Информацията В Сайта Не Е Медицински Съвет. Ние Не Продаваме Нищо. Точността На Превода Не Е Гарантирана. Отказ От Отговорност
Антибиотици, другиUrex
Резюме на наркотиците
Какво е Urex?
UREX (Methenamine Hippurate) е антисептично лекарство за пикочен тракт, използвано за лечение и предотвратяване на инфекции на пикочните пътища. Urex е достъпен в генеричен форма.
Какви са страничните ефекти на Urex?
Общите странични ефекти на UREX включват:
- гадене
- разстроен стомах
- повръщане
- диария
- коремни спазми
- загуба на апетит и
- Кожен обрив.
Кажете на Вашия лекар, ако имате малко вероятно, но сериозни странични ефекти на UREX, включително:
Странични ефекти на прохлорперзин 10 mg
- Мани от уста
- необичайно главоболие
- звънене в ушите
- мускулни крампи или
- подуване на ръцете или краката.
Дозировка за Urex
Дозата на UREX за възрастни и деца над 12 години е 1 таблет (1 g) два пъти дневно и половина таблет или една таблетка (NULL,5 или 1 g) два пъти дневно за деца на възраст от 6 до 12 години.
Какви лекарства вещества или добавки взаимодействат с UREX?
UREX може да взаимодейства с въглеродни инхибитори на анхидраза сулфа лекарства диуретици (водни хапчета) или продукти, съдържащи алуминиев калциев магнезий натриев бикарбонат Калий или натриев цитрат или лимонена киселина (като антиациди витамин или минерални хапчета уринарни алкализатори и други лекарства). Кажете на Вашия лекар всички лекарства и добавки, които използвате.
Urex по време на бременност или кърмене
По време на бременността Urex трябва да се използва само когато е предписано. Това лекарство преминава в кърма и ефектът върху кърмаче за кърмене е неизвестен. Консултирайте се с Вашия лекар преди кърмене.
Допълнителна информация
Нашият UREX (Methenamine Hippurate) Центърът за лекарства за странични ефекти предоставя изчерпателен поглед върху наличната информация за лекарството върху потенциалните странични ефекти при приемането на това лекарство.
Информация за наркотиците на FDA
- Описание на лекарството
- Показания
- Странични ефекти
- Предупреждения
- Предозиране
- Клинична фармакология
- Ръководство за лекарства
Описание за Urex
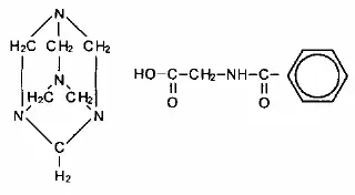
UREX (Methenamine Hippurate) е антисептично лекарство за пикочен тракт. Всяка бяла вкарана таблетка Urex съдържа метенамин хиптурата 1 g (виж Колко се доставя ). Таблетките UREX (Methenamine Hippurate) съдържат също: магнезиев стеарат Povidone и захарин натрий. Химически хиптурата на метинамина е солта на хипуровата киселина на метинамин (хексаметилентетрамин).
Структурна формула:
|
C 15 H 21 N 5 O 3
Молекулно тегло 319.37
Използване за Urex
За да се намали развитието на устойчиви на лекарства бактерии и да се поддържа ефективността на урекс (метинаминово хиптурата) и други антибактериални лекарства, Urex (метенамин хиптурат), трябва да се използва само за лечение или предотвратяване на инфекции, които се доказват или силно се подозира, че са причинени от податливи бактерии. Когато е налична информация за културата и чувствителността, те трябва да бъдат взети предвид при избора или промяна на антибактериалната терапия. При липса на такива данни локалните епидемиология и модели на чувствителност могат да допринесат за емпиричния селекция на терапията.
хидрокодонов битартрат и ацетаминофен перорален разтвор
UREX (метенамин хиптурат) е показан за профилактично или потискащо лечение на често повтарящи се инфекции на пикочните пътища, когато дългосрочната терапия се счита за необходима. Това лекарство трябва да се използва само след ликвидиране на инфекцията от други подходящи антимикробни средства.
Дозировка за Urex
Една таблетка (1 g) два пъти дневно за възрастни и деца на възраст над 12 години. Таблетка от половин или един таблет (NULL,5 или 1 g) два пъти дневно за деца от 6 до 12 години.
Антибактериалната активност на урекс (метинамин хиптурата) е по -голяма в киселинната урина. Следователно е желателно ограничаването на алкализиращите храни и лекарства. Ако е необходимо, както е посочено чрез PH на урината и клиничния отговор, може да се въведе допълнително подкисляване на урината. Ефикасността на терапията трябва да се наблюдава чрез многократни култури на урината.
Колко се доставя
Таблетките UREX (Methenamine Hippurate) са с форма на капсула, отпечатана от бяло отпечатано „VP“ от едната страна и „Urex“ от другата. Всяка таблица съдържа метенамин хиптурата 1g.
Бутилки от 100 таблетки (NDC 65199-1201-1).
Съхранявайте при контролирана стайна температура 15 ° -30 ° C (59 ° -86 ° F).
Разпределено от: Vatring Pharmaceuticals Inc. Wytheville Va. 24382. Медицински запитвания: 1-276-223-0800. Други запитвания: 1-888-968-4726. Произведено от: Draxis Pharma A Отдел на Draxis Specialty Pharmaceuticals Inc. Kirkland Quebec Canada. Декември 2006 г. FDA Rev Дата: 3/11/2008
Странични ефекти за UREX
Съобщава се за неблагоприятни ефекти на UREX (метенамин хиптурат) при по -малко от 3,5% от лекуваните пациенти.
Тези реакции включват следното при намаляващ ред на честотата: повръщане на гадене и рядко пурит раш дисурия.
Децата са получили UREX (Methenamine Hippurate) в препоръчителните дози, като профилактичен/потискащ режим след първоначално лечение на остри епизоди на Pyuria. Странични ефекти се срещат само при 1,1% от тези деца.
Лекарствени взаимодействия за UREX
Съпътстващото приложение на хиптурация на метинамин и сулфаметизол или сулфатиазол може да доведе до образуване на утайка в урината.
Взаимодействия между лекарства/лабораторни тестове. Метенаминът причинява фалшиво повишено ниво на урина 17-хидроксикортикостероид и катехоламин.
Предупреждения за Urex
Пациентите с съществуваща чернодробна недостатъчност могат да претърпят неблагоприятни ефекти от малките количества амоняк и формалдехид, които се получават. Класическият синдром на остра чернодробна недостатъчност може да бъде предизвикан при тези пациенти.
Предпазни мерки за Urex
Общи: Предписването на UREX (Methenamine Hippurater) при липса на доказана или силно подозирана бактериална инфекция или профилактична индикация е малко вероятно да осигури полза на пациента и увеличава риска от развитието на устойчиви на лекарства бактерии.
Зелен чай и високо кръвно налягане
Големите дози метенамин (8 g дневно в продължение на 3 до 4 седмици) причиняват дразнене на пикочния мехур болезнено и чести албумиране на мекрудиция и брутна хематурия.
Трябва да се внимава да се поддържа киселинно рН на урината, особено при лечение на инфекции поради разделяне на урея организми като Протей spp. и щамове на Pseudomonas spp.
Лабораторни тестове. В няколко случая в едно проучване нивата на серумната трансаминаза показват леко повишаване по време на лечението, което се връща към нормалното, докато пациентите все още получават UREX (метенамин хиптурат). Поради този един доклад се препоръчва периодично да се извършват изследвания на чернодробната функция на пациенти, получаващи лекарството, особено тези с чернодробна дисфункция.
Канцерогенеза мутагенеза и увреждане на плодовитостта. UREX (метенамин хиптурат) не е оценен за канцерогенност или мутагенност.
Метенамин е оценен за мутагенност в теста на микросома на Ames Salmonella/Mambyalian. Пет щама на Salmonella typhimurium (TA98 TA100 TA1535 TA1537 и TA1538) и щам на Те изложиха студ (WP2uvra) бяха използвани. В доза от 10000 ug/плоча метинаминът показва мутагенна активност в Salmonella typhimurium TA98 и TA100 чрез метаболитна активация и също показаха мутагенна активност в TA98 без микрозомално активиране.
В едно голямо проучване не са открити доказателства за канцерогенност след дългосрочно орално приложение на Метенамин 1,25 g/kg/ден на плъхове ( 104 седмици ) и мишки ( 60 седмици ). Същите изследователи също съобщават, че няма предположение за канцерогенност в резултат на пет подкожни инжекции от 5 g/kg (дадени в алтернативни дни за обща доза от 25 g/kg). По -ранно много по -малко проучване показа 50% честота на локални саркоми след подкожно инжектиране на метинамин на обща стойност 25 g/kg, прилагани за периоди до 15 месеца, за да получат едновременно плъхове, получаващи мравчена киселина.
UREX (Methenamine Hippurate), прилаган при ниво на доза от 800 mg/kg/ден, не влияе неблагоприятно на плодовитостта на женските плъхове. Ефектите върху фертилитета на мъжете не са адекватно проучени.
Бременност
Тератогенни ефекти. Бременност category C. Oral administration of Метенамин to pregnant dogs at doses equivalent to the human dose has been reported to cause a slight increase in the stillborn rate and slight impairment of weight gain and survival of live-born offspring. A teratogenicity study in which Urex (Метенамин hippurate) was administered to pregnant rabbits at doses approximately 3 times the human dose revealed no evidence of harm to the fetus. There are no adequate and well-controlled studies in pregnant women. UREX (Метенамин hippurate) should be used during pregnancy only if the potential benefit justifies the potential risk to the fetus.
Странични ефекти на Xanax при възрастни хора
Труд и доставка. UREX (Methenamine Hippurate) няма призната употреба по време на труд и доставка и ефектите му по време на тези процеси са неизвестни.
Кърмещи майки. Метенамин is excreted in human milk. Because of the potential for serious adverse reactions in nursing infants a decision should be made whether to discontinue nursing or to discontinue the drug taking into account the importance of the drug to the mother.
Педиатрична употреба (виж Доза и приложение ).
Информация за предозиране за UREX
Веднага след поглъщането на свръхдоза допълнително усвояване на лекарството може да бъде сведено до минимум чрез предизвикване на повръщане или чрез стомашно промиване, последвано от прилагане на активен въглен. Течностите или орални или парентерални трябва да бъдат принудени да толерантност.
Противопоказания за Urex
UREX (Methenamine Hippurate) е противопоказано при пациенти с бъбречна недостатъчност тежка чернодробна недостатъчност или тежка дехидратация. Не трябва да се използва като еднолично терапевтично средство при остри паренхимни инфекции, причиняващи системни симптоми.
Клинична фармакология for Urex
UREX (Methenamine Hippurate) лесно се абсорбира от GI тракта. Метенаминът се разпределя широко в телесните течности, но много малко се хидролизира преди екскрецията в бъбрека и по този начин има минимален системен токсичен потенциал.
В рамките на половината час след единична доза 1 g доза UREX (Methenamine Hippurate) е демонстрираща се в урината. Урината показва непрекъсната антибактериална активност, когато UREX (хиптурата на метинамин) се прилага при препоръчителния график на дозата от 1 g два пъти дневно. Над 90% от метинаминовата част се отделя в урината в рамките на двадесет и четири часа след прилагане на една доза 1 g. По същия начин хипратната част се абсорбира бързо и се отделя и достига до урината както чрез тръбна секреция, така и чрез гломерулна филтрация. Това може да е от значение при по -възрастни пациенти или с някаква степен на бъбречно увреждане.
Метенамин is placentally transferred to the fetus during pregnancy.
Микробиология. UREX (Methenamine Hippurate) упражнява своята активност, тъй като компонентът на метинамина се хидролизира до формалдехид в киселинна урина. Хипуринова киселина Другият компонент действа за поддържане на киселината на урината. Минималните инхибиторни концентрации са значително по -ниски при по -киселинни среди; Следователно ефикасността на UREX (Methenamine Hippurate) може да се увеличи чрез подкисляване на урината (виж Доза и приложение ).
Микроорганизмите не развиват резистентност към формалдехид; обаче урея -Проване на микроорганизми (напр. Протей Видовете) са склонни да повишават рН на урината, като по този начин инхибират освобождаването на формалдехид. Когато рН на урината е 6, а дневният обем на урината е 1000 - 1500 ml A 2 g доза Urex (Methenamine Hippurate), ще доведе до концентрация на урина от 18 до 60 ug/ml формалдехид, това е повече от минималната инхибиторна концентрация за повечето уринарни патогени.
Фармакология на животните и токсикологията на животните
До 600 mg/kg Urex (метенамин хиптурат) в една доза се прилагат интравенозно на кучета и на плъхове, без да се наблюдават токсични ефекти. Хроничното перорално приложение от 50 до 200 mg/kg/ден на кучета и 800 до 6400 mg/kg/ден на плъхове произвежда дразнене на стомаха и пикочния мехур с някои хеморагични места и язва, наблюдавани при аутопсия. Количествата UREX (Methenamine Hippurate), еквивалентни на два пъти препоръчителната човешка доза, се прилагат на плъхове в продължение на дванадесет месеца и на маймуни в продължение на шест месеца, без да предизвикват неблагоприятни ефекти.
Помага ли валиумът с мускулни спазми
Информация за пациента за UREX
Пациентите трябва да бъдат консултирани, че антибактериалните лекарства, включително UREX (метенамин хиптурат), трябва да се използват само за лечение на бактериални инфекции. Те не лекуват вирусни инфекции (например обикновената настинка). Когато се предписва UREX (метинамин хиптурат) за лечение на бактериална инфекция, пациентите трябва да бъдат казани, че въпреки че е обичайно да се чувствате по -добре в началото на терапията, лекарствата трябва да се приемат точно според указанията. Пропускането на дози или не завършването на пълния курс на терапия може (1) да намали ефективността на незабавното лечение и (2) да увеличи вероятността бактериите да развият резистентност и да не бъдат лекувани от Урекс (хиптурация на метамин) или други антибактериални лекарства в бъдеще.