Информацията В Сайта Не Е Медицински Съвет. Ние Не Продаваме Нищо. Точността На Превода Не Е Гарантирана. Отказ От Отговорност
Антинеопластични хормони
Мегестрол ацетат перорално окачване
Резюме на наркотиците
Последно прегледано на RXList 21.06.2017Оралната суспензия на мегестрол ацетат съдържа форма на женския хормона прогестерон и се използва за лечение на анорексия загуба (кахексия) или необяснима значителна загуба на тегло при пациенти с диагноза придобит синдром на имунодефицит (СПИН). Мегестрол ацетат устно окачване е достъпно в генеричен форма. Общите странични ефекти на пероралното окачване на мегестрол ацетат включват:
- диария
- наддаване на тегло
- промени в апетита
- гадене
- стомашно разстройство
- обрив
- импотентност
- Проблем със съня (безсъние)
- промени в настроението
- изпотяване
- Пробив менструално кървене или други промени в менструалните периоди
- намалена сексуална способност/желание
- високо кръвно налягане
- треска
- Газ
- слабост
- анемия
- лошо храносмилане
- Висока кръвна захар
- главоболие
- болка
- повръщане
- пневмония и
- Честота на урината.
Препоръчителната първоначална доза на възрастни от пероралната суспензия на мегестрол ацетат е 800 mg/ден (20 ml/ден). Оралната суспензия на мегестрола ацетат може да взаимодейства с други лекарства. Кажете на Вашия лекар всички лекарства и добавки, които използвате. Мегестрол ацетат не трябва да се използва по време на бременност. Може да причини вреда на плода. Поради потенциала за неблагоприятни ефекти върху кърменето на кърмене трябва да бъде прекратено, ако е необходимо устно окачване на мегестрол ацетат.
Нашият мегестрол ацетат орален суспендиращ страничен център лекарства предоставя изчерпателен поглед върху наличната информация за лекарството върху потенциалните странични ефекти при приемането на това лекарство.
Информация за наркотиците на FDA
- Описание на лекарството
- Показания
- Странични ефекти
- Предупреждения
- Предпазни мерки
- Предозиране
- Клинична фармакология
- Ръководство за лекарства
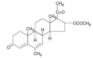
Оралната суспензия на мегестрола ацетат съдържа мегестрол ацетат синтетично производно на естествения прогестерон на стероидния хормон. Мегестрол ацетат е бяло кристално твърдо вещество, химически обозначено като 17-хидрокси-6-метилпрега-46-диен-320-дион ацетат. Разтворимостта при 37 ° С във вода е 2 mcg на ml разтворимост в плазмата е 24 mcg на ml. Молекулното му тегло е 384,52.
Химическата формула е c 24 H 32 O 4 и структурната формула е представена, както следва:
|
Оралната суспензия на мегестрола ацетат се доставя като перорална суспензия, съдържаща 40 mg микронизиран мегестрол ацетат на ml.
Мегестрол ацетат перорална суспензия съдържа следните неактивни съставки: алкохол (максимум 0,06% v/v от аромат) изкуствен варов аромат на лимонова киселина монохидрат документ натриев глицерин естествен и изкуствен аромат на лимон пречистен вода натриев бензоат натриев цитрат дихидрат и ксантански гум.
Мегестрол ацетат перорална суспензия 40 mg/ml отговаря на теста за разтваряне на USP 2.
Използване за перорално окачване на мегестрол ацетат
Устната суспензия на мегестрол ацетат е показана за лечение на анорексия кахексия или необяснима значителна загуба на тегло при пациенти с диагноза придобит синдром на имунодефицит (СПИН).
Дозировка за перорална суспензия на мегестрол ацетат
Препоръчителната първоначална доза на възрастни от пероралната суспензия на мегестрол ацетат е 800 mg/ден (20 ml/ден). Разклатете контейнер добре преди да използвате.
В клинични изпитвания, оценяващи различни графици на дозата, ежедневните дози от 400 и 800 mg/ден са били клинично ефективни.
Клотримазол и бетаметазон дипропионатни прегледи
За удобство е осигурена пластмасова чаша за дозировки с 10 ml и 20 ml.
Колко се доставя
Оралната суспензия на мегестрол ацетат се предлага като орална суспензия с орална суспензия с бял бял лимон, съдържаща 40 mg микронизиран мегестрол ацетат на ml.
NDC 49884-907-38 .................. Бутилки с 240 ml (8 ет. Оз.)
NDC 49884-907-61 .................. Бутилки от 480 ml (16 fl.oz.)
Съхранение
Съхранявайте устната суспензия между 20 ° -25 ° C (68 ° -77 ° F). [Вижте USP]. Предпазва от топлина.
Специално управление
Данни за опасността за здравето: Няма гранична стойност на прага, установена от OSHA NIOSH или ACGIH.
Експозицията или „предозиране“ при нива, приближаващи препоръчаните нива на дозиране, могат да доведат до описани по -горе странични ефекти (виж Предупреждения и Нежелани реакции секции ). Жените, изложени на риск от бременност, трябва да избегнат такава експозиция.
Произведено от: PAR Pharmaceutical Companies Inc. Spring Valley NY 10977. Ревизирана: 05/07. FDA Rev Дата: 1/16/2003
Странични ефекти за перорално суспензия на мегестрол ацетат
Клинични нежелани събития: Нежелани събития, възникнали при най -малко 5% от пациентите във всяка ръка на двете клинични изпитвания за ефикасност и отвореното изпитване, са изброени по -долу от групата за лечение. Всички изброени пациенти са имали поне едно посещение след 12 -те седмици. Тези нежелани събития трябва да се вземат предвид от лекаря, когато предписва перорално суспензия на мегестрол ацетат.
Нежелани събития
% от докладването на пациентите
| Изпитване 1 (N = 236) | Изпитване 2 (N = 87) | ||||||
| Мегестрол ацетат mg/ден № на пациентите | Плацебо 0 N = 34 | 100 N = 68 | 400 N = 69 | 800 N = 65 | Плацебо 0 N = 38 | 800 N = 49 | Пробен опит с отворен етикет 1200 N = 176 |
| Диария | 15 | 13 | 8 | 15 | 8 | 16 | 10 |
| Импотентност | 13 | 14 | 6 | 14 | 0 | 14 | 17 |
| Обрив | 19 | 19 | 4 | 12 | 3 | 12 | 16 |
| Метеоризъм | 19 | 10 | 1 | 19 | 3 | 10 | 16 |
| Хипертония | 10 | 10 | 0 | 18 | 0 | 10 | 14 |
| Астения | 13 | 12 | 3 | 16 | 8 | 14 | 15 |
| Безсъние | 10 | 13 | 4 | 16 | 0 | 10 | 11 |
| Гадене | 19 | 14 | 0 | 15 | 3 | 14 | 15 |
| Анемия | 16 | 13 | 3 | 15 | 0 | 10 | 10 |
| Треска | 13 | 16 | 4 | 15 | 3 | 12 | 11 |
| Либидо намалява | 13 | 14 | 0 | 15 | 0 | 12 | 11 |
| Диспепсия | 10 | 10 | 3 | 13 | 5 | 14 | 12 |
| Хипергликемия | 13 | 10 | 6 | 13 | 0 | 10 | 13 |
| Главоболие | 16 | 10 | 1 | 13 | 3 | 10 | 13 |
| Болка | 16 | 10 | 0 | 12 | 5 | 16 | 14 |
| Повръщане | 19 | 13 | 0 | 12 | 3 | 16 | 14 |
| Пневмония | 16 | 12 | 0 | 12 | 3 | 10 | 11 |
| Честота на урината | 10 | 10 | 1 | 12 | 5 | 12 | 11 |
Нежеланите събития, възникнали при 1 до 3% от всички пациенти, записани в двете клинични изпитвания за ефикасност с поне едно последващо посещение през първите 12 седмици на изследването, са изброени по-долу от Body System. Нежеланите събития, възникващи по -малко от 1%, не са включени. Няма значителни разлики между честотата на тези събития при пациенти, лекувани с мегестрол ацетат, и пациенти, лекувани с плацебо.
Трябва ли Левакин да се приема с храна
Тяло като цяло - Коремна болка инфекция на болката в гърдите Монилиаза и сърдечно -съдова система саркома - кардиомиопатия и сърцебиене
Храносмилателна система - запек сухота в устата хепатомегалия повишава слюнката и оралната монилиаза
Хемическа и лимфна система - Левкопения
Метаболитни и хранителни - LDH увеличава оток и периферния оток
Нервна система - Парестезия объркване конвулсионна депресия невропатия хиперстезия и анормално мислене
Дихателна система - диспнея кашлица фарингит и белодробно разстройство
Кожа и придатъци - Alopecia херпес pruritus vesiculobully обрив изпотяване и разстройство на кожата
Специални сетива - амблиопия
Урогенитална система - Инфекция на пикочните пътища на албуминурия в урина и гинекомастия и гинекомастия
Постмаркетинг - Доклади за постмаркетинг, свързани с мегестрол ацетат перорална суспензия, включват явления на тром-буемболи, включително тромбофлебит и белодробна емболия и глюкозна непоносимост (виж Предупреждения и ПРЕДПАЗНИ МЕРКИ секции ).
Лекарствени взаимодействия за перорална суспензия на мегестрол ацетат
Фармакокинетичните изследвания показват, че няма значителни промени във фармакокинетичните параметри на зидовудин или рифабутин, за да се наложи регулиране на дозата, когато мегестрол ацетат се прилага с тези лекарства. Ефектите на зидовудин или рифабутин върху фармакокинетиката на мегестрол ацетат не са проучени.
Предупреждения for Мегестрол ацетат Oral Suspension
Мегестрол ацетат може да причини вреда на плода, когато се прилага на бременна жена. За данни за животни относно ефектите на плода (виж ПРЕДПАЗНИ МЕРКИ: Impairment of Fertility раздел ). There are no adequate и well-controlled studies in pregnant women. If this drug is used during pregnancy or if the patient becomes pregnant while taking (receiving) this drug the patient should be apprised of the potential hazard to the fetus. Women of childbearing potential should be advised to avoid becoming pregnant.
Мегестрол ацетат не е предназначен за профилактична употреба, за да се избегне загуба на тегло.
(Вижте също ПРЕДПАЗНИ МЕРКИ: Канцерогенеза мутагенеза и увреждане на плодовитостта раздел. )
Глюкокортикоидната активност на пероралната суспензия на мегестрол ацетат не е напълно оценена. Клинични случаи на ново начало на захарен диабет за захарен диабет се съобщава за синдром на мегестрола. Освен това са наблюдавани клинични случаи на надбъбречна недостатъчност при пациенти, получаващи или изтеглени от хронична мегестролна терапия с ацетат в напрегнато и не стресирано състояние. Освен това адренокортикотропин (ACTH) тест за стимулиране разкрива честото появяване на асимптоматично потискане на хипофизата при пациенти, лекувани с хронична мегестрол ацетатна терапия. Ето защо възможността за адрета на несемета трябва да се има предвид при всеки пациент, който получава или е изтеглено от хронична мегестрола ацетатна терапия, която предвижда или е изтеглена от хронична адретална неспособност, трябва да се има предвид при получаване на пациент или да бъде изтеглена от хронична мегестрола ацетатна терапия, която предвижда или е оттеглена от хронична, която трябва да се има предвид, че трябва да се има предвид при получаване на пациент. По този Хипоадренализмът (напр. Хипотония гадене повръща замаяност или слабост) или в напрегнатото, или в състояние на стрес. На такива пациенти се препоръчва лабораторна оценка за надбъбречна недостатъчност и разглеждане на заместващи или стресови дози на бързо действащ глюкокортикоид. Неспазването на инхибирането на хипоталамо-хипофизата-надбъбречната ос може да доведе до смърт. Първоначално при пациенти, които получават или се изтеглят от хронична мегестрол ацетатна терапия, трябва да се обмисли за използването на емпирична терапия със стрес дози на бързо действаща глюкокортикоид в условия на стрес със сериозни взаимовръзки на недобросъвестността (напр.
За какво се използва хидроморфон 2mg
Предпазни мерки for Мегестрол ацетат Oral Suspension
Общи: Терапията с мегестрол ацетат перорално окачване за отслабване трябва да се въведе и да се търси и адресира лечими причини за загуба на тегло. Тези лечими причини включват възможни злокачествени заболявания системни инфекции стомашно -чревни разстройства, засягащи абсорбционните ендокринни заболявания и бъбречните или психиатричните заболявания.
Ефектите върху репликацията на вируса на ХИВ не са определени.
Използвайте с повишено внимание при пациенти с анамнеза за тромбоемболична болест.
Използване при диабетици: Съобщава се за обостряне на съществуващ диабет с повишени изисквания за инсулин във връзка с използването на мегестрол ацетат.
Канцерогенеза мутагенеза и увреждане на плодовитостта
Канцерогенеза - Данните за карциногенезата са получени от проучвания, проведени при кучета маймуни и плъхове, лекувани с мегестрол ацетат при дози 53.2 26.6 и 1,3 пъти по -ниски от предложената доза (NULL,3 mg/kg/ден) за хората. В проучванията за кучета и маймуни не са използвани мъже. При женски мегестрол ацетат (NULL,01 0,1 или 0,25 mg/kg/ден), прилаган до 7 години, предизвиква доброкачествени, и злокачествени тумори на гърдата. При женски маймуни не са открити тумори след 10 години лечение с 0,01 0,1 или 0,5 mg/kg/ден мегестрол ацетат. Хипофизните тумори са наблюдавани при женски плъхове, лекувани с 3,9 или 10 mg/kg/ден мегестрол ацетат в продължение на 2 години. Връзката на тези тумори при плъхове и кучета към хората е неизвестна, но трябва да се вземе предвид при оценката на съотношението риск-полза при предписване на перорална суспензия на мегестрол ацетат и при наблюдение на пациентите на терапия. (Вижте Предупреждения раздел. )
Мутагенеза - В момента не са налични данни за мутагенеза.
Нарушаване на плодовитостта - Перинатални/постнатални изследвания за токсичност (сегмент III) са проведени при плъхове при дози (NULL,05 до 12,5 mg/kg) по -малко от показаното за хора (NULL,3 mg/kg); В тези проучвания с ниска доза репродуктивната способност на мъжкото потомство на жените, третирани с мегестрол ацетат, е нарушена. Подобни резултати са получени при кучета. Бременните плъхове, лекувани с мегестрол ацетат, показват намаляване на теглото на плода и броя на живите раждания и феминизацията на мъжките плодове. Понастоящем не са налични данни за токсичност при възпроизвеждане на мъже (сперматогенеза).
Бременност: Категория на бременността x. (Вижте Предупреждения и ПРЕДПАЗНИ МЕРКИ: Impairment of Fertility секции .) Не е налична адекватна информация за тератологията на животните при клинично значими дози.
Кърмещи майки: Поради потенциала за неблагоприятни ефекти върху кърменето на новороденото трябва да се прекрати, ако е необходимо орално суспензия на мегестрол ацетат.
Използвайте при заразени с ХИВ жени: Въпреки че мегестрол ацетат се използва широко при жените за лечение на рак на ендометриума и гърдата, употребата на жени при заразени с ХИВ е ограничена.
Всички 10 жени в клиничните изпитвания съобщават за пробивно кървене.
Педиатрична употреба: Безопасността и ефективността при педиатрични пациенти не са установени.
Какво да не се вземе с Cipro
Информация за предозиране за перорално окачване на мегестрол ацетат
Никакви сериозни неочаквани странични ефекти не са резултат от проучвания, включващи перорална суспензия на мегестрол ацетат, прилагана в дозировки до 1200 mg/ден. Megestrol ацетат не е тестван за диализабилност, но поради ниската си разтворимост е постулирано, че диализата не би била ефективно средство за лечение на предозиране.
Противопоказания за перорално окачване на мегестрол ацетат
История на свръхчувствителност към мегестрол ацетат или който и да е компонент на състава. Известна или подозирана бременност.
Клинична фармакология for Мегестрол ацетат Oral Suspension
Няколко изследователи съобщават за свойството за повишаване на апетита на мегестрол ацетат и възможната му употреба при кахексия. Точният механизъм, чрез който мегестрол ацетат произвежда ефекти при анорексия и кахексия, не е известен в момента.
Има няколко аналитични метода, използвани за оценка на плазмените концентрации на мегестрол ацетат, включително газова хроматография-масова фрагментография (GC-MF) течна хроматография с високо налягане (HPLC) и радиоимуноанализ (RIA). Методите GC-MF и HPLC са специфични за концентрации на мегестрол ацетат и добив. Методът RIA реагира на метаболитите на мегестрол ацетат и следователно е неспецифичен и показва по-високи концентрации от методите GC-MF и HPLC. Плазмените концентрации зависят не само от използвания метод, но и от чревния и чернодробния инактивиране на лекарството, което може да бъде повлияно от фактори като антибиотици на чревния тракт, прилагащи антибиотици на телесното тегло и чернодробна функция.
Основният път на елиминиране на наркотиците при хората е урината. Когато радиомаркираният мегестрол ацетат се прилага на хора в дози от 4 до 90 mg, екскрецията на урината в рамките на 10 дни варира от 56,5 до 78,4% (средно 66,4%), а фекалната екскреция варира от 7,7 до 30,3% (средно 19,8%). Общата възстановена радиоактивност варира между 83,1 и 94,7% (средното възстановяване). Меегестрол ацетат метаболити, които са идентифицирани в урина, съставляват 5 до 8% от прилаганата доза. Респираторната екскреция като белязан въглероден диоксид и съхранение на мазнини може да е представлявало поне част от радиоактивността, която не се намира в урината и изпражненията.
Плазмената фармакокинетика на мегестрол ацетат се оценява при 10 пациенти с мъжки кахектични мъже със синдром на придобит имунодефицит (СПИН) и неволна загуба на тегло, по -голяма от 10% от изходното ниво. Пациентите получават единични перорални дози от 800 mg/ден мегестрол ацетат перорална суспензия за 21 дни. Данните за плазмената концентрация, получени на 21 ден, бяха оценени до 48 часа след последната доза.
Средна (± 1SD) пикова плазмена концентрация (CMAX) на мегестрол ацетат е 753 (± 539) Ng/ml. Средната площ под концентрационната крива (AUC) е 10476 (± 7788) Ng x HR/ml. Средната стойност на TMAX беше пет часа. Седем от 10 пациенти наддават на тегло за три седмици.
Освен това 24 възрастни асимптоматични ХИВ серопозитивни мъже са дозирани веднъж дневно със 750 mg мегестрол ацетат перорален суспензия. Лечението се прилага в продължение на 14 дни. Средните стойности на CMAX и AUC са 490 (± 238) Ng/mL и 6779 (± 3048) HR x Ng/ml съответно. Средната стойност на TMAX е три часа. Средната стойност на CMIN е 202 (± 101) Ng/ml. Средният % от стойността на колебанието е 107 (± 40).
Относителната бионаличност на таблетки от мегестрол ацетат 40 mg и перорална суспензия на мегестрол ацетат не е оценена. Ефектът на храната върху бионаличността на пероралната суспензия на мегестрол ацетат не е оценен.
Описание на клиничните изследвания
Клиничната ефикасност на пероралната суспензия на мегестрол ацетат се оценява в две клинични проучвания. Единият беше многоцентрово рандомизирано двойно-сляпо плацебо-контролирано проучване, сравняващо мегестрол ацетат (МА) при дози от 100 mg 400 mg и 800 mg на ден срещу плацебо при пациенти със СПИН с анорексия/кахексия и значителна загуба на тегло. От 270 пациенти, вписани в проучване 195, отговарят на всички критерии за включване/изключване, имат поне две допълнителни измервания на теглото след базовата линия за период от 12 седмици или са имали едно измерване на теглото след базовата линия, но са отпаднали за терапевтична недостатъчност. The percent of patients gaining five or more pounds at maximum weight gain in 12 study weeks was statistically significantly greater for the 800 mg (64%) and 400 mg (57%) MA-treated groups than for the placebo group (24%).Mean weight increased from baseline to last evaluation in 12 study weeks in the 800 mg MA-treated group by 7.8 pounds the 400 mg MA group by 4.2 pounds the 100 mg MA group by 1.9 pounds and decreased в групата на плацебо с 1,6 паунда. Средните промени в теглото на 4 8 и 12 седмици за пациенти, оценяващи се за ефикасност в двете клинични изпитвания, са показани графично. Промените в телесния състав през 12-те седмици на изследване, измерени чрез анализ на биоелектричния импеданс, показват увеличение на телесното тегло, което не е вода в групите, третирани с МА (виж Таблица за клинични изследвания ). In addition edema developed or worsened in only 3 patients.
По-големи проценти на лекувани с МА пациенти в групата с 800 (89%) 400 mg група (68%) и групата от 100 mg (72%), отколкото в плацебо групата (50%), показват подобрение на апетита при последната оценка по време на 12-те седмици. Пациентите бяха помолени да оценят появата на апетитна промяна на теглото и цялостно възприемане на благосъстоянието в 9 въпроси за въпроси. При максимална промяна на теглото само групата, третирана с 800 mg MA, даде отговори, които бяха статистически значително по-благоприятни за всички въпроси в сравнение с групата, третирана с плацебо. В проучването се отбелязва отговор на дозата с положителни отговори, корелиращи с по -висока доза за всички въпроси.
Второто проучване беше многоцентрово рандомизирано двойно-сляпо плацебо-контролирано проучване, сравняващо мегестрол ацетат 800 mg/ден срещу плацебо при пациенти със СПИН с анорексия/кахексия и значителна загуба на тегло. От 100 -те пациенти, въведени в проучване 65, отговарят на всички критерии за включване/изключване, са имали поне две допълнителни измервания на теглото след базовата линия за период от 12 седмици или са имали едно измерване на теглото след базовата линия, но са отпаднали за терапевтична недостатъчност. Пациентите в групата, третирана с 800 mg MA, са имали статистически значително по-голямо увеличение на средната максимална промяна на теглото от пациентите в групата на плацебо. От изходното ниво до проучването 12 Средното тегло се увеличи с 11,2 паунда в групата, третирана с МА и намали 2,1 килограма в групата на плацебо. Промените в състава на тялото, измерени чрез анализ на биоелектричния импеданс, показват увеличаване на теглото на не вода в групата, третирана с МА (виж Таблица за клинични изследвания ). No edema was reported in the MA-treated group. A greater percentage of MA-treated patients (67%) than placebo-treated patients (38%) showed an improvement in appetite at last evaluation during the 12 study weeks;this difference was statistically significant. There were no statistically significant differences between treatment groups in mean caloric change or in daily caloric intake at time to maximum weight change. In the same 9 question survey referenced in the first trial patients' assessments of weight change appetite appearance и overall perception of well-being showed increases in mean scores in MA-treated patients as compared to the placebo group.
И в двете проучвания пациентите толерираха добре лекарството и не се наблюдават статистически значими разлики между лечебните групи по отношение на лабораторните аномалии нови опортюнистични инфекции на лимфоцитите t 4 брои t 8 броя или тестове за реактивност на кожата (виж Нежелани реакции раздел ).
Мегестрол ацетат Oral Suspension Clinical Efficacy Trials
| Изпитване 1 Дати на начисляване на проучвания 11/88 до 12/90 | Изпитване 2 Дати на начисляване на проучвания 5/89 до 4/91 | |||||
| Мегестрол ацетат mg/ден | 0 | 100 | 400 | 800 | 0 | 800 |
| Влезе в пациенти | 38 | 82 | 75 | 75 | 48 | 52 |
| Оценяеми пациенти | 28 | 61 | 53 | 53 | 29 | 36 |
| Средна промяна в теглото (фунт) | ||||||
| Baseline to 12 Weeks | 0.0 | 2.9 | 9.3 | 10.7 | -2.1 | 11.2 |
| % Patients ≥ 5 Pound Gainat Last Evaluation in 12 Weeks | 21 | 44 | 57 | 64 | 28 | 47 |
| Средни промени в състава на тялото*: | ||||||
| Fat Body Mass (lb.) | 0.0 | 2.2 | 2.9 | 5.5 | 1.5 | 5.7 |
| Lean Body Mass (lb.) | -1.7 | -0.3 | 1.5 | 2.5 | -1.6 | -0.6 |
| Water (liters) | -1.3 | -0.3 | 0.0 | 0.0 | -0.1 | -0.1 |
| % Пациенти с подобрен апетит: | ||||||
| At Time of MaximumWeight Change | 50 | 72 | 72 | 93 | 48 | 69 |
| At Last Evaluation in 12 Weeks | 50 | 72 | 68 | 89 | 38 | 67 |
| Средна промяна в дневния прием на калории: | ||||||
| Baseline to Time of MaximumWeight Change | -107 | 326 | 308 | 646 | 30 | 464 |
| *Въз основа на биоелектрически импедансиализатантермация на миналата евалация в 12 -седмично. |
Следните цифри са резултатите от средните промени в теглото за пациенти, оценяващи се за ефикасност в изпитвания 1 и 2.
|
|
Токсикология на животните: Дългосрочното лечение с мегестрол ацетат може да увеличи риска от респираторни инфекции. Тенденция към повишена честота на респираторните инфекции намалява броя на лимфоцитите и увеличеният брой на неутрофилите се наблюдава при двугодишно изследване на хроничната токсичност/канцерогенност на мегестрол ацетат, проведен при плъхове.
Информация за пациента за мегестрол ацетат перорално суспензия
Пациентите, използващи мегестрол ацетат, трябва да получат следните инструкции:
- Това лекарство трябва да се използва според указанията на лекаря.
- Докладвайте за всякакви нежелани реакционни преживявания, докато приемате това лекарство.
- Използвайте контрацепция, докато приемате това лекарство, ако сте жена, способна да забременее.
- Уведомете вашия лекар, ако забременеете, докато приемате това лекарство.