Информацията В Сайта Не Е Медицински Съвет. Ние Не Продаваме Нищо. Точността На Превода Не Е Гарантирана. Отказ От Отговорност
Местни анестетици, амиди
Седемкаин
Резюме на наркотиците
Какво е Septocaine?
Инжектирането на септокаин (артикаин НС1 и епинефрин) е изтръпващо лекарство, използвано като анестетик за зъбни процедури. Septocaine се предлага в генеричен форма.
Какви са страничните ефекти на септокаин?
Седемкаин
- слабо или плитко дишане
- Бавна сърдечна честота
- Лекоглавия
- замъглено зрение
- звънене в ушите ви
- безпокойство
- объркване
- неспокойно чувство и
- тремори
Получете медицинска помощ веднага, ако имате изброени по -горе симптоми.
Общите странични ефекти на септокаина включват:
- Болки в езика или подуване
- подуване на лицето
- главоболие
- Мани от уста
- гадене
- повръщане
- запек
- диария
- разстроен стомах
- увеличена жажда
- дрогиране
- нервност
- замаяност
- сънливост
- Болки в ушите/ухо
- Болка на шията
- ставна или мускулна болка
- Необичаен или неприятен вкус в устата ви
- изтръпване или чувство на чувство
- мек кожен обрив или сърбеж
- течен нос или
- възпалено гърло.
Кажете на Вашия лекар, ако имате сериозни странични ефекти от септокаин, включително:
- слабо или плитко дишане
- Бавна сърдечна честота
- слаб пулс
- Чувствате се, че може да преминете
- Подуване в лицето ти
- подути или кървящи венци
- безпокойство
- объркване
- неспокойно чувство
- тремори or shaking
- замъглено зрение
- звънене в ушите ви or
- Припадък (Конвулсии).
Потърсете медицинска помощ или се обадете на 911 наведнъж, ако имате следните сериозни странични ефекти:
- Сериозни симптоми на очите, като например внезапна загуба на зрение, замъглено зрение Тунел Виждане болка в очите или подуване или виждане на ореоли около светлините;
- Сериозни сърдечни симптоми като бързи нередовни или ударни сърдечни удари; трептене в гърдите ви; задух; и внезапна замаяност замаяност или раздаване;
- Тежка главоболие объркване затънала речева ръка или крак слабост проблем за ходене на загуба на координация, чувствайки се нестабилни много твърди мускули висока треска обилно изпотяване или тремор.
Този документ не съдържа всички възможни странични ефекти, а други могат да възникнат. Консултирайте се с вашия лекар за допълнителна информация за страничните ефекти.
Дозировка за септокаин
Дозата на септокаина, която трябва да се използва, зависи от фактори като вид и степента на хирургична процедура дълбочина на анестезия степен на мускулна релаксация и състояние на пациента.
Какви лекарства вещества или добавки взаимодействат със Septocaine?
Septocaine може да взаимодейства с студени лекарства Диетични хапчета стимуланти лекарства за лечение на лекарства ADHD за лечение на психиатрични разстройства лекарства за лечение на гадене и повръщане или MAO инхибитори. Кажете на Вашия лекар или зъболекар всички лекарства и добавки, които използвате.
Септокаин по време на бременност или кърмене
Septocaine може да е вредна за плода. Преди да получите Septocaine, кажете на вашия зъболекар, ако сте бременна. Не е известно дали Septocaine преминава в гърдата или дали може да навреди на кърмещото бебе. Консултирайте се с Вашия лекар преди кърмене.
Допълнителна информация
Нашият Septocaine (Articaine HCl и Epinephrine) Инжекционни странични ефекти в центъра за лекарствени ефекти предоставят изчерпателен поглед върху наличната информация за лекарството за потенциалните странични ефекти при приемането на това лекарство.
Информация за наркотиците на FDA
- Описание на лекарството
- Показания
- Странични ефекти
- Предупреждения
- Предозиране
- Клинична фармакология
- Ръководство за лекарства
Артикаин хидрохлорид 4% и епинефрин 1: 200000
Артикаин хидрохлорид 4% и епинефрин 1: 100000
Описание за Septocaine
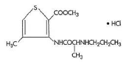
Инжекцията на Septocaine® (инжектиране на Articane HCl и епинефрин) е стерилен воден разтвор, който съдържа артикаин HCl 4% (40 mg/mL) и епинефрин битарат в епинефрин 1: 200000 или епинефрин 1: 100000 якост. Articaine HCl е амино амид локален анестетик, химически обозначен като 4-метил-3- [2- (пропиламино) -пропионамидо] -2-тиофенекарбоксилна киселина метилов естер хидрохлорид и е рацемична смес. Articaine HCl има молекулно тегло 320,84 и следната структурна формула:
|
Articaine HCl има коефициент на дял в N-октанол/Soerensen буфер (рН 7,35) от 17 и PKA от 7,8.
Епинефрин битаррат (-)-1- (34-дихидроксифенил) -2-метиламино-етанол () таррат (1: 1) Солта е вазоконстриктор, който се добавя към Articaine HCl в концентрация 1: 200000 или 1: 100000 (експресирана като свободна основа). Той има молекулно тегло 333,3 и следната структурна формула:
|
Septocaine® (инжектиране на Articane HCl и Epinephrine) съдържа епинефрин Articaine HCl (40 mg/ml) (1: 200000 или 1: 100000) (като епинефрин битаррат) натриев хлорид (NULL,6 mg/mL) и натриев метабисулфит (NULL,5 mg/mg). Продуктът е формулиран с 15% надценка на епинефрин. РН се регулира с натриев хидроксид.
Използване за септокаин
Septocaine® (инжектиране на Articane HCl и Epinephrine) Амид локален анестетик, съдържащ вазоконстриктор, е показан за локална инфилтративна или проводима анестезия както при прости, така и в сложни зъбни процедури.
Дозировка за септокаин
Обща информация за дозиране
Таблица 1 (по -долу) обобщава препоръчителните обеми и концентрации на Septocaine® (инжектиране на Articane HCl и Epinephrine) за различни видове анестетични процедури. Дозировките, предложени в тази таблица, са за нормални здрави възрастни, прилагани от субмукозна инфилтрация или нервен блок.
Таблица 1: Препоръчителни дози за двете силни страни
| Процедура | Инжекция на Septocaine® | |
| Обем (ml) | Обща доза Articaine HCl (mg) | |
| Инфилтрация | 0,5 - 2.5 | 20 - 100 |
| Нервен блок | 0.5 - 3.4 | 20 - 136 |
| Устната хирургия | 1.0 - 5.1 | 40 - 204 |
Препоръчителните дози служат само като ръководство за количеството на анестетиката, необходимо за повечето рутинни процедури. Действителните обеми, които трябва да се използват, зависят от редица фактори като тип и степента на хирургична процедура дълбочина на анестезия степен на мускулна релаксация и състояние на пациента. Във всички случаи трябва да се даде най -малката доза, която ще доведе до желания резултат.
Хидрокодон/APAP 5-325mg
Настъпването на анестезия и продължителността на анестезията са пропорционални на обема и концентрацията (т.е. общата доза) на локалната анестетична, използвана. Трябва да се внимава при използване на големи обеми, тъй като честотата на страничните ефекти може да бъде свързана с дозата.
За повечето рутинни стоматологични процедури Septocaine® (Articane HCl и Epinephrine инжектиране), съдържащ епинефрин 1: 200000, се предпочита. Въпреки това, когато са необходими по -изразена хемостаза или подобрена визуализация на хирургичното поле Septocaine® (артикан HCl и Epinephrine инжектиране), съдържащи епинефрин 1: 100000.
Максимални препоръчителни дози
- Възрастни : За нормални здрави възрастни максималната доза HCl Articaine, прилагана чрез субмукозна инфилтрация или нервен блок, не трябва да надвишава 7 mg/kg (NULL,175 ml/kg).
- Педиатрични пациенти на възраст от 4 до 16 години : Количеството HCl Articaine при деца на възраст от 4 до 16 години, което трябва да се инжектира, трябва да се определя от възрастта и теглото на детето и величината на операцията. Максималната доза Articaine HCl 4% не трябва да надвишава 7 mg/kg (NULL,175 ml/kg) [виж Използване в конкретни популации ].
- Безопасността и ефективността на Septocaine® (инжектиране на Articane HCl и Epinephrine) при педиатрични пациенти под 4 -годишна възраст не са установени.
Дозиране в специални популации
Може да се изисква намаляване на дозата при инвалидирани пациенти, остро болни пациенти в възрастни хора и педиатрични пациенти, съизмерими с тяхната възраст и физическо състояние. Не са проведени проучвания при пациенти с бъбречна или чернодробна дисфункция. Трябва да се използва предпазливост при пациенти с тежко чернодробно заболяване. [Вижте Предупреждения и ПРЕДПАЗНИ МЕРКИ Използване в конкретни популации ]
Lidocaine пластир е наркотик
Колко се доставя
Дозирани форми и силни страни
Инжектиране (ясен безцветен разтвор), съдържащ:
- Артикаин хидрохлорид 4% (40 mg/ml) и епинефрин 1: 200000 (като епинефрин битартрат 0,009 mg/ml)
- Артикаин хидрохлорид 4% (40 mg/mL) и епинефрин 1: 100000 (като епинефрин битартрат 0,018 mg/ml)
Septocaine® (Articaine HCl и Epinephrine) инжектиране се предлага в 1,7 ml единични стъклени касети, опаковани в кутии от 50 патрона в следващите две силни страни:
Septocaine® (инжектиране на Articane HCl и Epinephrine), съдържащ артикаин HCl 4% (40 mg/mL) и епинефрин 1: 200000 (като епинефрин битартрат 0,009 mg/mL) ( NDC 0362-9048-02)
Septocaine® (инжектиране на Articane HCl и Epinephrine), съдържащ артикаин HCl 4% (40 mg/mL) и епинефрин 1: 100000 (като епинефрин битартрат 0,018 mg/mL) ( NDC 0362-9049-02)
Съхранение и обработка
Съхранявайте при контролирана стайна температура 25 ° C (77 ° F) с кратки екскурзии, разрешени между 15 ° и 30 ° C (59 ° F-86 ° F) [виж USP контролирана стайна температура ]. Protect from light. Do Not Freeze.
За химическа дезинфекция на килото или се препоръчва изопропилов алкохол (91%), или етилов алкохол (70%). Много търговски налични марки изопропил (втриване) алкохол, както и разтвори на етилов алкохол, а не на САЩ. Степента съдържа денатусанти, които са вредни за каучук и следователно не трябва да се използват.
Парентералните лекарствени продукти трябва да се проверяват визуално за прахови частици и обезцветяване преди прилагането, когато разтворът и контейнерът разреши.
Произведено за Septodont Louisville Co 80027 от Novocol Pharmaceutical of Canada Inc. Cambridge Ontario Canada N1R 6x3
Странични ефекти за септокаина
Реакциите към артикаин са характерни за тези, свързани с други местни анестетици от амид. Нежеланите реакции на тази група лекарства също могат да бъдат резултат от прекомерни плазмени нива (които могат да се дължат на неволно интраваскуларно инжектиране или бавно метаболитно разграждане) обем на инжектиране или свръхчувствителност или те могат да бъдат идиосинкратични.
Опит с клинични проучвания
Тъй като клиничните изпитвания се провеждат при широко различни състояния, нежелани реакционни проценти, наблюдавани при клиничните изпитвания на лекарство, не могат да бъдат пряко сравнени със проценти в клиничните изпитвания на друго лекарство и може да не отразяват процентите, наблюдавани на практика.
Отчетените нежелани реакции са получени от клинични изпитвания в Съединените щати и Обединеното кралство. Таблица 2 показва нежеланите реакции, отчетени в клинични изпитвания, при които 882 индивида са били изложени на Septocaine® (Articane HCl и Epinephrine инжектиране), съдържащи епинефрин 1: 100000. Таблица 3 показва нежеланите реакции, отчетени в клинични изпитвания, при които 182 индивида са били изложени на Septocaine® (Articane HCl и Epinephrine Inection), съдържащи епинефрин 1: 100000 и 179 индивиди, съдържащи сепсинефрин® (артикан HCl и инжектиране на епинефрин), съдържащи епинефрин 1: 200000.
Нежелани реакции, наблюдавани при поне 1% от пациентите:
Таблица 2: Нежелани реакции в контролирани изпитвания с честота на 1% или по -голяма при пациенти, прилагани септокаин® (инжектиране на Articane HCl и Epinephrine), съдържащи епинефрин 1: 100000
| Система/реакция на тялото | Septocaine®, съдържащ епинефрин 1: 100000 (n = 882) честота |
| Тяло като цяло | |
| 13 (1%) | |
| 31 (4%) | |
| 10 (1%) | |
| 114 (13%) | |
| Храносмилателна система | |
| 13 (1%) | |
| Нервна система | |
| 11 (1%) |
Таблица 3: Нежелани реакции в контролирани изпитвания с честота на 1% или по -голяма при пациенти, прилагани Septocaine® (Articane HCl и Epinephrine INVECTION), съдържащи епинефрин 1: 200000 и Septocaine® (инжектиране на Articane HCl и епинефрин), съдържащ епинефрин 1: 100000
| Реакция | Septocaine® (инжектиране на Articane HCl и Epinephrine) с Pinephrine 1: 200000 (N = 179) Честота | Septocaine® (инжектиране на Articane HCl и Epinephrine) с Pinephrine 1: 100000 (N = 182) Честота |
| Всяка нежелана реакция | 33 (18%) | 35 (19%) |
| Болка | 11 (NULL,1%) | 14 (NULL,6%) |
| Главоболие | 9 (5%) | 6 (3.2%) |
| Положителна аспирация на кръвта в спринцовка | 3 (NULL,6%) | 6 (3.2%) |
| Подуване | 3 (NULL,6%) | 5 (NULL,7%) |
| Тризм | 1 (NULL,5%) | 3 (NULL,6%) |
| Гадене и ембис | 3 (NULL,6%) | 0 (0%) |
| Сънливост | 2 (NULL,1%) | 1 (NULL,5%) |
| Изтръпване и изтръпване | 1 (NULL,5%) | 2 (1%) |
| Сърцебиене | 0 (0%) | 2 (1.%) |
| Симптоми на ухото (учен отит среда) | 1 (NULL,5%) | 2 (1%) |
| Кашлица Устойчива кашлица | 0 (0%) | 2 (1%) |
Нежелани реакции, наблюдавани при по -малко от 1% от пациентите:
Таблица 4: Нежелани реакции в контролирани изпитвания с честота под 1%, но се считат за клинично значими при пациенти, прилагани септокаин® (инжектиране на Articane HCl и епинефрин)
| Телесна система | Реакцияs |
| Тяло като цяло | Астения; болки в гърба; Болка на мястото на инжектиране; Усещане за изгаряне над мястото на инжектиране; малтретиране; Болка на шията |
| Сърдечно -съдова система | Кръвоизлив; мигрена; синкоп; тахикардия; повишено кръвно налягане |
| Храносмилателна система | Диспепсия; глосит; кръвоизлив на венците; улцерация на устата; гадене; стоматит; Едема на езика; разстройство на зъбите; повръщане |
| Хемическа и лимфна система | Екхимоза; лимфаденопатия |
| Метаболитна и хранителна система | Оток; жажда |
| Мускулно -скелетна система | Arthralgia? Миалгия? Остеомиелит |
| Нервна система | Замаяност; сухота в устата; лицева парализа; хиперестезия; увеличено слюноотделяне; нервност; невропатия; парестезия; сънливост; обостряне на синдрома на Kearns-Sayre |
| Дихателна система | Фарингит; ринит; синусова болка; Претоварване на синусите |
| Кожа и придатъци | Сърбеж; Кожно разстройство |
| Специални сетива | Болка в ушите; Вкуса извращение |
Опит за постмаркетиране
Следните нежелани реакции са идентифицирани по време на след прилагане на използването на Septocaine® (инжектиране на Articane HCl и Epinephrine). Тъй като тези реакции се отчитат доброволно от популация с несигурен размер, не винаги е възможно надеждно да се оцени тяхната честота или да се установи небрежна връзка с експозицията на лекарства.
Съобщава се за постоянни парестезии на езика на устните и оралните тъкани с използване на артикаин хидрохлорид с бавно непълно или без възстановяване. Съобщава се, че тези постмаркетиращи събития следват главно нервни блокове в мандибулата и са включвали тригеминалния нерв и нейните клонове.
Съобщава се за хипоестезия с използване на артикаин, особено в педиатрични възрастови групи, които обикновено са обратими. Продължителното изтръпване може да доведе до наранявания на меките тъкани като тези на устните и езика в тези възрастови групи.
Исхемичното нараняване и некроза са описани след използването на артикаин с епинефрин и са постулирани да се дължат на съдов спазъм на крайни артериални клони.
Съобщава се за парализа на очните мускули, особено след задни превъзходни алвеоларни инжекции на артикаин по време на зъбна анестезия. Симптомите включват птоза на диплопия мидраза и трудност при отвличане на засегнатото око. Тези симптоми са описани като развиващи се веднага след инжектиране на анестетичния разтвор и продължават една минута до няколко часа с общо пълно възстановяване.
Лекарствени взаимодействия за септокаин
Прилагането на локални анестетични разтвори, съдържащи епинефрин при пациенти, получаващи моноамин оксидазни инхибитори, неселективни бета-адренергични антагонисти или трициклични антидепресанти могат да доведат до тежка продължителна хипертония. Фенотиазините и бутирофеноните могат да намалят или обърнат ефекта на пресока на епинефрин. Трябва да се избягва едновременното използване на тези средства; Въпреки това в ситуации, когато едновременната терапия е необходимо внимателно наблюдение на пациентите е от съществено значение [виж Предупреждения и ПРЕДПАЗНИ МЕРКИ ].
Предупреждения за Septocaine
Включени като част от ПРЕДПАЗНИ МЕРКИ раздел.
Предпазни мерки за септокаин
Случайна интраваскуларна инжекция
Случайното интраваскуларно инжектиране на Septocaine® (инжектиране на Articane HCl и Epinephrine) може да бъде свързано с конвулсии, последвани от централна нервна система или кардиореспираторна депресия и команда, прогресираща в крайна сметка до респираторен арест. Стоматологичните лекари, които използват местни анестетични агенти, включително Septocaine® (Articane HCl и Epinephrine Inection), трябва да бъдат добре запознати с диагностицирането и управлението на спешни случаи, които могат да възникнат от тяхната употреба. Реанимационното оборудване кислород и други реанимационни лекарства трябва да бъдат налични за незабавна употреба. За да се избегне аспирацията на интраваскуларна инжекция трябва да се извърши преди инжектирането на Septocaine® (инжектиране на Articane HCl и Epinephrine). Иглата трябва да бъде преместена, докато не може да се извлече кръв чрез стремеж. Обърнете внимание обаче, че липсата на кръв в спринцовката не гарантира, че е избягвана интраваскуларна инжекция.
Малки дози локални анестетици, инжектирани в зъбни блокове, могат да доведат до нежелани реакции, подобни на системната токсичност, наблюдавани с неволни интраваскуларни инжекции на по -големи дози. Съобщават се за объркване конвулсии респираторна депресия или арест на респираторни и сърдечно -съдови стимулиране или депресия. Тези реакции могат да се дължат на вътреартериално инжектиране на локалната анестетика с ретрограден поток към мозъчната циркулация. Пациентите, получаващи тези блокове, трябва да се наблюдават постоянно. Реанимационното оборудване и персоналът за лечение на нежелани реакции трябва да бъдат незабавно налични. Препоръките за дозиране не трябва да се надвишават [виж Доза и приложение ].
Системна токсичност
Това включва токсичност, произтичаща от случайно интраваскуларно инжектиране на Septocaine® (инжектиране на Articane HCl и Epinephrine), обсъдени в раздел 5.1, както и това, свързано с по -високи системни концентрации на локални анестетици или епинефрин. Системната абсорбция на локални анестетици, включително Septocaine® (инжектиране на Articane HCl и епинефрин), може да доведе до ефекти върху централната нервна и сърдечно -съдова система.
При концентрации на кръвта, постигнати с терапевтични дози на Septocaine® (инжектиране на инжектиране на Articane HCl и епинефрин), промените в сърдечната проводимост Контрактилността на възбудимостта и периферната съдова резистентност са минимални. Въпреки това, токсичните концентрации на кръвта на септокаин® (инжектиране на Articane HCl и Epinephrine) могат да потиснат сърдечната проводимост и възбудимостта, които могат да доведат до атриовентрикуларна блок камерна аритмии и сърдечен арест, което е възможно да доведе до жертви. Освен това миокардната контрактилност е депресирана и периферната вазодилатация се случва, водеща до намалена сърдечна продукция и артериално кръвно налягане. Septocaine® (инжектиране на Articane HCl и Epinephrine) също трябва да се използва с повишено внимание при пациенти със сърдечен блок, както и тези с нарушена сърдечно-съдова функция, тъй като те могат да бъдат по-малко способни да компенсират функционалните промени, свързани с удължаването на A-V проводимост, получени от тези лекарства.
Неспокойствие Тревожността Тинит замаяност Размиване на зрението Тремор депресия или сънливост може да бъде ранно предупредителни признаци на токсичност на централната нервна система.
Трябва да се извърши внимателен и постоянен мониторинг на сърдечно -съдови и дихателни (адекватност на вентилацията) и състоянието на съзнанието на пациента след всяка локална анестетична инжекция на септокаин® (инжектиране на Articane HCl и епинефрин). Многократните дози Septocaine® (инжектиране на Articane HCl и Epinephrine) могат да причинят значително повишаване на нивата на кръвта поради възможно натрупване на лекарството или неговите метаболити. Най -ниската доза, която води до ефективна анестезия, трябва да се използва за намаляване на риска от високи плазмени нива и сериозни неблагоприятни ефекти. Толерантността към повишените нива на кръвта варира в зависимост от състоянието на пациента. Реанимационното оборудване кислород и други реанимационни лекарства трябва да бъдат налични за незабавна употреба. Трябва да се наблюдават предпазни мерки за администриране на епинефрин в раздел 5.3.
Нарушени пациенти възрастни пациенти, остро болни пациенти и педиатрични пациенти трябва да получават намалени дози, съизмерими с тяхната възраст и физическо състояние [виж Доза и приложение ]. No studies have been performed in patients with liver dysfunction and caution should be used in patients with severe hepatic disease.
Вазоконстрикторска токсичност
Septocaine® (инжектиране на Articane HCl и Epinephrine) съдържа епинефрин вазоконстриктор, който може да причини локална или системна токсичност и трябва да се използва предпазливо. Локалната токсичност може да включва исхемично нараняване или некроза, които могат да бъдат свързани със съдов спазъм. Septocaine® (инжектиране на Articane HCl и Epinephrine) трябва да се използва с повишено внимание при пациенти по време и след прилагане на мощни общи анестетични средства, тъй като при такива условия могат да възникнат сърдечни аритмии. Пациентите с периферно съдово заболяване и тези с хипертонично съдово заболяване могат да проявят преувеличена вазоконстрикторна реакция.
Американската сърдечна асоциация направи следната препоръка относно използването на местни анестетици с вазоконстриктори при пациенти с исхемична сърдечна болест: Вазоконстрикторните агенти трябва да се използват в локални разтвори на анестезия по време на дентална практика само когато е ясно, че процедурата ще бъде съкратена или аналгетата е по -дълбоко. Когато е посочен вазоконстриктор, трябва да се внимава, за да се избегне интраваскуларна инжекция. Трябва да се използва минималното възможно количество вазоконстриктор. (Kaplan 1986).
От съществено значение е да се аспирира преди всяка инжекция, за да се избегне прилагането на лекарството в кръвния поток.
Метемоглобинемия
Артикаин като други местни анестетици може да причини метхемоглобинемия, особено във връзка с агенти, предизвикващи метхемоглобин. Septocaine® (инжектиране на Articane HCl и Epinephrine) не трябва да се използва при пациенти с вродена или идиопатична метхемоглобинемия или при пациенти, които получават лечение с метимоглобин-индуциращи средства, тъй като те са по-податливи на индуцирана от лекарства метхемоглобинемия.
Признаците и симптомите на метхемоглобинемия могат да се забавят няколко часа след излагане. Първоначалните признаци и симптоми на метхемоглобинемия включват шисти сива цианоза, наблюдавана при устни и легла за нокти. В тежки случаи симптомите могат да включват централна цианоза главоболие летаргия замаяност умора Syncope dyspnea cns депресия припадъци Дисритмия и шок. Метемоглобинемията трябва да се обмисли, ако централната цианоза не реагира на кислородна терапия, особено ако са използвани агенти, предизвикващи метхемоглобин. Изчисленото насищане с кислород и импулсната оксиметрия са неточни при настройката на метхемоглобинемия. Диагнозата може да бъде потвърдена от повишено ниво на метмемоглобин от най -малко 10%. Развитието на метхемоглобинемия е свързана с дозата.
Управление на метхемоглобинемия
Ако метхемоглобинемията не реагира на прилагане на кислород, клинично значими симптоми на метхемоглобинемия, трябва да се лекува с прилагане на бавна интравенозна инжекция (над 5 минути) метиленово синьо при доза 1-2 mg/kg телесно тегло.
Анафилаксия и реакции на алергичен тип
Septocaine® (инжектиране на Articane HCl и Epinephrine) съдържа натриев метабисулфит А сулфит, който може да причини реакции на алергичен тип, включително анафилактични симптоми и животозастрашаващи или по-малко тежки астматични епизоди при определени податливи хора. Общото разпространение на чувствителността към сулфит в общата популация е неизвестно. Чувствителността към сулфит се наблюдава по-често при астматични, отколкото при неастматични хора.
Неклинична токсикология
Канцерогенеза мутагенеза Нарушаване на плодовитостта
Не са проведени проучвания за оценка на канцерогенния потенциал на Articaine HCI при животни. Пет стандартни теста за мутагенност, включително три in vitro Тестовете (немайните AMES тестват теста за хромозомна аберация на китайската аберация на бозайниците и тест за генна мутация на бозайници с Articaine HCl) и два in vivo Miconucleus Miconucleus (един с артикаин и епинефрин 1: 100000 и един с Articaine HCl само по себе си) не показват мутагинни ефекти.
Не се наблюдават ефекти върху мъжката или женската плодовитост при плъхове за артикаин и епинефрин 1: 100000, прилагани подкожно в дози до 80 mg/kg/ден (приблизително 2 пъти по -голямо от MRHD въз основа на телесната повърхност).
Използване в конкретни популации
Бременност
Тератогенни ефекти - Категория на бременността В.
Няма адекватни и добре контролирани проучвания при бременни жени със Septocaine® (Articane HCl и Epinephrine инжекция). Артикаин хидрохлорид и епинефрин (1: 100000) е показано, че увеличават смъртта на плода и скелетните вариации при зайци, когато се прилагат в дози приблизително 4 пъти по -голяма от максималната препоръчителна човешка доза (MRHD). Septocaine® (инжектиране на Articane HCl и Epinephrine) трябва да се използва по време на бременност само ако потенциалната полза оправдае потенциалния риск за плода.
При изследвания на ембрио-фетална токсичност при зайци 80 mg/kg подкожно (приблизително 4 пъти по-голямо от MRHD на базата на телесната повърхност) причиняват смърт на плода и увеличени скелетни вариации на плода, но тези ефекти могат да се дължат на тежка токсичност на майката, включително припадъци, наблюдавани при тази доза. За разлика от това, не са наблюдавани ембрио-фетални токсичности, когато артикаинът и епинефрин (1: 100000) се прилагат подкожно през целия органогенеза при дози до 40 mg/kg при зайци и 80 mg/kg при плъхове (приблизително 2 пъти по-голямо от MRHD въз основа на телесната повърхност).
В преди и следродилните проучвания за развитие подкожно приложение на хидрохлорид на артикаин към бременни плъхове по време на гестацията и лактацията в доза от 80 mg/kg (приблизително 2 пъти по-голямо от MRHD въз основа на телесната повърхност) увеличава броя на мъртвородените и неблагоприятно засяга пасивното избягване на мерката на учене в PUP. Тази доза също произвежда тежка токсичност на майката при някои животни. Доза от 40 mg/kg (приблизително равна на MRHD на база mg/m²) не доведе до тези ефекти. Подобно проучване, използващо артикаин и епинефрин (1: 100000), а не артикаин хидрохлорид, произвежда токсичност на майката, но няма ефекти върху потомството.
Можете ли да приемате Linzess, докато сте бременна
Кърмещи майки
Не е известно дали Septocaine® (Articane HCl и Epinephrine инжектиране) се екскретира в човешкото мляко. Тъй като много лекарства се отделят в предпазливостта на човешкото мляко, трябва да се упражняват, когато Septocaine® (Articane HCl и Epinephrine инжектиране) се прилага на медицинска сестра. При използване на Septocaine® (Articane HCl и Epinephrine Injection) сестринските майки могат да изберат да изпомпват и изхвърлят кърмата за приблизително 4 часа (на базата на плазмения полуживот на полувремето) след инжектиране на септнокаин® (Articane HCl и Epinephrine инжектиране) (за да се сведе до минимум поглъщането на бебето) и след това да се възобнови кърменето.
Педиатрична употреба
Безопасността и ефективността на Septocaine® (инжектиране на Articane HCl и Epinephrine) при педиатрични пациенти под 4 -годишна възраст не са установени. Safety of doses greater than 7 mg/kg (0.175 mL/kg) in pediatric patients has not been established. Safety and effectiveness was established in clinical trials with 61 pediatric patients between the ages of 4 and 16 years administered articaine hydrochloride 4% and ePinephrine 1: 100000 injections. Fifty-one of these patients received doses from 0.76 mg/kg to 5.65 mg/kg (0.9 to 5.1 mL) for simple dental procedures and 10 patients received doses between 0.37 mg/kg and 7.48 mg/kg (0.7 to 3.9 mL) for complex dental procedures. Approximately 13% of these pediatric patients required additional injections of anesthetic for complete anesthesia. Dosages in pediatric patients should be reduced commensurate with age body weight and physical condition [see Доза и приложение ].
Гериатрична употреба
При клинични изпитвания 54 пациенти на възраст между 65 и 75 години и 11 пациенти 75 години и над получават Septocaine® (Articane HCl и Epinephrine INVECTION), съдържащи епинефрин 1: 100000. Сред всички пациенти между 65 и 75 години дози от 0,43 mg/kg до 4,76 mg/kg (NULL,9 до 11,9 ml) се прилагат на 35 пациенти за прости процедури и дози от 1,05 mg/kg до 4,27 mg/kg (NULL,3 до 6,8 ml) са администрирани на 19 пациенти за сложни процедури. Сред 11 -те пациенти ≥ 75 години дози от 0,78 mg/kg до 4,76 mg/kg (NULL,3 до 11,9 ml) се прилагат на 7 пациенти за прости процедури и дози от 1,12 mg/kg до 2,17 mg/kg (NULL,3 до 5,1 ml) са администрирани на 4 пациенти за сложни процедури.
Приблизително 6% от пациентите на възраст между 65 и 75 години и нито един от 11 -те пациенти на възраст 75 години или повече не се нуждаят от допълнителни инжекции на анестетик за пълна анестезия в сравнение с 11% от пациентите между 17 и 65 години, които се нуждаят от допълнителни инжекции.
Не са наблюдавани общи разлики в безопасността или ефективността между възрастни субекти и по -млади лица и други докладвани клиничен опит не са идентифицирали разликите в отговорите между възрастни и по -млади пациенти, но по -голямата чувствителност на някои по -възрастни индивиди не може да бъде изключена.
Бъбречна/чернодробна недостатъчност
Не са проведени проучвания с артикаин хидрохлорид 4% и епинефрин 1: 200000 инжектиране или инжекция на артикаин 4% и инжекция на епинефрин 1: 100000 при пациенти с бъбречна или чернодробна дисфункция.
Информация за предозиране за септокаин
Острите аварийни ситуации от местните анестетици обикновено са свързани с високи плазмени нива, срещани по време на терапевтична употреба на локални анестетици или с непредвидено субарахноидно инжектиране на локален анестетичен разтвор [виж Предупреждения и ПРЕДПАЗНИ МЕРКИ ].
Първото съображение е превенцията, най -добре постигнато чрез внимателно и постоянно наблюдение на сърдечно -съдовите и респираторните жизнени признаци и състоянието на съзнанието на пациента след всяка локална инжекция с анестетична анестетика. При първия знак за промяна трябва да се прилага кислород.
Първата стъпка в управлението на конвулсии, както и хипо-вентилацията се състои в незабавно внимание към поддържането на патентен дихателен път и асистирана или контролирана вентилация, ако е необходимо. Адекватността на циркулацията трябва да бъде оценена. Ако конвулсиите продължават, въпреки адекватното респираторно лечение с подходяща антиконвулсантна терапия. Практикуващият трябва да е запознат с употребата на антиконвулсантни лекарства преди употребата на местни анестетици. Поддържащото лечение на кръвоносната депресия може да изисква прилагане на интравенозни течности и когато е подходящо вазопресор.
Ако не се лекуват незабавно, конвулсиите и сърдечно -съдовата депресия могат да доведат до хипоксия ацидоза брадикардия аритмии и/или сърдечен арест. Ако трябва да се въведат сърдечен арест, трябва да се въведат стандартни кардиопулмонални реанимационни мерки.
За допълнителна информация относно лечението с предозиране, обадете се на център за контрол на отровата (1-800-222-1222).
Противопоказания за септокаин
Septocaine (инжектиране на Articane HCl и Epinephrine) е противопоказано при пациенти, които са свръхчувствителни към продукти, съдържащи сулфити. Продуктите, съдържащи сулфити, могат да причинят реакции на алергичен тип, включително анафилактични симптоми и животозастрашаващи или по-малко тежки астматични епизоди при определени чувствителни хора. Чувствителността към сулфит се наблюдава по-често при астматични, отколкото при неастматични хора [виж Предупреждения и ПРЕДПАЗНИ МЕРКИ ].
Клинична фармакология for Septocaine
Механизъм на действие
Articaine HCl е амид локален анестетик. Местните анестетици блокират генерирането и проводимостта на нервните импулси, вероятно чрез увеличаване на прага за електрическо възбуждане в нерва чрез забавяне на разпространението на нервния импулс и чрез намаляване на скоростта на повишаване на потенциала за действие. Като цяло прогресията на анестезията е свързана с миелинирането на диаметъра и скоростта на проводимост на засегнатите нервни влакна. Епинефринът е вазоконстриктор, добавен към Articaine HCl, за да се забави абсорбцията в общата циркулация и по този начин да се удължи поддържането на активна концентрация на тъкан.
Фармакодинамика
Клинично редът на загуба на нервна функция е следният: (1) болка; (2) температура; (3) докосване; (4) проприоцепция; и (5) скелетен мускулен тонус.
Показано е, че появата на анестезия е в рамките на 1 до 9 минути след инжектиране на септенкаин® (инжектиране на Articane HCl и епинефрин). Пълната анестезия продължава приблизително 1 час за инфилтрации и до приблизително 2 часа за нервен блок.
Прилагането на Septocaine® (инжектиране на Articane HCl и Epinephrine) води до 3 към 5-кратно увеличение на плазмените концентрации на епинефрин в сравнение с изходната линия; Въпреки това при здрави възрастни изглежда не се свързва с значително повишаване на кръвното налягане или сърдечната честота, освен в случай на случайна интраваскуларна инжекция [виж Предупреждения и ПРЕДПАЗНИ МЕРКИ ].
Фармакокинетика
Абсорбция
След инжектиране на зъбната инжекция чрез субмукозния път на разтвор на артикаин, съдържащ епинефрин 1: 200000 articaine, достига пикова концентрация на кръвта около 25 минути след инжектиране на една доза и 48 минути след три дози. Пиковите плазмени нива на артикаин, постигнати след 68 и 204 mg дози, са съответно 385 и 900 ng/ml. След интраорално приложение на почти максимална доза от 476 mg артикаин достига пикови концентрации на кръв 2037 и 2145 ng/ml за разтвор на артикаин, съдържащ епинефрин 1: 100000 и 1: 200000, съответно приблизително 22 минути след дозата.
Разпределение
Приблизително 60 до 80% от Articaine HCl е обвързан с човешки серумен албумин и γ-глобулини при 37 ° C in vitro .
Метаболизъм
Articaine HCl се метаболизира чрез плазмена карбоксиестераза до основната си метаболитна артикаинова киселина, която е неактивна. Изследванията in vitro показват, че човешкият чернодробен микрозомен р450 изоензимната система метаболизира приблизително 5% до 10% от наличната артикаин с почти количествено превръщане в артикаинова киселина.
Екскреция
При дозата от 476 mg артикаин елиминационният полуживот е 43,8 минути и 44,4 минути за разтвор на артикаин, съдържащ съответно епинефрин 1: 100000 и 1: 200000. Articaine се екскретира предимно чрез урина с 53-57% от администрираната доза, елиминирана през първите 24 часа след прилагането на субмукоза. Артикаиновата киселина е основният метаболит в урината. Малкият метаболит глюкуронид с артикаинова киселина също е екскретиран в урината. Articaine представлява само 2% от общата доза, отделена в урината.
Специални популации
Не са проведени проучвания за оценка на фармакокинетиката на инжектирането на Septocaine® (инжекция на Articane HCl и Epinephrine) при педиатрични лица. Няма достатъчно информация, за да се определи дали фармакокинетиката на инжектирането на Septocaine® (инжектиране на Articane HCl и Epinephrine) се различава по раса.
Клинични изследвания
Три рандомизирани двойно-сляпо активно-контролирани проучвания са предназначени да оценят ефективността на Septocaine® (Articane HCl и Epinephrine инжекция), съдържащи епинефрин 1: 100000 като зъбен анестетик. Пациентите, вариращи на възраст от 4 години до над 65 години, претърпяха прости стоматологични процедури, като единични неусложнени екстракции рутинни оперативни процедури Единични апикални резекции и единични процедури на короната или сложни стоматологични процедури, като множество екстракции множество корони и/или мостови процедури с множество апикални резекции Алвеолектомии муко-коронки и други хирургични процедури по костите. Septocaine® (инжектиране на Articane HCl и Epinephrine), съдържащ епинефрин 1: 100000, се прилага като субмукозна инфилтрация и/или нервен блок. Ефективността се измерва веднага след процедурата, като пациентът и изследователката оценяват процедурната болка на пациента, използвайки 10 cm визуална аналогова скала (VAS), в която оценката от нула не представлява болка, а резултат от 10 представлява най -лошата болка, която може да се представи. Средните резултати от болката на пациента и изследовател са 0,3-0,4 см за прости процедури и 0,5-0,6 см за сложни процедури.
каква е най -високата доза оксикодон
Четири рандомизирани двойно-сляпо активно контролирани проучвания са проведени в сравнение с септокаин® (инжектиране на Articane HCl и епинефрин), съдържащи епинефрин 1: 100000 срещу Septocaine® (Articane HCl и Epinephrine INVECTION), съдържащи епинефрин 1: 200000. The first two studies used electric pulp testers (EPT) to evaluate the success rate (maximum EPT value within 10 minutes) onset and duration of Septocaine® (articane hcl and epinephrine injection) containing epinephrine 1:100000 versus Septocaine® (articane hcl and epinephrine injection) containing epinephrine 1:200000 and articaine solution without epinephrine in healthy adults between 18 и 65 години. Резултатите показват, че анестетичните характеристики на състава 1: 100000 и 1: 200000 не се различават значително.
A third study compared the difference in visualization of the surgical field after administration of Septocaine® (articane hcl and epinephrine injection) containing epinephrine 1:100000 versus Septocaine® (articane hcl and epinephrine injection) containing epinephrine 1:200000 during bilateral maxillary periodontal surgeries in patients ranging from 21 to 65 years old. Septocaine® (инжектиране на Articane HCl и Epinephrine), съдържащ епинефрин 1: 100000, осигурява по -добра визуализация на хирургичното поле и по -малка загуба на кръв по време на процедурите. В четвърто проучване, предназначено да оцени и сравнява сърдечно -съдовата безопасност, когато се наблюдава максимална доза на всяка формулировка, не са наблюдавани клинично значими разлики в кръвното налягане или сърдечната честота между съставите.
ЛИТЕРАТУРА
Kaplan El Editor. Сърдечно -съдови заболявания в денталната практика. Далас; Американска сърдечна асоциация; 1986.
Информация за пациента за септокаин
Загуба на усещане и мускулна функция:
Информирайте пациентите предварително за възможността за временна загуба на усещане и мускулна функция след инфилтрация и инжекции на нервния блок [виж Нежелани реакции ].
Инструктирайте пациентите да не ядат или пият, докато нормалното усещане не се върне.