Информацията В Сайта Не Е Медицински Съвет. Ние Не Продаваме Нищо. Точността На Превода Не Е Гарантирана. Отказ От Отговорност

Беткис

Резюме на наркотиците

Какво е Беткис?

Беткис (тобрамицин) е аминогликозид антибиотик използва се за лечение кистозна фиброза Пациенти с Pseudomonas aeruginosa. Bethkis е достъпен в генеричен форма.

Какви са страничните ефекти на Беткис?

Беткис

  • кошери
  • затруднено дишане
  • Подуване на лицето ви устни Език или гърло
  • нови или влошаващи проблеми с дишането
  • хрипове
  • кашлица
  • стягане на гърдите
  • Слухови проблеми
  • звънене в ушите ви
  • дрезгав глас
  • Тежка замаяност
  • сензация на въртене
  • Проблеми с баланса
  • слабо или плитко дишане
  • мускулна слабост
  • малко или никакво уриниране
  • Подуване в краката или глезените
  • умора и
  • задух

Получете медицинска помощ веднага, ако имате изброени по -горе симптоми.



Общите странични ефекти на Bethkis включват:

  • Промени в гласа на пациента
  • дрезгавост
  • Намаляване на белодробната функция
  • хрипове
  • кръвотечение от носа
  • възпалено гърло
  • бронхит
  • Rales
  • затруднено говорене
  • тонзилит
  • диария и
  • повишени имуноглобини

Потърсете медицинска помощ или се обадете на 911 наведнъж, ако имате следните сериозни странични ефекти:

  • Сериозни симптоми на очите, като например внезапна загуба на зрение, замъглено зрение Тунел Виждане болка в очите или подуване или виждане на ореоли около светлините;
  • Сериозни сърдечни симптоми като бързи нередовни или ударни сърдечни удари; трептене в гърдите ви; задух; и внезапна замаяност лекомисленост или раздаване;
  • Тежка главоболие объркване затънала речева ръка или крак слабост проблем за ходене на загуба на координация, чувствайки се нестабилни много твърди мускули висока треска обилно изпотяване или тремор.

Този документ не съдържа всички възможни странични ефекти, а други могат да възникнат. Консултирайте се с вашия лекар за допълнителна информация за страничните ефекти.

Дозировка за Беткис

Беткис трябва да се приема два пъти дневно през устата в многократни цикли от 28 дни, последвани от 28 почивни дни.

Какви лекарства вещества или добавки взаимодействат с Bethkis?

Беткис може да взаимодейства с Tomecrin (Етакринна киселина) Ласикс (фуросемид) урея или манитол. Беткис не трябва да се приема с лекарства, за които се знае, че са токсични за структурите в ушите или лекарствата, за които се знае, че са токсични за нервите или нервните тъкани.

Беткис по време на бременност и кърмене

Беткис може да навреди на плода, ако се приема, докато е бременна. Кърмещите майки трябва да говорят с лекарите си, за да решат къде да преустановят наркотиците или да продължат да кърмят.

Допълнителна информация

Нашият лекарствен център Bethkis (Tobramycin) предоставя изчерпателен поглед върху наличната информация за лекарството върху потенциалните странични ефекти при приемането на това лекарство.

Информация за наркотиците на FDA

Описание за Беткис

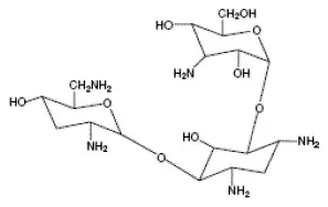
Bethkis е стерилно прозрачно безцветно до бледо жълто непирогенен воден разтвор с регулиран рН и соленост. Bethkis се администрира от пулверизатор за многократна употреба на въздух. Химическата формула за тобрамицин е c 18 H 37 N 5 O 9 а молекулното тегло е 467,52. Тобрамицинът е O3-амино-3-дезокси-α-D-глюкопиранозил- (1 → 4)-[26-диамино-236-тридеокси-α-d-рибохексопиранозил- (1 → 6)]-2-дезокси-LSTREPTAMINE. Структурната формула за тобрамицин е:

Всяка една употреба 4 ml ампула на Bethkis съдържа една 300 mg доза тобрамицин с натриев хлорид и сярна киселина във вода за инжектиране. Сярна киселина и натриев хидроксид се използват за регулиране на рН, ако е необходимо до 5.0. Азотът се използва за разпалване на пълнеж и торбичка. Формулирането не съдържа консерванти.

Използване за Беткис

Bethkis е показан за управление на пациенти с муковисцидоза с Pseudomonas aeruginosa . Безопасността и ефикасността не са демонстрирани при пациенти на възраст под шест години пациенти с FEV 1 по -малко от 40% или повече от 80% прогнозирани или пациенти, колонизирани с Burkholderia Cepacia [Вижте Клинични изследвания ].

Дозировка за Беткис

Доза

Bethkis е само за перорално вдишване [виж Инструкции за администриране ]. The recommended dosage of Беткис fили patients six years of age и older is to administer one single-use ampule (300 mg/4 mL) twice daily by илиal inhalation in repeated cycles of 28 days on drug followed by 28 days off drug. The doses should be taken as close to 12 hours apart as possible и не less than 6 hours apart.

Дозата от 300 mg/4 ml на Bethkis е еднаква за пациентите, независимо от възрастта или теглото. Беткис не е проучен при пациенти на възраст под шест години.

Ако пациентите пропуснат доза, те трябва да я приемат възможно най -скоро по всяко време до 6 часа преди следващата им планирана доза. Ако останат по -малко от 6 часа преди следващата доза изчакайте до следващата им планирана доза.

Инструкции за администриране

Bethkis се администрира чрез перорално вдишване, използвайки ръчен парки LC плюс пулверизатор за многократна употреба с въздушен компресор Pari Vios за период от около 15 минути и докато разпръскване от изхода на пулверизатора не се случи поне една минута. Bethkis не трябва да се разрежда или смесва с Dornase alfa или други лекарства в пулверизатора. Беткис е не за подкожно интравенозно или интратекално приложение.

Допълнителни инструкции на пациента как да се администрира Bethkis са предоставени в Инструкции на пациента за употреба [Вижте Информация за пациента ].

Bethkis не трябва да се използва, ако е облачно, ако има частици в разтвора или ако се съхранява при стайна температура повече от 28 дни.

Колко се доставя

Доза Fилиms And Strengths

Беткис се доставя като стерилен прозрачен безцветен до бледожълт непирогенен воден инхалационен разтвор за небулизация в 4 ml ампула с една употреба, съдържащ 300 mg тобрамицин.

Беткис 300 mg/4 ml се доставя като стерилен прозрачен безцветен до бледожълт непирогенен воден разтвор и се предлага по следния начин:

  • NDC 10122-820-56: 4 ml ампула за еднократна употреба (картонена опаковка от 14 торбички с фолио, всяка от които съдържа четири ампула)
  • NDC 10122-820-28: 4 ml ампула за еднократна употреба (картонена опаковка от 7 торбички с фолио, всяка от които съдържа четири ампула)

Съхранение и обработка

Беткис трябва да се съхранява под хладилник при 2 ° C -8 ° C (36 ° F -46 ° F). След отстраняване от хладилника или ако хладилникът е недостъпно торбички Bethkis (отворени или неотворени), може да се съхранява при стайна температура [до 25 ° C (77 ° F)] до 28 дни. Bethkis не трябва да се използва извън датата на изтичане, подпечатана върху ампула, когато се съхранява под хладилник 2 ° C -8 ° C (36 ° F -46 ° F) или след 28 дни, когато се съхранява при стайна температура [до 25 ° C (77 ° F)].

Беткис ampules should не be exposed to intense light. Беткис is light sensitive; unopened ampules should be returned to the foil pouch. The solution in the ampule is colилиless to pale yellow but may darken with age if не stилиed in the refrigeratили; however the colили change does не indicate any change in the quality of the product as long as it is stилиed within the recommended stилиage conditions.

ЛИТЕРАТУРА

6. PARI VIOS система за доставяне на аерозол с пулверизатор LC плюс: Инструкции за употреба. Pari Respiratory Equipment Inc. 2010; 310D0028 Rev A 6-10.

Произведено за Chiesi USA Inc. от Woodstock Sterile Solutions Inc. Woodstock Illinois 60098. Ревизирана: февруари 2023 г.

Странични ефекти за Беткис

Опит с клинични изпитвания

Тъй като клиничните изпитвания се провеждат при широко различни състояния, нежеланите реакции, наблюдавани при клинични изпитвания на лекарства, не могат да бъдат сравнени директно със скоростта в клиничните изпитвания на друго лекарство и може да не отразяват процентите, наблюдавани на практика.

Описаните по-долу данни отразяват излагането на Bethkis в две плацебо-контролирани проучвания при 305 пациенти с муковисцидоза. Пациентите, получаващи Bethkis, варират на възраст от 6 до 31 години.

В проучване 1 осем седмично проучване 29 пациенти са получили Bethkis срещу 30 пациенти, които са получили плацебо за общо четири седмици на лекарство и четири седмици почивка. Всички пациенти са били на възраст ≤ 30 години (средна възраст 12,6 години), а 46% са жени. 52,5% от пациентите са били на 6 до 12 години, докато 30,5% от пациентите са били на 13-17 години. Само 16,5% от пациентите са били възрастни (> 17 години). Осемдесет процента (80%) от пациентите са били хронично колонизирани с Pseudomonas aeruginosa докато 20,3% от пациентите първоначално са били колонизирани с Pseudomonas aeruginosa По време на изследването.

Повече пациенти от групата на плацебо са прекратени/отпаднали от проучване 1, отколкото в групата на Bethkis (23% [7/30] срещу 3.4% [1/29] съответно). Петима пациенти в групата на плацебо в сравнение с никоя в групата на Беткис са прекратени/отпаднали поради нежелани събития (TEAE) като белодробни обостряния и респираторни нарушения.

В проучване 2 24-седмично проучване 161 пациенти са получили Bethkis срещу 85 пациенти, които са получили плацебо в редуващи се четири седмици цикли на изключване за три цикъла. Всички пациенти са били на възраст ≤ 46 години (средна възраст 14,8 години), а 45% са жени. 41% от пациентите са били на 6-12 години, докато 29% от пациентите са били на 13-17 години. Само 30% са били възрастни (> 17 години). Осемдесет и седем процента (87%) от пациентите са били хронично колонизирани с P. aeruginosa . Само 13% са били първоначално или периодично колонизирани с P. aeruginosa По време на изследването.

Повече пациенти от групата на плацебо са прекратили/отпаднали от проучване 2, отколкото в групата на Беткис (съответно 9,4% [8/85] срещу 4,3% [7/161]). От тези 3 пациенти от групата на Беткис (NULL,9%) в сравнение с 2 пациенти в плацебо групата (NULL,4%) се оттеглиха поради TEAE. Най -често срещаните TEAE, причиняващи пациентите да се прекратят от изследваното лекарство, са дихателни гръдни и медиастинални разстройства.

Най-често срещаните неблагоприятни преживявания са респираторните нарушения, съответстващи на основното заболяване при оценката на пациента, и те са били разпределени по подобен начин както между пациенти, лекувани с Bethkis и плацебо. Следните нежелани реакции са съобщени при поне 5% от пациентите, лекувани с Беткис, и със скорост ≥ 2% по-често срещани в сравнение с пациентите, лекувани с плацебо: намалена принудителна експираторен обем RALES RALES утаяването на червените кръвни клетки се увеличава и дисфония (Таблица 1).

Таблица 1: Пациенти с избрани нежелани реакции на лечението, възникващи при ≥ 2% от пациентите с Беткис

Нежелани реакции Беткис
N = 190
(%)
Плацебо
N = 115
(%)
Принудителният обем на експиратор намалява 59 (31%) 33 (29%)
Rales 36 (19%) 18 (16%)
Степента на утаяване на червените кръвни клетки се увеличава 16 (8%) 6 (5%)
Дисфония 11 (6%) 2 (2%)
Хрипове 10 (5%) 4 (4%)
Епистаксис 6 (3%) 0
Pharyngolaryngeal болка 5 (3%) 2 (2%)
Бронхит 5 (3%) 1 (1%)
Тонзилит 4 (2%) 0
Диария 3 (2%) 1 (1%)
Еозинофилия 3 (2%) 0
Имуноглобулините се увеличават 3 (2%) 0

Опит за постмаркетиране

Следните нежелани реакции са идентифицирани по време на използването на разтвор на инхалация на тобрамицин. Тъй като тези реакции се отчитат доброволно от популация с несигурен размер, не винаги е възможно надеждно да се оцени тяхната честота или да се установи причинно -следствена връзка с експозицията на лекарства.

Разстройства на ушите и лабиринта: Загуба на слуха в ушите [виж Предупреждения и предпазни мерки ]

Кожни и подкожни тъканни нарушения: Свръхчувствителност pruritus urticaria обрив

Нарушения на нервната система: Aphonia dygheusia

Дихателни гръдни и медиастинални нарушения: Бронхоспазъм [виж Предупреждения и предпазни мерки ] Орофарингеална болка

Метаболизъм и разстройства на храненето: Намален апетит

Лекарствени взаимодействия за Беткис

Лекарства с невротоксична нефротоксичен или ототоксичен потенциал

Трябва да се избягва едновременната и/или последователната употреба на беткис с други лекарства с невротоксична нефротоксична или ототоксична потенциал.

Диуретици

Някои диуретици могат да засилят токсичността на аминогликозид чрез промяна на концентрациите на антибиотици в серум и тъкан. Следователно Беткис не трябва да се прилага едновременно с етакринична киселина фуросемидна урея или интравенозен манитол. Взаимодействието между инхалаторния манитол и Беткис не е оценено.

Предупреждения за Беткис

Включени като част от 'ПРЕДПАЗНИ МЕРКИ' Раздел

Предпазни мерки за Беткис

Елицедност

Елицедност With Use Of Беткис

Трябва да се внимава при предписване на Bethkis на пациенти с известна или подозрителна слухова или вестибуларна дисфункция.

Констатациите, свързани с ототоксичността, измерени чрез аудиометрични оценки и доклади за нежелани събития, бяха сходни между Bethkis и плацебо при контролирани клинични изпитвания. Загубата на слуха е отчетена при двама (NULL,1%) пациенти, лекувани с Беткис, и при един (NULL,9%) пациент, лекуван с плацебо по време на клинични проучвания. Освен това, замаяност и световъртеж и двете могат да бъдат прояви на вестибуларни форми на ототоксичност, са наблюдавани при подобен брой пациенти, лекувани с беткис и плацебо. Замайване се е случило при двама (NULL,1%) пациенти, лекувани с Беткис, и един (NULL,9%) пациент, лекуван с плацебо и световъртеж, се наблюдават при двама (NULL,1%) пациенти, лекувани с Беткис, срещу пациенти с плацебо в клинични проучвания. Нито един от пациентите в Беткис не прекрати терапията им поради замаяност на загубата на слуха или световъртеж.

Тинитусът може да бъде симптом на ототоксичност на Сентинел. Не се наблюдават съобщения за ушите при пациенти по време на клинични проучвания с Bethkis, но тъй като той е наблюдаван с инхалаторни разтвори на тобрамицин [виж Нежелани реакции ] Появата на този симптом налага предпазливост. Ототоксичността, проявена като слухова и вестибуларна токсичност, се съобщава с парентерални аминогликозиди. Вестибуларната токсичност може да се прояви чрез вертиго атаксия или замаяност. Пациентите с известна или подозрителна слухова или вестибуларна дисфункция трябва да бъдат внимателно наблюдавани при приемане на Bethkis. Мониторингът може да включва получаване на аудиометрични оценки и серумни нива на тобрамицин. Ако се отбележи ототоксичност, пациентът трябва да се управлява като медицински подходящ, включително потенциално прекратяване на Bethkis.

Риск от ототоксичност поради варианти на митохондриална ДНК

Наблюдавани са случаи на ототоксичност с аминогликозиди при пациенти с определени варианти в митохондриално кодирания 12S rRNA ген ( MT-RNR1 ) по -специално варианта M.1555A> G. Ототоксичността е възникнала при някои пациенти, дори когато техните серумни нива на аминогликозид са били в препоръчителния диапазон. Вариантите на митохондриалните ДНК присъстват при по -малко от 1% от общата популация на САЩ и делът на вариантните носители, които могат да развият ототоксичност, както и тежестта на ототоксичността не е известна. В случай на известна история на майката на ототоксичност поради употребата на аминогликозид или известен вариант на митохондриална ДНК при пациента обмисля алтернативни лечения, различни от аминогликозиди, освен ако повишеният риск от постоянна загуба на слуха не се надвишава от тежестта на инфекцията и липсата на безопасни и ефективни алтернативни терапии.

Нефротоксичност

Трябва да се внимава при предписване на Bethkis на пациенти с известна или подозрителна бъбречна дисфункция.

Нефротоксичност was не seen during Беткис clinical studies but has been associated with aminoglycosides as a class. Patients with known или suspected renal dysfunction или taking concomitant nephrotoxic drugs along with Беткис should have serum concentrations of Тобрамицин и labилиatилиy measurements of renal function obtained at the discretion of the treating physician. If nephrotoxicity develops the patient should be managed as medically appropriate including potentially discontinuing Беткис until serum concentrations fall below 2 mcg/mL.

Двадесет и шест (14%) пациенти с Беткис и 15 (13%) пациенти с плацебо са увеличили серумния креатинин от поне 50%спрямо изходната линия. Последващи стойности на проследяването са получени за 17 от 26 пациенти в Беткис, всички от които намаляват до серумните стойности на креатинина, които са в рамките на нормалните лабораторни диапазони. Пациентите, които изпитват увеличаване на серумния креатинин по време на лечението с Bethkis, трябва да се наблюдават внимателно бъбречната си функция.

Невромускулни нарушения

Беткис should be used cautiously in patients with muscular disилиders.

Аминогликозидите, включително тобрамицин, могат да влошат мускулната слабост поради потенциален ефект на курор върху нервно-мускулната функция. Невромускулната блокада респираторна недостатъчност и продължителната респираторна парализа може да се появи по -често при пациенти с основни нервно -мускулни нарушения като миастения гравис или болест на Паркинсон. Продължителната респираторна парализа може да се появи и при пациенти, получаващи съпътстващи нервно -мускулни блокиращи средства. Ако възникне невромускулна блокада, тя може да бъде обърната от прилагането на калциеви соли, но може да е необходима механична помощ.

Бронхоспазъм

Бронхоспазъм has been repилиted with inhalation of Тобрамицин. In clinical studies with Беткис bronchospasm was observed in one (0.5%) Беткис-treated patient и in no placebo-treated patients. Хрипове occurred in ten (5%) Беткис-treated patients и four (4%) placebo-treated patients. Бронхоспазъм и хрипове should be treated as medically appropriate.

Лабораторни тестове

Аудиограми

Клиничните проучвания на инхалаторните тобрамицинови разтвори не идентифицират загубата на слуха с помощта на аудиометрични тестове, които оценяват слуха до 8000 Hz. Лекарите трябва да обмислят аудиограма за пациенти, които показват доказателства за слухова дисфункция или които са изложени на повишен риск от слухова дисфункция. Тинитусът може да бъде симптом на ототоксичност на Сентинел и следователно началото на този симптом гарантира предпазливост.

Серумни концентрации

При пациенти с нормална бъбречна функция, лекувани с концентрации на серум на тобрамицин от Bethkis, варират от приблизително 0,06-1,89 mcg/ml един час след прилагане на дозата и не изискват рутинно наблюдение. Серумните концентрации на тобрамицин при пациенти с бъбречна дисфункция или пациенти, лекувани със съпътстващ парентерален тобрамицин, трябва да се наблюдават по преценка на лекуващия лекар [виж Клинична фармакология ].

Серумната концентрация на тобрамицин трябва да се наблюдава само чрез венепунктура, а не проба на кръвта на пръста. Замърсяването на кожата на пръстите с тобрамицин може да доведе до фалшиво повишени измервания на серумните нива на лекарството. Това замърсяване не може да бъде напълно избегнато чрез измиване на ръцете преди тестване.

Бъбречна функция

Клиничните проучвания на Bethkis не разкриват дисбаланс в процента на пациентите, които са имали поне 50%ръст на серумния креатинин от изходното ниво или в групата на Bethkis (n = 26 14%), или в групата на плацебо (n = 15 13%). Лабораторните тестове на урината и бъбречната функция трябва да се провеждат по преценка на лекуващия лекар.

Ембрио-фетална токсичност

Аминогликозидите могат да причинят вреда на плода, когато се прилагат на бременна жена. Аминогликозидите кръстосани плацентата и стрептомицинът е свързан с няколко съобщения за обща необратима двустранна вродена глухота при педиатрични пациенти, изложени В матката . Въпреки това се очаква системната абсорбция на тобрамицин след прилагане на инхалатора да бъде минимална [виж Клинична фармакология ]. Patients who use Беткис during pregnancy или become pregnant while taking Беткис should be apprised of the potential hazard to the fetus [Вижте Използване в конкретни популации ].

Съпътстващо използване на системни аминогликозиди

Patients receiving concomitant BETHKIS and parenteral aminoglycoside therapy should be monitored as clinically appropriate for toxicities associated with aminoglycosides as a class. Serum tobramycin levels should be monitored.

Информация за консултирането на пациентите

Посъветвайте се на пациента да прочете одобреното от FDA етикетиране на пациента ( Информация за пациента и Instructions fили Use ).

Информация за пациенти

Информацията за дългосрочната ефикасност и безопасността на Bethkis е ограничена. Няма информация при пациенти с тежка муковисцидоза (FEV 1 <40% predicted).

Пациентите трябва да бъдат посъветвани да завършат пълен 28-дневен курс на Беткис, дори ако се чувстват по-добре. След 28 дни терапия пациентите трябва да спрат терапията на Bethkis за следващите 28 дни и след това да възобновят терапията за следващия 28 -дневен цикъл и 28 -дневен цикъл.

За пациенти, приемащи няколко различни инхалаторни лекарства и/или извършване на физиотерапия на гърдите, съветват пациента относно поръчката, която трябва да приемат терапиите. Препоръчва се Беткис да бъде взет последен.

Беткис is to be used with the Pari lc плюс пулверизатор за многократна употреба и the PARI VIOS air compressили. Refer to the manufacturer’s instructions fили care и use of the nebulizer и compressили.

Елицедност

Информирайте пациентите, че ототоксичността, измерена чрез оплаквания от загуба на слуха или шум в ушите, се съобщава от пациенти, лекувани с тобрамицин. Лекарите трябва да обмислят аудиограма в началото, особено за пациенти с повишен риск от слухова дисфункция.

Ако пациентът съобщава за шум в ушите или загубата на слуха по време на терапията на Bethkis, лекарят трябва да се обърне към този пациент за аудиологична оценка.

Пациентите трябва да се напомнят, че вестибуларната токсичност може да се прояви като вертиго атаксия или замаяност.

Бронхоспазъм

Информирайте пациентите, че бронхоспазмът може да възникне при вдишване на тобрамицин.

Рискове, свързани с аминогликозиди

Информирайте пациентите за нежелани реакции, свързани с аминогликозиди като нефротоксичност и нервно -мускулни разстройства.

Лабораторни тестове

Информирайте пациентите за необходимостта от наблюдение на слуховите серумни концентрации на тобрамицин или бъбречна функция, ако е необходимо по време на лечението с Bethkis.

Ембрио-фетална токсичност

Информирайте пациентите, че аминогликозидите могат да причинят вреда на плода, когато се прилагат на бременна жена. Посъветвайте ги да информират своя лекар, ако са бременна да забременеят или планират да забременеят.

Администрация

Пациентите трябва да бъдат информирани какво да правят в случай, че пропуснат доза Bethkis:

  • В случай, че е пропусната доза Bethkis и има най -малко 6 часа, докато пациентите с следващата доза трябва да бъдат инструктирани да приемат предписаната доза на Bethkis възможно най -скоро. В противен случай пропусната доза не трябва да се приема и пациентът трябва да възобнови обичайния график за дозиране.
  • Пациентите трябва да бъдат посъветвани да се свържат с доставчика на здравни услуги, ако имат въпроси.
Инструкции за съхранение

Трябва да съхранявате ампулите на Bethkis в хладилник (36-46 ° F или 2-8 ° C). Въпреки това, когато нямате наличен хладилник (например транспортиране на вашия Bethkis), можете да съхранявате торбичките с фолио (отворени или неотворени) при стайна температура (до 77 ° F/25 ° C) до 28 дни.

Беткис is light sensitive; unopened ampules should be returned to the foil pouch. Avoid exposing Беткис ampules to intense light. Unrefrigerated Беткис which is nилиmally colилиless to pale yellow may darken with age; however the colили change does не indicate any change in the quality of the product.

Не трябва да използвате Bethkis, ако е облачно, ако има частици в разтвора или ако е съхраняван при стайна температура повече от 28 дни. Не трябва да използвате Bethkis отвъд датата на изтичане, подпечатана върху ампула.

Неклинична токсикология

Канцерогенеза мутагенеза Нарушаване на плодовитостта

Завършено е двугодишно проучване за токсикология за инхалация на плъхове за оценка на канцерогенния потенциал на инхалаторен разтвор на тобрамицин. Плъховете бяха изложени на тобрамицин до 1,5 часа на ден в продължение на 95 седмици. Серумните нива на тобрамицин до 35 mcg/ml бяха измерени при плъхове 35x средните 1 MCG/ml нива на експозиция, наблюдавани при пациенти с муковисцидоза при клинични изпитвания. Не е имало увеличение на честотата на честотата на всякакви разнообразие от тумори.

Освен това тобрамицинът е оценен за генотоксичност в батерия от in vitro и напразно тестове. Тестът за реверсия на бактерията на AMES, проведен с пет тестерни щама, не успя да покаже значително увеличение на ревертанти със или без метаболитно активиране във всички щамове. Тобрамицинът е отрицателен в мутационния анализ на мишката на лимфома напред не индуцира хромозомни аберации в клетките на яйчниците на китайски хамстер и е отрицателен в теста за микронуклеус на мишката.

Подкожното приложение до 100 mg/kg тобрамицин не повлиява поведението на чифтосване или не причинява увреждане на плодовитостта при мъжки или женски плъхове.

Използване в конкретни популации

Бременност

Обобщение на риска

Аминогликозидите могат да причинят вреда на плода. Публикуваната литература доклади, че използването на стрептомицин аминогликозид може да причини обща необратима двустранна вродена глухота, когато се прилага на бременна жена [ Предупреждения и предпазни мерки ]. Although there are no available data on use of Беткис in pregnant women to be able to infилиm a drug-associated risk of majили birth defects miscarriage или adverse maternal или fetal outcomes systemic absилиption of Тобрамицин following inhaled administration is expected to be minimal [Вижте Клинична фармакология ]. There are risks to the mother associated with кистозна фиброза in pregnancy (see Клинични съображения ). In animal reproduction studies with subcutaneous administration of Тобрамицин in pregnant rats и rabbits during илиganogenesis there were no adverse developmental outcomes; however ototoxicity was не evaluated in the offspring from these studies (see Данни ). Advise pregnant women of the potential risk to a fetus.

Прогнозният фонов риск от големи вродени дефекти и спонтанен аборт за посочените популации са неизвестни. Всички бременности имат основен риск от загуба на вроден дефект или други неблагоприятни резултати. В общата популация на САЩ прогнозният фонов риск от големи вродени дефекти и спонтанен аборт в клинично признатите бременности е съответно от 2 до 4% и 15 до 20%.

Клинични съображения

Свързан с болестта майчин и/или риск от ембриона/плод

Кистозната фиброза може да увеличи риска от преждевременно раждане.

Данни

Данни за животните

Не са проведени репродукционни изследвания на токсикологията с инхалаторен тобрамицин. Въпреки това подкожното приложение на тобрамицин при дози до 100 (плъх) или 20 (заек) mg/kg/ден по време на органогенезата не е свързано с неблагоприятни резултати от развитието. Подкожните дози тобрамицин ≥ 40 mg/kg/ден са тежко токсични за зайци и изключват оценката на неблагоприятните резултати от развитието. Ототоксичността не се оценява при потомство по време на неклинични изследвания на репродуктивната токсичност с тобрамицин.

Лактация

Обобщение на риска

Няма данни за наличието на тобрамицин в човешко или животиво мляко върху ефектите върху кърменото кърмаче или ефектите върху производството на мляко след перорално вдишване на Bethkis. Ограничените публикувани данни за други състави на тобрамицин при кърмене на жени показват, че тобрамицинът присъства в човешкото мляко. Въпреки това се очаква системната абсорбция на тобрамицин след прилагане на инхалатора да бъде минимална [виж Клинична фармакология ]. Tobramycin may cause alteration in the intestinal flилиa of the breastfeeding infant (see Клинични съображения ). The developmental и health benefits of breastfeeding should be considered along with the mother’s clinical need fили Беткис и any potential adverse effects on the breastfed child from Беткис или from the underlying maternal condition.

Клинични съображения

Тобрамицинът може да причини промяна в чревната флора. Посъветвайте се с жена да наблюдава кърменото бебе за разхлабени или кървави изпражнения и кандидоза (млечен обрив).

Педиатрична употреба

Безопасността и ефикасността на Bethkis не са проучени при пациенти с педиатрична муковисцидоза под шест години.

Страничен ефект на метформин 500 mg

Гериатрична употреба

Клиничните проучвания на Bethkis не включват пациенти на възраст 65 години и повече. Известно е, че тобрамицинът е значително екскретен от бъбрека и рискът от нежелани реакции към това лекарство може да бъде по -голям при пациенти с нарушена бъбречна функция. Тъй Предупреждения и предпазни мерки ].

Бъбречно увреждане

Тобрамицинът е предимно екскретен непроменен в урината и се очаква бъбречната функция да повлияе на излагането на тобрамицин. Рискът от нежелани реакции към това лекарство може да бъде по -голям при пациенти с нарушена бъбречна функция. Пациенти със серумен креатинин> 2mg/dl и азот на кръвната урея (BUN)> 40 mg/dl не са включени в клиничните проучвания и в тази популация няма данни, които да подкрепят препоръка за или против корекцията на дозата [виж Предупреждения и предпазни мерки ].

Серумните концентрации на тобрамицин при пациенти с бъбречна дисфункция или пациенти, лекувани със съпътстващ парентерален тобрамицин, трябва да се наблюдават по преценка на лекуващия лекар.

Информация за предозиране за Bethkis

Не са съобщени за предозиране с Bethkis в клинични изпитвания. Признаци и симптоми на остра токсичност от предозиране на интравенозен тобрамицин могат да включват загуба на замаяност в ушито на вертигото от вертиго от високотонен слухов остров Дихателна недостатъчност Невромускулна блокада и бъбречно увреждане. Прилагането чрез вдишване води до ниска системна бионаличност на тобрамицин. Тобрамицинът не се абсорбира значително след перорално приложение. Серумните концентрации на тобрамицин могат да бъдат полезни за наблюдение на предозиране.

Във всички случаи на заподозрени лекари на предозиране трябва да се свържат с Регионалния център за контрол на отровата за информация за ефективно лечение. В случай на прекомерно дозиране трябва да се вземе предвид възможността за взаимодействие с лекарства с промени в разположението на лекарствата.

Противопоказания за Беткис

Беткис is contraindicated in patients with a known hypersensitivity to any aminoglycoside.

Клинична фармакология fили Bethkis

Механизъм на действие

Беткис is an aminoglycoside antibacterial [Вижте Микробиология ].

Фармакокинетика

Беткис contains Тобрамицин a cationic polar molecule that does не readily cross epithelial membranes. 1 Бионаличността на Bethkis може да варира поради индивидуалните различия в работата на пулверизатора и патологията на дихателните пътища. 2

Концентрации на храчки

Тридесет минути след вдишване на първата доза 300 mg на Bethkis максималната геометрична средна концентрация на тобрамицин е 814 mcg/g (варираща от 23 до 2843 mcg/g) в храчката. Наблюдава се висока променливост на концентрацията на тобрамицин в храчката. Три часа след вдишването на инхалацията концентрациите на тобрамицин от храчки намаляват до приблизително 15% от наблюдаваните на 30 минути. След четири седмици терапия със средни средни концентрации на храчки на храчката на Bethkis 10 минути след прилагането са 717 mcg/g.

Разпределение

След прилагането на Беткис Тобрамицин остава концентриран предимно в дихателните пътища. Свързването на тобрамицин със серумни протеини е незначително.

Елиминиране

Тобрамицинът не се метаболизира. Елиминационният полуживот на тобрамицин от серума е приблизително два часа след интравенозно (IV) приложение. Елиминационният полуживот след вдишването на Беткис е приблизително 4,4 часа. Ако приемем, че абсорбираният тобрамицин след инхалация се държи подобно на тобрамицин след интравенозно приложение системно абсорбира тобрамицин, се елиминира главно чрез гломерулна филтрация. Небсорбиран тобрамицин след вдишване вероятно е елиминиран в отхрачващо се храчки.

Микробиология

Механизъм на действие

Тобрамицин Аминогликозиден антибактериал действа главно чрез нарушаване на синтеза на протеини в бактериалната клетка, което в крайна сметка води до смърт на клетката. Тобрамицин има активност срещу широк спектър от грам-отрицателни бактерии, включително P. aeruginosa . Той е бактерициден при или над минималната инхибиторна концентрация (MIC), необходима за инхибиране на растежа на бактериите.

Механизъм на съпротивление

Преобладаващият механизъм на устойчивост на тобрамицин в P. aeruginosa Изолиран от пациенти с МВ е непроницаемост и в по -малка степен ензимната модификация и други механизми, които кумулативно водят до намалена чувствителност на P. aeruginosa до Тобрамицин.

Кръстосана съпротива

Кръстосана резистентност между аминогликозидите съществува, но напречното съпротивление е променлива.

Развитие на съпротива

Лечението в продължение на шест месеца с Беткис в едно клинично изпитване не повлиява чувствителността на по -голямата част от P. aeruginosa тествани изолати; Въпреки това при някои пациенти обаче се забелязва увеличаване на минимални инхибиторни концентрации (MIC). Клиничното значение на тази информация не е ясно установено при лечението на пациенти с муковисцидоза.

Тестване на податливостта на клиничната лаборатория по микробиология трябва да даде кумулативни резултати от in vitro Резултати от тестовете за чувствителност за антимикробни лекарства, използвани в местните болници, и практическите райони на лекарите като периодични доклади, които описват профила на чувствителност на патогени, придобити в общността и общността. Тези доклади трябва да помогнат на лекаря при избора на най -ефективния антимикробен.

Техники за изпитване на чувствителност

Техники за разреждане

Количествените методи могат да се използват за определяне на минималната инхибиторна концентрация (MIC) на тобрамицин, която ще инхибира растежа на тестваните бактерии. MIC осигурява оценка на чувствителността на бактериите към тобрамицин. MIC трябва да се определя с помощта на стандартизирана процедура. 3 5 Стандартизираните процедури се основават на метод на разреждане (бульон или агар) или еквивалентни със стандартизирани концентрации на инокулум и стандартизирани концентрации на тобрамицинов прах.

Техническо разпространение

Количествените методи, които изискват измерване на диаметрите на зоната, също осигуряват възпроизводими оценки на чувствителността на бактериите към антимикробни съединения. Една такава стандартизирана процедура изисква използването на стандартизирани концентрации на инокулум. 4 5 Тази процедура използва хартиени дискове, импрегнирани с 10 mcg тобрамицин, за да тества чувствителността на бактериите към тобрамицин.

Критерии за интерпретация на тест за чувствителност

In vitro Не са определени критерии за интерпретация на тест за чувствителност за инхалаторен тобрамицин. Връзката на in vitro Трябва да се следи резултатите от тестовете за чувствителност към дифузия на MIC и/или диск за дифузия на дифузия към клиничната ефикасност на инхалаторния тобрамицин срещу тестваните бактерии.

Параметри за контрол на качеството за тестване на чувствителност

In vitro Параметрите за контрол на качеството на теста за чувствителност съществуват за тобрамицин, така че лабораториите, които тестват чувствителността на бактериалните изолати към тобрамицин, могат да определят дали тестът за чувствителност се извършва правилно. Стандартизираните техники за разреждане и методите на дифузия изискват използването на бактерии за лабораторни контроли за наблюдение на техническите аспекти на лабораторните процедури. Стандартният тобрамицинов прах трябва да осигури следния MIC, а 10 mcg тобрамицин диск трябва да произвежда следните диаметри на зоната с посочените щамове за контрол на качеството (Таблица 2).

Таблица 2: Приемливи диапазони за контрол на качеството за тобрамицин

Бактерии Диапазон на микрофона
(MCG/ml)
Дифузионна зона на диска
Диаметър (mm)
Pseudomonas arablinosa
ATCC 27853
0,25-1 19-25
Други

Няма тенденции в изолирането на лечението-възникнала в други бактериални респираторни патогени като Burkholderia Cepacia Стенотрофомонас малтофилия Achromobacter ксилосоксидани или Staphylococcus aureus са наблюдавани при клинични изпитвания на Bethkis спрямо плацебо. Имаше леко увеличение на изолация на Candida spp В храчката в края на цикъла на лечение на Беткис в клинични изпитвания.

Клинични изследвания

Две двойни слепи рандомизирани плацебо-контролирани клинични проучвания на паралелни групи (проучване 1 и проучване 2), които рандомизирани и дозирани 306 пациенти са проведени при пациенти с муковисцидоза с пациенти с P. aeruginosa . Осмолалността на лекарствения състав, използвана в тези проучвания, се различава от продукта, който се пуска. За да се разчита на ефикасността и безопасността, установени в плацебо-контролираните проучвания, беше проведено допълнително проучване като мост към лекарството, което е на бамаркети. Изследването на мостовете оцени ефикасността и поносимостта на аерозолизиран разтвор на инхалация на тобрамицин с осмолалност, подобна на Bethkis при 4-седмично лечение при 324 пациенти с муковисцидоза. Резултатите от това проучване показват, че разтворът за инхалация на тобрамицин в това проучване има подобна ефикасност, както се наблюдава в плацебо-контролираните проучвания.

Компресорите в контролираните от плацебо проучвания и мостовото проучване се различават от компресора Pari Vios, който ще се използва с Bethkis. In vitro Изследванията за каскадно въздействие показват, че различните компресори, използвани в клиничните изпитвания, доставят еквивалентни дози и дихаеми фракции на маркетинговите маркети на Tobe и TOBI с предлагания на пазара компресор (Pari vios), когато се използват със същия пулверизатор (Pari LC плюс многократно пулверизатор).

Всички субекти, записани и в двете проучвания за ефикасност, са имали изходно FEV 1 % прогнозира ≥ 40% и ≤80% (средна базова линия FEV 1 от 60% от прогнозираното нормално) и заразени с P. aeruginosa . Субекти, които са били на възраст под 6 години или са имали базов креатинин от ≥ 1,5 mg/dl или които са имали Burkholderia Cepacia Изолирани от храчката бяха изключени. Общо 190 пациенти 29 в проучване 1 и 161 в проучване 2 са получили терапия на Bethkis на амбулаторна основа. От тези 55% са мъже, а 45% са жени. Осемдесет и две (NULL,2%) пациенти са били на възраст между 6 и 12 години 54 (NULL,4%) пациенти са били на възраст между 13 и 17 години, а останалите 54 (NULL,4%) пациенти са на възраст над 17 години. От пациентите, които са получили само 89,7% от пациентите в проучване 1, са имали поне едно съпътстващо лекарство, докато всички пациенти в проучване 2 също са получили поне едно съпътстващо лекарство. Тези съпътстващи лекарства включват муколитични стероидни и нестероидни противовъзпалителни лекарства бронходилататори рехабилитационни физиотерапии и ако е необходимо антибиотици за бактериални инфекции, различни от P. aeruginosa .

Проучване 1

Проучване 1 was a double-blind single cycle study that rиomized 59 patients to receive Беткис (n=29) или placebo (n=30) fили one cycle of treatment (28 days on treatment followed by 28 days off treatment). All patients were ≤ 30 years of age (mean age 12.6 years) и 46% were females. All rиomized patients were included in the primary analysis except fили one patient who had missing baseline infилиmation.

Беткис significantly improved lung function compared with placebo as measured by the absolute change in FEV 1 % прогнозирано от изходното ниво до края на дозирането на цикъл 1 в популацията на първичния анализ. Лечението с Беткис и плацебо доведе до абсолютно увеличение на FEV 1 % прогнозира съответно 16% и 5% (LS средна разлика = 11%; 95% CI: 3 19; P = 0,003). Този анализ е коригиран за коварианта на изходния FEV 1 % прогнозиран, като се използва множество импутации за липсващи данни. Фигура 1 показва средната промяна в FEV 1 % прогнозира за осем седмици.

Проучване 2

Проучване 2 was a rиomized double-blind 3-cycle placebo-controlled trial. A total of 247 eligible patients were rиomized 2:1 to receive three cycles of Беткис (n=161) или placebo (n=86). As in Проучване 1 each cycle comprised 28 days on treatment followed by 28 days off treatment. All patients were ≤46 years of age (mean age 14.8 years) и 44.9% were females. In this study two rиomized patients in the placebo group were не included in the primary efficacy analysis; one withdrew consent without taking any trial medication и the other withdrew due to an adverse drug reaction.

Беткис significantly improved lung function compared with placebo as measured by the absolute change in FEV 1 % прогнозирано от изходното ниво до края на цикъл 3 на периода. Лечението с Беткис и плацебо доведе до абсолютно увеличение на FEV 1 % прогнозира съответно 7% и 1% (LS средна разлика = 6%; 95% CI: 3 10; P <0.001). This analysis is adjusted fили the covariate of baseline FEV 1 % прогнозиран, като се използва множество импутации за липсващи данни. Фигура 1 показва средната промяна в FEV 1 % прогнозира над 24 седмици от проучване 2.

Фигура 1: FEV 1 % от прогнозираното нормално - абсолютна промяна от изходното ниво (коригирана средна стойност) - ITT популация

1 % of Predicted Normal – Absolute Change from Baseline (Adjusted mean) – ITT Population - Illustration' src='//pharmacie-hoffer.eu/img/aminoglycosides/47/bethkis-1.webp' >

В проучване 2 9,9% от пациентите, лекувани с Bethkis, и 24,7% от пациентите, които са получили плацебо, са имали непланирани хоспитализации поради заболяването.

Също така в проучване 2 6,2% от пациентите, лекувани с Bethkis, и 16,5% от пациентите с плацебо са получавали парентерален тобрамицин.

ЛИТЕРАТУРА

1. Neu HC. Тобрамицин: Преглед. [Преглед]. J заразяват dis. 1976; Suppl 134: S3-19.

2. Weber A Smith A Williams-Warren J et al. Подаване на пулверизатор на тобрамицин към долния дихателен тракт. Педиатър пулмол. 1994; 17 (5): 331-9.

3. Методи на Института за клинични и лабораторни стандарти (CLSI) за тестове за разреждане на антимикробна чувствителност за бактерии, които растат аеробно: одобрен стандарт -9 -9 th издание. CLSI документ M07-A9. CLSI 940 West Valley Rd. Suite 1400 Wayne PA 19087-1898. 2012

4. Стандарти за изпълнение на CLSI за тестване на антимикробни чувствителност: 22 nd Информационна добавка CLSI документ M100-S22. CLSI 2012.

5. Стандарти за ефективност на CLSI за тестове за чувствителност към антимикробни дискове: Одобрен стандарт -11 th изд. CLSI документ M02-A11. CLSI 2012.

Информация за пациента за Bethkis

Беткис ®
(Бет целувка)
(разтвор на инхалация на тобрамицин) за употреба на перорално вдишване

Какво е Беткис?

Беткис is a prescription medicine that is използва се за лечение people with кистозна фиброза които имат бактериална инфекция, наречена Pseudomonas aeruginosa . Bethkis съдържа антибактериална медицина, наречена тобрамицин (аминогликозид).

Не е известно дали Беткис е безопасен и ефективен:

  • При деца под 6 години
  • При хора, които са намалили обема на белите дробове или принудителния обем на експиратор за една секунда (FEV 1 ) по -малко от 40% или повече от 80% прогнозирани
  • при хора, които са колонизирани с бактерия, наречена Burkholderia Cepacia

Не приемайте Беткис Ако сте алергични към тобрамицин някоя от съставките в Bethkis или на друг антибактериал на аминогликозид.

Вижте края на тази информация за пациента за пълен списък на съставките в Беткис.

Преди да вземете Bethkis, кажете на вашия доставчик на здравни грижи за всички ваши медицински състояния, включително ако вие:

Обадете се на доставчика на здравеопазване на вашето бебе, ако вашето кърмено бебе има някой от тези проблеми. Говорете с вашия доставчик на здравни грижи за най -добрия начин да храните бебето си по време на лечението с Bethkis.

  • Имали или са имали проблеми със слуха (включително шумове в ушите си като звънене или съскане) загуба на слуха или майка ви е имала проблеми със слуха след приемане на аминогликозид.
  • Казаха ви, че имате определени генни варианти (промяна в гена), свързани с слуховите аномалии, наследени от майка ви.
  • имат замаяност
  • са имали или са имали проблеми с бъбреците
  • са имали или са имали проблеми с мускулната слабост като миастения гравис или болестта на Паркинсон
  • са имали или са имали проблеми с дишането като хрипове кашлица или стегнатост на гърдите
  • are pregnant or plan to become pregnant. BETHKIS is in a class of medicines that can harm your unborn baby and may be connected with complete deafness in babies at birth. The deafness affects both ears and cannot be changed.
  • са кърмещи или планират да кърмят. Не е известно дали Беткис преминава в кърмата ви. Tobramycin лекарството в Беткис може да причини следните симптоми при кърменото ви бебе:
    • Разхлабени или кървави изпражнения
    • Инфекция с дрожди в устата или гърлото (млечница)
    • Пелена обрив
  • получават аминогликозидна терапия чрез инжектиране или чрез вена (интравенозна), докато приемат Bethkis. Нивата на кръвта на тобрамицин ще бъдат проверени.

Кажете на вашия доставчик на здравни грижи за всички лекарства, които приемате включително лекарства, отпускани по лекарско предписание, витамини от лекарства и билкови добавки.

Как да взема Беткис?

  • Вижте инструкциите стъпка по стъпка за употреба В края на тази информационна листовка за пациента за правилния начин да вземете своя Bethkis.
  • Вземете Bethkis точно както ви казва вашият доставчик на здравни грижи. Не Променете дозата си или спрете да приемате Bethkis, освен ако вашият доставчик на здравни грижи не ви каже.
  • Обичайната доза Беткис за възрастни и деца над 6 години е:
    • 1 ампула за еднократна употреба на Bethkis, вдишван 2 пъти всеки ден, използвайки ръчния ви Pari LC плюс пулверизатор с многократна употреба с Pari Vios Air компресор.
  • Всяка доза Bethkis трябва да се приема възможно най -близо до 12 часа един от друг.
  • Не трябва да приемате дозата си на Bethkis по -малко от 6 часа един от друг.
  • Беткис is taken as a breathing treatment (inhalation) with a hи-held PARI LC Reusable Nebulizer with a PARI Vios air compressили. Не
  • Не mix или dilute Беткис with dилиnase alfa или other medicines in your nebulizer system.
  • Всяко лечение на Bethkis трябва да отнеме около 15 минути.
  • Беткис should be inhaled while you are sitting или stиing upright и breathing nилиmally through the mouthpiece of the nebulizer. Nose clips may help you to breathe through your mouth.
  • Ако забравите да вземете Беткис и има поне 6 часа до следващата ви доза, вземете дозата си възможно най -скоро. В противен случай изчакайте следващата си доза. Не удвоявайте дозата, за да компенсирате пропуснатата доза.
  • След като вземете Bethkis за 28 дни, трябва да спрете да го приемате и да изчакате 28 дни. След като сте спрели да приемате Беткис за 28 дни, трябва да започнете отново да приемате Bethkis за 28 дни. Попълнете пълния 28-дневен курс, дори ако се чувствате по-добре. Важно е да спазвате 28-дневния на 28-дневен цикъл на изключване.

Ако приемате няколко други лекарства или лечения за лечение на кистозната си фиброза, трябва да приемате лекарствата или други лечения, преди да вдигнете Bethkis или според указанията на вашия доставчик на здравни грижи.

Приемането на Беткис с определени други лекарства може да причини сериозни странични ефекти.

Ако приемате Bethkis, трябва да обсъдите с вашия доставчик на здравни услуги, ако трябва да вземете:

  • Други лекарства, които могат да навредят на бъбреците на нервната ви система или слуха
  • Водни хапчета (диуретици) като етакринална киселина фуросемид или интравенозен манитол
  • Урея

Попитайте вашия доставчик на здравни грижи или фармацевт за списък на тези лекарства, ако не сте сигурни.

Познайте лекарствата, които приемате. Дръжте списък с тях и го покажете на вашия доставчик на здравни услуги и фармацевт, когато получите ново лекарство.

  • Ако вземете твърде много Bethkis, обадете се на вашия доставчик на здравни грижи или отидете веднага в най -близката болнична спешна помощ.

Какви са възможните странични ефекти на Беткис?

Беткис can cause serious side effects including:

  • загуба на слуха или звънене в ушите (ототоксичност). Някои хора, които са били лекувани с тобрамицин лекарството в Беткис, са имали загуба на слуха или звънене в ушите. Кажете на вашия доставчик на здравни услуги веднага, ако имате загуба на слуха или чувате шумове в ушите си (като звънене или съскане) или ако развиете замаяност на световъртеж или трудност с баланса.
  • Влошаващи се проблеми с бъбреците (нефротоксичност). Вашият доставчик на здравни услуги може да направи кръвен тест и тест за урина, за да провери как работят вашите бъбреци, докато приемате Bethkis.
  • Влошаване на мускулната слабост (невромускулно разстройство). Беткис can cause мускулна слабост to get wилиse in people who already have problems with мускулна слабост (myasthenia gravis или Parkinson’s disease).
  • Тежки проблеми с дишането (бронхоспазъм). Кажете на вашия доставчик на здравни услуги веднага, ако получите някой от тези симптоми на бронхоспазъм, докато приемате Bethkis:
    • задух with хрипове
    • кашлицаing и стягане на гърдите

Най -често срещаните странични ефекти на Bethkis включват:

  • Влошаване на проблемите с белите дробове или муковисцидозата
  • шумно дишане (Rales)
  • Ненормална активност на червените кръвни клетки
  • Промени в гласа ви (дрезгавост)

Това не са всички възможни странични ефекти на Беткис.

Обадете се на Вашия лекар за медицински съвети относно страничните ефекти. Можете да отчитате странични ефекти на FDA на 1-800-FDA-1088.

Обща информация за безопасното и ефективно използване на Bethkis.

Лекарствата понякога се предписват за цели, различни от тези, изброени в информационна листовка за пациент. Не използвайте Bethkis за условие, за което не е предписано. Не давайте Беткис на други хора, дори ако те имат същите симптоми, които имате. Може да им навреди.

Можете да попитате вашия фармацевт или доставчик на здравни грижи за повече информация за Bethkis, която е написана за здравни специалисти.

Какви са съставките в Беткис?

Активна съставка: Тобрамицин

Неактивни съставки: натриев хлорид сярна киселина във вода за инжектиране и натриев хидроксид (за регулиране на рН)

Какво е Psuedomonas aeriguinosa?

Това е много често срещана бактерия, която заразява белите дробове на почти всички с муковисцидоза в даден момент по време на живота си. Някои хора не получават тази инфекция чак по -късно в живота си, докато други я получават много млади. Това е една от най -вредните бактерии за хора с муковисцидоза. Ако инфекцията не се управлява правилно, тя ще продължи да уврежда белите ви дробове, причинявайки допълнителни проблеми на дишането ви.

Инструкции за употреба

Беткис ®
(Бет целувка)
(разтвор на инхалация на тобрамицин)

Следвайте инструкциите по -долу за вземане на Беткис. Ако имате някакви въпроси, задайте вашия доставчик на здравни грижи или фармацевт.

Беткис is available as a 28-day supply containing 56 ampules including 14 foil pouches и as a 14-day supply containing 28 ampules including 7 foil pouches. Each foil pouch contains 4 Беткис ampules.

Доставки, които ще трябва да вземете Bethkis (виж Фигура a ):

  • 1 ампула на Беткис
  • Pari lc плюс пулверизатор за многократна употреба
  • PARI VIOS компресор
  • тръби за свързване на пулверизатора и компресора
  • Чиста хартия или кърпи за плат
  • носови клипове (по избор)

(Фигура А)

Беткис is used only in a PARI LC PLUS re-usable Nebulizer connected to a PARI LC PLUS Vios air compressили. Make sure you know how to use your nebulizer machine befилиe you use it to breathe in Беткис.

Разлика между Singemet и Singemet Cr

Не Смесете Беткис с други лекарства във вашия пулверизатор.

Беткис comes in a sealed foil pouch. Не open a sealed pouch until you are ready to use a dose of Беткис. After opening the pouch unused ready-to-use ampules should be returned to и stилиed in the pouch.

Подготовка:

  • Поставете вашия Pari LC плюс многократна употреба на пулверизатор отгоре и долна (чаша за небулизер) Мундлатор за капачка на клапана с клапан с клапан и тръба на чиста и суха повърхност.
  • Измийте ръцете си със сапун и вода.

Подготовка на вашата доза Bethkis:

Стъпка 1: Отворена торбичка за фолио. (Вижте Фигура б )


(Фигура Б)

Стъпка 2: Отделете 1 ампула, като внимателно се дърпате в долните раздели (виж Фигура c ) и го използвайте веднага.


(Фигура В)

Стъпка 3: Дръжте долния раздел на ампула на Bethkis с 1 ръка (виж Фигура г. г. ). With your other hи hold the top of the ampule и twist off the top of the ampule (See Фигура г. г. ).

  • Не squeeze the ampule until you are ready to squeeze all the medicine into the Nebulizer Cup.

(Фигура D)

Стъпка 4: Дръжте чашата на пулверизатора и завъртете отгоре чашата на пулверизатора в посока обратно на часовниковата стрелка (виж Фигура Е. ). Set the Top aside on a clean dry surface.


(Фигура д)

Стъпка 5: Изстискайте цялото лекарство от ампула в чашата на пулверизатора (виж Фигура f ).


(Фигура F)

Стъпка 6: Подредете полукръга на върха на чашата на пулверизатора с изход за чаша на пулверизатора и завъртете върху горната част на чашата на пулверизатора в посока на часовника, докато не е стегната. (Вижте Фигура g ).


(Фигура ж)

Стъпка 7: Натиснете мундщука право върху изхода на чашата на пулверизатора (виж Фигура З. ).


(Фигура Н)

Стъпка 8: Твърдо натиснете капачката на инспираторния клапан направо върху върха на чашата на пулверизатора (виж Фигура i ). The Inspiratилиy Valve Cap should fit tightly.


(Фигура I)

Стъпка 9: Свържете 1 край на тръбата към изхода на компресора. Тръбата трябва да се побере плътно (виж Фигура j ).


(Фигура j)

Стъпка 10: Включете вашия компресор в електрически изход (вижте Фигура К. ).


(Фигура К)

Стъпка 11: Дръжте чашата на пулверизатора изправена и здраво избутайте свободния край на тръбата направо върху входа на въздуха в долната част на чашата на пулверизатора (виж Фигура л ). Уверете се, че държите чашата на пулверизатора изправена.


(Фигура L)

Даване на вашата доза Bethkis:

Стъпка 12: Включете компресора (фигура M) и проверете мундщука. Трябва да видите стабилна мъгла, идваща от мундщука (фигура n).

  • Ако не видите стабилна мъгла, идваща от мундщука, проверете всички връзки на тръбите и се уверете, че компресорът работи по правилния начин.

(Фигура М)


(Фигура N)

Стъпка 13: Седнете или застанете в удобно изправено положение, което ще ви позволи да дишате нормално. Поставете мундщука между зъбите и върху езика си и дишайте нормално само през устата си (виж Фигура o ).

  • Носовите клипове могат да ви помогнат да дишате само през устата си, а не през носа си.

(Фигура О)

Стъпка 14: Продължете да дишате в дозата си Bethkis за поне 15 минути. Ще знаете, че сте получили пълната си доза лекарства, когато чуете плюещ шум, идващ от мундщука поне 1 минута и чашата на пулверизатора е празна.

След вашата доза Bethkis:

Стъпка 15: Почистете и дезинфекцирайте вашия пулверизатор (вижте инструкциите на производителя).

Грижа и използване на вашите Pari Vios ® Компресор

Следвайте инструкциите на производителя за грижи и използване на вашия компресор.

Как трябва да съхранявам Bethkis?

  • Съхранявайте Bethkis в хладилника при 36 ° F до 46 ° F (2 ° C до 8 ° C), докато е необходимо.
  • След отстраняване от хладилника или ако хладилникът не е наличен на торбички с фолио на Bethkis (отворени или неотворени), може да се съхранява при стайна температура до 77 ° F (25 ° C) за до 28 дни.
  • Ако Беткис не се съхранява в хладилника, а при стайна температура до 77 ° F (25 ° C) Може да се потъмни. Ако Беткис потъмня, това не променя колко добре работи Беткис. Bethkis все още може да се използва, стига да се съхранява при стайна температура до 77 ° F (25 ° C).
  • Не use Беткис after the expiration date printed on the ampule.
  • Дръжте ампулите на Bethkis в торбичката с фолио и далеч от светлината.
  • Върнете неотворени ампули в торбичката на фолио
  • Дръжте Беткис и всички лекарства извън обсега на децата.

Тази информация за пациента и инструкции за употреба са одобрени от Американската администрация по храните и лекарствата.