма от 30 ml/kg при плъхове.
Диализа
Диализа data are not available for lactulose. Its molecular similarity to sucrose however would suggest that it should be dialyzable.
Противопоказания за кристалоза
Тъй като Kristalose ® (лактулоза) за перорален разтвор съдържа галактоза (по -малко от 0,3 g/10 g като обща сума с лактоза), той е противопоказано при пациенти, които се нуждаят от диета с ниска галактоза.
Клинична фармакология for Kristalose
Kristalose® (лактулоза) се абсорбира слабо от стомашно -чревния тракт и нито един ензим, способен да хидролиза на този дизахарид, не присъства в човешката стомашно -чревна тъкан. В резултат на това пероралните дози лактулоза достигат дебелото черво почти непроменено. В лакталозата на дебелото черво се разгражда предимно до млечна киселина, а също и на малки количества мравчени и оцетни киселини чрез действието на колоничните бактерии, което води до повишаване на осмотичното налягане и леко подкисляване на съдържанието на колони. Това от своя страна води до увеличаване на съдържанието на вода на изпражненията и омекотява изпражненията.
Тъй като лактулозата не упражнява ефекта си, докато стигне до дебелото черво и тъй като времето на транзит през дебелото черво може да бъде бавно 24 до 48 часа, може да се наложи да се получи желано движение на червата.
Лактулозата, дадена перорално на човека и експерименталните животни, доведе до това, че само малки количества достигат кръвта. Екскрецията на урината е определена за 3% или по -малко и по същество е завършена в рамките на 24 часа.
Информация за пациента за кристалоза
В случай, че възникне необичайно състояние на диария, свържете се с вашия лекар.