Информацията В Сайта Не Е Медицински Съвет. Ние Не Продаваме Нищо. Точността На Превода Не Е Гарантирана. Отказ От Отговорност
Естрогенни производниЕстрогел
Резюме на наркотиците
Какво е естрогел?
Естрогел 0,06% (естрадиол) гел е форма на женския хормон естроген, показан за умерени до тежки горещи проблясъци поради менопауза и умерени до тежки промени в менопаузата във или около влагалището.
Какви са страничните ефекти на естрогела?
Естрогелът може да причини сериозни странични ефекти, включително:
- Болки в гърдите или налягане
- Болка, разпространена към челюстта или рамото ви
- гадене
- изпотяване
- Внезапна изтръпване или слабост (особено от едната страна на тялото)
- внезапно силно главоболие
- размазана реч
- проблеми с зрението или баланса
- Внезапна загуба на зрението
- пробождаща болка в гърдите
- задух
- кашлица на кръв
- болка или топлина в един или двата крака
- подуване или нежност в стомаха ви
- Пожълтяване на кожата или очите (жълтеница)
- Проблеми с паметта
- объркване
- необичайно поведение
- мускулна слабост
- Болка на костите и
- липса на енергия
Получете медицинска помощ веднага, ако имате изброени по -горе симптоми.
Общите странични ефекти на естрогела включват:
- гадене
- повръщане
- загуба на апетит
- подути гърди
- Промяна на цвета на акне или кожата
- вагинална болка
- вагинална сухота или дискомфорт
- Намален сексуален нагон
- Трудности при наличието на оргазъм
- подуване
- наддаване на тегло
- Мигренозно главоболие
- замаяност
- депресия
- пробиване на кървене
- вагинално сърбеж или изхвърляне
Потърсете медицинска помощ или се обадете на 911 наведнъж, ако имате следните сериозни странични ефекти:
- Сериозни симптоми на очите, като например внезапна загуба на зрение, замъглено зрение Тунел Виждане болка в очите или подуване или виждане на ореоли около светлините;
- Сериозни сърдечни симптоми като бързи нередовни или ударни сърдечни удари; трептене в гърдите ви; задух; и внезапна замаяност замаяност или раздаване;
- Тежка главоболие объркване затънала речева ръка или крак слабост проблем за ходене на загуба на координация, чувствайки се нестабилни много твърди мускули висока треска обилно изпотяване или тремор.
Този документ не съдържа всички възможни странични ефекти, а други могат да възникнат. Консултирайте се с вашия лекар за допълнителна информация за страничните ефекти.
Дозировка за естрогел
Препоръчителната доза естрогел е 1,25 g.
Какво се използва за лечение на лечение
Какви лекарства вещества или добавки взаимодействат с естрогела?
Сейнт Йоан Жълт кръвни разредители Ритонавир Карбамазепин Еритромицин Кетозол и итраконазол могат да взаимодействат с естрогел. Кажете на Вашия лекар всички лекарства, които приемате. Децата трябва да избягват да влизат в контакт с естрогел.
Естрогел по време на бременност и кърмене
Не използвайте естрогел, ако сте бременна или кърмите.
Допълнителна информация
Нашият естрогел (естрадиол) гел страничен център предоставя изчерпателен поглед върху наличната информация за лекарството върху потенциалните странични ефекти при приемането на това лекарство.
Информация за наркотиците на FDA
- Описание на лекарството
- Показания
- Странични ефекти
- Предупреждения
- Предозиране
- Клинична фармакология
- Ръководство за лекарства
Предупреждение
Ендометриални ракови сърдечно -съдови разстройства рак на гърдата и вероятна деменция
Естрогенна терапия
Рак на ендометриума
Има повишен риск от рак на ендометриума при жена с матка, която използва непредвидени естрогени. Доказано е, че добавянето на прогестин към естрогенната терапия намалява риска от ендометриална хиперплазия, която може да бъде предшественик на рак на ендометриума. Адекватни диагностични мерки, включително насочена или произволно вземане на проби от ендометриума, когато е посочено, трябва да се предприемат за изключване на злокачествеността при жени в менопауза с недиагностицирани устойчиви или повтарящи се анормално генитално кървене [виж предупреждения и ПРЕДПАЗНИ МЕРКИ ].
Сърдечно -съдови нарушения и вероятна деменция
Терапията с естроген само не трябва да се използва за предотвратяване на сърдечно-съдови заболявания или деменция [виж предупреждения и ПРЕДПАЗНИ МЕРКИ и Клинични изследвания ].
Инициативата за здравна инициатива за жените (WHI) естроген само на субстуника съобщава за повишени рискове от тромбоза на инсулт и дълбока вена (DVT) при жени след менопауза (на 50 до 79 години) по време на 7,1 години лечение с ежедневно конюгирани с перора естрогени (СЕ) [0,625 mg] -алона, която е спряла плацебото [виж Warnings и ПРЕДПАЗНИ МЕРКИ и Клинични изследвания ].
Проучването на паметта на WHI (WHIMS) Естроген-самостоятелно проучване на WHI съобщава за повишен риск от развитие на вероятна деменция при жени след менопауза на възраст 65 години или повече по време на 5,2 години лечение с ежедневно СЕ (NULL,625 mg)-алона спрямо плацебо. Не е известно дали тази констатация се прилага за по -младите жени след менопауза [виж предупреждения и ПРЕДПАЗНИ МЕРКИ Използване в конкретни популации и Клинични изследвания ].
При липса на сравними данни тези рискове трябва да се приемат като сходни за други дози CE и други дозирани форми на естрогени.
Естрогените със или без прогестини трябва да бъдат предписани при най -ниските ефективни дози и за най -кратката продължителност, съответстваща на целите на лечението и рисковете за отделната жена.
Естроген плюс прогестинова терапия
Сърдечно -съдови нарушения и вероятна деменция
Естроген плюс прогестиновата терапия не трябва да се използва за предотвратяване на сърдечно -съдови заболявания или деменция [виж предупреждения и ПРЕДПАЗНИ МЕРКИ и Клинични изследвания ].
The WHI estrogen plus progestin substudy reported increased risks of DVT pulmonary embolism (PE) stroke and myocardial infarction (MI) in postmenopausal women (50 to 79 years of age) during 5.6 years of treatment with daily oral CE (0.625 mg) combined with medroxyprogesterone acetate (MPA) [2.5 mg] relative to placebo [see WARNINGS И ПРЕДПАЗНИ МЕРКИ и Клинични изследвания ].
Пристои естрогенът плюс спомагателно проучване на прогестин на WHI съобщава за повишен риск от развитие на вероятна деменция при жени след менопауза на възраст 65 години или по -възрастен по време на 4 години лечение с ежедневно СЕ (NULL,625 mg) в комбинация с MPA (NULL,5 mg) във връзка с плацебо. Не е известно дали тази констатация се прилага за по -младите жени след менопауза [виж предупреждения и ПРЕДПАЗНИ МЕРКИ Използване в конкретни популации и Клинични изследвания ].
Рак на гърдата
Whi Estrogen Plus Progestin Substudy също демонстрира повишен риск от инвазивен рак на гърдата [вж. Предупреждения и ПРЕДПАЗНИ МЕРКИ и Клинични изследвания ].
При липса на сравними данни тези рискове трябва да се приемат като подобни за други дози CE и MPA и други комбинации и дозирани форми на естрогени и прогестини.
Естрогените със или без прогестини трябва да бъдат предписани при най -ниските ефективни дози и за най -кратката продължителност, съответстваща на целите на лечението и рисковете за отделната жена.
Описание за естрогел
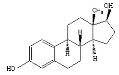
Естрогел (естрадиол гел) съдържа 0,06 процента естрадиол в абсорбираща хидроалкохолна гел основа. Това е ясен безцветен гел, който е без мирис, когато е сух. Една депресия на помпата от естрогел осигурява 1,25 g гел, съдържащ 0,75 mg естрадиол.
Естрадиол е бял кристален прах, химически описан като ESTRA-135 (10) -триен-317β-диол. Той има емпирична формула на c 18 H 2 4O 2 и molecular weight of 272.39. The structural formula is:
|
Активният компонент на трансдермалния гел е естрадиол. Останалите компоненти на гела (пречистен воден алкохол триетаноламин и карбомер 934p) са фармакологично неактивни.
Използване за естрогел
Лечение на умерени до тежки вазомоторни симптоми поради менопауза
Лечение на умерени до тежки симптоми на вулвар и вагинална атрофия поради менопауза.
Ограничение на употребата
Когато се предписва единствено за лечение на умерени до тежки симптоми на вулвар и вагинална атрофия поради менопаузата първо разгледайте използването на локални вагинални продукти.
Дозировка за естрогел
Като цяло, когато естрогенът е предписан за жена след менопауза с матка, обмислете добавяне на прогестоген за намаляване на риска от рак на ендометриума. Като цяло жена без матка не е необходимо да използва прогестоген в допълнение към естрогенната си терапия. В някои случаи обаче хистеректомизирани жени с анамнеза за ендометриоза може да се нуждаят от прогестоген [виж ПредупреждениеS AND ПРЕДПАЗНИ МЕРКИ ].
Използвайте естроген само или в комбинация с прогестоген при най-ниската ефективна доза и за най-кратка продължителност, съответстваща на целите на лечението и рисковете за отделната жена. Преоценка на жените след менопауза периодично като клинично подходящи, за да се определи дали лечението все още е необходимо.
Лечение на умерени до тежки вазомоторни симптоми поради менопауза
Естрогел 0,06% 1,25 g на ден е единичната одобрена доза за лечение на умерени до тежки вазомоторни симптоми поради менопауза. Най -ниската ефективна доза естрогел 0,06% за тази индикация не е определена.
Преди да използвате кутията за първи път, той трябва да бъде грундиран. Извадете големия капак на кутията и напълно потиснете помпата 5 пъти изхвърлете неизползвания гел, като се изплакнете старателно по мивката или я поставете в домакинския боклук. След грундиране помпата е готова за употреба.
Препоръчителната област на приложение е ръката. Нанесете тънък слой върху цялата ръка отвътре и отвън от китката до рамото.
Лечение на умерени до тежки симптоми на вулвар и вагинална атрофия поради менопауза
Естрогел 0,06% 1,25 g на ден е единичната одобрена доза за лечение на умерени до тежки симптоми на вулвар и вагинална атрофия поради менопауза. Най -ниската ефективна доза естрогел 0,06% за тази индикация не е определена. Когато се предписва единствено за лечение на умерени до тежки симптоми на вулвар и вагинална атрофия, първо отгледайте използването на локални вагинални продукти.
Преди да използвате кутията за първи път, той трябва да бъде грундиран. Извадете големия капак на кутията и напълно потиснете помпата 5 пъти. Изхвърлете неизползвания гел, като се изплакнете старателно по мивката или го поставете в домакинския боклук. След грундиране помпата е готова за употреба.
Препоръчителната област на приложение е ръката. Нанесете тънък слой върху цялата ръка отвътре и отвън от китката до рамото.
Колко се доставя
Дозирани форми и силни страни
Естрогел 0,06% е естрадиол трансдермален гел. Една депресия на помпата осигурява 1,25 g гел, който съдържа 0,75 mg естрадиол.
Естрогел е ясен безцветен хидроалкохолен 0,06 процента естрадиолен гел, доставен в помпа, която не е аерозол, дозирана доза. Помпата се състои от вътрешна облицовка на LDPE, затворена в твърда пластмаса с залежима полипропиленова капачка. Естрогел се предлага в размер на 50 грамове (NULL,75 унции). Всяка индивидуално опакована помпа от 50 грамове съдържа 50 грама гел и може да достави 30 дози 1,25 g.
NDC : 17139-617-40 ............. (50-грамова помпа)
Съхранение и обработка
Пазете извън обсега на децата.
Съхранявайте при 20 ° до 25 ° C (68 ° до 77 ° F); екскурзии, разрешени на 15 ° до 30 ° C (59 ° до 86 ° F) [виж USP контролирана стайна температура ].
Произведено за: Ascend Therapeutics US LLC Morristown NJ 07960 от DPT Laboratories Ltd San Antonio TX 78215. Ревизиран: Дек 2023
Странични ефекти за естрогел
Следните сериозни нежелани реакции се обсъждат другаде в етикетирането:
- Сърдечно -съдови нарушения [виж Предупреждение за бокс и ПредупреждениеS AND ПРЕДПАЗНИ МЕРКИ ]
- Злокачествени новообразувания [виж Предупреждение за бокс и ПредупреждениеS AND ПРЕДПАЗНИ МЕРКИ ]
Опит с клинични изпитвания
Тъй като клиничните изпитвания се провеждат при широко различни състояния, нежелани реакционни проценти, наблюдавани при клиничните изпитвания на лекарство, не могат да бъдат пряко сравнени с процентите в клиничните изпитвания на друго лекарство и може да не отразяват процентите, наблюдавани в клиничната практика.
Естрогел was studied in 2 well-controlled 12-week clinical trials. Incidence of adverse drug reactions ≥5 percent for 1.25 g Естрогел 0.06% и placebo is given in TABle 1.
Таблица 1: Честота на нежеланите реакции на лекарството ≥5 процента поява в групата за лечение на естрогел за популацията за безопасност на намерението в 2 добре контролирани клинични проучвания (изразени като процент от групата на лечение)
| Система на тялото/ нежелани лекарствени реакции | Естрогел 0.06% 1.25 g /day (n = 168) | Плацебо (n = 73) |
| Тяло като цяло | ||
| Главоболие | 9.5 | 2.7 |
| Храносмилателна система | ||
| Метеоризъм | 5.4 | 4.1 |
| Урогенитална система | ||
| Болка на гърдата | 10.7 | 8.2 |
В 2 контролирани клинични изпитвания са отчетени реакциите на приложението за приложение на 0,6 процента от пациентите, които са получили 1,25 g естрогел. Забелязани са и други кожни реакции като сърбеж и обрив.
Опит за постмаркетиране
Следните нежелани реакции са идентифицирани по време на използването на естрогел след одобрение. Тъй като тези реакции се отчитат доброволно от популация с несигурен размер, не винаги е възможно надеждно да се оцени тяхната честота или да се установи причинно -следствена връзка с експозицията на лекарства.
Genitourinary System
Рак на ендометриума
Гърда
Болка; нежност; Рак на гърдата
Сърдечно -съдов
Тромбоза на дълбока вена; миокардна исхемия; Phlebitis
Стомашно -чревен
Гадене; коремна дистанция; диария; Стомах дискомфорт
Кожа
Алопеция; обрив; сърбеж; Сайт на приложението: Реакция на обезцветяване на болката на сухота обрив
Очи
Оклузия на ретиналната вена
Централна нервна система
Главоболие; замаяност; insomnia; hypoesthesia; meningioma; aphasia; bradyphrenia; paresthesia
Разни
Неефективно лекарство; горещ флъш; Артралгия; нощно изпотяване; Ефектът от лекарства намалява; болка в крайността; умора; Теглото се увеличава; болка; свръхчувствителност; диспнея; злокачествен мезенхимома; ангиоедем; Хепатит остър; оток на лицето; Случайна експозиция; myoclonus; смущение на походката; промиване
Лекарствени взаимодействия за естрогел
Изследванията in vitro и in vivo показват, че естрогените се метаболизират частично чрез цитохром P450 3A4 (CYP3A4). Следователно индукторите или инхибиторите на CYP3A4 могат да повлияят на метаболизма на лекарството в естроген. Индукторите на CYP3A4 като например кантрия на св. Йоан (Hypericum perforatum) препарати фенобарбитал карбамазепин и рифампин могат да намалят плазмените концентрации на естрогени, което е възможно да доведе до намаляване на терапевтичните ефекти и/или промените в профила на кървянето на матката. Инхибиторите на CYP3A4 като еритромицин кларитромицин кетоконазол итраконазол ритонавир и сок от грейпфрут могат да увеличат плазмените концентрации на естроген и могат да доведат до нежелани реакции.
Предупреждения за естрогел
Включени като част от ПРЕДПАЗНИ МЕРКИ раздел.
Предпазни мерки за естрогел
Сърдечно -съдов Disorders
Отчитат се увеличени рискове от инсулт и DVT с терапия с естроген само. Повишените рискове от PE DVT инсулт и MI се отчитат с естроген плюс прогестинова терапия. Незабавно прекратете естрогена със или без прогестоген, ако се появи някое от тях или се подозира.
Управлявайте подходящо всички рискови фактори за артериални съдови заболявания (например хипертония Диабет захарен Тютюнът използва хиперхолестеролемия и затлъстяване) и/или венозна тромбоемболия (VTE) (например лична история или фамилна история на затлъстяване на VTE и системен лупус еритематозус).
Удар
WHI естроген-самостоятелното подразделение съобщава за статистически значим повишен риск от инсулт при жени на възраст 50 до 79 години, получаващи ежедневно СЕ (NULL,625 mg)-в сравнение с жените в същата възрастова група, получаваща плацебо (45 срещу 33 на 10000 жени, съответно). Увеличаването на риска беше демонстрирано през 1 година и се запазва [виж Клинични изследвания ]. Immediately discontinue estrogen-alone therapy if a удар occurs or is suspected.
Анализът на подгрупата на жени на възраст 50 до 59 години предполага повишен риск от инсулт за тези жени, получаващи CE (NULL,625 mg)-спрямо тези, които получават плацебо (18 срещу 21 на 10000 жени-години). 1
The WHI estrogen plus progestin substudy reported a statistically significant increased risk of stroke in women 50 to 79 years of age receiving daily CE (0.625 mg) plus MPA (2.5 mg) compared to women in the same age group receiving placebo (33 versus 25 per 10000 women-years) [see Клинични изследвания ]. The increase in risk was demonstrated after the first year и persisted.1 Immediately discontinue estrogen with or without progestogen therapy if a удар occurs or is suspected.
Коронарна болест на сърцето
Субюдията WHI естроген съобщава, че няма общ ефект върху събитията на коронарната сърдечна болест (CHD) (дефинирани като нефатална MI Silent Mi или CHD смърт) при жени, получаващи естроген-самона в сравнение с плацебо 2 [Вижте Клинични изследвания ].
Анализи на подгрупи на жени на възраст от 50 до 59 години, които са били на по-малко от 10 години, тъй като менопаузата предполагат намаление (не статистически значимо) на събитията на ИБС при тези жени, получаващи CE (NULL,625 mg)-в сравнение с плацебо) (8 срещу 16 на 10000 жени-години). 1
WHI естроген плюс прогестин подцент отчита повишен риск (не статистически значим) на CHD събития при тези жени, получаващи ежедневно СЕ (NULL,625 mg) плюс MPa (NULL,5 mg) в сравнение с жени, получаващи плацебо (41 срещу 34 на 10000 жени-години). 1 Увеличаването на относителния риск беше демонстрирано през 1 година и тенденция към намаляване на относителния риск беше отчетено през 2 до 5 години [виж Клинични изследвания ].
При жените след менопауза с документирано сърдечно заболяване (n = 2763 средно 66,7 години) в контролирано клинично изпитване за вторична профилактика на сърдечно -съдови заболявания (проучване на сърцето и естроген/прогестин за заместване; нейното) лечение с ежедневно СЕ (NULL,625 mg) плюс MPA (NULL,5 mg) не демонстрира никаква кардиоваскуларна полза. По време на средно проследяване на 4,1 години лечение с CE плюс MPA не намалява общата скорост на събитията на ИБС при жени след менопауза с установена ИБС. Имаше повече CHD събития в групата, третирана с MPA, отколкото в групата на плацебо през година 1, но не и през следващите години. Две хиляди триста двадесет и една (2321) жени от оригиналния процес на нейното изпитание се съгласиха да участват в отворено удължаване на оригиналния нейният II II. Средното проследяване в нейното II беше допълнителни 2,7 години за общо 6,8 години. Степента на събития на CHD бяха сравними сред жените в групата на MPA Ce Plus и групата на плацебо в нейната II II и като цяло.
Венозна тромбоемболия
В WHI естроген-самостоятелното подценяване рискът от VTE (DVT и PE) се увеличава за жени, получаващи ежедневно СЕ (NULL,625 mg)-в сравнение с плацебо (30 срещу 22 на 10000 жени-години), въпреки че само повишеният риск от ДВТ достига статистическа значимост (23 срещу 15 на 10000 жени години). Увеличаването на риска от VTE беше демонстрирано през първите 2 години 3 [Вижте Клинични изследвания ]. Immediately discontinue estrogen-alone therapy if a VTE occurs or is suspected.
WHI естрогенът плюс прогестин субстудията съобщава за статистически значим 2 пъти по-голям процент на VTE при жени, получаващи ежедневно СЕ (NULL,625 mg) плюс MPa (NULL,5 mg) в сравнение с жени, получаващи плацебо (35 срещу 17 на 10000 жени-години). Бяха показани статистически значими увеличения на риска както за DVT (26 срещу 13 на 10000 жени) и PE (18 срещу 8 на 10000 жени). Увеличаването на риска от VTE беше демонстрирано през първата година и се запазва 4 [Вижте Клинични изследвания ]. Immediately discontinue estrogen plus progestogen therapy if a VTE occurs or is suspected.
Ако е осъществимо прекратяване на естрогените най -малко 4 до 6 седмици преди операция от типа, свързан с повишен риск от тромбоемболия или по време на периоди на продължителна обездвижване.
Злокачествени новообразувания
Рак на ендометриума
Съобщава се за повишен риск от рак на ендометриума при използването на непредвидена естрогенна терапия при жени с матка. Отчетеният риск от рак на ендометриума сред непредставените потребители на естроген е с около 2 до 12 пъти по-голям, отколкото при не-Използвателите и изглежда зависи от продължителността на лечението и от дозата на естроген. Повечето проучвания не показват значителен повишен риск, свързан с използването на естрогени за по -малко от 1 година. Изглежда, че най-големият риск е свързан с продължителна употреба с повишен риск от 15 до 24 пъти за 5 до 10 години или повече и е показано, че този риск продължава най-малко 8 до 15 години след прекратяване на естрогенната терапия.
Важно е клиничното наблюдение на всички жени, използващи естроген само или естроген плюс прогестогенна терапия. Извършвайте адекватни диагностични мерки, включително насочена или произволно проби от ендометриума, когато са посочени да изключат злокачествеността при жени след менопауза с недиагностицирано устойчиво или повтарящо се анормално генитално кървене с неизвестна етиология.
Няма доказателства, че използването на естествени естрогени води до различен профил на риска от ендометриума от синтетичните естрогени на еквивалентната доза естроген. Доказано е, че добавянето на прогестоген към естрогенната терапия при жени след менопауза намалява риска от ендометриална хиперплазия, която може да бъде предшественик на рака на ендометриума.
Рак на гърдата
WHI подудията на ежедневния CE (NULL,625 mg)-предостави информация за рак на гърдата при потребители на естроген. В WHI естроген-самостоятелното подстране след средно проследяване от 7,1 години дневно CE (NULL,625 mg) -полука не е свързана с повишен риск от инвазивен рак на гърдата [относителен риск (RR) 0,8])) 5 в сравнение с плацебо [виж Клинични изследвания ].
След средно проследяване от 5,6 години, WHI Substudy на ежедневно CE (NULL,625 mg) плюс MPA (NULL,5 mg) съобщава за повишен риск от инвазивен рак на гърдата при жени, които приемат ежедневно CE плюс MPA в сравнение с плацебо.
В тази субстуника предишна употреба на естроген само или естроген плюс прогестинова терапия е отчетена от 26 процента от жените. Относителният риск от инвазивен рак на гърдата е 1,24, а абсолютният риск е 41 срещу 33 случая на 10000 жени-години за CE плюс MPA в сравнение с плацебо [виж Клинични изследвания ]. Among women who reported prior use of hormone therapy the relative risk of invasive Рак на гърдата was 1.86 и the ABsolute risk was 46 versus 25 cases per 10000 women-years for Това plus MPA compared with placebo. Among women who reported no prior use of hormone therapy the relative risk of invasive Рак на гърдата was 1.09 и the ABsolute risk was 40 versus 36 cases per 10000 women-years for Това plus MPA compared with placebo. In the same substudy invasive Рак на гърдатаs were larger were more likely to be node positive и were diagnosed at a more advanced stage in the Това (0.625 mg) plus MPA (2.5 mg) group compared with the placebo group. Metastatic disease was rare with no apparent difference between the two groups. Other prognostic factors such as histologic subtype grade и hormone receptor status did not differ between the groups 6 [Вижте Клинични изследвания ].
В съответствие с клиничните проучвания на WHI клинични изпитвания също съобщават за повишен риск от рак на гърдата с естроген плюс прогестинова терапия и по-малък повишен риск от терапия с естроген само след няколко години употреба. Един голям мета-анализ на проспективните кохортни проучвания съобщава за повишени рискове, които зависят от продължителността на употребата и може да продължи до> 10 години след прекратяване на естроген плюс прогестиновата терапия и терапията с естроген само. Удължаването на WHI изпитванията също демонстрира повишен риск от рак на гърдата, свързан с естроген плюс прогестиновата терапия. Наблюдателните проучвания също предполагат, че рискът от рак на гърдата е по-голям и става очевиден по-рано с естроген плюс терапия с прогестин в сравнение с терапията с естроген само. Тези проучвания обикновено не откриват значителни различия в риска от рак на гърдата сред различни естроген плюс прогестинови комбинации дози или пътища на приложение.
Съобщава се, че използването на естроген-самона и естроген плюс прогестинова терапия води до увеличаване на анормални мамограми, изискващи допълнителна оценка.
Накарайте всички жени да получават годишни прегледи на гърдите от доставчик на здравни грижи и да извършват ежемесечни самооценки на гърдата. В допълнение, основаването на планирането на мамографските прегледи върху рисковите фактори на възрастта на пациента и предишните резултати от мамограмата.
Рак на яйчниците
CE Plus MPA Substudy of WHI съобщава, че естрогенът плюс прогестин увеличава риска от рак на яйчниците. След средно проследяване от 5,6 години относителният риск за CE плюс MPA спрямо плацебо е 1,58 (95 процента CI 0,77-3,24), но той не е статистически значим. Абсолютният риск за CE плюс MPA срещу плацебо е 4 срещу 3 случая на 10000 жени-години. 7
Мета-анализ на 17 проспективни и 35 ретроспективни проучвания на епидемиологията установява, че жените, които използват хормонална терапия за симптоми на менопауза, имат повишен риск от рак на яйчниците. Първичният анализ, използващ сравнения на контрола на случаите, включва 12110 случая на рак от 17-те проспективни проучвания. Относителните рискове, свързани с текущата употреба на хормонална терапия, са 1,41 (95% доверителен интервал [CI] 1,32 до 1,50); Няма разлика в оценките на риска с продължителност на експозицията (по -малко от 5 години [медиана от 3 години] спрямо по -големи от 5 години [средна 10 години] употреба преди диагностицирането на рака). Относителният риск, свързан с комбинирания ток и скорошна употреба (преустановена употреба в рамките на 5 години преди диагностицирането на рака), е 1,37 (95% CI 1,27 Â 1,48), а повишения риск е значителен както за естроген-алонал, така и за естроген плюс прогестинови продукти. Точната продължителност на употребата на хормонална терапия, свързана с повишен риск от рак на яйчника, обаче не е известна.
За какво се използва сертралин 100 mg за
Вероятна деменция
В изследването на паметта на WHI (WHIMS) Естрогенно спомагателно проучване, популация от 2947 хистеректомизирани жени на възраст 65 до 79 години е рандомизирана на ежедневно СЕ (NULL,625 mg)-самостоятелна или плацебо.
След средно проследяване от 5,2 години 28 жени от групата на естроген само и 19 жени в групата на плацебо са диагностицирани с вероятна деменция. Относителният риск от вероятна деменция за CE-самона срещу плацебо е 1,49 (95 процента CI 0,83-2,66). Абсолютният риск от вероятна деменция за CE-самона срещу плацебо е 37 срещу 25 случая на 10000 жени-години 8 [Вижте Използване в конкретни популации и Клинични изследвания ].
В капризното естроген плюс прогестин спомагателно проучване популация от 4532 жени след менопауза на възраст 65 до 79 години е рандомизирана на ежедневно СЕ (NULL,625 mg) плюс MPA (NULL,5 mg) или плацебо. След средно проследяване от 4 години 40 жени в CE плюс MPA групата и 21 жени от групата на плацебо бяха диагностицирани с вероятна деменция. Относителният риск от вероятна деменция за CE плюс MPA спрямо плацебо е 2,05 (95 процента CI 1,21-3,48). Абсолютният риск от вероятна деменция за CE плюс MPA срещу плацебо е 45 срещу 22 случая на 10000 жени-години 8 [Вижте Използване в конкретни популации и Клинични изследвания ].
Когато данните от двете популации в капризите Alnogen-Alone и Estrogen Plus Progestin Assillary Studies бяха обединени, както е планирано в протокола за прищявки, отчетеният общ относителен риск от вероятна деменция е 1,76 (95 процента CI 1,19-2,60). Тъй като и двете спомагателни проучвания са проведени при жени от 65 до 79 години, не е известно дали тези открития се прилагат за по -млади жени след менопауза [виж Използване в конкретни популации и Клинични изследвания ].
Болест на жлъчния мехур
Съобщава се за 2-кратно увеличение на риска от заболяване на жлъчния мехур, изискващо операция при жени след менопауза, получаващи естрогени.
Хиперкалцемия
Прилагането на естроген може да доведе до тежка хиперкалцемия при жени с рак на гърдата и костни метастази. Прекратяване на естрогените, включително естрогел, ако се появи хиперкалцемия и предприемат подходящи мерки за намаляване на нивото на серумния калций.
Визуални аномалии
Съобщава се за съдова тромбоза на ретината при жени, получаващи естрогени. Прекратяване на естрогела в очакване на преглед, ако има внезапна частична или пълна загуба на зрение или внезапно начало на диплопия с проптоза или мигрена. Постоянно преустановете естрогените, включително естрогела, ако изследването разкрива папилема или съдови лезии на ретината.
Добавяне на прогестоген, когато жена не е имала хистеректомия
Проучванията за добавяне на прогестоген за 10 или повече дни от цикъл на прилагане на естроген или ежедневно с естроген в непрекъснат режим съобщават за понижена честота на ендометриална хиперплазия, отколкото би била предизвикана само от лечение с естроген. Ендометриалната хиперплазия може да бъде предшественик на рак на ендометриума.
Съществуват обаче възможни рискове, които могат да бъдат свързани с използването на прогестогени с естрогени в сравнение с естрогенни режими. Те включват повишен риск от рак на гърдата.
Повишено кръвно налягане
В малък брой отчети за случаите значително повишаване на кръвното налягане се дължи на идиосинкратичните реакции на естрогените. В голямо рандомизирано плацебо-контролирано клинично изпитване не се наблюдава генерализиран ефект на естрогените върху кръвното налягане.
Обостряне на хипертриглицеридемия
При жени с съществуваща хипертриглицеридемия естрогенна терапия може да бъде свързана с повишаване на плазмените триглицериди, водещи до панкреатит. Прекратяване на естрогела, ако възникне панкреатит.
Чернодробно увреждане и/или минала история на холестатичната жълтеница
Естрогените могат да бъдат слабо метаболизирани при жени с чернодробно увреждане. Внимание за упражняване на всяка жена с анамнеза за холестатична жълтеница, свързана с минала употреба на естроген или с бременност. В случай на рецидив на холестатичната жълтеница прекратява естрогела.
Обостряне на хипотиреоидизъм
Администрирането на естроген води до повишени нива на глобулин (TBG), свързващ щитовидната жлеза. Жените с нормална функция на щитовидната жлеза могат да компенсират увеличения TBG, като направят повече хормон на щитовидната жлеза, като по този начин поддържат серумните концентрации на свободни Т4 и Т3 в нормалния диапазон. Жените, зависими от заместителната терапия с хормон на щитовидната жлеза, които също получават естрогени, могат да изискват повишени дози от тяхната заместителна терапия на щитовидната жлеза. Наблюдавайте функцията на щитовидната жлеза при тези жени по време на лечение с естрогел, за да поддържат своите нива на свободния хормон на щитовидната жлеза в приемлив диапазон.
Задържане на течности
Естрогените могат да причинят известна степен на задържане на течности. Наблюдавайте всяка жена със състояние (и), което може да я предразположи към задържане на течности, като сърдечно или бъбречно увреждане. Прекратяване на терапията с естроген само, включително естрогел с данни за медицински относно задържането на течности.
Хипокалцемия
Естроген-индуцираната хипокалцемия може да възникне при жени с хипопаратиреоидизъм. Помислете дали ползите от естрогенната терапия, включително естрогел, надвишават рисковете при жените.
Обостряне на ендометриозата
Съобщени са няколко случая на злокачествена трансформация на остатъчни ендометриални импланти при жени, лекувани след хистеректомия с терапия с естроген само. Помислете за добавянето на прогестогенна терапия за жени, за които се знае, че имат остатъчна ендометриоза след хистеректомия.
Наследствена ангиоедем
Екзогенните естрогени могат да изострят симптомите на ангиоедем при жени с наследствена ангиоедем. Помислете дали ползите от естрогенната терапия, включително естрогел, надвишават рисковете при такива жени.
Обостряне на други условия
Естрогенната терапия, включително естрогел, може да причини обостряне на астма диабет за мигронина на астма за диабет на астма, системен лупус еритематозус и чернодробните хемангиоми. Помислете дали ползите от естрогенната терапия надвишават рисковете при жени с такива състояния.
Продуктите на базата на алкохол са запалими
Избягвайте пожарния пламък или пушенето, докато естрогел не изсъхне.
Приложение за лосион за овлажнител
Използването на овлажняващ лосион един час след прилагането на естрогел значително увеличава абсорбцията на естрадиол [виж Клинична фармакология ].
Лабораторни тестове
Серумните фоликули, стимулиращи нивата на хормон (FSH) и естрадиол, не е показано, че са полезни при лечението на жени след менопауза с умерени до тежки вазомоторни симптоми и умерени до тежки симптоми на вулвар и вагинална атрофия.
Лекарствени тестови взаимодействия
- Ускорено протромбиново време Частично време на тромбопластин и време на агрегация на тромбоцитите; увеличен брой тромбоцити; Повишени фактори II VII Антиген VIII Антиген VIII Коагулантна активност IX X XII VII-X комплекс II-VII-X комплекс и бета-тромбоглобулин; Намалени нива на антифактор XA и антитромбин III намалява активността на антитромбин III; повишени нива на фибриноген и фибриногенна активност; Повишен плазминогенен антиген и активност.
- Повишените нива на глобулин (TBG), свързващи щитовидната жлеза, водещи до повишени циркулиращи общи нива на хормон на щитовидната жлеза, измерени с нива на йод на протеин (PBI) Т4 (по колона или чрез радиоимуноанализ) или нива на Т3 от радиоимуноанализ. Поемането на смола T3 се намалява, отразявайки повишения TBG. Безплатни концентрации на Т4 и Т3 са непроменени. Жените на терапията за възстановяване на щитовидната жлеза могат да изискват по-високи дози хормон на щитовидната жлеза.
- Други свързващи протеини могат да бъдат повишени в серум (например кортикостероид-свързващ глобулин [CBG] сексуален хормон-свързващ глобулин [SHBG]), което води до повишено общо циркулиращо кортикостероиди и сексуални стероиди съответно. Концентрациите на свободен хормон като тестостерон и естрадиол могат да бъдат намалени. Други плазмени протеини могат да бъдат повишени (ангиотензиноген/ренин субстрат алфа-1-антитрипсин церулоплазмин).
- Повишеният плазмен липопротеин с висока плътност (HDL) и концентрациите на субфракцията на HDL2 холестерол намалява концентрацията на липопротеин с ниска плътност (LDL), повишава нивата на триглицерид.
- Нарушен глюкозен толеранс.
Информация за консултирането на пациентите
Посъветвайте жените да прочетат одобреното от FDA етикетиране на пациентите ( Информация и инструкции на пациента за употреба )
Вагинално кървене
Информирайте жените след менопауза, за да съобщят за всяко вагинално кървене на техния доставчик на здравни грижи възможно най -скоро [виж ПредупреждениеS AND ПРЕДПАЗНИ МЕРКИ ].
Възможни сериозни нежелани реакции с естрогенна терапия
Информирайте жените след менопауза за възможните сериозни нежелани реакции на терапия с естроген-самона, включително сърдечно-съдови нарушения, злокачествени новообразувания и вероятна деменция [виж ПредупреждениеS AND ПРЕДПАЗНИ МЕРКИ .]
Възможни често срещани нежелани реакции с терапия само с естроген
Информирайте жените след менопауза за евентуални по-малко сериозни, но често срещани нежелани реакции на терапия с естроген само като главоболие в болки в гърдата и нежност гадене и повръщане.
Неклинична токсикология
Канцерогенеза мутагенеза Нарушаване на плодовитостта
Дългосрочното непрекъснато прилагане на естествени и синтетични естрогени при определени животински видове увеличава честотата на карциномите на тестиса на вагината на матката на гърдата и черния дроб.
Използване в конкретни популации
Бременност
Обобщение на риска
Естрогел is not indicated for use in pregnancy. There are no data with the use of Естрогел in pregnant women however epidemiologic studies и meta-analysis have not found an increased risk of genital or non-genital birth defects (including cardiac anomalities и limb-reduction defects) following exposure to combined hormonal contraceptives (estrogens и progestins) before conception or during early pregnancy.
В общата популация на САЩ прогнозната фонова честота на основните вродени дефекти и спонтанен аборт в клинично признатите бременности е съответно 2% до 4% и 15% до 20%.
Лактация
Естрогените присъстват в човешкото мляко и могат да намалят производството на мляко при кърмещи жени. Това намаление може да се случи по всяко време, но е по -малко вероятно да се появи, след като прехранването на гърдите е добре установено. Развитието и ползите за здравето от кърменето трябва да се разглеждат заедно с клиничната нужда на майката от естрогел и всякакви потенциални неблагоприятни ефекти върху кърменото дете от естрогел или от основното състояние на майката.
Педиатрична употреба
Естрогел is not indicated for use in pediatric patients. Clinical studies have not been conducted in the pediatric population.
Гериатрична употреба
Не е имало достатъчен брой гериатрични жени, участващи в клинични проучвания, използващи естрогел, за да се определи дали тези над 65 години се различават от по -младите лица в отговора си на естрогел.
Здравните инициативи за женската здравна инициатива
В Whi естроген-самостоятелно подценяване (дневен СЕ [0.625 mg] -Валуна срещу плацебо) има по-висок относителен риск от инсулт при жени на възраст над 65 години [виж ПредупреждениеS AND ПРЕДПАЗНИ МЕРКИ и Клинични изследвания ]. In the WHI estrogen plus progestin substudy (daily Това [0.625 mg] plus MPA [2.5 mg] versus placebo) there was a higher relative risk of nonfatal удар и invasive Рак на гърдата in women greater than 65 years of age [Вижте ПредупреждениеS AND ПРЕДПАЗНИ МЕРКИ и Клинични изследвания ].
Проучването на паметта за здравна инициатива на жените
В капризите спомагателни проучвания на жени след менопауза на възраст 65 до 79 години съществува повишен риск от развитие на вероятна деменция при жени, получаващи естроген само или естроген плюс прогестин в сравнение с плацебо [виж ПредупреждениеS AND ПРЕДПАЗНИ МЕРКИ и Клинични изследвания ].
Тъй 8 [Вижте ПредупреждениеS AND ПРЕДПАЗНИ МЕРКИ и Клинични изследвания ].
ЛИТЕРАТУРА
1. Rossouw Je et al. Терапия с хормона след менопауза и риск от сърдечно -съдови заболявания на възраст и години след менопаузата. Джама. 2007; 297: 1465â1477.
2. Hsia J et al. Конюгирани естрогени на конете и коронарна болест на сърцето. Arch Int Med. 2006; 166: 357-365.
3. Curb JD et al. Венозен тромбоза и конюгиран конен естроген при жени без матка. Arch Int Med. 2006; 166: 772-780.
4. Cushman M et al. Естроген плюс прогестин и риск от венозна тромбоза. Джама. 2004; 292: 1573-1580.
5. Stefanick Ml et al. Ефекти от конюгирани естрогени на конете върху рак на гърдата и скрининг на мамография при жени след менопауза с хистеректомия. Джама. 2006; 295: 1647-1657.
6. Chlebowski Rt et al. Влияние на естроген плюс прогестин върху рак на гърдата и мамография при здрави жени след менопауза. Джама. 2003; 289: 3234-3253.
7. Anderson Gl et al. Ефекти на естроген плюс прогестин върху гинекологичните ракови заболявания и свързаните с тях диагностични процедури. Джама. 2003; 290: 1739-1748.
8. Shumaker Sa et al. Конюгирани естрогени на конете и честота на вероятна деменция и леко когнитивно увреждане при жени след менопауза. Джама. 2004; 291: 2947-2958.
Информация за предозиране за естрогел
Предоставянето на естрогена може да причини гадене, повръщащо се нежност на гърдата Компемента сънливост и умора и оттегляне може да възникне при жените. Лечението на предозиране се състои в прекратяване на терапията с естрогел с институция с подходяща симптоматична грижа.
Противопоказания за естрогел
Естрогел is contraindicated in women with any of the following conditions:
- Недиагностицирано ненормално генитално кървене [виж ПредупреждениеS AND ПРЕДПАЗНИ МЕРКИ ].
- Гърда cancer or a history of Рак на гърдата [Вижте ПредупреждениеS AND ПРЕДПАЗНИ МЕРКИ ].
- Естроген-зависима неоплазия [виж ПредупреждениеS AND ПРЕДПАЗНИ МЕРКИ ].
- Активен DVT PE или история на тези условия [виж ПредупреждениеS AND ПРЕДПАЗНИ МЕРКИ ].
- Активна артериална тромбоемболична болест (например инсулт или MI) или анамнеза за тези състояния [виж ПредупреждениеS AND ПРЕДПАЗНИ МЕРКИ ].
- Известна анафилактична реакция ангиоедем или свръхчувствителност към естрогел
- Чернодробно увреждане или болест
- Протеин С протеин S или дефицит на антитромбин или други известни тромбофилни нарушения
Клинична фармакология for Естрогел
Механизъм на действие
Ендогенните естрогени са до голяма степен отговорни за развитието и поддържането на женската репродуктивна система и вторичните сексуални характеристики. Въпреки че циркулиращите естрогени съществуват в динамично равновесие на метаболитните взаимовръзки естрадиолът е основният вътреклетъчен човешки естроген и е значително по -мощен от неговите метаболити естрон и естриол на ниво рецептор.
Основният източник на естроген при нормално колоездене на възрастни жени е фоликулът на яйчниците, който секретира 70 до 500 mcg естрадиол дневно в зависимост от фазата на менструалния цикъл. След менопауза повечето ендогенен естроген се произвежда чрез превръщане на андростендион, секретиран от надбъбречната кора в естрона в периферните тъкани. По този начин естронът и конюгираната с сулфат форма естроне сулфат са най-изобилните циркулиращи естрогени при жени след менопауза.
Естрогените действат чрез свързване с ядрените рецептори в естроген-реагиращите тъкани. Към днешна дата са идентифицирани 2 естрогенни рецептори. Те варират пропорционално от тъкан до тъкан.
Циркулиращите естрогени модулират секрецията на хипофизата на гонадотропините лутеинизиращи хормон (LH) и FSH чрез отрицателен механизъм за обратна връзка. Естрогените действат за намаляване на повишените нива на тези хормони, наблюдавани при жени след менопауза.
Фармакодинамика
Като цяло концентрацията на серум естроген не предвижда терапевтичен отговор на индивидуална жена на естрогел, нито рискът от неблагоприятни резултати. По същия начин сравненията на експозицията в различни продукти на естроген, за да се изведат ефикасността или безопасността за отделната жена, може да не са валидни.
Фармакокинетика
Абсорбция
Естрадиол се транспортира през непокътната кожа и в системната циркулация чрез пасивен процес на дифузия. Скоростта на дифузия в роговия слой е фактор, ограничаващ скоростта. Когато естрогелът се нанася върху кожата, той изсъхва след 2 до 5 минути.
Естрогел 1.25 g (containing 0.75 mg of Естрадиол) was administered to 24 postmenopausal women once daily on the posterior surface of 1 arm from wrist to shoulder for 14 consecutive days. Mean maximal serum concentrations of Естрадиол и estrone on Day 14 were 46.4 pg/mL и 64.2 pg/mL respectively. The time-averaged serum Естрадиол и estrone concentrations over the 24-hour dose interval after administration of 1.25 g Естрогел on Day 14 are 28.3 pg/mL и 48.6 pg/mL respectively. Mean concentration-time profiles for unadjusted Естрадиол и estrone on Day 14 are shown in Figure 1.
Фигура 1: Средни профили на серумната концентрация за нерегламентиран естрадиол и естрон след приложения с множество дози от 1,25 g естрогел 0,06% за 14 дни
Серумните концентрации на естрадиол след 2,5 g приложения на естрогел (NULL,25 g на всяка ръка от китката до рамото) изглежда достигат стабилно състояние след третото ежедневно приложение.
Разпределение
Разпределението на екзогенните естрогени е подобно на това на ендогенните естрогени. Естрогените са широко разпространени в организма и обикновено се намират в по -високи концентрации в целевите органи на пола хормона. Естрогените циркулират в кръвта до голяма степен обвързани с SHBG и албумин.
Метаболизъм
Екзогенните естрогени се метаболизират по същия начин като ендогенните естрогени. Циркулиращите естрогени съществуват в динамично равновесие на метаболитните взаимовръзки. Тези трансформации се извършват главно в черния дроб. Естрадиол се превръща обратимо в естроне и двете могат да бъдат превърнати в естриол, което е основен метаболит на урината. Естрогените също се подлагат на ентерохепатална рециркулация чрез сулфат и глюкуронидна конюгация в чернодробната жлъчна секреция на конюгати в червата и хидролизата в червата, последвано от реабсорбция. При жените след менопауза значителна част от циркулиращите естрогени съществуват, тъй като сулфатните конюгати особено естроновите сулфат, който служи като циркулиращ резервоар за образуване на по -активни естрогени. Въпреки че клиничната значимост не е определена естрадиол от естрогел, не преминава през метаболизма на черния дроб от първа пропаст.
Екскреция
Естрадиол естрон и естриол се отделят в урината заедно с конюгатите на глюкуронид и сулфат.
Очевидният терминална експоненциална полуживот за естрадиол беше около 36 часа след прилагане на 1,25 g естрогел.
Ефект от измиването на мястото на приложението
Ефектът от измиването на мястото на приложение върху серумните концентрации на естрадиол се определя при 24 здрави жени след менопауза, които прилагат 1,25 g естрогел веднъж дневно в продължение на 14 последователни дни. Измиването на сайта 1 час след приложението доведе до средно 22 процента намаление на средните 24-часови серумни концентрации на естрадиол.
Потенциал за трансфер на естрадиол
Ефектът от трансфера на естрадиол се оценява при 24 здрави жени след менопауза, които локално прилагат 1,25 g естрогел веднъж дневно върху задната повърхност на 1 рамо от китка до рамо за период от 14 последователни дни. Във всеки ден 1 час след прилагане на гел кохорта от 24 не-дозирани здрави жени след менопауза директно се свърза с дозираната кохорта на мястото на приложението на гел за 15 минути. Не е наблюдавана промяна в ендогенните средни серумни концентрации на естрадиол в кохортата, която не е дозирана, след директен контакт с кожа-кожа с лица, прилаган естрогел.
Ефект от лосион за овлажнител/слънцезащитен крем върху абсорбцията на естрадиол
Ефектът от лосиона за слънцезащитен крем и овлажнител върху абсорбцията на естрадиол от 0,06% естрадиол локален гел е оценен в рандомизирано проучване на триериодното кросоувър с отворен етикет при 42 здрави жени след менопауза. Резултатите от проучването показват, че многократното ежедневно прилагане на слънцезащитен крем в продължение на 7 дни на 1 час след прилагането на 0,06% естрадиол локален гел намалява средната стойност на AUC0-24H и CMAX на естрадиол с 16%. Многократното ежедневно нанасяне на лосион за овлажнител в продължение на 7 дни на 1 час след прилагането на 0,06% естрадиол локален гел увеличава средната стойност на AUC0-24H и CMAX на естрадиол съответно с 38% и 73%.
Ефектът от ежедневното прилагане на лосион за слънцезащитен крем/овлажнител върху абсорбцията на естрадиол, когато лосичният лосичен гел на слънцезащитния крем/овлажнител се прилага преди прилагане на 0,06% естрадиол локален гел.
Клинични изследвания
Ефекти върху вазомоторните симптоми при жени след менопауза
В плацебо-контролирано проучване 145 жени след менопауза на възраст между 29 и 67 години (NULL,4 процента са бели) са били назначени на случаен принцип да получат 1,25 g естрогел (съдържащ 0,75 mg естрадиол) или плацебо гел в продължение на 12 седмици. Ефикасността се оценява на 4 и 12 седмици лечение. Статистически значимо намаляване на честотата и тежестта на умерените до тежките горещи промивки е показано на 4 и 12 седмици (виж таблица 2)
Таблица 2: Средна промяна от изходното ниво в броя и тежестта на горещите вълни на ден ITT популация LOCF
| Брой горещи вълни/ден (умерен до тежък) | Оценка на тежестта/ден (леко умерено тежко) | |||
| Плацебо n = 73 | Естрогел 0.06% 1.25 g n = 72 | Плацебо n = 73 | Естрогел 0.06% 1.25 g n = 72 | |
| Базова линия | ||||
| Средно (SD) | 11.01 (5.66) | 10.33 (3.07) | 2.30 (0.24) | 2.36 (0.29) |
| Седмица 4* | ||||
| Средно (SD) | 5.95 (5.17) | 4.43 (4.13) | 2.00 (0.63) | 1.73 (0.73) |
| Средна промяна от изходното ниво (SD) | -5.06 (4.91) | -5.91 (3.68) | -0.31 (0.62) | -0.63 (0.71) |
| Разлика. срещу плацебо | 0.85 | 0.32 | ||
| P стойност † | 0,019 ‡ | 0,005 ‡ | ||
| Седмица 12* | ||||
| Средно (SD) | 5.17 (6.52) | 2.79 (3.70) | 1.76 (0.84) | 1.33 (0.97) |
| Средна промяна от изходното ниво (SD) | -5.84 (4.52) | -7.55 (3.52) | -0.54 (0.84) | -1.03 (0.94) |
| Разлика. срещу плацебо | 1.71 | 0.49 | ||
| P стойност † | 0,043 ‡ | <0.001‡ | ||
| * Основен часовник. † P стойности от непараметричния тест на Elteren. ‡ Статистически значително се различават от плацебо. |
Ефекти върху вулвата и вагиналната атрофия при жените след менопауза
Резултатите от цитологията на вагиналната стена показват значително (P≤0.001) увеличение от изходното ниво в процента на повърхностните епителни клетки на 12 -та седмица за 1,25 g естрогел. За разлика от тях не се наблюдава значителна промяна от изходното ниво в групата на плацебо.
Изследвания за здравна инициатива на жените
WHI се записа приблизително 27000 предимно здрави жени след менопауза в две под-подтудии, за да оцени рисковете и ползите от дневния устнен CE (NULL,625 mg)-самостоятелно или в комбинация с MPA (NULL,5 mg) в сравнение с плацебо при предотвратяване на определени хронични заболявания. Основната крайна точка беше честотата на ИБС (дефинирана като нефатална MI Silent Mi и CHD смърт) с инвазивен рак на гърдата като основен неблагоприятен резултат. Глобален индекс включва най -ранната поява на инвазивен инвазивен рак на рака на гърдата на гърдата PE ендометриален рак (само в CE плюс MPA Substudy) Фрактура на колоректалния рак или смъртта поради други причини. Тези под-судомисти не оценяват ефектите на CE-ALONE или CE плюс MPA върху симптомите на менопауза.
Whi естроген-самостоятелно субстудиране
Субюдията на WHI естроген беше спряна рано, тъй като се наблюдава повишен риск от инсулт и се счита, че не се получава допълнителна информация относно рисковете и ползите от естроген само в предварително определени първични крайни точки. Резултатите от субстаудията на естроген само, която включва 10739 жени (средно 63 години в диапазона 50-79; 75,3 процента бели 15,1 процента черни 6,1 процента от испаноядци 3,6 процента други) след средно проследяване от 7,1 години в таблица 3 са представени в таблица 3.
Таблица 3: Относителен и абсолютен риск, наблюдаван в естроген-самостоятелното подценяване на WHI a
| Събитие | Относителен риск CE срещу плацебо (95% NCI b ) | Това n = 5310 | Плацебо n = 5429 |
| Абсолютен риск на 10000 жени години | |||
| CHD събития c | 0,95 (NULL,78-1,16) | 54 | 57 |
| Не-фатален ми c | 0.91 (0.73-1.14) | 40 | 43 |
| Смъртта на Chd c | 1.01 (0.71-1.43) | 16 | 16 |
| Всички удари c | 1.33 (1.05-1.68) | 45 | 33 |
| Исхемичен инсулт c | 1.55 (1.19-2.01) | 38 | 25 |
| Тромбоза на дълбоки вени CD | 1.47 (1.06-2.06) | 23 | 15 |
| Белодробна емболия c | 1.37 (0.90-2.07) | 14 | 10 |
| Инвазивен рак на гърдата c | 0.80 (0.62-1.04) | 28 | 34 |
| Колоректален рак c | 1.08 (0.75-1.55) | 17 | 16 |
| Фрактура на тазобедрената става c | 0,65 (NULL,45-0,94) | 12 | 19 |
| Фрактури на прешлените CD | 0,64 (NULL,44-0,93) | 11 | 18 |
| Долни фрактури на ръката/китката CD | 0,58 (NULL,47-0,72) | 35 | 59 |
| Общи фрактури CD | 0,71 (NULL,64-0,80) | 144 | 197 |
| Смърт поради други причини CD | 1.08 (0.88-1.32) | 53 | 50 |
| Обща смъртност CD | 1.04 (0.88-1.22) | 79 | 75 |
| Глобален индекс g | 1.02 (0.92-1.13) | 206 | 201 |
| a Адаптиран от многобройни публикации на WHI. WHI публикации могат да бъдат разгледани на www.nhlbi.nih.gov/whi. b Номинални доверителни интервали, които не се настройват за множество външен вид и множество сравнения. c Резултатите се основават на централно решени данни за средно проследяване от 7,1 години. d Не е включен в Global Index. e Резултатите се основават на средно проследяване от 6,8 години. f Всички смъртни случаи, с изключение на рак на гърдата или колоректалния рак, определени или вероятни CHD PE или мозъчно -съдово заболяване. g Подмножество от събитията беше комбинирано в „глобален индекс“, дефиниран като най -ранната поява на CHD събития, инвазивен рак на гърдата белодробна емболия ендометриална рак на колоректален рак фрактура или смърт поради други причини. |
За тези резултати, включени в глобалния индекс на WHI, който достигна статистическа значимост, абсолютният излишък на риск на 10000 жени години в групата, лекуван с CE-самона, е 12 повече инсулти, докато намаляването на абсолютния риск на 10000 жени е 7 по-малко фрактури на тазобедрената става. 9 Абсолютният излишен риск от събития, включени в „глобалния индекс“, беше несъществено 5 събития на 10000 жени-години. Няма разлика между групите по отношение на смъртността на всички причини.
Няма обща разлика за първичните CHD събития (нефатална MI Silent Mi и CHD смърт) и инвазивен рак на гърдата при жени, получаващи Ce-Alone в сравнение с плацебо, не се съобщава за окончателни централно решени резултати от естроген самостоятелно след средно проследяване от 7,1 години. Вижте таблица 3.
Централно разгледани резултати за инсулт от инсулт от естроген-самостоятелната субстудия след средно проследяване от 7,1 години не съобщава за значителна разлика в разпределението на подтипа или тежестта на инсулт, включително фатални инсулти при жени, получаващи CE-самона в сравнение с плацебо. Терапията с естроген само увеличава риска от исхемичен инсулт и този излишен риск е наличен във всички изследвани подгрупи жени. 10
Времето за започване на естрогенна терапия спрямо началото на менопаузата може да повлияе на общия профил на ползите от риска. WHI естроген-самостоятелен подстудист, стратифициран по възраст, показва при жени на 50 до 59 години, несъществена тенденция към намален риск от CHD [съотношение на опасност (HR) 0,63 (95 процента CI 0,36-1,09)] и общата смъртност [HR 0,71 (95 процента CI 0,46-1,11)].
Whi естроген плюс прогестин субстудиране
WHI естроген плюс прогестин подстуди беше спрян рано. Според предварително определеното правило за спиране след средно проследяване от 5,6 години лечение повишеният риск от инвазивен рак на гърдата и сърдечно-съдови събития надвишава определените ползи, включени в глобалния индекс. Абсолютният излишен риск от събития, включени в глобалния индекс, е 19 на 10000 жени години.
За тези резултати, включени в WHI Global Index, който достигна статистическа значимост след 5,6 години проследяване, абсолютните излишни рискове на 10000 жени години в групата, лекувани с CE плюс MPA, бяха още 7 CHD събития 8 повече удара още 10 PES и 8 повече нашествения рак на гърдата, докато абсолютното намаляване на риска на 10000 жени беше 6 по-малко ракови заболявания на колоректал, а 5-малко хип фрактури.
Резултатите от CE Plus MPA Substudy, които включват 16608 жени (средно 63-годишен възрастов диапазон 50-79; 83,9 процента бели 6,8 процента черни 5,4 процента испаноядни 3,9 процента други) са представени в таблица 4. Тези резултати отразяват централно решени данни след средно проследяване от 5,6 години.
Таблица 4: Относителен и абсолютен риск, наблюдаван при естроген плюс прогестин подстране на WHI на средно 5,6 години AB
| Събитие | Относителен риск CE/MPA срещу плацебо (95% NCI c ) | Това/MPA n = 8506 | Плацебо n = 8102 |
| Абсолютен риск на 10000 жени години | |||
| CHD събития | 1.23 (0.99-1.53) | 41 | 34 |
| Не-фатален ми | 1.28 (1.00-1.63) | 31 | 25 |
| Смъртта на Chd | 1.10 (0.70-1.75) | 8 | 8 |
| Всички удари | 1.31 (1.03-1.68) | 33 | 25 |
| Исхемичен инсулт | 1.44 (1.09-1.90) | 26 | 18 |
| Тромбоза на дълбоки вени d | 1.95 (1.43-2.67) | 26 | 13 |
| Белодробна емболия | 2.13 (1.45-3.11) | 18 | 8 |
| Инвазивен рак на гърдата e | 1.24 (1.01-1.54) | 41 | 33 |
| Колоректален рак | 0.61 (0.42-0.87) | 10 | 16 |
| Рак на ендометриума d | 0.81 (0.48-1.36) | 6 | 7 |
| Рак на шийката на матката d | 1.44 (0.47-4.42) | 2 | 1 |
| Фрактура на тазобедрената става | 0.67 (0.47-0.96) | 11 | 16 |
| Фрактури на прешлените d | 0,65 (NULL,46-0,92) | 11 | 17 |
| Долни фрактури на ръката/китката d | 0,71 (NULL,59-0,85) | 44 | 62 |
| Общи фрактури | 0.76 (0.69-0.83) | 152 | 199 |
| Обща смъртност f | 1.00 (0.83-1.19) | 52 | 52 |
| Глобален индекс g | 1.13 (1.02-1.25) | 184 | 165 |
| a Адаптиран от многобройни публикации на WHI. WHI публикации могат да бъдат разгледани на www.nhlbi.nih.gov/whi. b Резултатите се основават на централно решени данни. c Номинални доверителни интервали, които не се настройват за множество външен вид и множество сравнения. d Не е включен в Global Index. e Включва метастатичен и неметастатичен рак на гърдата с изключение на рак на гърдата in-situ. f Всички смъртни случаи, с изключение на рак на гърдата или колоректалния рак, определени или вероятни CHD PE или мозъчно -съдово заболяване. g Подмножество от събитията беше комбинирано в „глобален индекс“, дефиниран като най -ранната поява на CHD събития, инвазивен рак на гърдата белодробна емболия ендометриална рак на колоректален рак фрактура или смърт поради други причини. |
Времето на започване на естроген плюс терапия с прогестин спрямо началото на менопаузата може да повлияе на общия профил на ползите от риска. WHI естроген плюс прогестин подземен, стратифициран по възраст, показва при жени на 50 до 59 години, несъществена тенденция към намален риск от обща смъртност [HR 0,69 (95 процента CI 0,44â1,07)].
Проучване на паметта за здравна инициатива за жените
The WHIMS estrogen-alone ancillary study of WHI enrolled 2947 predominantly healthy hysterectomized postmenopausal women 65 years of age and older (45 percent were 65 to 69 years of age 36 percent were 70 to 74 years of age and 19 percent were 75 years of age and older) to evaluate the effects of daily CE (0.625 mg)-alone on the incidence of probable dementia (primary резултат) в сравнение с плацебо.
След средно проследяване от 5,2 години относителният риск от вероятна деменция за CE-самона срещу плацебо е 1,49 (95 процента CI 0,83-2,66). Абсолютният риск от вероятна деменция за CE-самона срещу плацебо е 37 срещу 25 случая на 10000 жени-години. Вероятната деменция, както е дефинирана в изследването, включва съдовата деменция на Алцхаймер (VAD) и смесен тип (с характеристики както на AD, така и на VAD). Най -често срещаната класификация на вероятната деменция в лечебната група и плацебо групата е AD. Тъй ПредупреждениеS AND ПРЕДПАЗНИ МЕРКИ и Използване в конкретни популации ].
The WHIMS estrogen plus progestin ancillary study enrolled 4532 predominantly healthy postmenopausal women 65 years of age and older (47 percent were 65 to 69 years of age 35 percent were 70 to 74 years of age and 18 percent were 75 years of age and older) to evaluate the effects of daily CE (0.625 mg) plus MPA (2.5 mg) on the incidence of probable dementia (primary резултат) в сравнение с плацебо.
След средно проследяване от 4 години относителният риск от вероятна деменция за CE плюс MPA срещу плацебо е 2,05 (95 процента CI 1,21-3,48). Абсолютният риск от вероятна деменция за CE плюс MPA срещу плацебо е 45 срещу 22 случая на 10000 жени-години. Вероятната деменция, както е дефинирана в проучването, включва AD VAD и смесен тип (с характеристики както на AD, така и на VAD). Най -често срещаната класификация на вероятната деменция в лечебната група и плацебо групата е AD. Тъй ПредупреждениеS AND ПРЕДПАЗНИ МЕРКИ и Използване в конкретни популации ].
Когато данните от двете популации бяха обединени, както е планирано в протокола за прищявки, отчетеният общ относителен риск от вероятна деменция е 1,76 (95 процента CI 1,19-2,60). Разликите между групите станаха очевидни през първата година на лечение. Не е известно дали тези открития се прилагат за по -млади жени след менопауза [виж ПредупреждениеS AND ПРЕДПАЗНИ МЕРКИ и Използване в конкретни популации ].
ЛИТЕРАТУРА
9. Jackson Rd et al. Ефекти от конюгирания естроген на конете върху риска от фрактури и BMD при жени след менопауза с хистеректомия: резултати от рандомизираното изпитване на женската здравна инициатива. J костен миньор Res. 2006; 21: 817-828.
10. Hendrix Sl et al. Ефекти от конюгирания естроген на конете върху инсулта в Инициативата за здраве на жените. Циркулация. 2006; 113: 2425-2434.
Информация за пациента за естрогел
Естрогел®; 0.06%
(лесен € tre ветеринарен лекар)
(естрадиол гел)
Прочетете тази информация за пациента, преди да започнете да използвате естрогел и всеки път, когато получите зареждане. Може да има нова информация. Тази информация не заема мястото да разговаряте с вашия доставчик на здравни грижи за вашите симптоми на менопауза или за вашето лечение.
Коя е най -важната информация, която трябва да знам за естрогела (хормон на естроген)?
- Използването на естроген само може да увеличи шанса ви да получите рак на матката (утроба). Докладвайте за всяко необичайно вагинално кървене веднага, докато използвате естрогел. Вагиналното кървене след менопаузата може да бъде предупредителен знак за рак на матката (утроба). Вашият доставчик на здравни грижи трябва да провери всяко необичайно вагинално кървене, за да разбере причината.
- Не използвайте естроген само за предотвратяване на инфаркти на сърдечни заболявания или деменция (спад на мозъчната функция).
- Използването на естроген само може да увеличи шансовете ви за получаване на инсулти и кръвни съсиреци.
- Използването на естроген само може да увеличи шанса ви да получите деменция въз основа на проучване на жени на възраст 65 години и повече.
- Не използвайте естрогени с прогестогени, за да предотвратите инсулт или деменция на сърдечни заболявания.
- Използването на естрогени с прогестогени може да увеличи шансовете ви за получаване на инфаркти, инсултира рак на гърдата или кръвни съсиреци.
- Използването на естрогени с прогестогени може да увеличи шанса ви да получите деменция въз основа на проучване на жени на възраст 65 и повече години.
- Доказано е, че само един естроген-самостоятелен продукт и доза увеличават шансовете ви за получаване на инсулти кръвни съсиреци и деменция. Доказано е, че само един естроген с прогестоген и доза увеличава шансовете ви да получавате инфаркти, инсултира кръвните съсиреци и деменцията на рака на гърдата. Тъй като други продукти и дози не са проучени по същия начин, не е известно как използването на естрогел ще повлияе на шансовете ви за тези условия. Вие и вашият доставчик на здравни грижи трябва да говорите редовно дали все още се нуждаете от лечение с естрогел.
Какво е естрогел?
Естрогел is a prescription medicine gel that contains Естрадиол (an estrogen hormone).
За какво се използва естрогел?
Естрогел is used after menopause to:
- Намалете умерените до тежки горещи светкавици
Естрогените са хормони, направени от яйчниците на жената. Яйчниците обикновено спират да правят естрогени, когато една жена е на възраст между 45 и 55 години. Този спад в нивата на естроген на тялото причинява промяна на живота или менопаузата (края на месечните менструални периоди).
Понякога и двете яйчници се отстраняват по време на операция, преди да се извърши естествена менопауза. Внезапният спад на нивата на естроген причинява хирургична менопауза.
Когато нивата на естроген започват да отпадат, някои жени развиват много неудобни симптоми, като чувство на топлина в шията и гърдите на лицето или внезапни интензивни чувства на топлина и изпотяване (горещи проблясъци или горещи промивки). При някои жени симптомите са леки и няма да е необходимо да използват естрогени. При други жени симптомите могат да бъдат по -тежки.
- Лекувайте умерени до тежки менопаузални промени във и около влагалището
Вие и вашият доставчик на здравни грижи трябва да говорите редовно дали все още се нуждаете от лечение с естрогел, за да контролирате тези проблеми. Ако използвате естрогел само за лечение на вашите промени в менопаузата във и около вагината си, разговарят с вашия доставчик на здравни грижи дали локален вагинален продукт би бил по -добър за вас.
Кой не трябва да използва естрогел?
Не започвайте да използвате естрогел, ако вие:
- имат необичайно вагинално кървене
Вагиналното кървене след менопаузата може да бъде предупредителен знак за рак на матката (утроба). Â - са били диагностицирани с нарушение на кървенето
- в момента са имали или са имали определени ракови заболявания
Естрогените могат да увеличат шанса да получат определени видове рак, включително рак на гърдата или матката. Ако сте имали или сте разговаряли с рак с вашия доставчик на здравни грижи дали трябва да използвате естрогел - в момента са имали или са имали кръвни съсиреци
- в момента са имали или са имали проблеми с черния дроб
- са алергични към естрогела или някоя от неговите съставки
Вижте списъка на съставките в естрогел в края на тази листовка.
Преди да използвате естрогел, кажете на вашия доставчик на здравни грижи за всички ваши медицински състояния, включително ако вие:
- имат някакво необичайно вагинално кървене
Вагиналното кървене след менопаузата може да бъде предупредителен знак за рак на матката (утроба). Вашият доставчик на здравни грижи трябва да провери всяко необичайно вагинално кървене, за да разбере причината. - Имате други медицински състояния, които могат да се влошат, докато използвате естрогел
Вашият доставчик на здравеопазване може да се наложи да ви провери по -внимателно, ако имате определени състояния като астма (хрипове) епилепсия (припадъци) диабет мигрена ендометриоза лупус ангиоедем (подуване на лицето и езика) проблеми с бъбреците на щитовидната жлеза на черния дроб или високите нива на калций в кръвта ви. - ще направят операция или ще бъдат на почивка в леглото
Вашият доставчик на здравни услуги ще ви уведоми, ако трябва да спрете да използвате естрогел. - са бременни или смятат, че може да сте бременна
Естрогел is not for pregnant women. - са кърмещи
Хормонът в естрогела може да премине в кърмата ви.
Кажете на вашия доставчик на здравни грижи за всички лекарства, които приемате включително лекарства за рецепта и лекарства без рецепта витамини и билкови добавки. Някои лекарства могат да повлияят на това как работи естрогелът. Естрогелът може да повлияе и на начина, по който работят другите ви лекарства. Поддържайте списък на вашите лекарства и го покажете на вашия доставчик на здравни услуги и фармацевт, когато получите ново лекарство.
Как трябва да използвам естрогел?
За подробни инструкции вижте инструкциите стъпка по стъпка за използване на естрогел в края на тази информация за пациента.
- Използвайте естрогел точно както вашият доставчик на здравни грижи ви казва да го използвате.
- Естрогел is for skin use only.
- Естрогел contains alcohol which is flammABle. Избягвайте пожарния пламък или пушенето, докато естрогел не изсъхне.
- Вие и вашият доставчик на здравни грижи трябва да говорите редовно (например на всеки 3 до 6 месеца) за дозата, която използвате и дали все още се нуждаете от лечение с естрогел.
Какви са възможните странични ефекти на естрогела?
Страничните ефекти са групирани от това колко сериозни са и колко често се случват, когато се лекувате.
Сериозните, но по -рядко срещани странични ефекти включват:
- сърдечен удар
- удар
- Кръвни съсиреци
- Рак на гърдата
- Рак на лигавицата на матката (утроба)
- Рак на яйчника
- деменция
- Висока или ниска кръвна калций
- болест на жлъчния мехур
- Визуални аномалии
- високо кръвно налягане
- Високи нива на мазнини (триглицериди) в кръвта ви
- Проблеми с черния дроб
- Промени в нивата на вашия хормон на щитовидната жлеза
- задържане на течности
- Промени в рака на ендометриозата
- Уголемяване на доброкачествени тумори на матката (фиброиди)
- Влошаване на подуването на лицето и езика (ангиоедем) при жени с история на ангиоедем
- Промени в резултатите от лабораторните тестове като време за кървене и висока кръвна захар
Обадете се на вашия доставчик на здравни услуги веднага, ако получите някой от следните предупредителни знаци или други необичайни симптоми, които ви засягат:
- Нови бучки за гърди
- необичайно вагинално кървене
- Промени във зрението или речта
- Внезапни нови тежки главоболия
- Силни болки в гърдите или краката ви със или без задух слабост и умора на устните на лицето и езика със или без червени сърбящи неравности
Общите странични ефекти на естрогела включват:
- загуба на коса
- главоболие
- задържане на течности
- Нежност или болка на гърдата
- вагинална инфекция с дрожди
- стомашни или коремни спазми подуване
- гадене и повръщане
Това не са всички възможни странични ефекти на естрогела. За повече информация попитайте вашия доставчик на здравни грижи или фармацевт. Кажете на вашия доставчик на здравни грижи, ако имате странични ефекти, които ви притесняват или не си отиват. Можете да отчитате странични ефекти на FDA на 1-800-FDA-1088 или да изкачите Therapeutics® US LLC на 1-877-204-1013.
Какво мога да направя, за да понижа шансовете си за сериозен страничен ефект с естрогел?
- Говорете редовно с вашия доставчик на здравни грижи дали трябва да продължите да използвате естрогел.
- Ако говорите с матка с вашия доставчик на здравни грижи дали добавянето на прогестоген е подходящо за вас.
- Като цяло добавянето на прогестоген се препоръчва за жени с матка, за да се намали вероятността да получат рак на матката (утроба).
- Вижте вашия доставчик на здравни услуги веднага, ако получите вагинално кървене, докато използвате естрогел.
- Направете изпит за изпита за тазови изпити и мамография (рентгенова снимка на гърдата) всяка година, освен ако вашият доставчик на здравни грижи не ви каже нещо друго.
- Ако членовете на вашето семейство са имали рак на гърдата или ако някога сте имали бучки на гърдата или ненормална мамография (рентгенова снимка на гърдата), може да се наложи да имате прегледи на гърдата по-често.
- Ако имате високо кръвно налягане с висок холестерол (мазнини в кръвта) диабетът е с наднормено тегло или ако използвате тютюн, може да имате по -големи шансове за получаване на сърдечни заболявания.
Попитайте вашия доставчик на здравеопазване за начини да намалите шансовете си за получаване на сърдечни заболявания.
Как трябва да съхранявам естрогел?
- Съхранявайте естрогела при стайна температура между 68 ° F до 77 ° F (20 ° C до 25 ° C).
Дръжте естрогела и всички лекарства извън обсега на децата.
Обща информация за безопасното и ефективно използване на естрогела
Понякога лекарствата се предписват за състояния, които не се споменават в информационните листовки на пациента. Не използвайте естрогел за условия, за които не е предписан. Не давайте естрогел на други хора, дори ако имат същите симптоми, които имате. Може да им навреди.
Можете да попитате вашия доставчик на здравни грижи или фармацевт за информация за естрогела, който е написан за здравни специалисти.
За повече информация отидете на www.estrogel.com или се обадете на Ascend Therapeutics® US LLC на 1-877-204-1013.
Какви са съставките в естрогела?
Активна съставка: Естрадиол
Неактивни съставки: Пречистен воден алкохол триетаноламин и карбомер 934p.
Инструкции за употреба
Естрогел®; 0.06%
(лесен € tre ветеринарен лекар)
(естрадиол гел)
Прочетете тези инструкции за използване, преди да започнете да използвате естрогел и всеки път, когато получите зареждане. Може да има нова информация. Тази информация не заема мястото да разговаряте с вашия доставчик на здравни грижи за вашите симптоми на менопауза или за вашето лечение.
Ще ви трябват следните консумативи, за да използвате естрогел: Вижте Фигура А.
Фигура a
Естрогел is supplied in a metered-dose pump that delivers a measured amount of Естрадиол to your skin each time you press the pump.
Естрогел is availABle in a 50-gram canister
Стъпка 1. Групиране на помпата на естрогела
- Преди да използвате помпата за естрогел за първи път, помпата трябва да бъде грундирана. Canister Estrogel съдържа достатъчно лекарства, за да ви позволи да подправите помпата, преди да я използвате за първи път.
- Извадете голямата капачка от кутията. Виж Фигура Б.
Фигура б
мога ли да взема 2 ambien 5mg
- Бавно натиснете помпата докрай 5 пъти. Не използвайте естрогел, който е излязъл по време на грундиране. Измийте го с мивката, за да избегнете случайно излагане на други.
- След грундиране помпата на естрогела е готова за употреба. Едно цялостно натискане на помпата ще дава едно и също количество естрогел всеки път.
Стъпка 2. Прилагане на естрогел върху кожата ви
- Не позволявайте на други хора да прилагат естрогел върху кожата ви за вас.
- Нанесете естрогел за почистване на сухата непрекъсната кожа.
- Нанесете естрогел след ваната или душ. Ако отидете да плувате, опитайте се да оставите възможно най -много време между използването на вашия естрогел и да ходите плуване.
- Извадете малкия капак на върха на помпата, ако вече не сте го направили. Виж Фигура В.
Фигура c
- За да използвате естрогел, натиснете здраво помпата за естрогел и напълно 1 път в дланта на ръката си. Виж Фигура D.
Фигура г. г.
- С помощта на ръката нанесете естрогел върху кожата на другата си ръка. Вижте фигура Д. Разстелете гела възможно най -тънко върху цялата зона от вътрешната и външната страна на ръката от китката до рамото. Виж Фигура F.
Фигура Е и F
- Не Нанесете естрогел директно върху гърдите или във и около вагината си.
- Не масаж или разтриване в естрогел. Оставете гела да изсъхне за 5 минути, преди да се облечете.
Стъпка 3. След като използвате естрогел
- Поставете малката капачка обратно на върха на помпата. Поставете голямата капачка върху горната част на кутията.
- Измийте ръцете си веднага със сапун и вода, след като нанесете естрогел. Това ще намали вероятността лекарството да се разпространи от ръцете ви към други хора.
- Не allow others to make contact with the area of skin where you applied the gel for at least 1 hour after application.
- Естрогел is flammABle until dry. Let Естрогел dry before smoking or going near an open flame.
Стъпка 4. Изхвърляне на използвани естрогелни канистри
- 50-грамовата кутия естрогел Съдържа достатъчно лекарства, за да позволи грундиране на вашата кутия с до 5 пълни депресии на помпата и доставка на 30 дневни дози. След като първо сте подготвили канистъра си и сте използвали 30 дози, ще трябва да изхвърлите кутията. Не използвайте кутията за повече от 30 дози, въпреки че кутията може да не е напълно празна. Може да не получите правилната доза.
Тази информация и инструкции за употреба е одобрена от Американската администрация по храните и лекарствата.